Growth and Structural Characterization of Doped Polymorphic Crystalline MgPc as an Organic Semiconductor
Abstract
1. Introduction
2. Materials and Methods
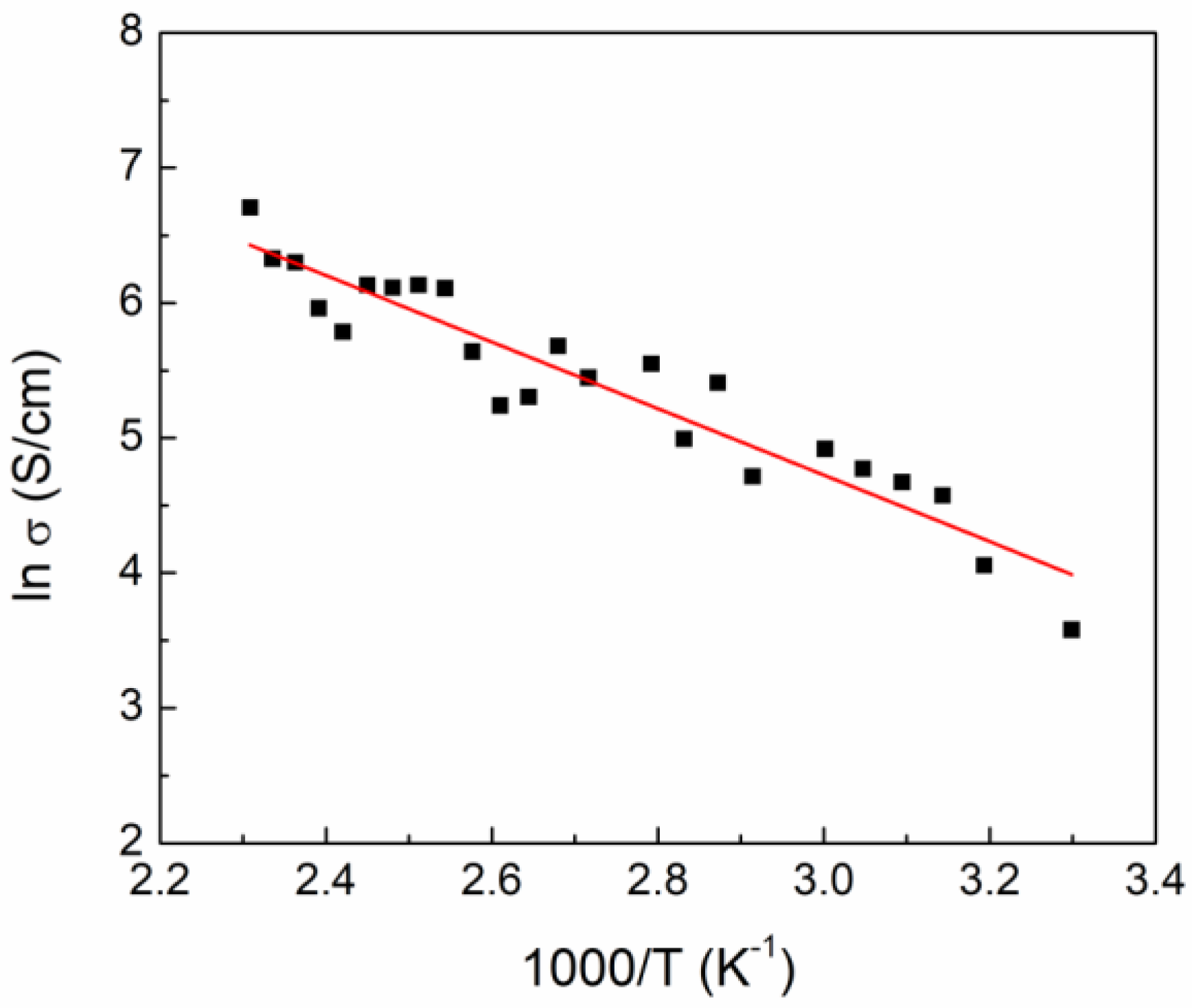
3. Results
4. Conclusions
Author Contributions
Funding
Acknowledgments
Conflicts of Interest
References
- Sworakowski, J.; Ulański, J. Electrical properties of organic materials. Annu. Rep. Prog. Chem. Sect. C Phys. Chem. 2003, 99, 87–125. [Google Scholar] [CrossRef]
- Wang, L.; Nan, G.; Yang, X.; Peng, Q.; Li, Q.; Shuai, Z. Computational methods for design of organic materials with high charge mobility. Chem. Soc. Rev. 2010, 39, 423–434. [Google Scholar] [CrossRef] [PubMed]
- Sun, S.S.; Dalton, L.R. Introduction to Organic Electronic and Optoelectronic Materials and Devices; CRC Press: London, UK, 2005. [Google Scholar]
- Plows, F.L.; Jones, A.C. Laser-Desorption Supersonic Jet Spectroscopy of Phthalocyanines. J. Mol. Spectrosc. 1999, 194, 163–170. [Google Scholar] [CrossRef] [PubMed]
- Salcedo, R.; Pérez, L.; Sánchez-Vergara, M.E. Spectroscopic studies and density functional theory investigations of a cobalt phthalocyanine derivative. J. Mol. Struct. 2015, 1084, 165–171. [Google Scholar] [CrossRef]
- Özçesmeci, M.; Bülent, Ö.; Sürgün, S.; Hamuryudan, E. Tetracationic fluorinated zinc(ii)phthalocyanine: Synthesis, characterization and DNA-binding properties. Dyes Pigm. 2012, 96, 52–58. [Google Scholar] [CrossRef]
- Sánchez-Vergara, M.E.; Rivera, M. Investigation of optical properties of annealed aluminum phthalocyanine derivatives thin films. J. Phys. Chem. Solids 2014, 75, 599–605. [Google Scholar] [CrossRef]
- Rodríguez, A.; Sánchez-Hernández, C.M.; Fleitman-Levin, I.; Arenas-Alatorre, J.; Alonso-Huitrón, J.C.; Sánchez-Vergara, M.E. Optical Absorption and Visible Photoluminescence from Thin Films of Silicon Phthalocyanine Derivatives. Materials 2014, 7, 6585–6603. [Google Scholar] [CrossRef]
- Lim, B.; Margulis, G.Y.; Yum, J.; Unger, E.L.; Hardin, B.E.; Grätzel, M.; McGehee, M.D.; Sellinger, A. Silicon-Naphthalo/Phthalocyanine-Hybrid Sensitizer for Efficient Red Response in Dye-Sensitized Solar Cells. Org. Lett. 2013, 15, 784–787. [Google Scholar] [CrossRef]
- Sánchez-Vergara, M.E.; Hamui, L.; González Habib, S. New Approaches in Flexible Organic Field-Effect Transistors (FETs) Using InClPc. Materials 2019, 12, 1712. [Google Scholar] [CrossRef]
- Eken, S.; Temel, G.; Karaca, D.; Arsu, N.; Sener, M.K. Type II photoinitiator substituted zinc phthalocyanine: Synthesis, photophysical and photopolymerization studies. J. Lumin. 2013, 136, 389–394. [Google Scholar] [CrossRef]
- Nieto, E.; Fernández, J.F.; Duran, P.; Moure, C. Boletín de la Sociedad Española de Cerámica y Vidrio. Películas Delgadas Fabr. Apl. 1994, 33, 245–258. [Google Scholar]
- Rivera, M.; Reyes, B.; Sánchez-Vergara, M.E.; Mendoza-Huiza, L.H. Conductive Behavior and Morphology of Axially Modified Gallium Phthalocyanine Thin Films onto Indium Tin Oxide Substrates. Mater. Chem. Phys. 2016, 6, 211–219. [Google Scholar] [CrossRef][Green Version]
- Della Pirriera, M.; Puigdollers, J.; Voz, C.; Stella, M.; Bertomeu, J.; Alcubilla, R. Optoelectronic properties of CuPc thin films deposited at different substrate temperatures. J. Phys. D Appl. Phys. 2009, 42. [Google Scholar] [CrossRef]
- Basova, T.V.; Kiselev, V.G.; Plyashkevich, V.A.; Cheblakov, P.B.; Latteyer, F.; Peisert, H.; Chassè, T. Orientation and morphology of chloroaluminum phthalocyanine films grown by vapor deposition: Electrical field-induced molecular alignment. Chem. Phys. 2011, 380, 40–47. [Google Scholar] [CrossRef]
- El-Nahass, M.M.; Ammar, A.H.; Farag, A.A.M.; Atta, A.A.; El-Zaidia, E.F.M. Effect of heat treatment on morphological, structural and optical properties of CoMTPP thin films. Solid State Sci. 2011, 13, 596–600. [Google Scholar] [CrossRef]
- Sánchez-Vergara, M.E.; Leyva-Esqueda, E.A.; Álvarez, C.; López Reyes, M.; Miralrio, A.; Salcedo, R. Influence of TCNQ acceptor on optical and electrical properties of tetrasubstituted allenes films fabricated by vacuum termal evaporation. J. Mater. Sci. Mater. Electron. 2016, 27, 9900–9910. [Google Scholar] [CrossRef]
- Gould, R.D. Structure and electrical conduction properties of phtalocyanine thin films. Coord. Chem. Rev. 1996, 156, 237–274. [Google Scholar] [CrossRef]
- Bovill, A.J.; McConnell, A.A.; Nimmo, J.A.; Smith, W.E. Resonance Raman Spectra of α-Copper Phthalocyanine. J. Phys. Chem. 1986, 90, 569–575. [Google Scholar] [CrossRef]
- Liu, Z.T.; Kwok, H.S.; Djurišić, A.B. The optical functions of metal phthalocyanines. J. Phys. D Appl. Phys. 2004, 37, 678–688. [Google Scholar] [CrossRef]
- Brozek-Płuska, B.; Szymczyk, I.; Abramczyk, H. Raman spectroscopy of phthalocyanines and their sulfonated derivatives. J. Mol. Struct. 2005, 744–747, 481–485. [Google Scholar] [CrossRef]
- Hamui, L.; Sánchez-Vergara, M.E.; Sánchez-Ruiz, R.; Ruanova-Ferreiro, D.; Ballinas, R.; Álvarez-Toledano, C. New Development of Membrane Based Optoelectronic Devices. Polymers 2018, 10, 16. [Google Scholar] [CrossRef]
- Ma, S. Some Typical Advances in the Synthetic Applications of Allenes. Chem. Rev. 2005, 105, 2829–2871. [Google Scholar] [CrossRef] [PubMed]
- Rand, B.P.; Cheyns, D.; Vasseur, K.; Giebink, N.C.; Mothy, S.; Yi, Y.; Coropceanu, V.; Beljonne, D.; Cornil, J.; Brédas, J.L.; et al. The impact of molecular orientation on the photovoltaic properties of a phthalocyanine/fullerene heterojunction. Adv. Funct. Mater. 2012, 22, 2987–2995. [Google Scholar] [CrossRef]
- Alcarazo, M. On the metallic nature of carbon in allenes and heterocumulenes. Dalton. Trans. 2011, 40, 1839–1845. [Google Scholar] [CrossRef]
- López-Reyes, M.E.; López-Cortés, J.G.; Ortega-Alfaro, M.C.; Toscano, R.A.; Álvarez-Toledano, C. First direct synthesis of 3-hydroxy-pent-4-ynoic acids. Application to the synthesis of pyran-2-ones. Tetrahedron 2013, 69, 7365–7372. [Google Scholar] [CrossRef]
- Stadelmann P: JEMS. Available online: https://www.epfl.ch/research/facilities/cime/research/research-jems/ (accessed on 15 April 2020).
- Defeyt, C.; Vandenabeele, P.; Gilbert, B.; Van Pevenage, J.; Cloots, R.; Strivay, D. Contribution to the identification of α-, β- and ε-copper phthalocyanine blue pigments in modern artists’ paints by X-ray powder diffraction, attenuated total reflectance micro-fourier transform infrared spectroscopy and micro-Raman spectroscopy. J. Raman Spectrosc. 2012, 43, 1772–1780. [Google Scholar] [CrossRef]
- Tóbik, J.; Tosatti, E. Raman tensor calculation for magnesium phthalocyanine. Surf. Sci. 2006, 600, 3995–3998. [Google Scholar] [CrossRef][Green Version]
- Loutfy, R.O.; Hor, A.M.; Dipaola-Baranyi, G.; Hsiao, C.K. Electrophotographic photoreceptors incorporation aggregated phthalocyanines. J. Imaging Sci. 1985, 29, 116. [Google Scholar] [CrossRef]
- Kavelin, V.; Fesenko, O.; Dubyna, H.; Vidal, C.; Klar, T.A.; Hrelescu, C.; Dolgov, L. Raman and Luminescent Spectra of Sulfonated Zn Phthalocyanine Enhanced by Gold Nanoparticles. Nanoscale Res. Lett. 2017, 12, 197–204. [Google Scholar] [CrossRef]
- Schäfer, P.; Himcinschi, C.; Chis, V.; Zahn, D.R.T. In situ Raman growth monitoring of indium/copper phthalocyanine interfaces. Phys. Status Solidi 2010, 7, 232–235. [Google Scholar] [CrossRef]
- Jennings, C.; Aroca, R.; Hor, A.M.; Loutfy, R.O. Raman spectra of solid films 3—Mg, Cu and Zn phthalocyanine complexes. J. Raman Spectrosc. 1984, 15, 34–37. [Google Scholar] [CrossRef]
- Touka, N.; Benelmadjat, H.; Boudine, B.; Halimi, O.; Sebais, M. Copper phthalocyanine nanocrystals embedded into polymer host: Preparation and structural characterization. J. Assoc. Arab Univ. Basic Appl. Sci. 2013, 13, 52–56. [Google Scholar] [CrossRef]
- El-Nahass, M.M.; Abd-El-Rahman, K.F.; Al-Ghamdi, A.A.; Asiri, A.M. Optical properties of thermally evaporated tin-phthalocyanine dichloride thin films, SnPcCl2. Phys. B Condens. Matter 2014, 344, 398–406. [Google Scholar] [CrossRef]
- Hart, M.M. Cationic Exchange Reactions Involving Dilithium Phthalocyanine. Master’s Thesis, Wright State University, Dayton, OH, USA, 2009. [Google Scholar]
- El-Nahass, M.M.; Farag, A.M.; Abd-El-Rahman, K.F.; Darwish, A.A.A. Dispersion studies and electronic transitions in nickel phthalocyanine thin films. Opt. Laser Technol. 2005, 37, 513–523. [Google Scholar] [CrossRef]
- Karan, S.; Basak, D.; Mallik, B. Persistence in photoconductivity and optical property of nanostructured copper (II) phthalocyanine thin films. Curr. Appl. Phys. 2010, 10, 1117–1122. [Google Scholar] [CrossRef]
- Wang, J.B.; Li, W.L.; Chu, B.; Lee, C.S.; Su, Z.S.; Zhang, G.; Wu, S.H.; Yan, F. High speed responsive near infrared photodetector focusing on 808 nm radiation using hexadeca-fluoro–copper–phthalocyanine as the acceptor. Org. Electron. 2011, 12, 34–38. [Google Scholar] [CrossRef]
- Neghabi, M.; Zadsar, M.; Ghorashi, S.M.B. Investigation of structural and optoelectronic properties of annealed nickel phthalocyanine thin films. Mater. Sci. Semicond. Process. 2014, 17, 13–20. [Google Scholar] [CrossRef]
- Mizuguchi, J. Crystal structure of magnesium phthalocyanine, C~32~H~16~N~8~Mg. Z. Kristallogr. New Cryst. Struct. 2001, 216, 377–378. [Google Scholar]
- Akamatsu, K.; Deki, S. Characterization and optical properties of gold nanoparticles dispersed in nylon 11 thin films. J. Mater. Chem. 1997, 7, 1773–1777. [Google Scholar] [CrossRef]
- Vasseur, K.; Rand, B.P.; Cheyns, D.; Froyen, L.; Heremans, P. Structural Evolution of Evaporated Lead Phthalocyanine Thin Films for Near-Infrared Sensitive Solar Cells. Chem. Mater. 2011, 23, 886–895. [Google Scholar] [CrossRef]
- Azim-Araghi, M.E.; Krier, A. Optical characterization of chloroaluminium phthalocyanine (ClAlPc) thin films. Pure Appl. Opt. 1997, 6, 443–453. [Google Scholar] [CrossRef]
- Socol, M.; Preda, N.; Rasoga, O.; Breazu, C.; Stavarache, I.; Stanculescu, F.; Socol, G.; Gherendi, F.; Grumezescu, V.; Popescu-Pelin, G.; et al. Flexible heterostructures based on metal phthalocyanines thin films obtained by MAPLE. Appl. Surf. Sci. 2016, 374, 403–410. [Google Scholar] [CrossRef]
- Regimol, C.C.; Menon, C.S. Effect of annealing and Gamma irradiation on tin phthalocyanine thin films. Mater. Sci. Poland 2007, 25, 649–655. [Google Scholar]
- Novotny, M.; Bulir, J.; Bensalah-Ledoux, A.; Guy, S.; Fitl, P.; Vrnata, M.; Lancok, J.; Moine, B. Optical properties of zinc phthalocyanine thin films prepared by pulsed laser deposition. Appl. Phys. A 2014, 117, 377–381. [Google Scholar] [CrossRef]
- Laurs, H.; Heiland, G. Electrical and optical properties of phthalocyanine films. Thin Solid Films 1987, 149, 129–142. [Google Scholar] [CrossRef]
- Simonyan, M.; Kafadaryan, E.A.; Murijanyan, M.C.; Petresion, A.K.; Sharoyan, E.G. ESR, optical absorption and reflection spectra of monoclinic and triclinic modifications of lead phthalocyanine. Phys. Stat. Sol. 1987, 101, 143–149. [Google Scholar] [CrossRef]
- Tauc, J. Optical properties and electronic structure of amorphous Ge and Si. Mater. Res. Bull. 1968, 3, 37–46. [Google Scholar] [CrossRef]
- Mohana, J.; Ahila, G.; Bharathi, M.D.; Anbalagan, G. Growth, spectral, optical, thermal, and mechanical behaviour of an organic single crystal: Quinolinium 2-carboxy 6-nitrophthalate monohydrate. J. Cryst. Growth 2016, 450, 181–189. [Google Scholar] [CrossRef]
- El-Nahass, M.M.; Sallam, M.M.; Ali, H.A.M. Optical properties of thermally evaporated metal-free phthalocyaninde (H2Pc) thin films. Int. J. Mod. Phys. B 2005, 19, 4057–4071. [Google Scholar] [CrossRef]
- Painuly, D.; Masram, D.T.; Rabanal, M.E.; Nagpure, L.M. The effect of ethanol on structural, morphological and optical properties of Li(I) 8–hydroxyquinoline phosphor. J. Lumin. 2017, 192, 1180–1190. [Google Scholar] [CrossRef]
- Seoudi, R.; El-Bahy, G.S.; El Sayed, Z.A. Ultraviolet and visible spectroscopic studies of phthalocyanine and its complexes thin films. Opt. Mater. 2006, 29, 304–312. [Google Scholar] [CrossRef]
- Kiani, M.S.; Mitchell, G.R. Structure property relationships in electrically conducting copolymers formed from pyrrole and N-methyl pyrrole. Synth. Met. 1992, 46, 293–306. [Google Scholar] [CrossRef]
- Gopinathan, T.G.; Menon, C.S. Studies on the electrical and optical properties of magnesium phthalocyanine thin films. E J. Chem. 2004, 1, 231–236. [Google Scholar] [CrossRef]
- Sarkar, S.; Aydogdu, A.; Dagdelen, F.; Bhaumik, B.B.; Dey, K. X-ray diffraction studies, thermal, electrical and optical properties of oxovanadium(IV) complexes with quadridentate schiff bases. Mater. Chem. Phys. 2004, 88, 357–363. [Google Scholar] [CrossRef]









| Assignments | MgPc and MTPDA a,b (cm−1) | MgPc-MTPDA (cm−1) | MgPc-MTPDA Film (cm−1) |
|---|---|---|---|
| In-plane pyrrole stretch | 1332 | 1333 | 1330 |
| In-plane C-H bend | 1291, 1118 | 1284, 1116 | 1283, 1116 |
| C-H bend | 1165 | 1164 | 1165 |
| In-plane C-H deformation | 752 | 758 | 756 |
| C=C benzene stretch of MgPc | 1606, 1483 | 1609, 1484 | 1605, 1482 |
| α-form of MgPc | 726 | 720 | 725 |
| β-form of MgPc | 777 | 778 | 776 |
| O-H stretching vibrations of MTPDA | 3060 | 3059 | 3068 |
| C-H vibrations of MTPDA | 1699 | 1699 | 1692 |
| Ring | (hkl) | Experimental Measurement (nm) | Simulated Values (nm) |
|---|---|---|---|
| 1 | 0.3394 | 0.3748 | |
| 2 | 0.2880 | 0.3383 | |
| 3 | 0.2569 | 0.2902 | |
| 4 | 0.1816 | 0.1786 | |
| 5 | 0.1558 | 0.1648 |
| 2θ (°) | 6.9 | 9.2 | 10.5 | 18.2 | 24.8 | 25.9 | 26.9 |
| dexp (Å) | 12.80 | 9.60 | 8.41 | 4.87 | 3.59 | 3.44 | 3.31 |
| dtheo (Å) | 12.48 | 9.32 | 8.24 | 4.81 | 3.57 | 3.44 | 3.38 |
| FWHM (°) | 0.4726 | 0.4993 | 0.4985 | 1.0723 | 0.5059 | 0.9313 | 0.4180 |
| Grain size (nm) | 16.84 | 15.96 | 16.00 | 7.50 | 16.08 | 8.75 | 19.54 |
© 2020 by the authors. Licensee MDPI, Basel, Switzerland. This article is an open access article distributed under the terms and conditions of the Creative Commons Attribution (CC BY) license (http://creativecommons.org/licenses/by/4.0/).
Share and Cite
Hamui, L.; Sánchez-Vergara, M.E.; Sánchez-Ruiz, R.; Álvarez-Toledano, C.; Reyes-Rodriguez, J.L.; Ponce, A. Growth and Structural Characterization of Doped Polymorphic Crystalline MgPc as an Organic Semiconductor. Crystals 2020, 10, 495. https://doi.org/10.3390/cryst10060495
Hamui L, Sánchez-Vergara ME, Sánchez-Ruiz R, Álvarez-Toledano C, Reyes-Rodriguez JL, Ponce A. Growth and Structural Characterization of Doped Polymorphic Crystalline MgPc as an Organic Semiconductor. Crystals. 2020; 10(6):495. https://doi.org/10.3390/cryst10060495
Chicago/Turabian StyleHamui, Leon, María Elena Sánchez-Vergara, Rocio Sánchez-Ruiz, Cecilio Álvarez-Toledano, Jose Luis Reyes-Rodriguez, and Arturo Ponce. 2020. "Growth and Structural Characterization of Doped Polymorphic Crystalline MgPc as an Organic Semiconductor" Crystals 10, no. 6: 495. https://doi.org/10.3390/cryst10060495
APA StyleHamui, L., Sánchez-Vergara, M. E., Sánchez-Ruiz, R., Álvarez-Toledano, C., Reyes-Rodriguez, J. L., & Ponce, A. (2020). Growth and Structural Characterization of Doped Polymorphic Crystalline MgPc as an Organic Semiconductor. Crystals, 10(6), 495. https://doi.org/10.3390/cryst10060495

