Development of Catalytic-CVD SiNx Passivation Process for AlGaN/GaN-on-Si HEMTs
Abstract
1. Introduction
2. Experimental Details
2.1. Optimization of Cat-CVD SiNx Deposition Process
2.2. Device Fabrication
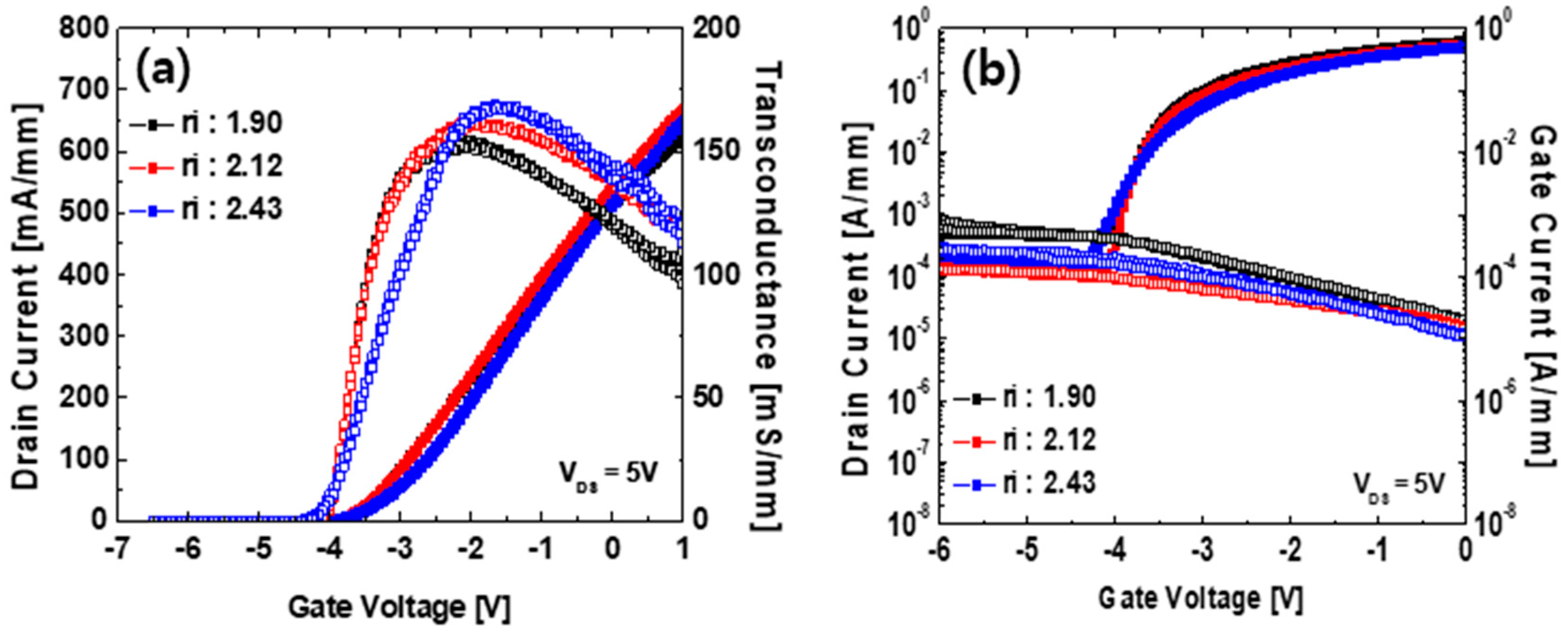
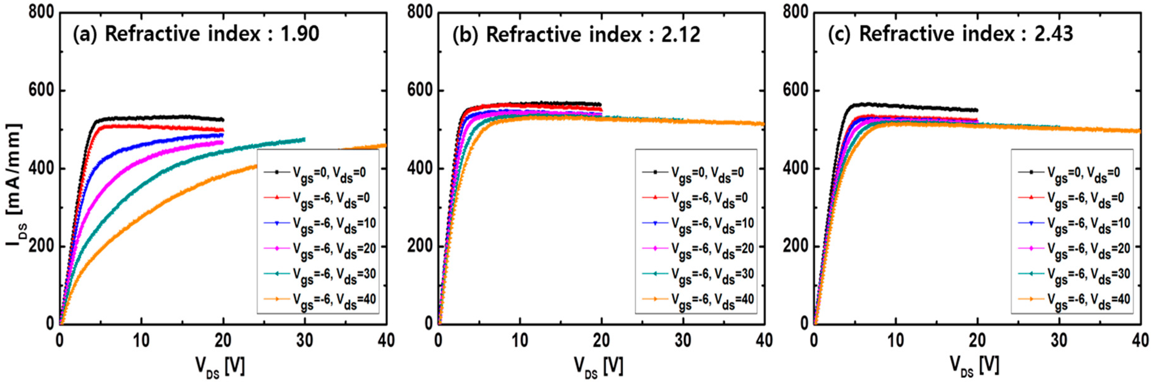
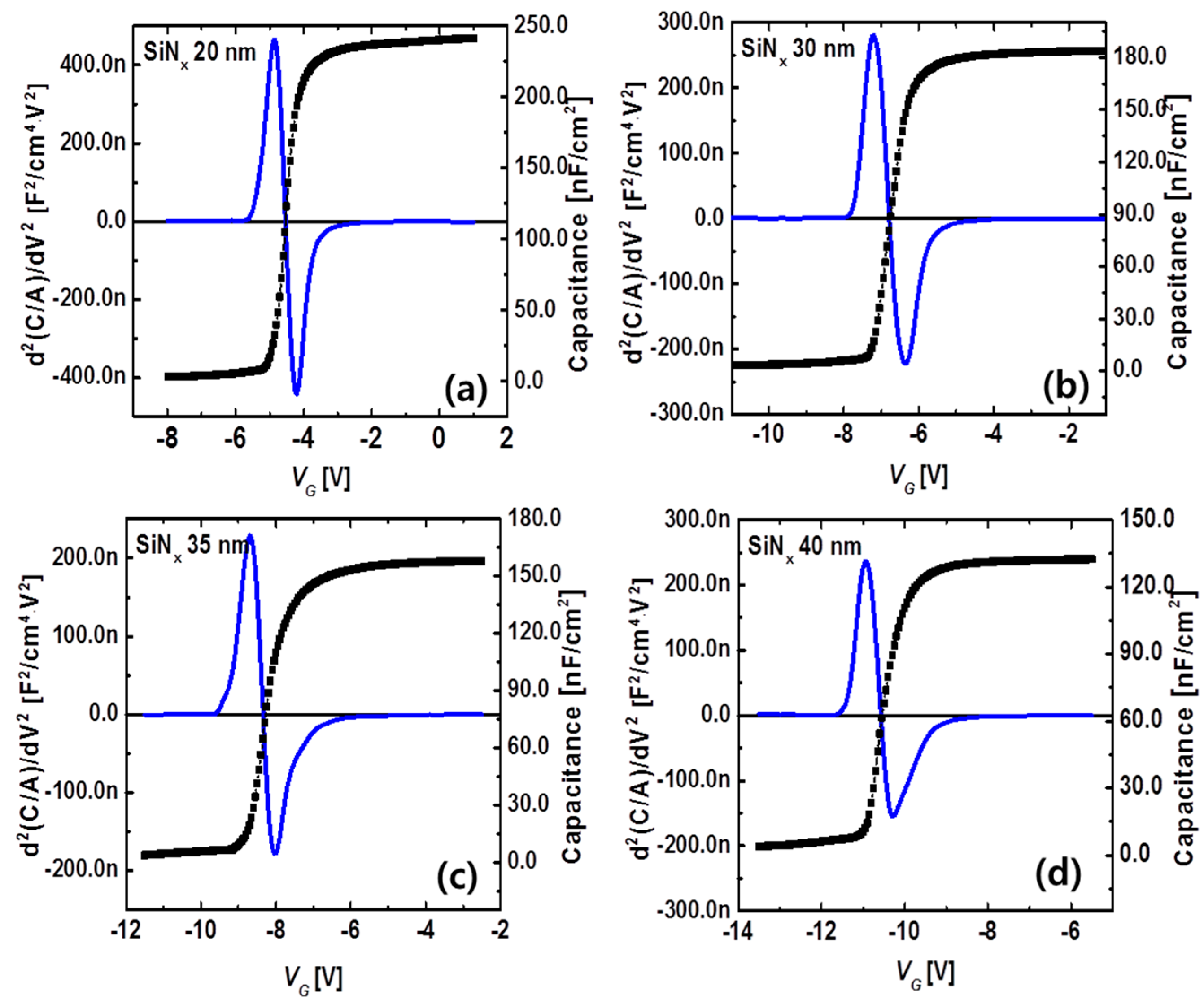
3. Results
4. Conclusions
Author Contributions
Funding
Acknowledgments
Conflicts of Interest
References
- Mishra, U.K.; Parikh, P.; Wu, Y.-F. AlGaN/GaN HEMTs-an overview of device operation and applications. Proc. IEEE 2002, 90, 1022–1031. [Google Scholar] [CrossRef]
- Kang, M.J.; Lee, M.S.; Choi, G.H.; Hwang, I.H.; Cha, H.Y.; Seo, K.S. High-performance normally off AlGaN/GaN-on-Si HEMTs with partially recessed SiNx MIS structure. Phys. Status Solidi A 2017, 214, 1600726. [Google Scholar] [CrossRef]
- Joh, J.W.; Tipirneni, N.; Pendharkar, S.; Krishnan, S. Current collapse in GaN heterojunction field effect transistors for hihg-voltage switching applications. In Proceedings of the IEEE International Reliability Physics Symposium, Waikolia, HI, USA, 1–5 June 2014. [Google Scholar]
- Javorka, P.; Bernat, J.; Fox, A.; Marso, M.; Lüth, H.; Kordoš, P. Influence of SiO2 and Si3N4 passivation on AlGaN/GaN/Si HEMT performance. Electron. Lett. 2003, 39, 1155–1157. [Google Scholar] [CrossRef]
- Xu, D.; Chu, K.; Diaz, J.; Zhu, W.; Roy, R.; Pleasant, L.M.; Nichols, K.; Chao, P.-C.; Xu, M.; Peide, D.Y. 0.2 um AlGaN/GaN high electron mobility transistors with atomic layer deposition Al2O3 passivation. IEEE Electron. Device Lett. 2013, 36, 744–746. [Google Scholar] [CrossRef]
- Huang, S.; Jiang, Q.; Yang, S.; Zhou, C.; Chen, K.J. Effective passivation of AlGaN/GaN HEMTs by ALD-grown AlN thin film. IEEE Electron. Device Lett. 2012, 33, 516–518. [Google Scholar] [CrossRef]
- Arulkumaran, S.; Egawa, T.; Ishikawa, H.; Jimbo, T.; Sano, Y. Surface passivation effects on AlGaN/GaN high-electron-mobility transistors with SiO2, Si3N4, and silicon oxynitride. Appl. Phys. Lett. 2004, 84, 613–615. [Google Scholar] [CrossRef]
- Ling, Y.; Gui-Zhou, H.; Yue, H.; Xiao-Hua, M.; Si, Q.; Li-Yuan, Y.; Shou-Gao, J. Electric-stress reliability and current collapse of different thickness SiNx passivated AlGaN/GaN high electron mobility transistors. Chin. Phys. B 2010, 19, 047301. [Google Scholar] [CrossRef]
- Wang, X.; Huang, S.; Zheng, Y.; Wei, K.; Chen, X.; Liu, G.; Yuan, T.; Luo, W.; Pang, L.; Jiang, H. Robust SiNx/AlGaN interface in GaN HEMTs passivated by thick LPCVD-grown SiNx layer. IEEE Electron. Device Lett. 2015, 36, 666–668. [Google Scholar] [CrossRef]
- Okada, S.; Matsumura, H. Improved properties of silicon nitride films prepared by the catalytic chemical vapor deposition method. Jpn. J. Appl. Phys. 1997, 36, 7035. [Google Scholar] [CrossRef]
- Higashiwaki, M.; Mimura, T.; Matsui, T. AlN/GaN insulated-gate HFETs using cat-CVD SiN. IEEE Electron. Device Lett. 2006, 27, 719–721. [Google Scholar] [CrossRef]
- Matsumura, H. Formation of silicon-based thin films prepared by catalytic chemical vapor deposition (Cat-CVD) method. Jpn. J. Appl. Phys. 1998, 37, 3175. [Google Scholar] [CrossRef]
- Matsumura, H.; Umemoto, H.; Masuda, A. Cat-CVD (hot-wire CVD): How different from PECVD in preparing amorphous silicon. J. Non-Cryst. Solids 2004, 338, 19–26. [Google Scholar] [CrossRef]
- Verlaan, V.; Verkerk, A.; Arnoldbik, W.; van der Werf, C.; Bakker, R.; Houweling, Z.; Romijn, I.; Borsa, D.; Weeber, A.; Luxembourg, S. The effect of composition on the bond structure and refractive index of silicon nitride deposited by HWCVD and PECVD. Thin Solid Films 2009, 517, 3499–3502. [Google Scholar] [CrossRef]
- Masuda, A.; Totsuka, M.; Oku, T.; Hattori, R.; Matsumura, H. Highly moisture-resistive silicon nitride films prepared by catalytic chemical vapor deposition and application to gallium arsenide field-effect transistors. J. Vac. 2004, 74, 525–529. [Google Scholar] [CrossRef]
- Masuda, A.; Izumi, A.; Umemoto, H.; Matsumura, H. What is the difference between catalytic CVD and plasma-enhanced CVD? Gas-phase kinetics and film properties. J. Vac. 2002, 66, 293–297. [Google Scholar] [CrossRef]
- Kim, S.; Chang, Y.-F.; Park, B.-G. Understanding rectifying and nonlinear bipolar resistive switching characteristics in Ni/SiNx/p-Si memory devices. RCS Adv. 2017, 7, 17882. [Google Scholar] [CrossRef]
- Ma, H.-P.; Lu, H.-L.; Yang, J.-H.; Li, X.-X.; Wang, T.; Huang, W.; Yuan, G.-J.; Kamarov, F.F.; Zhang, D.W. Measurements of Microstructural, Chemical, Optical, and Electrical Properties of Silicon-Oxygen-Nitrogen Films Prepared by Plasma-Enhanced Atomic Layer Deposition. Nanomaterials 2018, 8, 1008. [Google Scholar] [CrossRef]
- Kitao, A.; Imakita, K.; Kawamura, I.; Fujii, M. An investigation into second harmonic generation by Si-rich SiNx thin films deposited by RF sputtering over a wide range of Si concentrations. J. Phys. D Appl. Phys. 2014, 47, 215101. [Google Scholar] [CrossRef]
- Meziani, S.; Moussi, A.; Mahiou, L.; Outemzabet, R. Compositional analysis of silicon oxide/silicon nitride thin films. Mater. Sci. Pol. 2016, 34, 315–321. [Google Scholar] [CrossRef][Green Version]
- Tiour, F.; Benyahia, B.; Brihi, N.; Sari, A.; Mahmoudi, B.; Manseri, A.; Guenda, A. Opto-structural properties of Si-rich SiNx with diferent stoichiometry. Appl. Phys. A 2020, 126, 59. [Google Scholar] [CrossRef]
- Kang, M.J.; Eom, S.K.; Kim, H.S.; Lee, C.H.; Cha, H.Y.; Seo, K.S. Normally-off recessed-gate AlGaN/GaN MOS-HFETs with plasma enhanced atomic layer deposited AlOxNy gate insulator. Semicond. Sci. Technol. 2019, 34, 055018. [Google Scholar] [CrossRef]
- Warren, W.L.; Kanicki, J.; Robertson, J.; Lenahan, P.M. Energy level of the nitrogen dangling bond in amorphous silicon nitride. Appl. Phys. Lett. 1991, 59, 1699–1701. [Google Scholar] [CrossRef]
- Waller, W.M.; Gajda, M.; Pandey, S.; Donkers, J.J.; Calton, D.; Croon, J.; Karboyan, S.; Sonsky, J.; Uren, M.J.; Kuball, M. Impact of Silicon Nitride Stoichiometry on the Effectiveness of AlGaN/GaN HEMT Field Plates. IEEE Trans. Elec. Devices 2017, 64, 1197–1202. [Google Scholar] [CrossRef]
- Liu, S.; Huang, C.; Chang, C.; Lin, Y.; Chen, B.; Tsai, S.; Yeop, B.; Dee, C.; Chang, E.Y. Effective Passivation with High-Density Positive Fixed Charges for GaN MIS-HEMTs. J. Electr. Devices Soc. 2017, 5, 170–174. [Google Scholar] [CrossRef]
- Thi, T.C.; Koyama, K.; Ohdaira, K.E.; Matsumura, H. Effect of hydrogen on passivation quality of SiNx/Si-rich SiNx stacked layers deposited by catalytic chemical vapor deposition on c-Si wafers. Thin Solid Films 2015, 575, 60–63. [Google Scholar] [CrossRef]
- Waller, W.M.; Gajda, M.; Pandey, S.; Donkers, J.J.T.M.; Calton, D.; Croon, J.; Sonsky, J.; Uren, M.J.; Kuball, M. Control of Buffer-Induced Current Collapse in AlGaN/GaN HEMTs Using SiNx Deposition. IEEE Trans. Elec. Devices 2017, 64, 4044–4049. [Google Scholar] [CrossRef]
- Huang, T.; Jiang, H.; Bergsten, J.; Lau, K.M.; Rorsman, N. Enhanced gate stack stability in GaN transistors with gate dielectric of bilayer SiNx by low pressure chemical vapor deposition. Appl. Phys. Lett. 2018, 113, 232102. [Google Scholar] [CrossRef]
- Winter, R.; Ahn, J.; McIntyre, P.C.; Eizenberg, M. New method for determining flat-band voltage in high mobility semiconductors. J. Vac. Sci. Technol. B Nanotechnol. Microelectron. Mater. Process. Meas. Phenom. 2013, 31, 030604. [Google Scholar] [CrossRef]
- Capriotti, M.; Alexewicz, A.; Fleury, C.; Gavagnin, M.; Bethge, O.; Visalli, D.; Derluyn, J.; Wanzenböck, H.; Bertagnolli, E.; Pogany, D. Fixed interface charges between AlGaN barrier and gate stack composed of in situ grown SiN and Al2O3 in AlGaN/GaN high electron mobility transistors with normally off capability. Appl. Phys. Lett. 2014, 104, 113502. [Google Scholar] [CrossRef]
- Kim, H.-S.; Eom, S.-K.; Seo, K.-S.; Kim, H.; Cha, H.-Y. Time-dependent dielectric breakdown of recessed AlGaN/GaN-on-Si MOS-HFETs with PECVD SiO2 gate oxide. Vacuum 2018, 155, 428–433. [Google Scholar] [CrossRef]
- Ambacher, O.; Smart, J.; Shealy, J.; Weimann, N.; Chu, K.; Murphy, M.; Schaff, W.; Eastman, L.; Dimitrov, R.; Wittmer, L. Two-dimensional electron gases induced by spontaneous and piezoelectric polarization charges in N-and Ga-face AlGaN/GaN heterostructures. J. Appl. Phys. 1999, 85, 3222–3233. [Google Scholar] [CrossRef]
- Schroder, D.K. Semiconductor Material and Device Characterization; John Wiley & Sons: Hoboken, NJ, USA, 2015. [Google Scholar]
- Geng, K.; Chen, D.; Zhou, Q.; Wang, H. AlGaN/GaN MIS-HEMT with PECVD SiNx, SiON, SiO2 as gate dielectric and passivation layer. Electronics 2018, 7, 416. [Google Scholar] [CrossRef]
- Kim, D.; Jeong, J.; Eom, S.; Lee, J.; Seo, K. Electrical degradation on DC and RF characteristics of short channel AlGaN/GaN-on-Si hemt with highly doped carbon buffer. J. Korean Phys. Soc. 2017, 71, 697–700. [Google Scholar] [CrossRef]
- Tzou, A.; Chu, K.; Lin, I.; Streng, E.; Fang, Y.; Wu, X.; Wu, B.; Shen, C.; Shieh, J.; Yeh, W.; et al. AlN surface passivation of GaN-based high electron mobility transistors by plasma-enhanced atomic layer deposition. Nanoscale Res. Lett. 2017, 12, 315. [Google Scholar] [CrossRef] [PubMed]
- Chakroun, A.; Jaouad, A.; Bouchilaoun, M.; Arenas, O.; Soltani, A.; Maher, H. Normally-off AlGaN/GaN MOS-HEMT using ultra-thin Al0.45Ga0.55N barrier layer. Phys. Status Solidi A 2017, 214, 1600836. [Google Scholar] [CrossRef]
- Zhang, S.; Wei, K.; Ma, X.; Hou, B.; Liu, G.; Zhang, Y.; Wang, X.; Zheng, Y.; Huang, S.; Li, Y.; et al. Reduced reverse gate leakage current for GaN HEMTs with 3 nm Al/40 nm SiN passivation layer. Appl. Phys. Lett. 2019, 114, 013503. [Google Scholar] [CrossRef]















| Chuck Temp [°C] | Wire Temp [°C] | Pressure [Pa] | NH3/SiH4 | Dep Rate [A/s] | R.I. | BOE (10:1) Etch Rate [nm/min] | 
|---|---|---|---|---|---|---|
| 400 | 1730 | 4 | 5 | 0.90 | 1.90 | 7.1 | 
| 400 | 1730 | 4 | 50 | 0.88 | 1.94 | 4.80 | 
| 350 | 1730 | 4 | 50 | 0.86 | 1.96 | 3.72 | 
| 250 | 1730 | 4 | 45 | 0.80 | 1.97 | 2.22 | 
| 150 | 1730 | 4 | 45 | 0.81 | 1.99 | 3.57 | 
| 250 | 1600 | 4 | 19 | 0.56 | 2.83 | - | 
| 250 | 1730 | 4 | 20 | 0.77 | 2.31 | 5.14 | 
| 250 | 1730 | 4 | 25 | 0.75 | 2.03 | 2.15 | 
| 250 | 1730 | 4 | 33 | 0.60 | 1.94 | 5.28 | 
| 250 | 1650 | 2 | 50 | 0.30 | 1.90 | 8.02 | 
| 250 | 1650 | 2 | 38.5 | 0.36 | 2.00 | 2.77 | 
| 250 | 1650 | 2 | 33.3 | 0.38 | 2.12 | 2.39 | 
| 250 | 1650 | 4 | 25 | 0.61 | 2.02 | 2.3 | 
| 250 | 1650 | 4 | 29 | 0.60 | 2.12 | 2.0 | 
| 250 | 1650 | 4 | 30 | 0.70 | 2.43 | 3.5 | 
| 250 | 1650 | 8 | 25 | 0.91 | 1.97 | 5.37 | 
| 250 | 1650 | 8 | 20 | 1.08 | 2.01 | 3.17 | 
| 250 | 1650 | 8 | 16.7 | 1.20 | 2.12 | 3.78 | 
| Refractive Index of SiNx Film | Surface Roughness [nm] | Breakdown Field [MV/cm] | Density [g/cm3] | H Contents [%] | 
|---|---|---|---|---|
| 1.90 | 0.41 | 9.0 | 2.4 | 13.6 | 
| 2.02 | 0.30 | 8.7 | 2.6 | 7.2 | 
| 2.12 | 0.28 | 8.2 | 2.7 | 6.0 | 
| 2.42 | 0.36 | 5.8 | 2.4 | 9.8 | 
© 2020 by the authors. Licensee MDPI, Basel, Switzerland. This article is an open access article distributed under the terms and conditions of the Creative Commons Attribution (CC BY) license (http://creativecommons.org/licenses/by/4.0/).
Share and Cite
Kang, M.-J.; Kim, H.-S.; Cha, H.-Y.; Seo, K.-S. Development of Catalytic-CVD SiNx Passivation Process for AlGaN/GaN-on-Si HEMTs. Crystals 2020, 10, 842. https://doi.org/10.3390/cryst10090842
Kang M-J, Kim H-S, Cha H-Y, Seo K-S. Development of Catalytic-CVD SiNx Passivation Process for AlGaN/GaN-on-Si HEMTs. Crystals. 2020; 10(9):842. https://doi.org/10.3390/cryst10090842
Chicago/Turabian StyleKang, Myoung-Jin, Hyun-Seop Kim, Ho-Young Cha, and Kwang-Seok Seo. 2020. "Development of Catalytic-CVD SiNx Passivation Process for AlGaN/GaN-on-Si HEMTs" Crystals 10, no. 9: 842. https://doi.org/10.3390/cryst10090842
APA StyleKang, M.-J., Kim, H.-S., Cha, H.-Y., & Seo, K.-S. (2020). Development of Catalytic-CVD SiNx Passivation Process for AlGaN/GaN-on-Si HEMTs. Crystals, 10(9), 842. https://doi.org/10.3390/cryst10090842
 
        

 
       