Robust UV Plasmonic Properties of Co-Doped Ag2Te
Abstract
1. Introduction
2. Methods
3. Results and Discussion
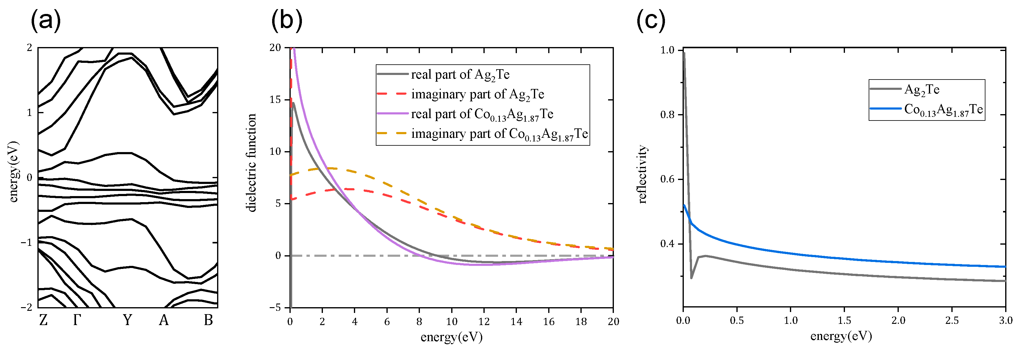
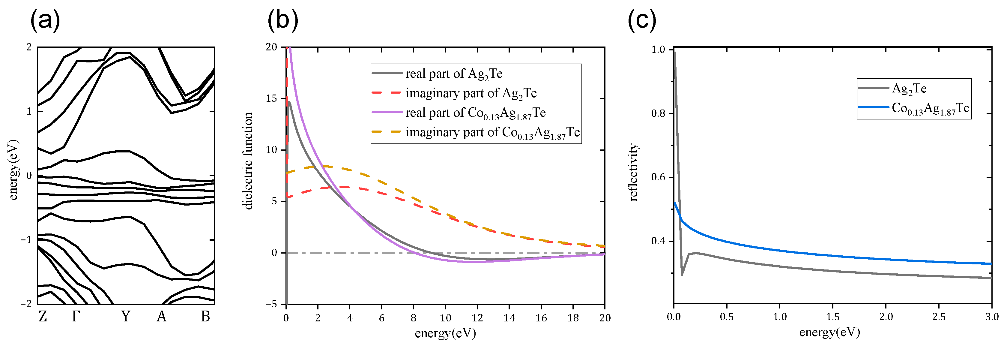
3.1. Electronic Structure and Plasmonic Properties
3.2. Robust UV Optical Properties under Co Doping
4. Conclusions
Supplementary Materials
Author Contributions
Funding
Institutional Review Board Statement
Informed Consent Statement
Data Availability Statement
Conflicts of Interest
References
- Chen, Y.L.; Chu, J.H.; Analytis, J.G.; Liu, Z.K.; Igarashi, K.; Kuo, H.H.; Qi, X.L.; Mo, S.K.; Moore, R.G.; Lu, D.H.; et al. Massive Dirac Fermion on the Surface of a Magnetically Doped Topological Insulator. Science 2010, 329, 659–662. [Google Scholar] [CrossRef] [PubMed]
- Young, S.M.; Zaheer, S.; Teo, J.C.Y.; Kane, C.L.; Mele, E.J.; Rappe, A.M. Dirac Semimetal in Three Dimensions. Phys. Rev. Lett. 2012, 108, 140405. [Google Scholar] [CrossRef] [PubMed]
- Young, S.M.; Kane, C.L. Dirac Semimetals in Two Dimensions. Phys. Rev. Lett. 2015, 115, 126803. [Google Scholar] [CrossRef] [PubMed]
- Gibson, Q.D.; Schoop, L.M.; Muechler, L.; Xie, L.S.; Hirschberger, M.; Ong, N.P.; Car, R.; Cava, R.J. Three-dimensional Dirac semimetals: Design principles and predictions of new materials. Phys. Rev. B 2015, 91, 205128. [Google Scholar] [CrossRef]
- Ju, L.; Geng, B.S.; Horng, J.; Girit, C.; Martin, M.; Hao, Z.; Bechtel, H.A.; Liang, X.G.; Zettl, A.; Shen, Y.R.; et al. Graphene plasmonics for tunable terahertz metamaterials. Nat. Nanotechnol. 2011, 6, 630–634. [Google Scholar] [CrossRef] [PubMed]
- Fei, Z.; Andreev, G.O.; Bao, W.Z.; Zhang, L.F.M.; McLeod, A.S.; Wang, C.; Stewart, M.K.; Zhao, Z.; Dominguez, G.; Thiemens, M.; et al. Infrared Nanoscopy of Dirac Plasmons at the Graphene-SiO2 Interface. Nano Lett. 2011, 11, 4701–4705. [Google Scholar] [CrossRef]
- Stauber, T. Plasmonics in Dirac systems: From graphene to topological insulators. J. Phys. Condens. Matter 2014, 26, 123201. [Google Scholar] [CrossRef]
- Kotov, O.V.; Lozovik, Y.E. Dielectric response and novel electromagnetic modes in three-dimensional Dirac semimetal films. Phys. Rev. B 2016, 93, 235417. [Google Scholar] [CrossRef]
- Nair, R.R.; Blake, P.; Grigorenko, A.N.; Novoselov, K.S.; Booth, T.J.; Stauber, T.; Peres, N.M.R.; Geim, A.K. Fine structure constant defines visual transparency of graphene. Science 2008, 320, 1308. [Google Scholar] [CrossRef] [PubMed]
- Grigorenko, A.N.; Polini, M.; Novoselov, K.S. Graphene plasmonics. Nat. Photonics 2012, 6, 749–758. [Google Scholar] [CrossRef]
- Zhu, J.; Pandey, R. Silver tellurides: Structural, elastic, and optical properties of AgTe and Ag2Te. J. Phys. Chem. Solids 2019, 129, 41–45. [Google Scholar] [CrossRef]
- Ouyang, J.; Graddage, N.; Lu, J.; Zhong, Y.; Chu, T.-Y.; Zhang, Y.; Wu, X.; Kodra, O.; Li, Z.; Tao, Y.; et al. Ag2Te Colloidal Quantum Dots for Near-Infrared-II Photodetectors. ACS Appl. Nano Mater. 2021, 4, 13587–13601. [Google Scholar] [CrossRef]
- Liu, Y.-W.; Ko, D.-K.; Oh, S.J.; Gordon, T.R.; Doan-Nguyen, V.; Paik, T.; Kang, Y.; Ye, X.; Jin, L.; Kagan, C.R.; et al. Near-Infrared Absorption of Monodisperse Silver Telluride (Ag2Te) Nanocrystals and Photoconductive Response of Their Self-Assembled Superlattices. Chem. Mater. 2011, 23, 4657–4659. [Google Scholar] [CrossRef]
- Lee, S.; In, J.; Yoo, Y.; Jo, Y.; Park, Y.C.; Kim, H.-j.; Koo, H.C.; Kim, J.; Kim, B.; Wang, K.L. Single Crystalline β-Ag2Te Nanowire as a New Topological Insulator. Nano Lett. 2012, 12, 4194–4199. [Google Scholar] [CrossRef] [PubMed]
- Yeh, T.-T.; Lin, W.H.; Tzeng, W.-Y.; Le, P.H.; Luo, C.-W.; Milenov, T.I. The optical properties of Ag2Te crystals from THz to UV. J. Alloys Compd. 2017, 725, 433–440. [Google Scholar] [CrossRef]
- Horng, J.; Chen, C.F.; Geng, B.S.; Girit, C.; Zhang, Y.B.; Hao, Z.; Bechtel, H.A.; Martin, M.; Zettl, A.; Crommie, M.F.; et al. Drude conductivity of Dirac fermions in graphene. Phys. Rev. B 2011, 83, 165113. [Google Scholar] [CrossRef]
- Baltz, V.; Manchon, A.; Tsoi, M.; Moriyama, T.; Ono, T.; Tserkovnyak, Y. Antiferromagnetic spintronics. Rev. Mod. Phys. 2018, 90, 015005. [Google Scholar] [CrossRef]
- Bauer, G.E.W.; Saitoh, E.; van Wees, B.J. Spin caloritronics. Nat. Mater. 2012, 11, 391–399. [Google Scholar] [CrossRef]
- Beaurepaire, E.; Merle, J.C.; Daunois, A.; Bigot, J.Y. Ultrafast spin dynamics in ferromagnetic nickel. Phys. Rev. Lett. 1996, 76, 4250–4253. [Google Scholar] [CrossRef]
- Bell, C.; Milikisyants, S.; Huber, M.; Aarts, J. Spin dynamics in a superconductor-ferromagnet proximity system. Phys. Rev. Lett. 2008, 100, 047002. [Google Scholar] [CrossRef] [PubMed]
- Chang, C.Z.; Li, M.D. Quantum anomalous Hall effect in time-reversal-symmetry breaking topological insulators. J. Phys. Condens. Matter 2016, 28, 123002. [Google Scholar] [CrossRef]
- Chen, J.Y.; Wong, T.M.; Chang, C.W.; Dong, C.Y.; Chen, Y.F. Self-polarized spin-nanolasers. Nat. Nanotechnol. 2014, 9, 845–850. [Google Scholar] [CrossRef]
- Prinz Gary, A. Magnetoelectronics. Science 1998, 282, 1660–1663. [Google Scholar] [CrossRef] [PubMed]
- Wolf, S.A.; Awschalom, D.D.; Buhrman, R.A.; Daughton, J.M.; von Molnár, S.; Roukes, M.L.; Chtchelkanova, A.Y.; Treger, D.M. Spintronics: A Spin-Based Electronics Vision for the Future. Science 2001, 294, 1488–1495. [Google Scholar] [CrossRef]
- Tietze, T.; Gacic, M.; Schütz, G.; Jakob, G.; Brück, S.; Goering, E. XMCD studies on Co and Li doped ZnO magnetic semiconductors. New J. Phys. 2008, 10, 055009. [Google Scholar] [CrossRef]
- Lin, L.; Yao, L.; Li, S.; Shi, Z.; Xie, K.; Huang, J.; Tao, H.; Zhang, Z. Influence of Mn and Co doping on optical and magnetic properties in 3C–SiC. J. Phys. Chem. Solids 2021, 153, 110002. [Google Scholar] [CrossRef]
- Chanda, A.; Rout, K.; Vasundhara, M.; Joshi, S.R.; Singh, J. Structural and magnetic study of undoped and cobalt doped TiO2 nanoparticles. RSC Adv. 2018, 8, 10939–10947. [Google Scholar] [CrossRef] [PubMed]
- Zhang, J.; Tse, K.; Wong, M.; Zhang, Y.; Zhu, J. A brief review of co-doping. Front. Phys. 2016, 11, 117405. [Google Scholar] [CrossRef]
- Kresse, G.; Furthmüller, J. Efficient iterative schemes for ab initio total-energy calculations using a plane-wave basis set. Phys. Rev. B 1996, 54, 11169–11186. [Google Scholar] [CrossRef] [PubMed]
- Kresse, G.; Joubert, D. From ultrasoft pseudopotentials to the projector augmented-wave method. Phys. Rev. B 1999, 59, 1758–1775. [Google Scholar] [CrossRef]
- Perdew, J.P.; Burke, K.; Ernzerhof, M. Generalized Gradient Approximation Made Simple. Phys. Rev. Lett. 1996, 77, 3865–3868. [Google Scholar] [CrossRef] [PubMed]
- Kotliar, G.; Savrasov, S.Y.; Haule, K.; Oudovenko, V.S.; Parcollet, O.; Marianetti, C.A. Electronic structure calculations with dynamical mean-field theory. Rev. Mod. Phys. 2006, 78, 865–951. [Google Scholar] [CrossRef]
- Kashida, S.; Watanabe, N.; Hasegawa, T.; Iida, H.; Mori, M. Electronic structure of Ag2Te, band calculation and photoelectron spectroscopy. Solid State Ion 2002, 148, 193–201. [Google Scholar] [CrossRef]
- Jahangirli, Z.; Alekperov, O.; Eyyubov, Q. Ab-Initio Investigation of the Electronic Structure, Optical Properties, and Lattice Dynamics of β-Ag2Te. Phys. Status Solidi B 2018, 255, 1800344. [Google Scholar] [CrossRef]
- Novelli, P.; Torre, I.; Koppens, F.H.L.; Taddei, F.; Polini, M. Optical and plasmonic properties of twisted bilayer graphene: Impact of interlayer tunneling asymmetry and ground-state charge inhomogeneity. Phys. Rev. B 2020, 102, 125403. [Google Scholar] [CrossRef]
- Low, T.; Guinea, F.; Yan, H.; Xia, F.; Avouris, P. Novel Midinfrared Plasmonic Properties of Bilayer Graphene. Phys. Rev. Lett. 2014, 112, 116801. [Google Scholar] [CrossRef] [PubMed]
- Yan, H.; Low, T.; Zhu, W.; Wu, Y.; Freitag, M.; Li, X.; Guinea, F.; Avouris, P.; Xia, F. Damping pathways of mid-infrared plasmons in graphene nanostructures. Nat. Photonics 2013, 7, 394–399. [Google Scholar] [CrossRef]
- Hor, Y.S.; Checkelsky, J.G.; Qu, D.; Ong, N.P.; Cava, R.J. Superconductivity and non-metallicity induced by doping the topological insulators Bi2Se3 and Bi2Te3. J. Phys. Chem. Solids 2011, 72, 572–576. [Google Scholar] [CrossRef]
- Zhang, J.-M.; Zhu, W.; Zhang, Y.; Xiao, D.; Yao, Y. Tailoring Magnetic Doping in the Topological Insulator Bi2Se3. Phys. Rev. Lett. 2012, 109, 266405. [Google Scholar] [CrossRef]
- Jin, K.-H.; Yeom, H.W.; Liu, F. Doping-induced topological phase transition in Bi: The role of quantum electronic stress. Phys. Rev. B 2020, 101, 035111. [Google Scholar] [CrossRef]
- Teng, J.; Liu, N.; Li, Y. Mn-doped topological insulators: A review. J. Semicond. 2019, 40, 081507. [Google Scholar] [CrossRef]




| A (nm) | B (nm) | C (nm) | ||||
|---|---|---|---|---|---|---|
| Original crystal | 0.809 | 0.448 | 0.896 | 90.00 | 123.33 | 90.00 |
| Type A doping | 0.807 | 0.445 | 0.956 | 93.76 | 123.01 | 88.29 |
| Type B doping | 0.854 | 0.437 | 0.819 | 92.52 | 125.81 | 88.59 |
| Type C doping | 0.827 | 0.453 | 0.934 | 89.77 | 125.75 | 89.59 |
| Type D doping | 0.887 | 0.443 | 0.957 | 85.94 | 129.03 | 92.90 |
Publisher’s Note: MDPI stays neutral with regard to jurisdictional claims in published maps and institutional affiliations. |
© 2022 by the authors. Licensee MDPI, Basel, Switzerland. This article is an open access article distributed under the terms and conditions of the Creative Commons Attribution (CC BY) license (https://creativecommons.org/licenses/by/4.0/).
Share and Cite
Su, X.; Gao, Y.; Wu, Q.; Song, H.; Yan, S.; Shi, Y. Robust UV Plasmonic Properties of Co-Doped Ag2Te. Crystals 2022, 12, 1469. https://doi.org/10.3390/cryst12101469
Su X, Gao Y, Wu Q, Song H, Yan S, Shi Y. Robust UV Plasmonic Properties of Co-Doped Ag2Te. Crystals. 2022; 12(10):1469. https://doi.org/10.3390/cryst12101469
Chicago/Turabian StyleSu, Xin, Yuan Gao, Qi Wu, Haizeng Song, Shancheng Yan, and Yi Shi. 2022. "Robust UV Plasmonic Properties of Co-Doped Ag2Te" Crystals 12, no. 10: 1469. https://doi.org/10.3390/cryst12101469
APA StyleSu, X., Gao, Y., Wu, Q., Song, H., Yan, S., & Shi, Y. (2022). Robust UV Plasmonic Properties of Co-Doped Ag2Te. Crystals, 12(10), 1469. https://doi.org/10.3390/cryst12101469

