Next Article in Journal
Experimental Analysis of Wax Micro-Droplet 3D Printing Based on a High-Voltage Electric Field-Driven Jet Deposition Technology
Next Article in Special Issue
A Solid-Solid Phase Transformation of Triclabendazole at High Pressures
Previous Article in Journal
Analysis of the Radiation Attenuation Parameters of Cu2HgI4, Ag2HgI4, and (Cu/Ag/Hg I) Semiconductor Compounds
 
 
Font Type:
Arial Georgia Verdana
Font Size:
Aa Aa Aa
Line Spacing:
Column Width:
Background:
Article

Improved Solubility and Dissolution Rate of Ketoprofen by the Formation of Multicomponent Crystals with Tromethamine

1
Department of Pharmaceutics, Universitas Andalas, Padang 25163, Indonesia
2
School of Pharmaceutical Sciences (STIFARM), Padang 25138, Indonesia
3
Department of Chemistry, School of Science, Tokyo Institute of Technology, Tokyo 1528551, Japan
*
Author to whom correspondence should be addressed.
Crystals 2022, 12(2), 275; https://doi.org/10.3390/cryst12020275
Submission received: 29 January 2022 / Revised: 11 February 2022 / Accepted: 14 February 2022 / Published: 17 February 2022
(This article belongs to the Special Issue Computational and Experimental Approaches in Pharmaceutical Crystals)

Abstract

:
This study aims to improve the dissolution rate of ketoprofen by preparing multicomponent crystals with tromethamine. The multicomponent crystals (equimolar ratio) of ketoprofen and tromethamine were prepared by the solvent co-evaporation method. The solid-state properties of the resulting powder were characterized by powder X-ray diffraction, DSC thermal analysis, FT–IR spectroscopy, solubility, and in vitro dissolution rate. The crystal structure of the multicomponent crystal was determined by single-crystal X-ray diffraction analysis. The results showed that the powder X-ray diffraction pattern of the ketoprofen–tromethamine binary system was different from that of the starting materials. This difference indicates the formation of a new crystalline phase between ketoprofen and tromethamine (equimolar ratio). The DSC thermogram of the ketoprofen–tromethamine binary system exhibited a single and sharp endothermic peak at 128.67 °C, attributed to the melting point of a multicomponent crystal of ketoprofen–tromethamine. A single-crystal X-ray analysis revealed that ketoprofen–tromethamine formed a layered structure, salt-type multicomponent crystal. The solubility and dissolution rate of the multicomponent crystal were notably enhanced compared to the intact ketoprofen. The ketoprofen–tromethamine binary system forms salt-type multicomponent crystals, which can significantly increase the solubility and dissolution rate.

1. Introduction

Most of the pharmaceutical dosage forms available in the market are solid, such as tablets and capsules. Solid dosage forms have the advantage of being more practical and acceptable for patients [1]. One of the challenges faced by the pharmaceutical industry in developing solid dosage forms is the low solubility of the active pharmaceutical ingredients in the aqueous medium. The absorption process in the gastrointestinal tract of a drug that is poorly soluble in water is limited by the dissolution process. The dissolution process in the gastrointestinal tract fluid is a rate-limiting step [2,3]. In order to overcome this problem, it is important to improve the solubility and dissolution rate of active pharmaceutical compounds.
One such poorly soluble drug is ketoprofen (Figure 1A). Ketoprofen (2-(3-benzoylphenyl)propionic acid) is a nonsteroidal anti-inflammatory drug used clinically to treat arthritis and rheumatoid arthritis. The side effects of ketoprofen on the gastrointestinal tract are lower than other nonsteroidal anti-inflammatory drugs [4,5]. According to the Biopharmaceutical Classification System, this drug is grouped into the BCS Class II; it is a drug with low solubility and high permeability. A drug poorly soluble in water will be incompletely absorbed in the gastrointestinal fluid [6].
Several approaches to enhancing the solubility and dissolution rate of ketoprofen have been documented, including the formation of an amorphous solid dispersion with some hydrophilic polymers [7,8,9], the formation of complex inclusions [10], simple eutectic mixtures [11], and nanosized particles [12,13]. However, in use, these methods can suffer from drawbacks, such as the low physical stability of the amorphous state, the high hygroscopicity of the solid dispersion system, and the physical instability of the colloidal dispersion in nanosized drug delivery [14,15].
A recent approach to enhancing the solubility and dissolution rates of poorly soluble drugs is to modify the solid forms of the drug by forming a multicomponent crystal containing active pharmaceutical ingredients with several safe coformers. A multicomponent crystal phase combines two or more active pharmaceutical ingredients with excipients that form a distinct crystalline phase, bonded through non-covalent bonds, such as hydrogen bonds, van der Waals, and π-bonds. Multicomponent crystals of pharmaceutical materials include cocrystals, salts, hydrates, and solvates [16,17]. It is well known that the multicomponent crystal phase improves the physicochemical properties of solid drugs, including solubility, dissolution rates, compressibility, and physical stability [18,19,20,21]. Tromethamine is a GRAS excipient that is approved by the USFDA. Tromethamine (Figure 1B) is widely used as a coformer in several active pharmaceutical ingredients, such as mefenamic acid, gliclazide, and indomethacin [22,23,24]. Recently, the formation of a salt of a ketoprofen (S)-enantiomer (dexketoprofen) with tromethamine has been documented, along with its crystal structure [25]. However, to the best of our knowledge, no multicomponent crystals of racemic ketoprofen with tromethamine have been reported. Herein, we report the formation of a multicomponent crystal of ketoprofen with tromethamine and characterize its physicochemical properties using powder X-ray diffraction, differential scanning calorimetry for thermal behaviour, and Fourier transform infrared spectroscopy. The crystal structure was elucidated by single-crystal X-ray diffraction. Solubility and in vitro dissolution rate studies were conducted to evaluate the improvement in the physicochemical properties compared to the intact form of ketoprofen.

2. Materials and Methods

2.1. Materials

Ketoprofen (racemic) was obtained from Kimia Farma Ltd. (Bandung, Indonesia). Tromethamine was purchased from Merck (Darmstadt, Germany). All other chemicals and organic solvents were of analytical grade.

2.2. Methods

2.2.1. Preparation of Multicomponent Crystals of Ketoprofen–Tromethamine

Multicomponent crystals of ketoprofen (2.543 g) and tromethamine (1.211 g) in an equimolar ratio were prepared using the solvent evaporation technique. Ketoprofen was dissolved in ethanol, while tromethamine was dissolved in a small amount of distilled water. Both solutions were mixed and stirred until clear. The solution was evaporated in vacuo at 40–50 °C for 48 h to yield a solid phase. The multicomponent crystals of ketoprofen and tromethamine were stored at room temperature in a desiccator containing silica gel.

2.2.2. Powder X-ray Diffraction (PXRD)

Powder X-ray diffraction (PXRD) measurements were performed using SmartLab (Rigaku, Tokyo, Japan) with Cu Kα radiation (45 kV, 250 mA). The patterns were recorded from 2-theta = 10° to 40°.

2.2.3. Differential Scanning Calorimetry (DSC)

Differential scanning calorimetry (DSC) thermograms were obtained using a thermal analyser system (Shimadzu DSC 06, Tokyo, Japan). Samples were accurately weighed into aluminium pans and then hermetically sealed. The samples were heated from 50–170 °C at a heating rate of 10 °C per minute.

2.2.4. Fourier Transform Infrared (FT–IR) Spectroscopy

The Fourier transform infrared (FT–IR) spectra of ketoprofen and the multicomponent crystal of ketoprofen–tromethamine were collected with an FT–IR spectrometer (Thermo Fisher Scientific, Waltham, MA, USA). The samples were mixed with potassium bromide (KBr) in a weight ratio of 1:100. This mixture was compressed into pellets. The absorption of samples was recorded from 4000–600 cm−1.

2.2.5. Single-Crystal X-ray Diffraction and Crystal Structure Refinements

The single crystal of ketoprofen–tromethamine suitable for X-ray diffraction measurement (0.325 × 0.170 × 0.121 mm3) was obtained by a solvent diffusion method using ethanol/hexane. The diffraction data were collected at −100 °C using Rigaku R-AXIS RAPID II (rotating anode Cu Kα radiation). The data correction was performed using AB–SCOR. The crystal structure was solved by SHELXS-2014/7 (Sheldrick, 2014) and refined on Fo2 using SHELXL-2014/7 (Sheldrick, 2014). All atoms, except hydrogen, were refined anisotropically. Hydrogen atoms of a coformer tromethamine were found from the differential Fourier maps and refined isotropically. The other hydrogen atoms were located at the geometrically calculated positions and treated using a riding-atom model.

2.2.6. Solubility Test

A solubility test was conducted to measure the amount of ketoprofen that dissolved in the solvent. An excessive amount of intact ketoprofen and the multicomponent ketoprofen–tromethamine crystal were dissolved in distilled water. The solubility test was carried out in an orbital shaker for 24 h at room temperature. The sample was filtered using Whatman filter paper (0.45 μm), and the measurements of the concentration of ketoprofen were carried out using the high-performance liquid chromatography (HPLC) technique equipped with DAD UV–Vis detector (Shimadzu, Tokyo, Japan) at 258 nm. Acetonitrile and phosphate acid 0.2% v/v (75:25) were used as a mobile phase. The retention time was 4.12 min. Each formula was performed in triplicate.

2.2.7. Dissolution Rate Study

The dissolution rate was evaluated using a USP Type II dissolution test apparatus (Hanson Research SR08; Chatsworth, CA, USA). Samples equivalent to 50 mg of ketoprofen were placed in the dissolution vessel containing 900 mL of phosphate buffer (pH 7.4) maintained at 37 ± 0.5 °C and stirred at 50 rpm. Samples were collected after the indicated periods for up to 60 min and replaced with a fresh dissolution medium. The concentration of dissolved ketoprofen was determined by the high-performance liquid chromatography (HPLC) technique equipped with a DAD UV–Vis detector (Shimadzu, Tokyo, Japan) at 258 nm. Acetonitrile and phosphate acid 0.2% v/v (75:25) were used as the mobile phase. The retention time was 4.12 min. The experiment was run in triplicate. The data are presented in a chart (time versus percent dissolved of ketoprofen).

2.2.8. Theoretical Calculation

The Hirshfeld surfaces were calculated using CrystalExplorer 17.5 (University of Western Australia, Perth, Australia) with B3LYP/6-31G**. The hydration energies were calculated using Spartan’18 with B3LYP-D3/6-311+G** with SM5.4/AM1 options.

3. Results and Discussion

3.1. Solid-State Characterization

The powder X-ray diffraction was carried out to initially evaluate and confirm the formation of multicomponent crystals composed of ketoprofen and tromethamine. The PXRD analysis of ketoprofen, tromethamine, and the multicomponent crystal is presented in Figure 2. Meanwhile, the ketoprofen–tromethamine multicomponent crystal generated new diffraction peaks at the specific 2-theta, which differed from those of the starting components. This finding indicated that ketoprofen and tromethamine in an equimolar ratio underwent an intramolecular interaction.
Hence, crystal engineering of active pharmaceutical ingredients with excipients can produce a multicomponent crystal, including cocrystals, salts, and eutectic mixtures [16,26]. Some studies have introduced guidelines to identify types of interactions between active pharmaceutical ingredients with excipients in multicomponent crystal phases. The guidelines were based on the difference of the pKa (ΔpKa) of the two solid phases, which interact in a molar ratio. If the ΔpKa between solid active pharmaceutical ingredients and its coformers was more than three, the multicomponent crystal tended to form a salt-type crystal [17,27,28]. Ketoprofen and tromethamine had pKas of 4.13 and 8.6, respectively [29,30]. Thus, the ΔpKa between the ketoprofen and tromethamine was 4.47, which indicated a high likelihood of forming a salt-type multicomponent crystal phase.
The thermal analysis was conducted to investigate the thermodynamic behavior of the solid materials and to identify any exothermic and endothermic changes in the solid binary mixture. The DSC thermograms of ketoprofen, tromethamine, and the ketoprofen–tromethamine multicomponent crystal are shown in Figure 3. The DSC thermograms revealed the highly crystalline nature of ketoprofen, which exhibited a sharp endothermic peak at 96.53 °C (corresponding to a fusion enthalpy of 299.87 mJ). Two endothermic peaks were observed for tromethamine at 141.45 °C and 172.53 °C. The endothermic peak at 172.53 °C agreed with the melting point of tromethamine, while the endothermic peak at 141.45 °C corresponded to the solid-state transition temperature, in agreement with previous work [23]. The DSC thermogram of ketoprofen–tromethamine was significantly different from that of the starting materials. The distinct endothermic peak of the multicomponent crystal at 128.67 °C indicates a new crystalline phase. The PXRD results corroborate these findings.
FT–IR spectroscopy was used to identify the intramolecular interactions between ketoprofen and tromethamine. Changes in the vibrational frequencies in the FT–IR spectrum were correlated with changes in the hydrogen bonding and van der Waals interactions due to the formation of multicomponent crystals between the active pharmaceutical ingredients and excipients [31]. The FT–IR spectrum (Figure 4A) of the intact ketoprofen showed vibrational frequencies with typical transmittances at the wavenumbers 1436 cm−1 for a CH3 asymmetric deformation, 1596 cm−1 for the C=O stretching of the ketone carbonyl, and 1687 cm−1 for the C=O stretch (carbonyl group). The carboxylate (COOH) functional group stretching band (v C=O) of ketoprofen at 1687 cm−1 shifts to a lower wavenumber at 1649 cm−1 in the ketoprofen–tromethamine multicomponent crystal, as shown in Figure 4B. This shift indicates that the carboxylate functional group of the ketoprofen was deprotonated to a carboxylate anion (V COO). We hypothesized the formation of ionic intramolecular interactions by proton sharing via hydrogen bonding between ketoprofen and tromethamine due to the high difference of pKa. The carboxylic functional group of ketoprofen underwent deprotonation and a proton transfer to the primary amine of tromethamine. This is the same phenomenon found in some weak-acid active pharmaceutical ingredients, which can cocrystallize with a weakly basic coformer [24,28].

3.2. Crystal Structure of Ketoprofen–Tromethamine Multicomponent Crystal

The single-crystal X-ray diffraction measurement revealed that the crystal system and the space group are monoclinic and P21/c, respectively. The crystal data of ketoprofen–tromethamine are shown in Table 1, and its asymmetric unit is illustrated in Figure 5. The two C-O bond lengths of the carboxy group of ketoprofen were 1.246(3) Å and 1.259(3) Å, indicating a COO state, and an additional proton (H+) was observed in tromethamine NH2. Thus, the proton transfer from a carboxy group of ketoprofen to tromethamine was confirmed, which supported the result of the FT–IR analysis. Therefore, this multicomponent crystal is a salt-type crystal. An ammonium group of tromethamine donated three hydrogen bonds (Figure 6)—one to tromethamine itself (2.813(3) Å), and the others to ketoprofen carboxylates (2.734(3) and 3.039(3) Å). The supplementary crystallographic data (Supplementary Material) for the multicomponent crystal phase ketoprofen–tromethamine has been submitted to CCDC with the deposit number 2130881.
The crystal packing adopted the alternating layered structure of ketoprofen and tromethamine (Figure 7). The complicated hydrogen bond network by the tromethamine cations, including the [O(hydroxy)-C-C-N(ammonium)-H…]2  R 2 2 ( 10 ) motif (Figure 8), could enable the tromethamine molecules to interconnect to form the 2-D layer. Thanks to such rigid frameworks, the ketoprofen molecules connected to them were neatly arranged. In order to visualize the difference in the crystal structures between the multicomponent crystal and the free acid, the crystal structure of the intact ketoprofen (CCDC: KEMRUP) is displayed in Figure 9 [32]. A PXRD pattern simulated from the single crystal structure of ketoprofen–tromethamine was consistent with that of the prepared powdery sample (Figure 2D).

3.3. Solubility and Dissolution Rate

The solubility and dissolution rate are important parameters in the preformulation stage for developing oral solid dosage forms. Modifying the solid-state properties through crystal engineering with excipients is a promising strategy. The solubility test results in distilled water, and the dissolution rate profile in the phosphate buffer (pH 7.4) of intact ketoprofen and the ketoprofen–tromethamine multicomponent crystal are displayed in Table 2 and Figure 10, respectively. The solubility of ketoprofen from its multicomponent crystal was significantly better (2.95-fold) than the intact ketoprofen, and the dissolution rate profile was faster. Within 60 min, the ketoprofen in the multicomponent crystal had dissolved by 89.56%; meanwhile, in the same amount of time, the intact ketoprofen had dissolved by 63.96%.
Based on the molecular arrangement of cationic ketoprofen and anionic tromethamine in a crystal lattice, the multicomponent crystal formed a layered structure. It has been proposed that salt-type multicomponent crystals can improve the solubility and dissolution rate because the components of salt (cation and anion) have a high affinity in the aqueous medium and dissociate to solvated cationic and anionic species [33]. Other studies have reported that the layered structure of the salt crystal facilitates the penetration of the water molecules into the crystal lattice [28,34].

3.4. Hirshfeld Surfaces and Hydration Energy Calculation

To establish a more detailed mechanism of improving the dissolution properties of ketoprofen by the salt formation technique, the Hirshfeld surface and hydration energy were calculated. The crystal structure of ketoprofen was taken from the literature (CCDC: KEMRUP) [32] after the addition of a missing phenyl hydrogen atom to a geometrically calculated position.
The Hirshfeld surface analysis is a widely used tool for visualizing interactions in crystal structures [35]. Figure 11 shows 2-D fingerprint plots of the Hirshfeld surface around ketoprofen; di and de are the distances from a point on the surface to the nearest nucleus inside and outside the surface, respectively. Although the fingerprint plot of ketoprofen is almost symmetric with respect to the line di = de and has two sharp horns because of the single component, in contrast, that of the multicomponent crystal is asymmetric and has only one horn. Figure 12 illustrates the ratio of the specific contribution in all interactions to the Hirshfeld surface. In the multicomponent crystal, a greater contribution of the close H-H interaction was observed than in the intact ketoprofen crystal. Further, one dense horn ((di, de) = (1.0, 0.7)) indicated strong O-H interactions. In the ketoprofen crystal, two horns were present due to a strong O-H interaction, ranging both inside ((di, de) = (1.0, 0.7)) and outside ((di, de) = (0.7, 1.0)). Furthermore, more C-H and H-C hydrophobic interactions contributed to the stabilization of the crystal, which may have prevented the solvent water from penetrating the crystal and making the solid form of ketoprofen water-insoluble. In the multicomponent crystal, however, interactions ranging outside ((di, de) = (0.7, 1.0)) were smaller compared to the intact crystal, and the greater ratio of H-H interactions indicated that intermolecular interactions were not strong enough to allow the solvent water to penetrate the interlayer of the crystal. A stronger O-H interaction (Figure 11d) representing possible hydrogen bonds was observed in the multicomponent crystal. This feature offered a greater opportunity for water molecules to be taken into the interlayer structure. Thus, the multicomponent crystal of ketoprofen–tromethamine improved the solubility more than the intact form.
In the case of the dexketoprofen–tromethamine salt crystal, the dihydrate phase was identified, where water molecules were incorporated into the interlayer [36], implying that molecular solvation interactions with water molecules are expected in a water solution. In order to examine the solvation effects on dissolution, hydration energies (Ehy) were estimated by calculating DFT with the solvent model SM5.4 (Table 3). The ionic species, including both ketoprofen and tromethamine, had stable hydration (|Ehy| = 266.49 and 269.95 kJ mol−1, respectively, where |Ehy| is the absolute value of Ehy). In contrast, |Ehy| of the neutral ketoprofen was smaller (31.86 kJ mol−1; racemic average). This indicates that both ketoprofen and tromethamine would be more stable as ionic forms in a water solution than neutral molecules.
The intact ketoprofen crystal was stabilized by hydrophobic interactions of C-H/H-C contact, and the neutral ketoprofen molecule was less energetically stabilized as a hydrating molecule. The carboxylic groups can interact with water molecules, but the groups are used to form a strong hydrogen bonding dimer structure in the crystal. This feature decreases the possibility of the water contacting the ketoprofen molecule in the crystal. In contrast, the ketoprofen–tromethamine multicomponent crystal with the alternating layered structure (Figure 7) can incorporate and cause the water inside the layer interface to dissolve, assisted by the higher hydration stabilization energy |Ehy|. Thus, the crystal is less stabilized given the high ratio of H-H interactions. Further, strong O-H interactions offer more opportunities to interact with water molecules inside the layer interface. Thus, the multicomponent crystal formation with tromethamine greatly enhanced the solubility and dissolution rate.

4. Conclusions

A novel salt-type multicomponent crystal of racemic ketoprofen with tromethamine was successfully prepared using the solvent co-evaporation technique. The ketoprofen–tromethamine multicomponent crystal had unique crystallographic, spectroscopic, and thermodynamic properties in its solid-state. This new salt-type multicomponent crystal exhibited a higher solubility and dissolution rate than the intact ketoprofen crystal. It had a layered structure composed of cationic tromethamine and anionic ketoprofen, which likely enabled water to be taken into the crystal easily via the layer interfaces. The Hirshfeld surface analysis and hydration energy calculation revealed that the intact ketoprofen crystal was stabilized mainly by hydrophobic interactions and had lower hydration stabilization energy than the multicomponent crystal. For these reasons, the formation of a multicomponent crystal could lead to the improved solubility and dissolution rate of ketoprofen.

Supplementary Materials

The data can be obtained free of charge from The Cambridge Crystallographic Data Centre via www.ccdc.cam.ac.uk/structures. CCDC 2130881 contains the supplementary crystallographic data for this paper.

Author Contributions

Conceptualization, E.Z. and H.U.; methodology, E.Z., L.F., H.U. and O.D.P.; software, H.O., H.U. and O.D.P.; validation, E.Z. and H.U.; formal analysis, L.F., E.Z., O.D.P. and H.U.; investigation, W.A.F., W.S. and H.R.; resources, E.Z. and H.U.; data curation, L.F., W.A.F., W.S., H.R. and O.D.P.; writing—original draft preparation, L.F., E.Z. and H.U.; writing—review and editing, E.Z., H.U., O.D.P. and H.O.; visualization, H.O. and O.D.P.; supervision, E.Z. and H.U.; project administration, W.A.F. and E.Z.; funding acquisition, E.Z. and H.U. All authors have read and agreed to the published version of the manuscript.

Funding

This research was funded by the Directorate of Research and Community Service–Ministry of Research and the Technology/National Research and Innovation Agency (DRPM–Kemenristek/BRIN) of the Republic of Indonesia, contract number 104/SP2H/LT/DRPM/2021. Part of this work was also supported by the JSPS KAKENHI (Japan Society for the Promotion on Science, Grants-in-Aid for Scientific Research), grant number JP18H04504 and JP20H04661 (HU). The APC was funded by DRPM–Kemenristek/BRIN.

Data Availability Statement

Not applicable.

Conflicts of Interest

The authors declare no conflict of interest. The funders had no role in the design of the study; in the collection, analyses, or interpretation of data; in the writing of the manuscript; or in the decision to publish the results.

References

  1. Adeyeye, M.C.; Brittain, H.G. (Eds.) Preformulation Solid Dosage form Development; Informa Healthcare USA: New York, NY, USA, 2008. [Google Scholar]
  2. Di, L.; Fish, P.V.; Mano, T. Bridging solubility between drug discovery and development. Drug Discov. Today 2012, 17, 486–495. [Google Scholar] [CrossRef] [PubMed]
  3. Kalepu, S.; Nekkanti, V. Insoluble drug delivery strategies: Review of recent advances and business prospects. Acta Pharm. Sin. B 2015, 5, 442–453. [Google Scholar] [CrossRef] [Green Version]
  4. Díaz-Reval, M.I.; Ventura-Martínez, R.; Déciga-Campos, M.; Terrón, A.J.; Cabré, F.; López-Muñoz, F.J. Evidence for a central mechanism of action of S-(+)-ketoprofen. Eur. J. Pharmacol. 2004, 483, 241–248. [Google Scholar] [CrossRef] [PubMed]
  5. Heyneman, C.A.; Lawless-Liday, C.; Wall, G.C. Oral versus Topical NSAIDs in Rheumatic Diseases. Drugs 2000, 60, 555–574. [Google Scholar] [CrossRef] [PubMed]
  6. Tsume, Y.; Langguth, P.; Garcia-Arieta, A.; Amidon, G.L. In silico prediction of drug dissolution and absorption with variation in intestinal pH for BCS class II weak acid drugs: Ibuprofen and ketoprofen. Biopharm. Drug Dispos. 2012, 33, 366–377. [Google Scholar] [CrossRef] [PubMed] [Green Version]
  7. Browne, E.; Worku, Z.A.; Healy, A.M. Physicochemical Properties of Poly-Vinyl Polymers and Their Influence on Ketoprofen Amorphous Solid Dispersion Performance: A Polymer Selection Case Study. Pharmaceutics 2020, 12, 433. [Google Scholar] [CrossRef] [PubMed]
  8. Geng, Y.; Zhou, F.; Williams, G.R. Developing and scaling up fast-dissolving electrospun formulations based on poly(vinylpyrrolidone) and ketoprofen. J. Drug Deliv. Sci. Technol. 2021, 61, 102138. [Google Scholar] [CrossRef]
  9. Bhatia, M.; Devi, S. Development, Characterisation and Evaluation of PVP K-30/PEG Solid Dispersion Containing Ketoprofen. ACTA Pharm. Sci. 2020, 58, 1. [Google Scholar] [CrossRef]
  10. Trisanti, P.N.; Sumarno. The effect of water addition in inclusion formation of ketoprofen/β-cyclodextrin using supercritical CO2. In Proceedings of the AIP Conference Proceedings; AIP Publishing LLC: Melville, NY, USA, 2019; Volume 2085, p. 20052. [Google Scholar]
  11. Zaini, E.; Wahyuni, Y.S.; Halim, A.; Yuliandra, Y. Preparation of eutectic mixture of ketoprofen and nicotinamide for enhanced dissolution rate. Int. J. Pharm. Sci. Rev. Res. 2015, 35, 161–164. [Google Scholar]
  12. Khan, J.; Bashir, S.; Khan, M.A.; Ghaffar, R.; Naz, A.; Khan, W.; Ahmad, S.; Ullah, A.; Ali, F.L.; Isreb, M. Enhanced dissolution rate of Ketoprofen by fabricating into smart nanocrystals. Pak. J. Pharm. Sci. 2019, 32, 2899–2904. [Google Scholar]
  13. Ramos, P.; Pedra, N.; Soares, M.; Da Silveira, E.; Oliveira, P.; Grecco, F.; Da Silva, L.; Ferreira, L.M.; Ribas, D.; Gehrcke, M.; et al. Ketoprofen-loaded rose hip oil nanocapsules attenuate chronic inflammatory response in a pre-clinical trial in mice. Mater. Sci. Eng. C 2019, 103, 109742. [Google Scholar] [CrossRef] [PubMed]
  14. Serajuddin, A.T. Solid dispersion of poorly water-soluble drugs: Early promises, subsequent problems, and recent breakthroughs. J. Pharm. Sci. 1999, 88, 1058–1066. [Google Scholar] [CrossRef] [PubMed]
  15. Desai, P.P.; Date, A.A.; Patravale, V.B. Overcoming poor oral bioavailability using nanoparticle formulations–opportunities and limitations. Drug Discov. Today Technol. 2012, 9, e87–e95. [Google Scholar] [CrossRef] [PubMed]
  16. Cerreia Vioglio, P.; Chierotti, M.R.; Gobetto, R. Pharmaceutical aspects of salt and cocrystal forms of APIs and characterization challenges. Adv. Drug Deliv. Rev. 2017, 117, 86–110. [Google Scholar] [CrossRef] [PubMed]
  17. Putra, O.D.; Uekusa, H. Pharmaceutical Multicomponent Crystals: Structure, Design, and Properties. In Advances in Organic Crystal Chemistry; Springer: Berlin, Germany, 2020; pp. 153–184. [Google Scholar]
  18. Zaini, E.; Afriyani, A.; Fitriani, L.; Ismed, F.; Horikawa, A.; Uekusa, H. Improved Solubility and Dissolution Rates in Novel Multicomponent Crystals of Piperine with Succinic Acid. Sci. Pharm. 2020, 88, 21. [Google Scholar] [CrossRef] [Green Version]
  19. Nugrahani, I.; Komara, S.W.; Horikawa, A.; Uekusa, H. Composing Novel Diclofenac Potassium and l-Proline Salt Cocrystal as a Strategy to Increase Solubility and Dissolution. J. Pharm. Sci. 2020, 109, 3423–3438. [Google Scholar] [CrossRef] [PubMed]
  20. Bhatt, J.; Bahl, D.; Morris, K.; Stevens, L.L.; Haware, R. Structure-mechanics and improved tableting performance of the drug-drug cocrystal metformin: Salicylic acid. Eur. J. Pharm. Biopharm. 2020, 153, 23–35. [Google Scholar] [CrossRef]
  21. Lu, Q.; Dun, J.; Chen, J.-M.; Liu, S.; Sun, C.C. Improving solid-state properties of berberine chloride through forming a salt cocrystal with citric acid. Int. J. Pharm. 2019, 554, 14–20. [Google Scholar] [CrossRef]
  22. Yuliandra, Y.; Izadihari, R.; Rosaini, H.; Zaini, E. Multicomponent crystals of mefenamic acid–tromethamine with improved dissolution rate. J. Res. Pharm. 2019, 23, 6. [Google Scholar] [CrossRef] [Green Version]
  23. Bruni, G.; Berbenni, V.; Maggi, L.; Mustarelli, P.; Friuli, V.; Ferrara, C.; Pardi, F.; Castagna, F.; Girella, A.; Milanese, C. Multicomponent crystals of gliclazide and tromethamine: Preparation, physico-chemical, and pharmaceutical characterization. Drug Dev. Ind. Pharm. 2018, 44, 243–250. [Google Scholar] [CrossRef]
  24. Bookwala, M.; Thipsay, P.; Ross, S.; Zhang, F.; Bandari, S.; Repka, M.A. Preparation of a crystalline salt of indomethacin and tromethamine by hot melt extrusion technology. Eur. J. Pharm. Biopharm. 2018, 131, 109–119. [Google Scholar] [CrossRef] [PubMed]
  25. Rossi, P.; Paoli, P.; Chelazzi, L.; Milazzo, S.; Biagi, D.; Valleri, M.; Ienco, A.; Valtancoli, B.; Conti, L. Relationships between anhydrous and solvated species of dexketoprofen trometamol: A solid-state point of view. Cryst. Growth Des. 2019, 20, 226–236. [Google Scholar] [CrossRef]
  26. Araya-Sibaja, A.M.; Vega-Baudrit, J.R.; Guillén-Girón, T.; Navarro-Hoyos, M.; Cuffini, S.L. Drug solubility enhancement through the preparation of multicomponent organic materials: Eutectics of lovastatin with carboxylic acids. Pharmaceutics 2019, 11, 112. [Google Scholar] [CrossRef] [PubMed] [Green Version]
  27. Cruz-Cabeza, A.J. Acid–base crystalline complexes and the pKa rule. CrystEngComm 2012, 14, 6362–6365. [Google Scholar] [CrossRef]
  28. Zaini, E.; Fitriani, L.; Sari, R.Y.; Rosaini, H.; Horikawa, A.; Uekusa, H. Multicomponent Crystal of Mefenamic Acid and N-Methyl-D-Glucamine: Crystal Structures and Dissolution Study. J. Pharm. Sci. 2019, 108, 2341–2348. [Google Scholar] [CrossRef] [PubMed]
  29. Gobbo, D.; Ballone, P.; Decherchi, S.; Cavalli, A. The Solubility Advantage of Amorphous Ketoprofen. Thermodynamic and Kinetic Aspects by Molecular Dynamics and Free Energy Approaches. J. Chem. Theory Comput. 2020, 16, 4126–4140. [Google Scholar] [CrossRef] [PubMed]
  30. Kondratenko, Y.A.; Nikonorova, A.A.; Zolotarev, A.A.; Ugolkov, V.L.; Kochina, T.A. Tris(hydroxymethyl)methyl ammonium salts of biologically active carboxylic acids. Synthesis, properties and crystal structure. J. Mol. Struct. 2020, 1207, 127813. [Google Scholar] [CrossRef]
  31. Ishihara, S.; Hattori, Y.; Otsuka, M.; Sasaki, T. Cocrystal Formation through Solid-State Reaction between Ibuprofen and Nicotinamide Revealed Using THz and IR Spectroscopy with Multivariate Analysis. Crystals 2020, 10, 760. [Google Scholar] [CrossRef]
  32. Briard, P.; Rossi, J.C. Kétoprofène. Acta Crystallogr. Sect. C Cryst. Struct. Commun. 1990, 46, 1036–1038. [Google Scholar] [CrossRef]
  33. Serajuddin, A.T.M. Salt formation to improve drug solubility. Adv. Drug Deliv. Rev. 2007, 59, 603–616. [Google Scholar] [CrossRef]
  34. Putra, O.D.; Umeda, D.; Fujita, E.; Haraguchi, T.; Uchida, T.; Yonemochi, E.; Uekusa, H. Solubility improvement of benexate through salt formation using artificial sweetener. Pharmaceutics 2018, 10, 64. [Google Scholar] [CrossRef] [PubMed] [Green Version]
  35. Spackman, M.A.; Jayatilaka, D. Hirshfeld surface analysis. CrystEngComm 2009, 11, 19–32. [Google Scholar] [CrossRef]
  36. Rossi, P.; Paoli, P.; Milazzo, S.; Chelazzi, L.; Giovannoni, M.P.; Guerrini, G.; Ienco, A.; Valleri, M.; Conti, L. A combined crystallographic and computational study on dexketoprofen trometamol dihydrate salt. Crystals 2020, 10, 659. [Google Scholar] [CrossRef]
Figure 1. Chemical structures of (A) ketoprofen and (B) tromethamine.
Figure 1. Chemical structures of (A) ketoprofen and (B) tromethamine.
Crystals 12 00275 g001
Figure 2. X-ray diffraction patterns: (A) ketoprofen (experiment), (B) tromethamine (experiment), (C) ketoprofen–tromethamine MCC (experiment), and (D) ketoprofen–tromethamine CC (simulation). (C and D) are almost identical.
Figure 2. X-ray diffraction patterns: (A) ketoprofen (experiment), (B) tromethamine (experiment), (C) ketoprofen–tromethamine MCC (experiment), and (D) ketoprofen–tromethamine CC (simulation). (C and D) are almost identical.
Crystals 12 00275 g002
Figure 3. DSC thermogram of (A) ketoprofen, (B) tromethamine, and (C) multicomponent crystals of ketoprofen–tromethamine.
Figure 3. DSC thermogram of (A) ketoprofen, (B) tromethamine, and (C) multicomponent crystals of ketoprofen–tromethamine.
Crystals 12 00275 g003
Figure 4. FT–IR spectra of (A) ketoprofen and (B) the multicomponent crystal phase of ketoprofen and tromethamine.
Figure 4. FT–IR spectra of (A) ketoprofen and (B) the multicomponent crystal phase of ketoprofen and tromethamine.
Crystals 12 00275 g004
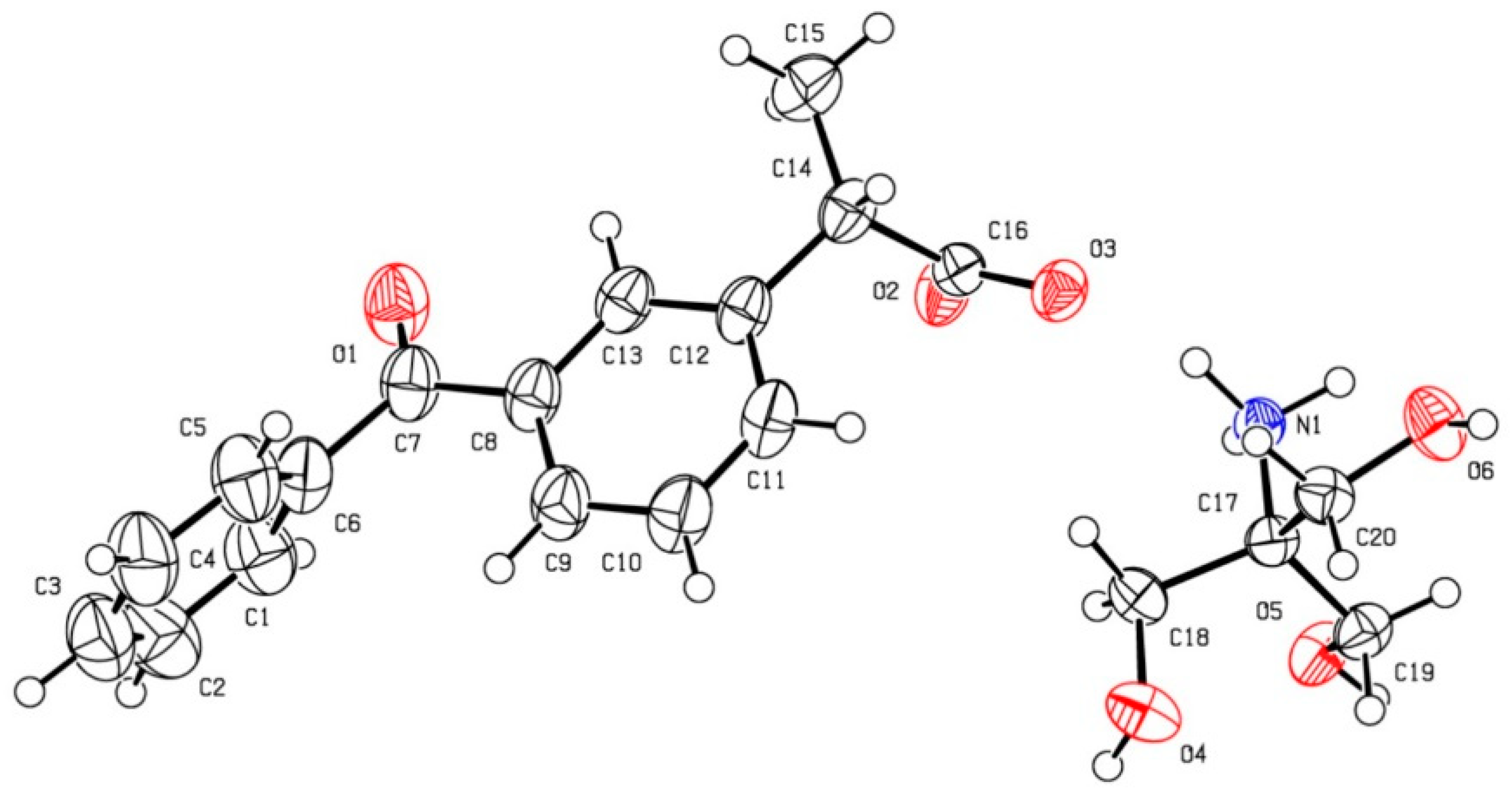
Figure 5. Thermal ellipsoid plot of a multicomponent crystal of ketoprofen and tromethamine (asymmetric unit; 50% probability level).
Figure 5. Thermal ellipsoid plot of a multicomponent crystal of ketoprofen and tromethamine (asymmetric unit; 50% probability level).
Crystals 12 00275 g005
Figure 6. Hydrogen bond among ketoprofen and tromethamine molecules. N-H…O bonds are accompanied by values of the N…O distance.
Figure 6. Hydrogen bond among ketoprofen and tromethamine molecules. N-H…O bonds are accompanied by values of the N…O distance.
Crystals 12 00275 g006
Figure 7. Crystal packing in a 2 × 2 × 1 structure viewed along the a-axis (top) and b-axis (bottom). Ketoprofen and tromethamine are coloured in orange and emerald green, respectively.
Figure 7. Crystal packing in a 2 × 2 × 1 structure viewed along the a-axis (top) and b-axis (bottom). Ketoprofen and tromethamine are coloured in orange and emerald green, respectively.
Crystals 12 00275 g007
Figure 8. Hydrogen bond motif R 2 2 ( 10 ) formed by a dimer of tromethamines.
Figure 8. Hydrogen bond motif R 2 2 ( 10 ) formed by a dimer of tromethamines.
Crystals 12 00275 g008
Figure 9. Crystal packing of ketoprofen (KEMRUP) [32] in a 3 × 3 structure showing carboxylic acid dimers instead of the layered structure. One missing hydrogen atom was calculated geometrically.
Figure 9. Crystal packing of ketoprofen (KEMRUP) [32] in a 3 × 3 structure showing carboxylic acid dimers instead of the layered structure. One missing hydrogen atom was calculated geometrically.
Crystals 12 00275 g009
Figure 10. The dissolution profile of intact ketoprofen and multicomponent crystal of ketoprofen and tromethamine in phosphate buffer (pH 7.4).
Figure 10. The dissolution profile of intact ketoprofen and multicomponent crystal of ketoprofen and tromethamine in phosphate buffer (pH 7.4).
Crystals 12 00275 g010
Figure 11. Two-dimensional fingerprint plots of (a) intact ketoprofen/all interactions, (b) intact ketoprofen/O-H interaction, (c) multicomponent crystal of ketoprofen and tromethamine/all interactions, and (d) multicomponent crystal/O-H interaction.
Figure 11. Two-dimensional fingerprint plots of (a) intact ketoprofen/all interactions, (b) intact ketoprofen/O-H interaction, (c) multicomponent crystal of ketoprofen and tromethamine/all interactions, and (d) multicomponent crystal/O-H interaction.
Crystals 12 00275 g011
Figure 12. The relative contribution of different interactions to the Hirshfeld surface.
Figure 12. The relative contribution of different interactions to the Hirshfeld surface.
Crystals 12 00275 g012
Table 1. Crystal data of KT–TM.
Table 1. Crystal data of KT–TM.
CompoundKetoprofen–Tromethamine (KT-TM)
Chemical formulaC16H13O3, C4H12NO3+
Temperature/°C−100
Crystal systemMonoclinic
Space groupP21/c
Cell parametersa8.6312(2)
b5.9134(1)
c37.4357(7)
β93.039(1)
Volume/Å31908.02(7)
Z, Z4, 1
Density/(g cm−3)1.307
R1 [I > 2σ(I)]0.0656
CCDC deposit number2130881
Table 2. The solubility data of intact ketoprofen and multicomponent crystal phase in distilled water.
Table 2. The solubility data of intact ketoprofen and multicomponent crystal phase in distilled water.
CompoundSolubility (mg/100 mL)Solubility Enhancement
Intact ketoprofen22.23 ± 4.55-
Multicomponent crystal of ketoprofen–tromethamine65.62 ± 3.862.95 fold
Table 3. Hydration energies of tromethamine and ketoprofen.
Table 3. Hydration energies of tromethamine and ketoprofen.
CompoundEhy/kJ mol−1
Tromethamine (cation)−266.49
(S)-Ketoprofen (anion)−268.40
(R)-Ketoprofen (anion)−271.49
Ketoprofen (anion, average)−269.95
(S)-Ketoprofen (neutral)−29.76
(R)-Ketoprofen (neutral)−33.96
Ketoprofen (neutral, average)−31.86
Publisher’s Note: MDPI stays neutral with regard to jurisdictional claims in published maps and institutional affiliations.

Share and Cite

MDPI and ACS Style

Fitriani, L.; Firdaus, W.A.; Sidadang, W.; Rosaini, H.; Putra, O.D.; Oyama, H.; Uekusa, H.; Zaini, E. Improved Solubility and Dissolution Rate of Ketoprofen by the Formation of Multicomponent Crystals with Tromethamine. Crystals 2022, 12, 275. https://doi.org/10.3390/cryst12020275

AMA Style

Fitriani L, Firdaus WA, Sidadang W, Rosaini H, Putra OD, Oyama H, Uekusa H, Zaini E. Improved Solubility and Dissolution Rate of Ketoprofen by the Formation of Multicomponent Crystals with Tromethamine. Crystals. 2022; 12(2):275. https://doi.org/10.3390/cryst12020275

Chicago/Turabian Style

Fitriani, Lili, Wahyu Alfath Firdaus, Wahyu Sidadang, Henni Rosaini, Okky Dwichandra Putra, Hironaga Oyama, Hidehiro Uekusa, and Erizal Zaini. 2022. "Improved Solubility and Dissolution Rate of Ketoprofen by the Formation of Multicomponent Crystals with Tromethamine" Crystals 12, no. 2: 275. https://doi.org/10.3390/cryst12020275

APA Style

Fitriani, L., Firdaus, W. A., Sidadang, W., Rosaini, H., Putra, O. D., Oyama, H., Uekusa, H., & Zaini, E. (2022). Improved Solubility and Dissolution Rate of Ketoprofen by the Formation of Multicomponent Crystals with Tromethamine. Crystals, 12(2), 275. https://doi.org/10.3390/cryst12020275

Note that from the first issue of 2016, this journal uses article numbers instead of page numbers. See further details here.

Article Metrics

Back to TopTop