Abstract
The ligands 4′-{4-(N,N-diethylaminophenyl)}-3,2′:6′,3″-terpyridine (1) and 4′{4-(N,N-diphenylaminophenyl)}-3,2′:6′,3″-terpyridine (2) were prepared and characterized, including the single crystal structure of 2. Along with their 4,2′:6′,4″-terpyridine isomers, 3 and 4, ligands 1 and 2 were reacted with Co(NCS)2 under conditions of crystal growth by layering, using solvent mixtures of MeOH and CHCl3. The single crystal structures of [Co(NCS)2(1)]n·0.8nCHCl3, [Co(NCS)2(2)2(MeOH)2]·3CHCl3, [Co(NCS)2(3)]n·2nCHCl3, and [Co(NCS)2(4)]n were determined. The complexes with 1, 3, and 4 assemble into 2D (4,4) nets with the Co(II) centres as 4-connecting nodes, whereas [Co(NCS)2(2)2(MeOH)2] is a discrete molecular species, illustrating that MeOH can act as a non-innocent solvent. The effects on the structure of changing from the 3,2′:6′,3″-terpyridine (3,2′:6′,3″-tpy) to a 4,2′:6′,4″-tpy metal-binding unit, and of introducing R2N functionalities with different steric demands, are discussed. PXRD of bulk samples of all four products confirmed the single-crystal structures as representative of the bulk materials.
1. Introduction
The 4,2′:6′,4″-terpyridine (4,2′:6′,4″-tpy) metal-binding domain has increased in popularity as a building block in coordination polymers and networks, while 3,2′:6′,3″-terpyridines (3,2′:6′,3″-tpy) are less well examined [1,2,3,4]. The introduction of functional groups in the 4′-position of the tpy unit is synthetically straightforward, and provides a means of tuning the properties of the ligands and their coordination complexes. Among the coordinatively innocent functionalities introduced into 4,2′:6′,4″- and 3,2′:6′,3″-tpy ligands, N,N-diarylamino and N,N-dialkylamino substituents have received attention because of the donor–acceptor (D–A) nature of 4′-{4-(N,N-diarylaminophenyl)}terpyridines and their photophysical properties [5,6]. Similar D–A behaviour is observed for derivatives containing (EtO2CCH2)2NC6H4 substituents [7]. Structural and catalytic properties have been the focus of a number of investigations of metal coordination compounds incorporating 4′-(4-R2NC6H4)-4,2′:6′,4″-terpyridines [8,9,10,11,12,13,14,15]. Reports of structurally characterized coordination polymers incorporating 4′-(4-R2NC6H4)-4,2′:6′,4″-tpy ligands are restricted to N,N-dimethylaminophenyl derivatives [13,16].
Our recent investigations into the formation of (4,4) nets assembled from 3,2′:6′,3″-tpy ligands and Co(NCS)2 illustrated both the conformational flexibility of the 3,2′:6′,3″-tpy unit (Scheme 1) and the effects of introducing different alkyloxy substituents in the 4′-position of the 3,2′:6′,3″-tpy ligand [17,18,19]. We also noted the role that different lattice solvents play in assemblies arising from a combination of Co(NCS)2 and 4′-{4-(naphthalen-1-yl)phenyl}-3,2′:6′,3″-terpyridine [20]. Use of a coordinating solvent, such as MeOH, in crystallization experiments can lead to competition for cobalt(II) coordination sites, militating against the assembly of a 2D-network [21]. In the current work, we investigated how the introduction of 4′-(N,N-diethylaminophenyl) or 4′-(N,N-diphenylaminopheny)l groups into 3,2′:6′,3″-tpy (ligands 1 and 2, Scheme 2) affects the outcome of reactions with Co(NCS)2; these substituents have significantly different steric demands, and the Ph2N group also offers the potential for π-stacking interactions in the solid state. Analogous reactions were carried out using ligands 3 and 4, which contain 4,2′:6′,4″-tpy units (Scheme 2).
Scheme 1.
Limiting planar conformations of 3,2′:6′,3″-tpy.
Scheme 2.
Structures of ligands 1–4, with atom labelling, used for NMR spectroscopic assignments of 1, 2, and 3. The NMR spectroscopic data for 4 have previously been reported [8,15].
2. Materials and Methods
2.1. General
1H and 13C{1H} NMR spectra were recorded at 298 K on a Bruker Avance III-500 NMR spectrometer. 1H and 13C chemical shifts were referenced to residual solvent peaks with respect to δ(TMS) = 0 ppm. Matrix-assisted laser desorption ionization (MALDI) mass spectra were recorded using a Shimadzu MALDI-8020 instrument, without a matrix added during sample preparation. Absorption and infrared (IR) spectra were recorded on a Shimadzu UV2600 spectrophotometer and PerkinElmer UATR Two instruments, respectively.
Compounds 3 and 4 have previously been reported [8,11,15].
2.2. Compound 1
4-(N,N-Diethylamino)benzaldehyde (1.77 g, 10.0 mmol) was dissolved in EtOH (50 mL), after which 3-acetylpyridine (2.42 g, 2.2 mL, 20.0 mmol) and crushed KOH (1.13 g, 20.0 mmol) were added to the solution. Aqueous NH3 (32%, 38.5 mL) was slowly added to the reaction mixture, and this was then stirred at room temperature overnight (ca. 15 h). The solid that formed was collected by filtration and washed with H2O and EtOH. The yellow product was dissolved in EtOH and left in the refrigerator (ca. 5 °C) to crystallize. The solid was collected by filtration and dried under vacuum. Compound 1 was isolated as a yellow solid (1.15 g, 3.03 mmol, 30.3%). M.p. = 161 °C. 1H NMR (500 MHz, CDCl3): δ/ppm 9.35 (d, J = 2.4 Hz, 2H, HA2), 8.66 (dd, J = 4.8, 1.7 Hz, 2H, HA6), 8.46 (dt, J = 8.0, 2.0 Hz, 2H, HA4), 7.87 (s, 2H, HB3), 7.64 (m, 2H, HC2), 7.41 (dd, J = 7.9, 4.7 Hz, 2H, HA5), 6.77 (m, 2H, HC3), 3.41 (q, J = 7.1 Hz, 4H, Ha), 1.20 (t, J = 7.1 Hz, 6H, Hb). 13C{1H} NMR (126 MHz, CDCl3): δ/ppm 155.1 (CA3), 150.5 (CB4), 150.0 (CA6), 148.8 (CC4), 148.5 (CA2), 135.1 (CB2), 134.5 (CA4), 128.1 (CC2), 123.8 (CC1), 123.6 (CA5), 116.2 (CB3), 111.8 (CC3), 44.5 (Ca), 12.6 (Cb). UV-Vis (CH2Cl2, 2 × 10–5 mol dm–3) λ/nm (ε/dm3 mol–1 cm–1): 273 (20,390), 293sh (16,600), 358 (23,000). MALDI-MS m/z 381.16 [M + H]+ (calc. 381.21). Found C 78.32, H 6.32, N 14.62; required for C25H24N4 C 78.92, H 6.36, N 14.73.
2.3. Compound 2
4-(N,N-Diphenylamino)benzaldehyde (2.73 g, 10.0 mmol) was dissolved in EtOH (80 mL) and 3-acetylpyridine (2.42 g, 2.2 mL, 20.0 mmol) and crushed KOH (1.13 g, 20.0 mmol) were added to the solution. Aqueous NH3 (32%, 38.5 mL) was slowly added to the reaction mixture, which was then stirred at room temperature overnight (ca. 15 h). The solid that formed was collected by filtration and washed with H2O and EtOH. The yellow product was dissolved in EtOH/CHCl3 and left to stand in a refrigerator (ca. 5 °C) to crystallize. The solid was collected by filtration and dried under vacuum. Compound 2 was isolated as a yellow crystalline solid (1.48 g, 3.11 mmol, 31.1%). M.p. = 227 °C. 1H NMR (500 MHz, CDCl3): δ/ppm 9.37 (d, J = 2.3 Hz, 2H, HA2), 8.69 (dd, J = 4.8, 1.7 Hz, 2H, HA6), 8.49 (dt, J = 8.0, 2.0 Hz, 2H, HA4), 7.92 (s, 2H, HB3), 7.62 (m, 2H, HC2), 7.44 (dd, J = 8.0, 4.8 Hz, 2H, HA5), 7.31 (dt, J = 7.4, 2.0 Hz, 4H, HD3), 7.21–7.15 (overlapping m, 6H, HC3+D2), 7.10 (m, 2H, HD4). 13C{1H} NMR (126 MHz, CDCl3): δ/ppm 155.4 (CA3), 150.33 (CB4), 150.26 (CA6), 149.4 (CC4), 148.5 (CA2), 147.3 (CD1), 134.9 (CB2), 134.6 (CA4), 131.0 (CC1), 130.0 (CD3), 128.0 (CC2), 125.2 (CD2), 123.9 (CD4), 123.7 (CA5), 122.9 (CC3), 117.1 (CB3). UV-Vis (CH2Cl2, 2 × 10−5 mol dm–3) λ/nm (ε/dm3 mol−1 cm−1): 242 (28,020), 292 (18,780), 363 (17,850). MALDI-MS m/z 476.13 [M]+ (calc. 476.20). Found C 81.62, H 4.98, N 11.41; required for C33H24N4 C 83.17, H 5.08, N 11.76.
2.4. Crystallography
Single crystal data were collected on a STOE StadiVari Eulerian 4-circle diffractometer (CuKα radiation) equipped with a Dectris Eiger2 1M detector. Structures were solved using Superflip [22,23] and Olex2 [24]. The model was refined with ShelXL v. 2018/3 [25]. All H atoms were included at geometrically calculated positions and refined using a riding model with Uiso = 1.2 of the parent atom. Structure analysis and structural diagrams used CSD Mercury 2022.1.0 [26]. In [Co(NCS)2(1)]n·0.8nCHCl3, the pyridine ring containing N1 is disordered, and was modelled over two sites of fractional occupancies, 0.45 and 0.55; the NEt2 unit is also disordered, and was modelled over two equal occupancy sites. In [Co(NCS)2(2)2(MeOH)2]·3CHCl3, a solvent mask was used to treat part of the solvent region, and electrons removed corresponded to one CHCl3 per formula unit. All the crystals of [Co(NCS)2(4)]n were twinned, and the crystal selected for structure determination was indexed with two domains.
PXRD data were collected at 295 K in transmission mode using a Stoe Stadi P diffractometer equipped with a CuKα1 radiation (Ge(111) monochromator and a DECTRIS MYTHEN 1 K detector. Whole-pattern profile matching analysis [27,28,29] of the diffraction patterns was carried out using FULLPROF SUITE (v. January 2021) [29,30] and applying a previously determined instrument resolution function based on a NIST640d standard. The structural models were derived from the single crystal X-ray diffraction data. The refined parameters in the Rietveld analysis were scale factor, zero shift, lattice parameters, background points, and peak shapes as a Thompson-Cox-Hastings pseudo-Voigt function. Preferred orientations as a March–Dollase multi-axial model were used in the analysis.
2.5. Crystal Growth of the Coordination Complexes
A solution of Co(NCS)2 (5.25 mg, 30μmol) in MeOH (5 mL) was layered over a CHCl3 solution (4 mL) of compound 1, 2, 3, or 4 (11.4 mg of 1 or 3, 30 μmol; or 14.3 mg of 2 or 4, 30 μmol) in a sealed test-tube. X-ray quality crystals grew within 5 days. After selection of an X-ray quality crystal and structural determination, the remaining crystals were removed by fitration, and were washed with MeOH and CHCl3, dried and analysed by PXRD and FT-IR spectroscopy.
2.6. Compound 2
C33H24N4, Mr = 476.56, colourless plate, monoclinic, space group C2/c, a = 34.855(5), b = 8.6116(8), c = 30.178(5) Å, β = 146.585(7)°, V = 4988.2(12) Å3, Dc = 1.269 g cm−3, T = 150 K, Z = 8, μ(CuKα) = 0.589 mm−1. Total 36,601 reflections, 4524 unique (Rint = 0.0744). Refinement of 3249 reflections (335 parameters) with I > 2σ(I) converged at final R1 = 0.0975 (R1 all data = 0.1376), wR2 = 0.2194 (wR2 all data = 0.2699), gof = 1.016. CCDC 2184407.
2.7. [Co(NCS)2(1)]n·0.8nCHCl3
C52.8H48.8Cl2.4CoN10S2, Mr = 1031.55, pink block, monoclinic, space group P21/n, a = 13.3183(3), b = 12.5045(2), c = 15.2418(4) Å, β = 96.533(2)°, V = 2521.87(10) Å3, Dc = 1.358 g cm−3, T = 150 K, Z = 2, μ(CuKα) = 4.982 mm−1. Total 22,004 reflections, 4963 unique (Rint = 0.0296). Refinement of 4678 reflections (377 parameters) with I > 2σ(I) converged at final R1 = 0.1030 (R1 all data = 0.1069), wR2 = 0.2365 (wR2 all data = 0.2400), gof = 0.941. CCDC 2184406.
2.8. [Co(NCS)2(2)2(MeOH)2]·3CHCl3
C73H59Cl9CoN10O2S2, Mr = 1550.40, yellow block, monoclinic, space group P21/c, a = 14.7142(9), b = 9.8420(5), c = 25.6400(17) Å, β = 94.944(5)°, V = 3699.3(4) Å3, Dc = 1.392 g cm−3, T = 150 K, Z = 2, μ(CuKα) = 5.755 mm−1. Total 31,869 reflections, 7229 unique (Rint = 0.0413). Refinement of 5841 reflections (426 parameters) with I > 2σ(I) converged at final R1 = 0.0845 (R1 all data = 0.1041), wR2 = 0.2057 (wR2 all data = 0.2316), gof = 1.019. CCDC 2184410.
2.9. [Co(NCS)2(3)]n·2nCHCl3
C54H50Cl6CoN10S2, Mr = 1174.79, yellow needle, monoclinic, space group P21/n, a = 8.34220(10), b = 16.5164(3), c = 19.9774(3) Å, β = 100.0720(10)°, V = 2710.13(7) Å3, Dc = 1.440 g cm−3, T = 150 K, Z = 2, μ(CuKα) = 6.302 mm−1. Total 27,499 reflections, 5260 unique (Rint = 0.0407). Refinement of 4249 reflections (334 parameters) with I > 2σ(I) converged at final R1 = 0.0956 (R1 all data = 0.1143), wR2 = 0.2215 (wR2 all data = 0.2451), gof = 1.069. CCDC 2184408.
2.10. [Co(NCS)2(4)]n
C68H48CoN10S2, Mr = 1128.21, yellow block, monoclinic, space group P21/c, a = 8.7148(3), b = 18.4121(6), c = 18.2547(5) Å, β = 101.524(2)°, V = 2870.06(16) Å3, Dc = 1.306 g cm−3, T = 150 K, Z = 2, μ(CuKα) = 3.430 mm−1. Total 58,771 reflections, 5669 unique (Rint = 0.1661). Refinement of 4410 reflections (368 parameters) with I > 2σ(I) converged at final R1 = 0.1458 (R1 all data = 0.1614), wR2 = 0.3652 (wR2 all data = 0.3729), gof = 0.977. CCDC 2184409.
3. Results and Discussion
3.1. Ligand Synthesis and Characterization
Compounds 1 and 2 were prepared from 3-acetylpyridine and 4-(N,N-diethylamino)benzaldehyde or 4-(N,N-diphenylamino)benzaldehyde, respectively, using the one-pot strategy of Hanan [31]. An analogous route was used to synthesize 3 and 4. Ligand 3 has previously been reported, but only with elemental analytical and 1H NMR spectroscopic characterization [11]. Ligand 4 has also been reported and characterized [8,15]. We include additional, previously unpublished, characterization data for 3 and 4 in this report.
The MALDI mass spectra of compounds 1–3 are shown in Figures S1–S3 in the Supplementary Materials. The base (also the highest mass) peak corresponded to the [M + H]+ ion at 381.16 for 1, and to the M+ ion at 476.13 for 2, and at 380.18 for 3. Solid-state IR spectra of 1–4 are displayed in Figures S4–S7.
The 1H and 13C{1H} NMR spectra and the HMQC and HMBC spectra of 1, 2, and 3 are depicted in Figures S8–S19 in the Supplementary Materials. Additionally, COSY and NOESY spectra were recorded to aid assignment of the signals. A comparison of the aromatic regions of 1–3 is shown in Figure 1. The signals for HC2 and HC3 were differentiated using NOESY HB3/HC2 cross peaks, and NOESY HB3/HA3 cross peaks were used to distinguish between the signals for HA3 and HA2. The spectra are in accord with the structures shown in Scheme 2.
Figure 1.
The aromatic regions in the 1H NMR spectra of (a) 1, (b) 2, and (c) 3 (500 MHz, 298 K, CDCl3). * = residual CHCl3. Scale: δ/ppm. Atom labelling is defined in Scheme 2.
The solution absorption spectra of 1–3 are shown in Figure 2 and absorption maxima are given in Table 1. The more intense absorptions below 300 nm for 2 compared to 1 and 3 are consistent with the presence of the Ph2N substituent in 2 versus Et2N in 1 and 3. The lower energy absorption, around 360 nm, is assigned to intra-ligand charge transfer (ILCT) involving the electron-donating Et2N or Ph2N substituents and electron-accepting terpyridine unit. For a CH2Cl2 solution of compound 4, the corresponding absorption appears at 366 nm with ε = 25,500 dm3 mol−1 cm−1 [15].
Figure 2.
Solution absorption spectra of compounds 1–3 (CH2Cl2, 2 × 10−5 mol dm−3).
Table 1.
Solution absorption maxima of compounds 1, 2 and 3 (CH2Cl2, 2 × 10−5 mol dm−3).
3.2. Single Crystal Structure of Compound 2
Yellow single crystals of 2 were obtained upon recrystallization from EtOH/CHCl3 at 2–5 °C. The compound crystallizes in the monoclinic space group C2/c and the molecular structure is depicted in Figure 3. Bond lengths and angles are all typical. The 3,2′:6′,3″-tpy unit adopts conformation II (Scheme 1), but deviates from planarity with the angles between the least-squares planes of the pairs of rings containing N1/N2 and N2/N3 being 11.5 and 26.1°, respectively. A larger twist angle of 39.9° is observed between the planes of the rings containing N2 and C13, consistent with alleviation of inter-ring H…H repulsive interactions. Atom N4 is in the expected planar environment (C22–N4–C11 = 119.1(3), C28–N4–C22 = 121.0(3), C28–N4–C11 = 119.9(3)°) and the N4–C11, N4–C22, and N4–C28 bond lengths of 1.437(5), 1.429(5), and 1.416(5) Å, respectively, are consistent with a π-contribution to each bond; the aromatic rings bonded to N4 are in a typical paddle-wheel arrangement. Packing interactions involve mainly C–H…x3C0; [32] contacts.
Figure 3.
The structure of ligand 2 with ellipsoids plotted at a 40% probability level.
3.3. Crystal Structures of [Co(NCS)2(1)]n·0.8nCHCl3, [Co(NCS)2(3)]n·2nCHCl3 and [Co(NCS)2(4)]n
Single crystals of [Co(NCS)2(1)]n·0.8nCHCl3, [Co(NCS)2(3)]n·2nCHCl3, and [Co(NCS)2(4)]n were grown by layering a methanol solution of Co(NCS)2 over a chloroform solution of the respective ligand (see Section 2 for details). The compounds crystallize in the monoclinic spaces groups P21/n or P21/c, and the structures of the asymmetric units in the three compounds are shown in Figure 4, as well as in Figures S20–S22 in the Supplementary Materials. Each Co atom is in an octahedral environment with the thiocyanate ligands mutually trans (Figure 4), and the equatorial sites occupied by N-atoms of four different terpyridine ligands (Figure 4). The variation in Co–NNCS–CNCS bond angles (Table 2) is significant. A search of the Cambridge Structural Database (CSD) version 2022.1.0 [33] using Conquest version 2022.1.0 [34] for the CoII–N–C–S unit reveals a range of Co–N–C angles from 93.5 to 180.0° (Figure 5). Thus, the value of 143.3(5)° observed in range shown in [Co(NCS)2(3)]n·2nCHCl3 appears to be intermediate between angles associated with ‘linear’ and ‘bent’ bonding modes of the NCS– ligand. The Co–Ntpy bond lengths are typical, and the N–Co–N bond angles (Table 2) are in accord with octahedral coordination.
Figure 4.
Structures of the repeat units in (a) [Co(NCS)2(1)]n·0.8nCHCl3 (symmetry codes: i = −x, 2 − y, 1 − z; ii = −1/2 − x, ½ + y, 1/2 − z; iii = 1/2 − x, −1/2 + y, 3/2 − z; iv = 1/2 − x, 1/2 + y, 3/2 − z; v = −1/2 + x, 3/2 − y, −1/2 + z), (b) [Co(NCS)2(3)]n·2nCHCl3 (symmetry codes: i = 2 − x, 2 − y, 1 − z; ii = 3/2 − x, 1/2 + y, 1/2 − z; iii = 5/2−x, −1/2 + y, 3/2−z; iv = 5/2−x, 1/2 + y, 3/2−z; v = −1/2 + x, 3/2 − y, −1/2 + z), and (c) [Co(NCS)2(4)]n (symmetry codes: i = 1 − x, 1−y, 1 − z; ii = 1 − x, −1/2 + y, 1/2−z; iii = 1−x, 1/2 + y, 3/2−z; iv = x, 3/2 − y, −1/2 + z; v = 1 − x, −1/2 − y, 3/2 + z).
Table 2.
Selected bond lengths and angles in [Co(NCS)2(1)]n·0.8nCHCl3, [Co(NCS)2(3)]n·2nCHCl3 and [Co(NCS)2(4)]n.
Figure 5.
Distribution of Co–NNCS–CNCS bond angles in compounds containing N-bonded thiocyanate ligands coordinated to cobalt(II) found in the CSD (version 2022.1.0).
In [Co(NCS)2(1)]n·0.8nCHCl3, the 3,2′:6′,3″-tpy unit exhibits conformation II (Figure 4a and Scheme 1), while in [Co(NCS)2(3)]n·2nCHCl3 and [Co(NCS)2(4)]n, only one limiting planar conformation of the 4,2′:6′,4″-tpy domain is possible. In each case, the structure propagates into a (4,4) net, directed by 4-connecting Co(II) nodes. Part of each net is shown in Figure 6, with the Co....Co vectors highlighted in blue. Each rhombus in each network is defined by four Co atoms and four ligands, with the 4-(N,N-diethylamino)phenyl or 4-(N,N-diphenylamino)phenyl substituents directed above or below the plane defined by the Co atoms. Working around each rhombus, an ‘up–up–down–down’ arrangement of substituents is observed. Internal angles in each rhombus in [Co(NCS)2(1)]n·0.8nCHCl3 are 66.5 and 113.5°, while the corresponding angles in [Co(NCS)2(3)]n·2nCHCl3 and [Co(NCS)2(4)]n are 78.4 and 101.6°, and 89.5 and 90.5°, respectively. A comparison of Figure 6a,b reveals how the change from a 3,2′:6′,3″- to 4,2′:6′,4″-tpy unit affects the orientation of the 4-(diethylamino)phenyl substituents. The effects of going from 4-(N,N-diethylamino)phenyl to 4-(N,N-diphenylamino)phenyl substituents, while maintaining a common 4,2′:6′,4″-tpy metal-binding domain, can be appreciated by comparing Figure 6b with 6c.
Figure 6.
The (4,4) net (top) and a view down the b-axis (bottom) in (a) [Co(NCS)2(1)]n·0.8nCHCl3, (b) [Co(NCS)2(3)]n·2nCHCl3, and (c) [Co(NCS)2(4)]n. The Co....Co vectors are depicted as blue lines to aid visualization of the (4,4) nets.
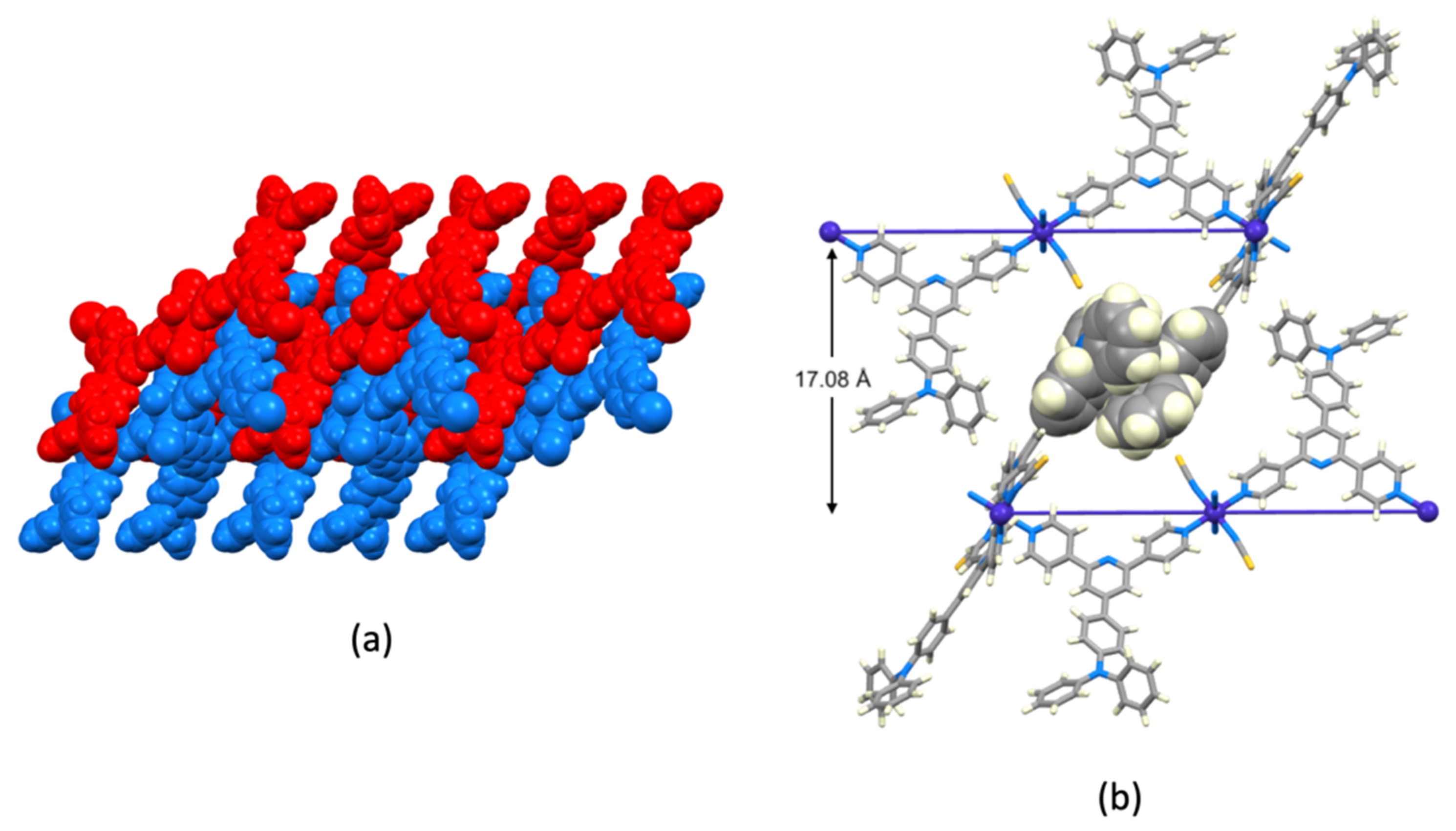
In each compound, the Co atoms in the (4,4) net lie in a plane. In [Co(NCS)2(1)]n·0.8nCHCl3, the inter-plane distances are 10.58 Å, and the 4-(N,N-diethylamino)phenyl groups are accommodated between the sheets, leaving cavities within the Co-containing planes which are occupied by CHCl3 molecules. A change from ligand 1 to 3 (i.e., 3,2′:6′,3″-tpy to 4,2′:6′,4″-tpy units), while retaining the same 4′-substituent, results in a closer approach of the Co-containing layers (inter-plane distance = 8.10 Å). As a result, the Et2N groups penetrate into cavities in an adjacent sheet. Despite this, the solvent-accessible void space increases from ca. 9.4% in [Co(NCS)2(1)]n to 18.2% in [Co(NCS)2(3)]n; these were calculated using Mercury 2022.1.0 [26] with a probe radius of 1.2 Å, and this is consistent with the reported formulae of [Co(NCS)2(1)]n·0.8nCHCl3 and [Co(NCS)2(3)]n·2nCHCl3. In [Co(NCS)2(4)]n, the inter-plane separation is 8.54 Å. The 4-(N,N-diphenylamino)phenyl substituents in one sheet penetrate through the adjacent sheet (Figure 7a) and engage in an embrace [35,36] with another 4-(N,N-diphenylamino)phenyl from the next-but-one sheet (Figure 7b). The packing is efficient, leaving no solvent-accessible voids.
Figure 7.
(a) Packing of adjacent sheets in the crystal lattice of [Co(NCS)2(4)]n (viewed down the b-axis). (b) Pairs of 4-(N,N-diphenylamino)phenyl groups (space-filling representation) in non-adjacent sheets engage in an embrace; 17.08 Å = twice the inter-plane separation of adjacent sheets.
The bulk samples from the crystallization tubes, from which single crystals of [Co(NCS)2(1)]n·0.8nCHCl3, [Co(NCS)2(3)]n·2nCHCl3, and [Co(NCS)2(4)]n were harvested, were analysed by IR spectroscopy and PXRD. The IR spectra are displayed in Figures S23–S25 (see the Supplementary Materials) and exhibit strong absorptions at 2070, 2049, and 2060 cm−1 for [Co(NCS)2(1)]n·0.8nCHCl3, [Co(NCS)2(3)]n·2nCHCl3, and [Co(NCS)2(4)]n, respectively, which are assigned to the CN stretching modes of the coordinated thiocyanate ligands. The region around 3000 cm−1, and the fingerprint region of each spectrum, is characteristic of ligand 1, 3, or 4 (compare with Figures S4, S6, and S7). Experimental PXRD patterns were compared with those predicted from the single crystal data, and provided good matches for all three compounds, confirming that the single crystal structures were representative of the bulk materials. PXRD patterns up to 2θ = 50° are given in Figure 8, and full PXRD patterns are shown in Figures S26–S28 in Supplementary Materials.
Figure 8.
PXRD (CuKα1 radiation) patterns for (a) [Co(NCS)2(1)]n·0.8nCHCl3, (b) [Co(NCS)2(3)]n·2nCHCl3, and (c) [Co(NCS)2(4)]n up to 2θ = 50°. The experimental pattern (red circles) is compared with the best fit from the Rietveld refinement analysis (black line). Bragg peak positions (green) and differences between the calculated and experimental plots (blue) are shown.
3.4. Crystal Structure of [Co(NCS)2(2)2(MeOH)2]·3CHCl3
Unexpectedly, the reaction of ligand 2 with Co(NCS)2 led to the discrete molecular complex [Co(NCS)2(2)2(MeOH)2]·3CHCl3. The compound crystallizes in the monoclinic P21/c space group, and Figure 9 and Figure S29 depict the structure. Atom Co1 is located on an inversion centre, and the asymmetric unit contains one crystallographic independent ligand 2. The Co–Ntpy, Co–NNCS, and Co–O bond lengths of 2.190(3), 2.090(4), and 2.083(3) Å, respectively, are typical, and N–Co–N and N–Co–O bond angles lie in the range of 87.84(13) to 92.16(13)°. The NCS– ligand coordinates in a linear mode (Co1–N5–C36 = 176.2(4)°). The 3,2″:6′,3″-tpy unit adopts conformation I (Scheme 1), with angles between the least-squares planes of the pyridine rings containing N1/N2 and N2/N3 being 32.4 and 5.1°. The arene ring containing C15 is twisted through 24.9° with respect to the pyridine ring with N2. This is smaller than the 39.9° angle observed in the free ligand 2.
Figure 9.
Structure of the [Co(NCS)2(2)2(MeOH)2] complex in the CHCl3 solvate; H atoms are omitted (symmetry code i = 2 − x, −y, 1 − z).
While N1 is coordinated to Co1, the non-coordinated atom N3 is involved in a hydrogen-bonded interaction to the coordinated MeOH molecule of an adjacent [Co(NCS)2(2)2(MeOH)2] complex. This leads to the assembly of 1D-chains supported by hydrogen bonds (Figure 10a). Relevant bond parameters are N3....H1ii = 1.84(3) Å, N3....O1ii = 2.688(4) Å, angle N3....H1ii–O1ii = 180(3)°. The chains are further supported by face-to-face π-stacking interactions between pyridine rings containing N2 and N3ii, and the pair symmetry-related pair with N3 and N2ii (Figure 10b, angle between ring planes = 5.1° and centroid...centroid = 4.03 Å).
Figure 10.
(a) Part of one hydrogen-bonded 1D-chain in [Co(NCS)2(2)2(MeOH)2]·3CHCl3 (symmetry code ii = 1 − x, −y, 1 − z), and (b) the π-stacking interaction between pairs of terpyridine units within the chain.
The solid-state IR spectrum (Figure S30 in Supplementary Materials) of the bulk sample from the crystallization tube from the reaction of 2 and Co(NCS)2 exhibits a characteristic, strong absorption at 2078 cm–1, arising from the CN stretch of the coordinated NCS– ligands. The bulk material was also analysed by PXRD, and the match between the experimental powder pattern and that predicted from the single-crystal structure determination (Figure 11) confirmed that the single-crystal structure was representative of the bulk sample. The non-innocent role of MeOH in the formation of [Co(NCS)2(2)2(MeOH)2] is reminiscent of the assembly of [Co(NCS)2(5)(MeOH)2]n, in which 5 is 4′-(4-methoxyphenyl)-3,2′:6′,3″-terpyridine [21]. The Co(II) centre in [Co(NCS)2(5)(MeOH)2]nis in the same trans-{Co(NCS)2(MeOH)2(Ntpy)2} environment as in [Co(NCS)2(2)2(MeOH)2]. However, ligand 5 coordinates through both outer pyridine rings to produce a 1D-coordination polymer. Similarly, the reaction of Co(NCS)2 with 2,5-dimethylpyrazine (Me2pyz) in MeOH resulted in the assembly of the 1D-polymer [Co(NCS)2(Me2pyz)(MeOH)2]n [37], and layering of a MeOH solution of Co(NCS)2 over a CHCl3 solution of 6 (Scheme 3) led to the 1D-polymer [Co(NCS)2(6)(MeOH)2]n [38]. The factors that control the assembly of a polymer versus a discrete molecular complex with pendant N-donors are unclear. For example, layering of a MeOH solution of 7 (Scheme 3) over an aqueous solution of Co(NCS)2 resulted in the formation of the molecular complex [Co(NCS)2(7)2(MeOH)2], which is closely related to [Co(NCS)2(2)2(MeOH)2]; [Co(NCS)2(7)2(MeOH)2] also forms hydrogen-bonded chains in the solid state [39]. These examples are representative of a significant number of structurally characterized [33,34] coordination compounds, both molecular and polymeric, which contain a trans-{Co(NCS)2(MeOH)2(N)2} motif.
Figure 11.
PXRD (CuKα1 radiation) patterns for [Co(NCS)2(2)2(MeOH)2]·3CHCl3 up to 2θ = 50°. The experimental pattern (red circles) is matched with the best fit from the Rietveld refinement analysis (black line). Bragg peak positions (green) and differences between the calculated and experimental plots (blue) are also shown. See Figure S30 for the complete PXRD.
Scheme 3.
Structures of ligands 6 and 7 [38,39].
4. Conclusions
We have prepared and characterized compounds 1 and 2, which contain 3,2′:6′,3″-tpy metal-binding domains and peripheral 4-(N,N-diethylamino)phenyl or 4-(N,N-diphenylamino)phenyl groups. Ligands 1 and 2, along with their 4,2′:6′,4″-tpy analogues, 3 and 4, were reacted with Co(NCS)2 by layering MeOH solutions of the cobalt(II) salt over CHCl3 solutions of the ligands. The single-crystal structures of [Co(NCS)2(1)]n·0.8nCHCl3, [Co(NCS)2(3)]n·2nCHCl3, and [Co(NCS)2(4)]n confirmed the assembly of 2D (4,4) nets, with each Co(II) centre acting as a 4-connecting node. Ligand 1 adopts conformation II (Scheme 1) in [Co(NCS)2(1)]n·0.8nCHCl3. Going from [Co(NCS)2(1)]n·0.8nCHCl3 (3,2′:6′,3″-tpy) to [Co(NCS)2(3)]n·2nCHCl3 (4,2′:6′,4″-tpy) leads to a closer approach of the Co-containing sheets; the inter-plane distance decreases from 10.58 Å to 8.10 Å, and this is accompanied by an increase in the solvent-accessible void space from 9.4% in [Co(NCS)2(1)]n to 18.2% in [Co(NCS)2(3)]n. The 2D-sheets in [Co(NCS)2(4)]n feature embracing pairs of 4-(diphenylamino)phenyl substituents, which occur between non-adjacent nets. The reaction between 2 and Co(NCS)2 in CHCl3/MeOH leads to the molecular complex [Co(NCS)2(2)2(MeOH)2], which assembles into a 1D-polymer through hydrogen bonding, illustrating the non-innocent role of MeOH as a solvent. PXRD of bulk samples of all four products confirmed the single-crystal structures as representative of the bulk materials.
Supplementary Materials
The following supporting information can be downloaded at: https://www.mdpi.com/article/10.3390/cryst12081136/s1: Figures S1–S3: mass spectra of ligands; Figures S4–S7: IR spectra of ligands; Figures S8–S19: NMR spectra of ligands; Figures S20–S22 and S29: additional structural figures; Figures S23–S25 and S30: IR spectra of complexes; Figures S26–S28 and S31: PXRD data.
Author Contributions
Methodology and data analysis, D.R. and A.N.; crystallography, A.P.; PXRD, D.R.; supervision, project administration, and funding acquisition, E.C.C. and C.E.H.; experimental write-up, D.R. and A.N.; writing—original draft preparation, C.E.H.; writing—review and editing, all authors: D.R.; A.N.; A.P.; E.C.C. and C.E.H. All authors have read and agreed to the published version of the manuscript.
Funding
This research was funded by the Swiss National Science Foundation (grant number 200020_182000).
Data Availability Statement
Data will be uploaded to zenodo.com after publication.
Acknowledgments
We thank the University of Basel for support.
Conflicts of Interest
The authors declare no conflict of interest.
References
- Housecroft, C.E. 4,2′:6′,4′′-Terpyridines: Diverging and diverse building blocks in coordination polymers and metallomacrocycles. Dalton Trans. 2014, 43, 6594–6604. [Google Scholar] [CrossRef] [PubMed]
- Housecroft, C.E. Divergent 4,2′:6′,4′′- and 3,2′:6′,3′′-terpyridines as linkers in 2- and 3-dimensional architectures. CrystEngComm 2015, 17, 7461–7468. [Google Scholar] [CrossRef]
- Housecroft, C.E.; Constable, E.C. The terpyridine isomer game: From chelate to coordination network building block. Chem. Commun. 2020, 56, 10786–10794. [Google Scholar] [CrossRef]
- Housecroft, C.; Constable, E. Isomers of Terpyridine as Ligands in Coordination Polymers and Networks Containing Zinc(II) and Cadmium(II). Molecules 2021, 26, 3110. [Google Scholar] [CrossRef] [PubMed]
- Zhang, J.; Wang, H. Photophysical investigaions and the bioimaings of α-, β-, γ-pyridine-based terpyridine derivatives. J. Mol. Struct. 2018, 1157, 457–462. [Google Scholar] [CrossRef]
- Zhang, J.; Abudoureheman, M.; Lian, Z.; Liu, J.; Wu, Q.; Xuan, X. Controllable Synthesis of Centrosymmetric/Noncentrosymmetric Phases for the Family of Halogen-Based Photonic Coordination Polymers to Enhance the Phase-Matching Second-Harmonic-Generation Response. Inorg. Chem. 2022, 61, 3716–3722. [Google Scholar] [CrossRef] [PubMed]
- Jia, R.; Zhu, Y.; Hu, L.; Xiong, Q.; Zhao, M.; Zhang, M.; Tian, X. A series of terpyridine containing flexible amino diethylacetate derivatives with large two-photon action cross-sections for effective mitochondrial imaging in living liver cancerous cells. Spectrochim. Acta Part A 2018, 188, 633–639. [Google Scholar] [CrossRef]
- Li, L.; Liu, E.; Cheng, J.; Zhang, G. Iron(ii) coordination polymer catalysed hydroboration of ketones. Dalton Trans. 2018, 47, 9579–9584. [Google Scholar] [CrossRef] [PubMed]
- Zhang, G.; Jia, Y.-X.; Chen, W.; Lo, W.-F.; Brathwaite, N.; Golen, J.A.; Rheingold, A.L. Diverse zinc(ii) coordination assemblies built on divergent 4,2′:6′,4′′-terpyridine derivatives: Syntheses, structures and catalytic properties. RSC Adv. 2015, 5, 15870–15879. [Google Scholar] [CrossRef]
- Zhang, G.; Tan, J.; Phoenix, T.; Manke, D.R.; Golen, J.A.; Rheingold, A.L. Amalgamating 4′-substituted 4,2′:6′,4′′-terpyridine ligands with double-helical chains or ladder-like networks. RSC Adv. 2016, 6, 9270–9277. [Google Scholar] [CrossRef]
- Sotnik, S.A.; Polunin, R.A.; Kiskin, M.A.; Kirillov, A.M.; Dorofeeva, V.N.; Gavrilenko, K.S.; Eremenko, I.L.; Novotortsev, V.M.; Kolotilov, S.V. Heterometallic Coordination Polymers Assembled from Trigonal Trinuclear Fe2Ni-Pivalate Blocks and Polypyridine Spacers: Topological Diversity, Sorption, and Catalytic Properties. Inorg. Chem. 2015, 54, 5169–5181. [Google Scholar] [CrossRef] [PubMed]
- Yuan, F.; Wang, X.; Hu, H.-M.; Shen, S.-S.; An, R.; Xue, G. Syntheses, structures and luminescent properties of two new zinc coordination polymers based on 4′-(4-aminephenyl)-4,2′:6′,4″-terpyridine. Inorg. Chem. Commun. 2014, 48, 26–29. [Google Scholar] [CrossRef]
- Li, L.; Zhang, Y.Z.; Yang, C.; Liu, E.; Golen, J.A.; Zhang, G. One-dimensional copper(II) coordination polymers built on 4′-substituted 4,2′:6′,4″- and 3,2′:6′,3″-terpyridines: Syntheses, structures and catalytic properties. Polyhedron 2016, 105, 115–122. [Google Scholar] [CrossRef]
- Constable, E.C.; Zhang, G.; Housecroft, C.E.; Neuburger, M.; Zampese, J.A. Sheet, ladder or chain? Small substituents in 4′-phenyl-4,2′:6′,4″-terpyridines control dimensionality in cadmium(ii) coordination polymers. CrystEngComm 2010, 12, 3733–3739. [Google Scholar] [CrossRef]
- Su, J.; Zhang, J.; Tian, X.; Zhao, M.; Song, T.; Yu, J.; Cui, Y.; Qian, G.; Zhong, H.; Luo, L.; et al. A series of multifunctional coordination polymers based on terpyridine and zinc halide: Second-harmonic generation and two-photon absorption properties and intracellular imaging. J. Mater. Chem. B 2017, 5, 5458–5463. [Google Scholar] [CrossRef]
- Constable, E.C.; Housecroft, C.E.; Neuburger, M.; Vujovic, S.; Zampese, J.A.; Zhang, G. Cobalt(ii) coordination polymers with 4′-substituted 4,2′:6′,4′′- and 3,2′:6′,3′′-terpyridines: Engineering a switch from planar to undulating chains and sheets. CrystEngComm 2012, 14, 3554–3563. [Google Scholar] [CrossRef]
- Rocco, D.; Prescimone, A.; Constable, E.C.; Housecroft, C.E. Directing 2D-Coordination Networks: Combined Effects of a Conformationally Flexible 3,2′:6′,3″-Terpyridine and Chain Length Variation in 4′-(4-n-Alkyloxyphenyl) Substituents. Molecules 2020, 25, 1663. [Google Scholar] [CrossRef]
- Rocco, D.; Prescimone, A.; Constable, E.C.; Housecroft, C.E. Adapting (4,4) Networks through Substituent Effects and Conformationally Flexible 3,2′:6′,3″-Terpyridines. Molecules 2021, 26, 6337. [Google Scholar] [CrossRef]
- Rocco, D.; Prescimone, A.; Constable, E.C.; Housecroft, C.E. Straight Versus Branched Chain Substituents in 4′-(Butoxyphenyl)-3,2′:6′,3″-terpyridines: Effects on (4,4) Coordination Network Assemblies. Polymers 2020, 12, 1823. [Google Scholar] [CrossRef]
- Rocco, D.; Novak, S.; Prescimone, A.; Constable, E.C.; Housecroft, C.E. Coordination networks assembled from Co(NCS)2 and 4′-[4-(naphthalen-1-yl)phenyl]-3,2′:6′,3″-terpyridine: Role of lattice solvents. Polyhedron 2021, 208, 115445. [Google Scholar] [CrossRef]
- Rocco, D.; Prescimone, A.; Klein, Y.M.; Gawryluk, D.J.; Constable, E.C.; Housecroft, C.E. Competition in Coordination Assemblies: 1D-Coordination Polymer or 2D-Nets Based on Co(NCS)2 and 4′-(4-methoxyphenyl)-3,2′:6′,3″-terpyridine. Polymers 2019, 11, 1224. [Google Scholar] [CrossRef] [PubMed]
- Palatinus, L.; Chapuis, G. SUPERFLIP— A computer program for the solution of crystal structures by charge flipping in arbitrary dimensions. J. Appl. Crystallogr. 2007, 40, 786–790. [Google Scholar] [CrossRef]
- Palatinus, L.; Prathapa, S.J.; van Smaalen, S. EDMA: A computer program for topological analysis of discrete electron densities. J. Appl. Crystallogr. 2012, 45, 575–580. [Google Scholar] [CrossRef]
- Dolomanov, O.V.; Bourhis, L.J.; Gildea, R.J.; Howard, J.A.K.; Puschmann, H. OLEX2: A complete structure solution, refinement and analysis program. J. Appl. Crystallogr. 2010, 42, 339–341. [Google Scholar] [CrossRef]
- Sheldrick, G.M. Crystal structure refinement with SHELXL. Acta Crystallogr. Sect. C Struct. Chem. 2015, C27, 3–8. [Google Scholar] [CrossRef] [PubMed]
- Macrae, C.F.; Sovago, I.; Cottrell, S.J.; Galek, P.T.A.; McCabe, P.; Pidcock, E.; Platings, M.; Shields, G.P.; Stevens, J.S.; Towler, M.; et al. Mercury 4.0: From visualization to analysis, design and prediction. J. Appl. Crystallogr. 2020, 53, 226–235. [Google Scholar] [CrossRef] [PubMed]
- Le Bail, A.; Duroy, H.; Fourquet, J. Ab-initio structure determination of LiSbWO6 by X-ray powder diffraction. Mater. Res. Bull. 1988, 23, 447–452. [Google Scholar] [CrossRef]
- Pawley, G.S. Unit-cell refinement from powder diffraction scans. J. Appl. Crystallogr. 1981, 14, 357–361. [Google Scholar] [CrossRef]
- Rodríguez-Carvajal, J. Recent advances in magnetic structure determination by neutron powder diffraction. Phys. B Condens. Matter 1993, 192, 55–69. [Google Scholar] [CrossRef]
- Roisnel, T.; Rodríguez-Carvajal, J. WinPLOTR: A Windows tool for powder diffraction patterns analysis Materials Science Forum. In Proceedings of the Seventh European Powder Diffraction Conference (EPDIC 7), Barcelona, Spain, 20–23 May 2000; pp. 118–123. [Google Scholar]
- Hanan, G.S.; Wang, J. A Facile Route to Sterically Hindered and Non-Hindered 4′-Aryl-2,2′:6′,2′′-Terpyridines. Synlett 2005, 251–1254. [Google Scholar] [CrossRef]
- Nishio, M. CH/π hydrogen bonds in crystals. CrystEngComm 2004, 6, 130–158. [Google Scholar] [CrossRef]
- Groom, C.R.; Bruno, I.J.; Lightfoot, M.P.; Ward, S.C. The Cambridge Structural Database. Acta Crystallogr. Sect. B Struct. Sci. Cryst. Eng. Mater. 2016, B72, 171–179. [Google Scholar] [CrossRef]
- Bruno, I.J.; Cole, J.C.; Edgington, P.R.; Kessler, M.; Macrae, C.F.; McCabe, P.; Pearson, J.; Taylor, R. New software for searching the Cambridge Structural Database and visualizing crystal structures. Acta Crystallogr. Sect. B Struct. Sci. 2002, 58, 389–397. [Google Scholar] [CrossRef] [PubMed]
- Dance, I.; Scudder, M. Supramolecular Motifs: Concerted Multiple Phenyl Embraces between Ph4P+Cations Are Attractive and Ubiquitous. Chem. Eur. J. 1996, 2, 481–486. [Google Scholar] [CrossRef] [PubMed]
- Dance, I.; Scudder, M. The sextuple phenyl embrace, a ubiquitous concerted supramolecular motif. J. Chem. Soc. Chem. Commun. 1995, 1039–1040. [Google Scholar] [CrossRef]
- Suckert, S.; Jess, I.; Näther, C. Synthesis, Structures, and Thermal Properties of Cobalt(II) Thiocyanate Coordination Compounds with 2,5-Dimethylpyrazine. Z. Anorg. Allg. Chem. 2017, 643, 721–728. [Google Scholar] [CrossRef]
- Klein, Y.M.; Prescimone, A.; Constable, E.C.; Housecroft, C.E. 4,2′:6′,4”- and 3,2′:6′,3″-Terpyridines: The Conflict between Well-Defined Vectorial Properties and Serendipity in the Assembly of 1D-, 2D- and 3D-Architectures. Materials 2017, 10, 728. [Google Scholar] [CrossRef] [PubMed]
- Shin, D.M.; Lee, A.I.S.; Chung, Y.K. Self-Assemblies of New Rigid Angular Ligands and Metal Centers toward the Rational Construction and Modification of Novel Coordination Polymer Networks. Inorg. Chem. 2003, 42, 8838–8846. [Google Scholar] [CrossRef] [PubMed]
Publisher’s Note: MDPI stays neutral with regard to jurisdictional claims in published maps and institutional affiliations. |
© 2022 by the authors. Licensee MDPI, Basel, Switzerland. This article is an open access article distributed under the terms and conditions of the Creative Commons Attribution (CC BY) license (https://creativecommons.org/licenses/by/4.0/).













