A Review on Mesophase and Physical Properties of Cyclotriphosphazene Derivatives with Schiff Base Linkage
Abstract
1. Introduction
1.1. Classification of Liquid Crystals
1.1.1. Thermotropic Liquid Crystals
1.1.2. Types of Liquid Crystal Arrangement
2. Linking Unit
2.1. Azomethine Linkage (Schiff Base)
2.2. Liquid Crystalline Properties of Compounds

| Comp | 3a | 3b | 3c | 3d | 3e | 3f | 
| m | 6 | 6 | 6 | 6 | 6 | 6 | 
| n | 3 | 4 | 5 | 6 | 7 | 8 | 
| Comp | 4a | 4b | 4c | 4d | 4e | 4f | 
| m | 7 | 7 | 7 | 7 | 7 | 7 | 
| n | 3 | 4 | 5 | 6 | 7 | 8 | 

| Comp | 6a | 6b | 6c | 6d | 6e | 6f | 
| R’ | C7H15 | C12H25 | C7H15 | C12H25 | C7H15 | C12H25 | 
| R | C5H11 | C5H11 | C9H19 | C9H19 | C12H25 | C12H25 | 
2.3. Liquid Crystalline Cyclotriphosphazene Derivatives
3. Physical Properties
|  | |||
| Compound | 13a | 13b | 13c | 
| R | F | Cl | Br | 
4. Conclusions
Author Contributions
Funding
Institutional Review Board Statement
Informed Consent Statement
Data Availability Statement
Acknowledgments
Conflicts of Interest
References
- Lejček, L.; Glogarová, M.; Těšínská, E. Commemorative Plaque of Prof. Friedrich Reinitzer Installed in Prague. Liq. Cryst. Today 2017, 26, 66–68. [Google Scholar] [CrossRef]
- Jamain, Z.; Habil, S.; Makmud, M.Z.H.; Khairuddean, M. Synthesis, structural and dielectric characteristics of liquid crystalline azo-based compounds with different terminal length. In Proceedings of the 2021 IEEE International Conference on the Properties and Applications of Dielectric Materials (ICPADM), Johor Bahru, Malaysia, 12–14 July 2021; pp. 49–52. [Google Scholar]
- Srinivasa, H.T.; Palakshamurthy, B.S.; Devarajegowda, H.C.; Hariprasad, S. Synthesis, Characterization, Crystal Structure and Liquid Crystal Studies of Some Symmetric Naphthalene Derivative Molecules. J. Mol. Struct. 2018, 1173, 620–626. [Google Scholar] [CrossRef]
- Raynes, P. Liquid Crystals—Second Edition, by S Chandrasekhar, Cambridge University Press, (1992), ISBN 0-521-41747-3 (HB), ISBN 0-521-42741-X (PB). Liq. Cryst. Today 1993, 3, 7. [Google Scholar] [CrossRef]
- D’Errico, G.; Paduano, L. NMR of Liquid Crystals and Micellar Solutions. In Nuclear Magnetic Resonance; Royal Society of Chemistry: Cambridge, UK, 2010; pp. 424–455. [Google Scholar]
- Dierking, I.; Al-Zangana, S. Lyotropic Liquid Crystal Phases from Anisotropic Nanomaterials. Nanomaterials 2017, 7, 305. [Google Scholar] [CrossRef] [PubMed]
- Jamain, Z.; Khairuddean, M. Synthesis and Mesophase Behaviour of Benzylidene-Based Molecules Containing Two Azomethine Units. J. Phys. Conf. Ser. 2021, 1882, 012120. [Google Scholar] [CrossRef]
- Shalaev, E.; Wu, K.; Shamblin, S.; Krzyzaniak, J.F.; Descamps, M. Crystalline Mesophases: Structure, Mobility, and Pharmaceutical Properties. Adv. Drug Deliv. Rev. 2016, 100, 194–211. [Google Scholar] [CrossRef]
- Jamain, Z.; Khairuddean, M.; Saidin, S.A. Synthesis and Characterization of 1,4-Phenylenediamine Derivatives Containing Hydroxyl and Cyclotriphosphazene as Terminal Group. J. Mol. Struct. 2019, 1186, 293–302. [Google Scholar] [CrossRef]
- Jamain, Z.; Omar, N.F.; Khairuddean, M. Synthesis and Determination of Thermotropic Liquid Crystalline Behavior of Cinnamaldehyde-Based Molecules with Two Schiff Base Linking Units. Molecules 2020, 25, 3780. [Google Scholar] [CrossRef]
- Singh, S.; Dunmur, D. Liquid Crystals: Fundamentals; World Scientific Publishing Co. Pte. Ltd.: London, UK, 2002; pp. 94–108. [Google Scholar]
- Kitzerow, H.S.; Bahr, C. Chirality in Liquid Crystals; Springer: Berlin/Heidelberg, Germany, 2001. [Google Scholar]
- Razali, N.; Jamain, Z. Liquid Crystals Investigation Behavior on Azo-Based Compounds: A Review. Polymers 2021, 13, 3462. [Google Scholar] [CrossRef]
- Jamain, Z.; Khairuddean, M.; Loh, M.L.; Manaff, N.L.A.; Makmud, M.Z.H. Synthesis and Characterization of Hexasubstituted Cyclotriphosphazene Derivatives with Azo Linking Units. Malays. J. Chem. 2020, 22, 125–140. [Google Scholar]
- Andrienko, D. Introduction to Liquid Crystals. J. Mol. Liq. 2018, 267, 520–541. [Google Scholar] [CrossRef]
- Safinya, C.R.; Varady, W.A. Calamitic Liquid Crystals-Nematic and Smectic Mesophases. Liq. Cryst. 1986, 57, 43–77. [Google Scholar]
- Lehn, J.-M. Introduction to Liquid Crystal. In Supramolecular Chemistry; Wiley-VCH: Weinheim, Germany, 1995; pp. 177–219. [Google Scholar]
- Bag, S.; Maingi, V.; Maiti, P.K.; Yelk, J.; Glaser, M.A.; Walba, D.M.; Clark, N.A. Molecular Structure of the Discotic Liquid Crystalline Phase of Hexa-Peri-Hexabenzocoronene/Oligothiophene Hybrid and Their Charge Transport Properties. J. Chem. Phys. 2015, 143, 144505. [Google Scholar] [CrossRef] [PubMed]
- Panchatcharam, U.C. Ordering Properties of Oligomeric Columnar Discotic Liquid Crystals. Ph.D. Thesis, Wageningen University, Wageningen, The Netherlands, 2015. [Google Scholar]
- Nitschke, P.; Jarząbek, B.; Vasylieva, M.; Honisz, D.; Małecki, J.G.; Musioł, M.; Janeczek, H.; Chaber, P. Influence of Chemical Structure on Thermal, Optical and Electrochemical Properties of Conjugated Azomethines. Synth. Met. 2021, 273, 116689. [Google Scholar] [CrossRef]
- Chong, Y.T.; Muhamad Sarih, N.; Ha, S.T.; Sheikh, M.R.K. New Homologues Series of Heterocyclic Schiff Base Ester: Synthesis and Characterization. Adv. Phys. Chem. 2016, 2016, 7647695. [Google Scholar] [CrossRef]
- Kim, Y.H.; Yoon, D.K.; Jeong, H.S.; Lavrentovich, O.D.; Jung, H.T. Smectic Liquid Crystal Defects for Self-Assembling of Building Blocks and Their Lithographic Applications. Adv. Funct. Mater. 2011, 21, 610–627. [Google Scholar] [CrossRef]
- Kiliç, M.; Çinar, Z. Structures and Mesomorphic Properties of Cyano-Containing Calamitic Liquid Crystal Molecules. J. Mol. Struct. THEOCHEM 2007, 808, 53–61. [Google Scholar] [CrossRef]
- Kajal, A.; Bala, S.; Kamboj, S.; Sharma, N.; Saini, V. Schiff Bases: A Versatile Pharmacophore. J. Catal. 2013, 2013, 893512. [Google Scholar] [CrossRef]
- Ha, S.T.; Lee, T.L.; Yeap, G.Y.; Ito, M.M.; Saito, A.; Watanabe, M. Mesomorphic Behavior of New Azomethine Liquid Crystals Having Terminal Iodo Group. Chin. Chem. Lett. 2011, 22, 260–263. [Google Scholar] [CrossRef]
- Ha, S.T.; Lee, T.L.; Lee, S.L.; Yeap, G.Y.; Win, Y.F.; Ong, S.T. Mesomorphic Behaviour of New Azomethine Liquid Crystals Having Terminal Bromo Substituent. Chin. Chem. Lett. 2012, 23, 177–180. [Google Scholar] [CrossRef]
- Kostromin, S.; Bronnikov, S.; Perju, E.; Cozan, V. Kinetics of the Ordered Phase Growth across the Isotropic-Nematic Phase Transition in Liquid Crystal Azomethine Polymers during Cooling. J. Macromol. Sci. Part B Phys. 2012, 51, 2105–2112. [Google Scholar] [CrossRef]
- Nafee, S.S.; Hagar, M.; Ahmed, H.A.; Alhaddad, O.A.; El-Shishtawy, R.M.; Raffah, B.M. New Two Rings Schiff Base Liquid Crystals; Ball Mill Synthesis, Mesomorphic, Hammett and DFT Studies. J. Mol. Liq. 2020, 299, 112161. [Google Scholar] [CrossRef]
- Hagar, M.; Ahmed, H.A.; Nafee, S.S.; El-Shishtawy, R.M.; Raffah, B.M. The Synthesis of New Thermal Stable Schiff Base/Ester Liquid Crystals: A Computational, Mesomorphic, and Optical Study. Molecules 2019, 24, 3032. [Google Scholar] [CrossRef]
- Demus, D.; Ritcher, L. Textures of Liquid Crystals. In Crystal Research & Technology; VEB Deutscher Verlag für Grundstoffindustrie: Leipzig, Germany, 1981; Volume 16, p. 527. [Google Scholar]
- Dierking, I. The Fluid Smectic Phase. In Textures of Liquid Crystals; Wiley-VCH Verlag GmbH & Co. KGaA: Weinheim, Germany, 2003; pp. 91–122. ISBN 9783527602056. [Google Scholar]
- Demus, D.; Goodby, J.; Gray, G.W.; Spiess, H.-W.; Vill, V.; Wiley-Vch, W. Physical Properties of Liquid Crystals. Wiley-VCH: Weinheim, Germany, 1990. [Google Scholar]
- Berdagué, P.; Bayle, J.P.; Ho, M.-S.; Fung, B.M. New Laterally Aromatic Branched Liquid Crystal Materials with Large Nematic Ranges. Liq. Cryst. 1993, 14, 667–674. [Google Scholar] [CrossRef]
- Naser, J.; Himdan, T.; Al-Dujaili, A. Synthesis and Characterization of Schiff-Bases Liquid Crystalline Containing 1,3,4-Oxadiazole Rings. J. Int. Acad. Res. Multidiscip. 2014, 2, 415–426. [Google Scholar]
- Naoum, M.M.; Metwally, N.H.; Abd eltawab, M.M.; Ahmed, H.A. Polarity and Steric Effect of the Lateral Substituent on the Mesophase Behaviour of Some Newly Prepared Liquid Crystals. Liq. Cryst. 2015, 42, 1351–1369. [Google Scholar] [CrossRef]
- Hagar, M.; Ahmed, H.; Hussien, T.; Alnoman, R. Mesophase Behavior and DFT Conformational Analysis of New Symmetrical Diester Chalcone Liquid Crystals. J. Mol. Liq. 2019, 285, 96–105. [Google Scholar] [CrossRef]
- Jamain, Z.; Khairuddean, M.; Nabilah Zulbaharen, N.; Keen Chung, T. Synthesis, Characterization and Determination of Mesophase Transition of Azo-Azomethine Derivatives with Different Terminal Chain Lengths. Malays. J. Chem. 2019, 21, 73–85. [Google Scholar]
- Wahl, H.; Haynes, D.A.; le Roex, T. Lack of Co-Crystal Formation with Cyclotriphosphazenes: A Cautionary Tale. S. Afr. J. Chem. 2016, 69, 35–43. [Google Scholar] [CrossRef][Green Version]
- Usri, S.N.K.; Jamain, Z.; Makmud, M.Z.H. A Review on Synthesis, Structural, Flame Retardancy and Dielectric Properties of Hexasubstituted Cyclotriphosphazene. Polymers 2021, 13, 2916. [Google Scholar] [CrossRef]
- Patel, R.B.; Doshi, A.V. Synthesis and Study of New Ester Homologous Series: Ethyl-p-(p/-n/Alkoxy Cinnamoloxy)Cinnamtes. Der Pharma Chem. 2011, 3, 557–565. [Google Scholar]
- Sharma, V.S.; Patel, R.B. Effect of Alkyl Chain in the Terminal Ester Group on Mesomorphic Properties of New Rod like Homologous Series: Synthesis and Characterization. Mol. Cryst. Liq. Cryst. 2017, 643, 62–75. [Google Scholar] [CrossRef]
- Gulbas, H.E.; Coskun, D.G.; Gursel, Y.H.; Bilgin-Eran, B. Synthesis, Characterization and Mesomorphic Properties of Side Chain Liquid Crystalline Oligomer Having Schiff Base Type Mesogenic Group. Adv. Mater. Lett. 2014, 5, 333–338. [Google Scholar] [CrossRef]
- Ha, S.-T.; Lee, T.-L. Synthesis and Mesomorphic Properties of New Fluorinated Schiff Base Liquid Crystals. ISRN Mater. Sci. 2014, 2014, 904657. [Google Scholar] [CrossRef]
- Barberá, J.; Jiménez, J.; Laguna, A.; Oriol, L.; Pérez, S.; Serrano, J.L. Cyclotriphosphazene as a Dendritic Core for the Preparation of Columnar Supermolecular Liquid Crystals. Chem. Mater. 2006, 18, 5437–5445. [Google Scholar] [CrossRef]
- Bao, R.; Pan, M.; Qiu, J.J.; Liu, C.M. Synthesis and Characterization of Six-Arm Star-Shaped Liquid Crystalline Cyclotriphosphazenes. Chin. Chem. Lett. 2010, 21, 682–685. [Google Scholar] [CrossRef]
- Jamain, Z.; Khairuddean, M.; Guan-Seng, T. Synthesis of New Star-Shaped Liquid Crystalline Cyclotriphosphazene Derivatives with Fire Retardancy Bearing Amide-Azo and Azo-Azo Linking Units. Int. J. Mol. Sci. 2020, 21, 4267. [Google Scholar] [CrossRef]
- Jamain, Z.; Khairuddean, M.; Guan-Seng, T. Synthesis of Novel Liquid Crystalline and Fire Retardant Molecules Based on Six-Armed Cyclotriphosphazene Core Containing Schiff Base and Amide Linking Units. RSC Adv. 2020, 10, 28918–28934. [Google Scholar] [CrossRef]
- Jamain, Z.; Khairuddean, M.; Guan-Seng, T.; Rahman, A.B.A. Synthesis, Characterisation and Mesophase Transition of Hexasubstituted Cyclotriphosphazene Molecules with Schiff Base and Azo Linking Units and Determination of Their Fire Retardant Properties. Macromol. Res. 2021, 29, 331–341. [Google Scholar] [CrossRef]
- Jeong, M.J.; Park, J.H.; Lee, C.; Chang, J.Y. Discotic Liquid Crystalline Hydrazone Compounds: Synthesis and Mesomorphic Properties. Org. Lett. 2006, 8, 2221–2224. [Google Scholar] [CrossRef]
- Li, Q.; Huang, R.; Xiong, S.; Xie, X. Synthesis, Mesophase Behaviour and Design Principles for Discotic Liquid Crystals of Phenyl Ethynylene Macrocycles with in-Traannular Flexible Chains. Liq. Cryst. 2012, 39, 249–258. [Google Scholar] [CrossRef]
- Nagaveni, N.G.; Roy, A.; Prasad, V. Achiral Bent-Core Azo Compounds: Effect of Different Types of Linkage Groups and Their Direction of Linking on Liquid Crystalline Properties. J. Mater. Chem. 2012, 22, 8948–8959. [Google Scholar] [CrossRef]
- Selvarasu, C.; Kannan, P. Effect of Azo and Ester Linkages on Rod Shaped Schiff Base Liquid Crystals and Their Photophysical Investigations. J. Mol. Struct. 2016, 1125, 234–240. [Google Scholar] [CrossRef]
- Thaker, B.T.; Patel, P.H.; Vansadiya, A.D.; Kanojiya, J.B. Substitution Effects on the Liquid Crystalline Properties of Thermotropic Liquid Crystals Containing Schiff Base Chalcone Linkages. Mole. Cryst. Liq. Cryst. 2009, 515, 135–147. [Google Scholar] [CrossRef]
- Doğan, S.; Tümay, S.O.; Mutlu Balci, C.; YeşİLot, S.; Besli, S. Synthesis of New Cyclotriphosphazene Derivatives Bearing Schiff Bases and Their Thermal and Absorbance Properties. Turk. J. Chem. 2020, 44, 31–47. [Google Scholar] [CrossRef] [PubMed]
- Al-Shukri, S.M.; Mahmood, A.T.; al Hanbali, O.A. Spiro-Cyclotriphosphazene with Three Functional End Groups: Synthesis and Structural Characterization of New Polycyclotriphosphazenes with Schiff-Base Groups. Polimery 2021, 66, 341–349. [Google Scholar] [CrossRef]
- Aslan, F.; Demirpence, Z.; Tatsiz, R.; Turkmen, H.; Ozturk, A.I.; Arslan, M. The Synthesis, Characterization and Photophysical Properties of Some New Cyclotriphosphazene Derivatives Bearing Schiff Base. Z. Anorg. Allg. Chem. 2008, 634, 1140–1144. [Google Scholar] [CrossRef]
- Aslan, F.; Öztürk, A.İ.; Söylemez, B. Synthesis of Fluorescence Organocyclotriphosphazene Derivatives Having Functional Groups Such as Formyl, Schiff Base and Both Formyl and Schiff Base without Using Ar or N2 Atmosphere. J. Mol. Struct. 2017, 1137, 387–395. [Google Scholar] [CrossRef]
- İbişoğlu, H.; Ün, Ş.Ş.; Erdemir, E.; Tümay, S.O. Synthesis, Characterization, and Photophysical Properties of Cyclotriphosphazenes Containing Quinoline-4-Aldehyde-p-Oxyanil Moieties. Phosphorus Sulfur Silicon Relat. Elem. 2021, 196, 760–768. [Google Scholar] [CrossRef]
- Öztürk, A.İ.; Aslan, F.; Al, M. Synthesis, Characterization, and Spectroscopic Properties of Hexa(4-Bromo-2-Formyl- Phenoxy)Cyclotriphosphazene and Hexa(4-Chloro-2-Formyl-Phenoxy)Cyclotriphosphazene and Fully Substituted Cyclotriphosphazene Derivatives Bearing a Schiff Base at Room Temperature. Phosphorus Sulfur Silicon Relat. Elem. 2013, 188, 585–595. [Google Scholar]
- Wang, H.; Du, X.; Wang, S.; Du, Z.; Wang, H.; Cheng, X. Improving the Flame Retardancy of Waterborne Polyurethanes Based on the Synergistic Effect of P-N Flame Retardants and a Schiff Base. RSC Adv. 2020, 10, 12078–12088. [Google Scholar] [CrossRef] [PubMed]
- Koran, K.; Ozen, F.; Biryan, F.; Görgülü, A.O. Synthesis, Structural Characterization, and Dielectric Behavior of New Oxime-Cyclotriphosphazene Derivatives. J. Mol. Struct. 2015, 1105, 135–141. [Google Scholar] [CrossRef]
- Jin, W.; Yuan, L.; Liang, G.; Gu, A. Multifunctional Cyclotriphosphazene/Hexagonal Boron Nitride Hybrids and Their Flame Retarding Bismaleimide Resins with High Thermal Conductivity and Thermal Stability. ACS Appl. Mater. Interfaces 2014, 6, 14931–14944. [Google Scholar] [CrossRef] [PubMed]


















| Structure of Compound | Terminal Group | Ref. | 
|---|---|---|
|  | n = 4 (1a); 6 (1b); 8 (1c); 10 (1d); 12 (8e); 14 (1f) | [25] | 
|  | n = 8 (2a); 10 (2b); 12 (2c); 14 (2d); 16 (2e); 18 (2f) | [26] | 
|  | m1 = 6; m2 = 9 | [27] | 
|  | X = Me2N (5a); MeO (5b); H (5c); Cl (5d); F (5e); CN (5f); NO2 (5g) | [28] | 
|  | X = CH(CH3)2 (7a); H (7b); I (7c); F (7d) | [29] | 
| Compound | Temperature (°C) | Transitions | ΔH kJ/mol | 
|---|---|---|---|
| 1a | 116.1 | Cr --> I | 29.9 | 
| 112.1 | I --> Cr | 29.6 | |
| 1b | 101.3 111.1 | Cr --> SmA SmA --> I | 52.2 10.4 | 
| 104.3 31.4 | I --> SmA SmA --> Cr | 23.1 36.6 | |
| 1c | 86.6 115.3 | Cr --> SmA SmA --> I | 57.9 10.4 | 
| 107.8 36.4 | I --> SmA SmA --> Cr | 7.0 43.6 | |
| 1d | 86.6 115.7 | Cr --> SmA SmA --> I | 61.6 6.4 | 
| 108.3 27.5 | I --> SmA SmA --> Cr | 5.8 38.7 | |
| 1e | 101.6 109.6 | Cr --> SmA SmA --> I | 78.2 11.7 | 
| 102.0 84.3 | I --> SmA SmA --> Cr | 23.9 70.2 | |
| 1f | 94.3 116.5 | Cr --> SmA SmA --> I | 70.5 16.2 | 
| 110.1 61.6 | I --> SmA SmA --> Cr | 16.3 74.3 | 
| Compound | Temperature (°C) | Transitions | ΔH kJ/mol | 
|---|---|---|---|
| 2a | 89.62 94.40 110.55 | Cr --> SmB SmB --> SmA SmA --> I | 25.09 2.27 6.39 | 
| 106.78 91.03 46.16 | I --> SmA SmA --> SmB SmB --> Cr | 6.53 3.02 10.64 | |
| 2b | 86.70 96.17 113.55 | Cr --> SmB SmB --> SmA SmA --> I | 26.28 2.78 8.16 | 
| 108.44 92.33 40.48 | I --> SmA SmA --> SmB SmB --> Cr | 8.65 3.27 28.73 | |
| 2c | 90.95 96.50 115.08 | Cr --> SmB SmB --> SmA SmA --> I | 31.54 3.09 8.16 | 
| 108.82 90.83 53.47 | I --> SmA SmA --> SmB SmB --> Cr | 7.46 3.20 31.75 | |
| 2d | 91.26 110.55 | Cr --> SmA SmA --> I | 41.08 8.08 | 
| 105.72 84.83 54.15 | I --> SmA SmA --> SmB SmB --> Cr | 8.00 3.25 36.98 | |
| 2e | 94.35 107.13 | Cr --> SmA SmA --> I | 53.70 9.27 | 
| 102.16 84.13 70.74 | I --> SmA SmA --> SmB SmB --> Cr | 10.45 3.79 50,79 | |
| 2f | 97.11 105.50 | Cr --> SmA SmA --> I | 73.88 11.44 | 
| 102.39 83.92 74.26 | I --> SmA SmA --> SmB SmB --> Cr | 11.93 4.52 69.16 | 
| Compound | Temperature (°C) | Transitions | ΔH kJ/mol | ΔS kJ/K mol | 
|---|---|---|---|---|
| 3a | 67 100 122 200 | Cr --> Cr Cr --> SmA SmA --> N N --> I | — 24.74 — — | — 0.25 — — | 
| 3b | 95 110 226 | Cr --> SmA SmA --> N N --> I | 65.54 — 28.51 | 0.69 — 0.13 | 
| 3c | 94 121 136 | Cr --> SmA SmA --> N N --> I | 37.00 0.51 0.92 | 0.40 0.01 0.01 | 
| 3d | 83 120 137 | Cr --> SmC SmC --> SmA SmA --> I | 31.91 — 1.90 | 0.39 — 0.02 | 
| 3e | 89 110 143 | Cr --> SmC SmC --> SmA SmA --> I | 32.37 — 3.75 | 0.36 — 0.03 | 
| 3f | 78 146 | Cr --> SmC SmC --> I | 32.12 3.29 | 0.41 0.02 | 
| 4a | 80 111 134 | Cr --> SmA SmA --> N N --> I | 28.93 — 1.46 | 0.36 — 0.01 | 
| 4b | 81 125 136 | Cr --> SmA SmA --> N N --> I | 29.61 0.43 0.49 | 0.36 0.03 0.04 | 
| 4c | 84 123 134 | Cr --> SmA SmA --> N N --> I | 20.47 — 0.93 | 0.24 — 0.01 | 
| 4d | 86 120 135 | Cr --> SmA SmA --> N N --> I | 23.47 — 1.75 | 0.27 — 0.01 | 
| 4e | 71 138 164 | Cr --> SmC SmC --> SmA SmA --> I | 27.41 2.73 0.86 | 0.38 0.02 0.01 | 
| 4f | 64 112 143 | Cr --> SmC SmC --> SmA SmA --> I | 25.94 — 4.26 | 0.41 — 0.03 | 
| Structure of Compound | Terminal Group | Ref. | 
|---|---|---|
|  | R = OCnH2n + 1 Where n = 6 (8a); 10 (8b); 12 (8c) | [44] | 
|  | R = OCnH2n + 1 Where n = 4 (9a); 8 (9b); 12 (9c); 16 (9d) | [45] | 
|  | X = OC7H15 (10a); OC9H19 (10b); OC10H21 (10c); OC12H25 (10d); OC14H29 (10e); OH (10f); COOH (10g); Cl (10h); NO2 (10i); NH2 (10j) | [46] | 
|  | X = OC7H15 (11a); OC9H19 (11b); OC10H21 (11c); OC12H25 (11d); OC14H29 (11e); OH (11f); COOH (11g); Cl (11h); NO2 (11i); NH2 (11j) | [47] | 
|  | X = OC7H15 (12a); OC9H19 (12b); OC10H21 (12c); OC12H25 (12d); OC14H29 (12e); OH (12f); COOH (12g); Cl (12h); NO2 (12i); NH2 (12j) | [48] | 
| Structure of Compound | Terminal Group | Ref. | 
|---|---|---|
|  Compounds 14a–c | R = F (14a); Cl (14b); Br (14c) | [54] | 
|  Compounds 15a–c | R = −(15a); CH2 (15b);  (15c) | [55] | 
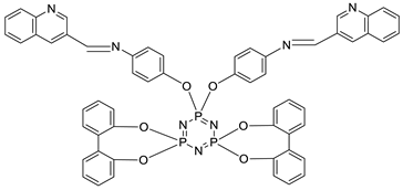
|  Compound16 | - | [56] | 
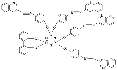
|  Compound17a | - | [57] | 
|  Compound18a | - | [58] | 
|  Compound18b | - | [58] | 
|  Compound18c | - | [58] | 
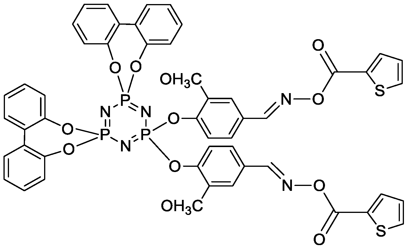
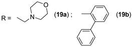
|  Compounds 19a–b |  | [59] | 
|  Compound 20 | - | [60] | 
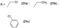
|  Compounds21a–c |  | [61] | 
| Publisher’s Note: MDPI stays neutral with regard to jurisdictional claims in published maps and institutional affiliations. | 
© 2022 by the authors. Licensee MDPI, Basel, Switzerland. This article is an open access article distributed under the terms and conditions of the Creative Commons Attribution (CC BY) license (https://creativecommons.org/licenses/by/4.0/).
Share and Cite
Jamain, Z.; Azman, A.N.A.; Razali, N.A.; Makmud, M.Z.H. A Review on Mesophase and Physical Properties of Cyclotriphosphazene Derivatives with Schiff Base Linkage. Crystals 2022, 12, 1174. https://doi.org/10.3390/cryst12081174
Jamain Z, Azman ANA, Razali NA, Makmud MZH. A Review on Mesophase and Physical Properties of Cyclotriphosphazene Derivatives with Schiff Base Linkage. Crystals. 2022; 12(8):1174. https://doi.org/10.3390/cryst12081174
Chicago/Turabian StyleJamain, Zuhair, Ahmad Nor Asyraf Azman, Nurul Asma Razali, and Mohamad Zul Hilmey Makmud. 2022. "A Review on Mesophase and Physical Properties of Cyclotriphosphazene Derivatives with Schiff Base Linkage" Crystals 12, no. 8: 1174. https://doi.org/10.3390/cryst12081174
APA StyleJamain, Z., Azman, A. N. A., Razali, N. A., & Makmud, M. Z. H. (2022). A Review on Mesophase and Physical Properties of Cyclotriphosphazene Derivatives with Schiff Base Linkage. Crystals, 12(8), 1174. https://doi.org/10.3390/cryst12081174
 
         
                                                



 
       