Magneto-Optical Spin Hall Effect Regulation at Terahertz Frequencies Based on Graphene–Gold Heterojunction
Abstract
1. Introduction
2. Materials and Methods
3. Results and Discussion
3.1. MOSHEL of Graphene–Gold Heterojunction Structure in Visible Light
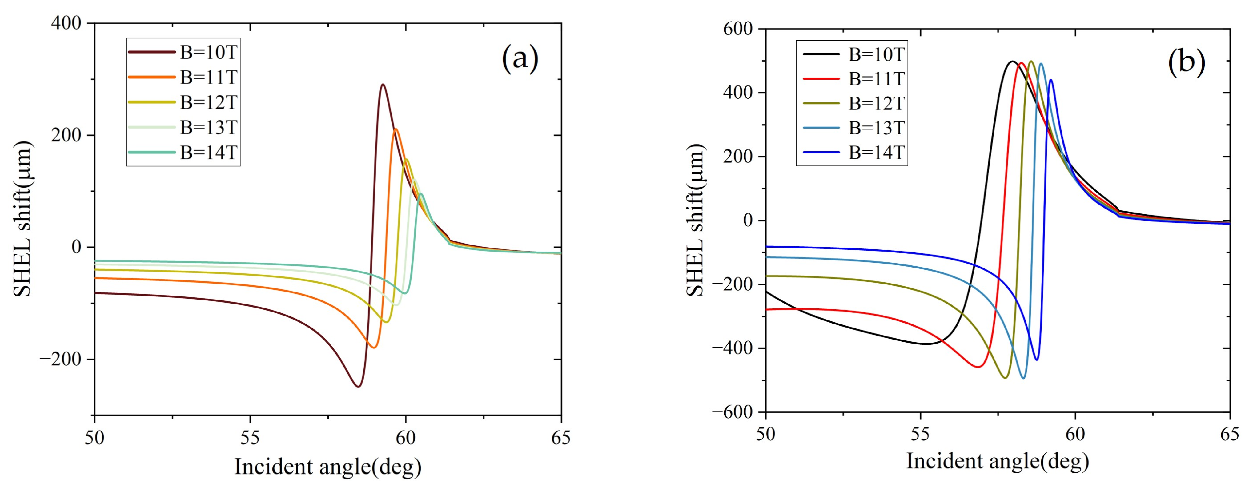
3.2. MOSHEL of Graphene–Gold Heterojunction Structure at Terahertz Wavelengths
3.3. MOSHEL of Graphene–Gold n-Layer Periodic Structure at Terahertz Wavelengths
4. Conclusions
Author Contributions
Funding
Institutional Review Board Statement
Informed Consent Statement
Data Availability Statement
Conflicts of Interest
References
- Onoda, M.; Murakami, S.; Nagaosa, N. Hall effect of light. Phys. Rev. Lett. 2004, 93, 083901. [Google Scholar] [CrossRef] [PubMed]
- Bliokh, K.Y.; Bliokh, Y.P. Conservation of angular momentum, transverse shift, and spin Hall effect in reflection and refraction of an electromagnetic wave packet. Phys. Rev. Lett. 2006, 96, 073903. [Google Scholar] [CrossRef] [PubMed]
- Bliokh, K.Y.; Niv, A.; Kleiner, V.; Hasman, E. Geometrodynamics of spinning light. Nat. Photonics 2008, 2, 748–753. [Google Scholar] [CrossRef]
- Hosten, O.; Kwiat, P. Observation of the spin Hall effect of light via weak measurements. Science 2008, 319, 787–790. [Google Scholar] [CrossRef] [PubMed]
- Qin, Y.; Li, Y.; He, H.Y.; Gong, Q.H. Measurement of spin Hall effect of reflected light. Opt. Lett. 2009, 34, 2551–2553. [Google Scholar] [CrossRef] [PubMed]
- Luo, H.L.; Zhou, X.X.; Shu, W.X.; Wen, S.C.; Fan, D.Y. Enhanced and switchable spin Hall effect of light near the Brewster angle on reflection. Phys. Rev. A 2011, 84, 043806. [Google Scholar] [CrossRef]
- Qiu, X.D.; Zhang, Z.Y.; Xie, L.G.; Qiu, J.D.; Gao, F.H.; Du, J.L. Incident-polarization-sensitive and large in-plane-photonic-spin-splitting at the Brewster angle. Opt. Lett. 2015, 40, 1018–1021. [Google Scholar] [CrossRef]
- Tang, T.T.; Li, J.; Zhang, Y.F.; Li, C.Y.; Luo, L. Spin Hall effect of transmitted light in a three-layer waveguide with lossy epsilon-near-zero metamaterial. Opt. Express 2016, 24, 28113–28121. [Google Scholar] [CrossRef]
- Tang, T.T.; Li, J.; Luo, L.; Sun, P.; Zhang, Y.F. Loss enhanced spin Hall effect of transmitted light through anisotropic epsilon-and mu-near-zero metamaterial slab. Opt. Express 2017, 25, 2347–2354. [Google Scholar] [CrossRef]
- Coutaz, J.L.; Garet, F.; Wallace, V. Principles of Terahertz Time-Domain Spectroscopy, 1st ed.; CRC Press: New York, NY, USA, 2018. [Google Scholar]
- Dexheimer, S.L. Terahertz Spectroscopy: Principles and Application, 1st ed.; CRC Press: Boca Raton, FL, America, 2017. [Google Scholar]
- Berger, C.; Song, Z.; Li, X.B.; Wu, X.S.; Brown, N.; Naud, C.; Mayou, D.; Li, T.B.; Hass, J.; Marchenkov, A.N.; et al. Electronic confinement and coherence in patterned epitaxial graphene. Science 2006, 312, 1191–1196. [Google Scholar] [CrossRef]
- Luo, L.; Feng, G.Y.; Zhou, S.H.; Tang, T.T. Photonic spin Hall effect of reflected light in a prism-graphene waveguide. Superlattices Microstruct. 2018, 122, 530–537. [Google Scholar] [CrossRef]
- Wang, L.; Wu, B.; Chen, J.; Liu, H.; Hu, P.; Liu, Y. Monolayer hexagonal boron nitride films with large domain size and clean interface for enhancing the mobility of graphene-based field-effect transistors. Adv. Mater. 2014, 26, 1559–1564. [Google Scholar] [CrossRef] [PubMed]
- Li, J.; Tang, T.T.; Luo, L.; Li, N.X.; Zhang, P.Y. Spin Hall effect of reflected light in dielectric magneto-optical thin film with a double-negative metamaterial substrate. Opt. Express 2017, 25, 19117–19128. [Google Scholar] [CrossRef] [PubMed]
- Li, J.; Tang, T.T.; Luo, L.; Yao, J.Q. Enhancement and modulation of photonic spin Hall effect by defect modes in photonic crystals with graphene. Carbon 2018, 134, 293–300. [Google Scholar] [CrossRef]
- Kaihara, T.; Ando, T.; Shimizu, H.; Zayets, V.; Saito, H.; Ando, K.; Yuasa, S. Enhancement of magneto-optical Kerr effect by surface plasmons in trilayer structure consisting of double-layer dielectrics and ferromagnetic metal. Opt. Express 2015, 23, 11537–11555. [Google Scholar] [CrossRef]
- Wang, Q.; Jiang, X.; Wang, X.; Dai, X.; Xiang, Y. Enhancing photonic spin Hall effect in the surface plasmon resonance structure covered by the graphene–MoS2 heterostructure. IEEE Photonics J. 2017, 9, 1–10. [Google Scholar] [CrossRef]
- Nagaosa, N.; Sinova, J.; Onoda, S.; MacDonald, A.H.; Ong, N.P. Anomalous Hall effect. Rev. Mod. Phys. 2010, 82, 1539. [Google Scholar] [CrossRef]
- Berger, L. Side-jump mechanism for the Hall effect of ferromagnets. Phys. Rev. B 1970, 2, 4559. [Google Scholar] [CrossRef]
- Smit, J. The spontaneous hall effect in ferromagnetics II. Physica 1958, 24, 39–51. [Google Scholar] [CrossRef]
- Tymchenko, M.; Nikitin, A.Y.; Martin-Moreno, L. Faraday rotation due to excitation of magnetoplasmons in graphene microribbons. ACS Nano 2013, 7, 9780–9787. [Google Scholar] [CrossRef]
- Gusynin, V.P.; Sharapov, S.G.; Carbotte, J.P. Magneto-optical conductivity in graphene. J. Phys. Condens. Matter 2006, 19, 026222. [Google Scholar] [CrossRef]
- Višňovský, Š. Magneto-optical ellipsometry. Czechoslov. J. Phys. B 1986, 36, 625–650. [Google Scholar] [CrossRef]
- Višňovský, Š.; Lopušník, R.; Bauer, M.; Bok, J.; Fassbender, J.; Hillebrands, B. Magnetooptic ellipsometry in multilayers at arbitrary magnetization. Opt. Express 2001, 9, 121–135. [Google Scholar] [CrossRef] [PubMed]
- Schubert, M. Infrared Ellipsometry on Semiconductor Layer Structures: Phonons, Plasmons, and Polaritons; Springer Science & Business Media: Berlin/Heidelberg, Germany, 2005. [Google Scholar]










Disclaimer/Publisher’s Note: The statements, opinions and data contained in all publications are solely those of the individual author(s) and contributor(s) and not of MDPI and/or the editor(s). MDPI and/or the editor(s) disclaim responsibility for any injury to people or property resulting from any ideas, methods, instructions or products referred to in the content. |
© 2023 by the authors. Licensee MDPI, Basel, Switzerland. This article is an open access article distributed under the terms and conditions of the Creative Commons Attribution (CC BY) license (https://creativecommons.org/licenses/by/4.0/).
Share and Cite
Luo, L.; Guo, J.; Peng, S.; Liu, B.; Wang, Y.; Liu, X. Magneto-Optical Spin Hall Effect Regulation at Terahertz Frequencies Based on Graphene–Gold Heterojunction. Crystals 2023, 13, 78. https://doi.org/10.3390/cryst13010078
Luo L, Guo J, Peng S, Liu B, Wang Y, Liu X. Magneto-Optical Spin Hall Effect Regulation at Terahertz Frequencies Based on Graphene–Gold Heterojunction. Crystals. 2023; 13(1):78. https://doi.org/10.3390/cryst13010078
Chicago/Turabian StyleLuo, Li, Junlin Guo, Sui Peng, Bo Liu, Yuting Wang, and Xiao Liu. 2023. "Magneto-Optical Spin Hall Effect Regulation at Terahertz Frequencies Based on Graphene–Gold Heterojunction" Crystals 13, no. 1: 78. https://doi.org/10.3390/cryst13010078
APA StyleLuo, L., Guo, J., Peng, S., Liu, B., Wang, Y., & Liu, X. (2023). Magneto-Optical Spin Hall Effect Regulation at Terahertz Frequencies Based on Graphene–Gold Heterojunction. Crystals, 13(1), 78. https://doi.org/10.3390/cryst13010078
