Case Study on the Performance of High-Flowing Steel-Fiber-Reinforced Mixed-Sand Concrete
Abstract
:1. Introduction
2. Materials and Methods
2.1. Raw Materials
2.2. Mix Proportions and Preparation of SFRMC
2.3. Test Methods
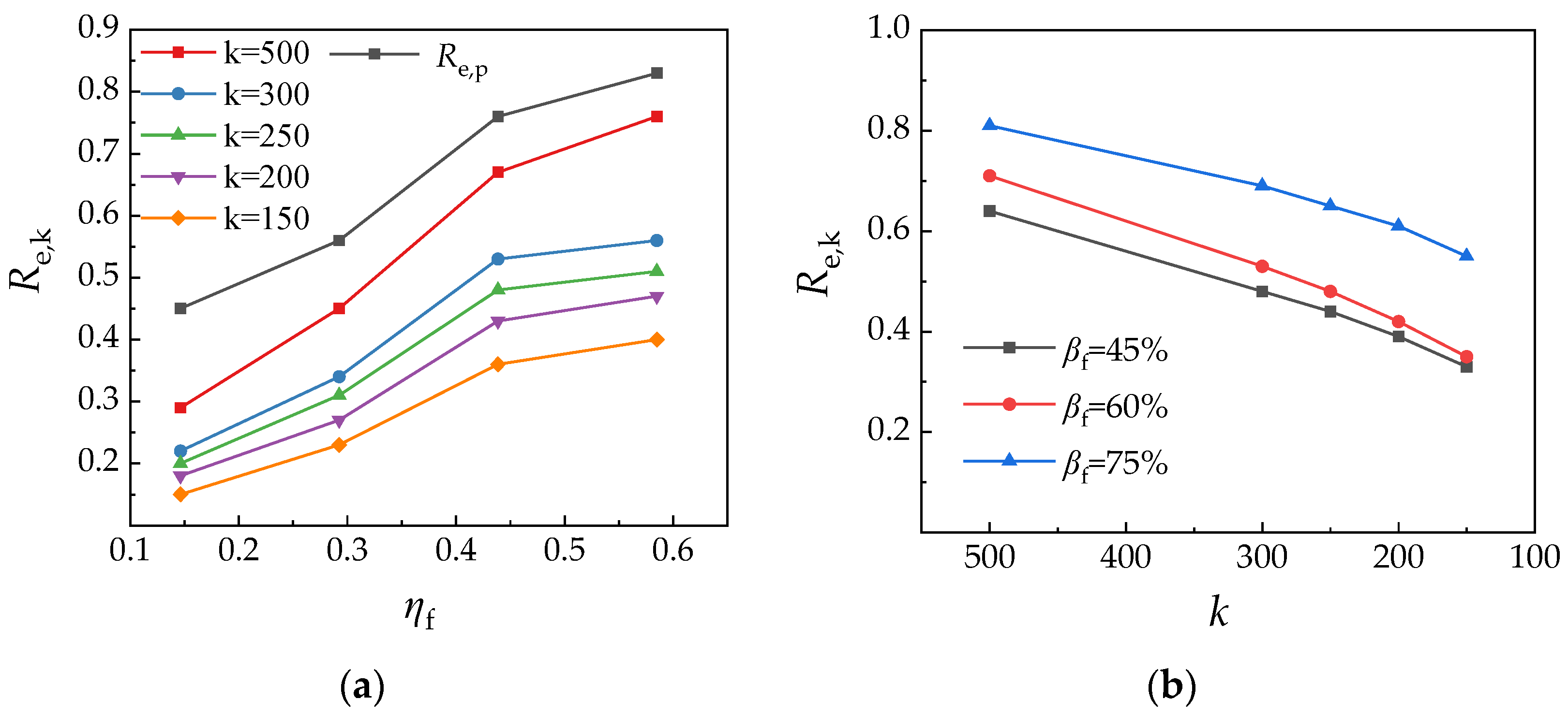
3. Discussion on Workability
3.1. Slump Flowability
3.2. Static Segregation Rate, Pressure Bleeding Rate, and Air Content
4. Analyses of Mechanical Properties
4.1. Compressive Properties
4.2. Splitting Tensile Strength
4.3. Flexural Performance
5. Conclusions
Author Contributions
Funding
Data Availability Statement
Conflicts of Interest
References
- JGJ/T 240-2011; Technical Specification for Application of Recycled Aggregate. China Building Industry Press: Beijing, China, 2011.
- Tanol, T.; Ömer, D.; Salahi, P. Influences of recycled plastic and treated wastewater containing with 50% GGBS content in sustainable concrete mixes. J. Mater. Res. Technol. 2022, 16, 110–128. [Google Scholar] [CrossRef]
- GB/T 51003-2014; Technical Code for Application of Mineral Admixtures. China Building Industry Press: Beijing, China, 2014.
- Xuan, M.; Wang, X. Effect of belite-rich cement replacement on the properties enhancement of eco-friendly ultra-high performance concrete containing limestone powder and slag. J. Mater. Res. Technol. 2023, 23, 1487–1502. [Google Scholar] [CrossRef]
- JGJ/T 241-2011; Technical Specification for Application of Manufactured Sand Concrete. China Building Industry Press: Beijing, China, 2011.
- JGJ/T361-2014; Technical Specification for Application of Crushed Gravel Mixed-Sand. China Building Industry Press: Beijing, China, 2014.
- Zhao, S.; Han, B.; Ding, X. Study on properties of manufactured sand and its concrete by our research group. In 3rd International Conference on Civil Engineering, Architecture and Sustainable Infrastructure; DEStech Publications, Inc.: Lancaster, PN, USA, 2015; pp. 16–21. [Google Scholar]
- Shen, W.; Yang, Z.; Cao, L.; Cao, L.; Liu, Y.; Yang, H.; Lu, Z.; Bai, J. Characterization of manufactured sand: Particle shape, surface texture and behavior in concrete. Constr. Build. Mater. 2016, 114, 595–601. [Google Scholar] [CrossRef]
- Ufuk, D. Effects of manufactured sand characteristics on water demand of mortar and concrete mixtures. J. Test. Eval. 2015, 43, 562–673. [Google Scholar]
- Huang, Y.; Wang, L. Effect of particle shape of limestone manufactured sand and natural sand on concrete. Procedia Eng. 2017, 210, 87–92. [Google Scholar]
- Sara, C.; Franco, M. Assessing the quality control of self-consolidating concrete properties. J. Constr. Eng. Manag. 2012, 138, 197–205. [Google Scholar]
- GB 50164-2011; Standard of Quality Control for Concrete. China Building Industry Press: Beijing, China, 2011.
- Xu, W.K.; Chen, S.L.; Li, P.; Gu, G.C. Distribution characteristics of sedimentation and suspended load and their indications for erosion-siltation in the littoral of Yellow River delta. J. Sediment. Res. 2016, 3, 24–30. [Google Scholar]
- Li, C.; Song, L.; Cao, Y.; Zhao, S.; Liu, H.; Yang, C. Investigating the mechanical property and enhanced mechanism of modified Pisha sandstone geopolymer via ion exchange solidification. Gels 2022, 8, 300. [Google Scholar] [CrossRef]
- Luan, J.; Chen, X.; Ning, Y.; Shi, Z. Beneficial utilization of ultra-fine dredged sand from Yangtze River channel as a concrete material based on the minimum paste theory. Case Studies Constr. Mater. 2022, 16, e01098. [Google Scholar] [CrossRef]
- Wang, F.; Lu, J.; Zhao, S.; Shi, Z.; Liu, J. Experimental study on the superfine sand modified manufactured sand to prepare C60 concrete. New Build. Mater. 2022, 49, 22–27. [Google Scholar]
- Wang, L.X. Application of Yellow River sand in high flowing concrete. Yellow River 2017, 39, 106–111. [Google Scholar]
- Shang, P.; Wang, H.; Zhang, D.; Zheng, W.; Qu, F.; Zhao, S. Experimental study on external loading performance of large diameter prestressed concrete cylinder pipe. Buildings 2022, 12, 1740. [Google Scholar] [CrossRef]
- Yang, Y.; Ding, X.; Liu, Y.; Deng, L.; Lv, F.; Zhao, S. Lateral pressure test of vertical joint concrete and formwork optimization design for monolithic precast concrete structure. Buildings 2022, 12, 261. [Google Scholar] [CrossRef]
- Zhao, M.; Dai, M.; Li, J.; Li, C. Case study on pumpability and mechanical property of concrete with manufactured sand and super-fine river sand. Case Study Constr. Mater. 2023, 18, e01850. [Google Scholar]
- Li, C.; Geng, H.; Zhou, S.; Dai, M.; Sun, B.; Li, F. Experimental study on preparation and performance of concrete with large content of fly-ash. Front Mater. 2022, 8, 764820. [Google Scholar] [CrossRef]
- Matos, P.R.; Foiato, M.; Prudêncio, L.R., Jr. Ecological, fresh state and long-term mechanical properties of high-volume fly ash high-performance self-compacting concrete. Constr. Build. Mater. 2019, 203, 282–293. [Google Scholar] [CrossRef]
- JGJ 55-2011; Specification for Mix Proportion Design of Ordinary Concrete. China Building Industry Press: Beijing, China, 2011.
- GB/T 50146-2014; Technique Code for Application of Fly Ash Concrete. China Standard Press: Beijing, China, 2014.
- JGJ 52-2006; Standard for Technical Requirements and Test Method of Sand and Crushed Stone (or Gravel) for Ordinary Concrete. China Building Industry Press: Beijing, China, 2006.
- GB 50010-2010; Code for Design of Concrete Structures. China Building Industry Press: Beijing, China, 2010.
- Herath, C.; Gunasekara, C.; Law, D.W.; Setunge, S. Performance of high volume fly ash concrete incorporating additives: A systematic literature review. Constr. Build. Mater. 2020, 258, 120606. [Google Scholar] [CrossRef]
- Hosan, A.; Shaikh, F.U.A. Compressive strength development and durability properties of high volume slag and slag-fly ash blended concretes containing nano-CaCO3. J. Mater. Res. Technol. 2021, 10, 1310–1322. [Google Scholar] [CrossRef]
- Promsawat, P.; Chatveera, B.; Suaiam, G.; Makul, N. Properties of self-compacting concrete prepared with ternary Portland cement-high volume fly ash-calcium carbonate blends. Case Study Constr. Mater. 2020, 13, e00426. [Google Scholar] [CrossRef]
- Nežerka, V.; Bílý, P.; Hrbek, V.; Fládr, J. Impact of silica fume, fly ash, and metakaolin on the thickness and strength of the ITZ in concrete. Cem. Concr. Compos. 2019, 103, 252–262. [Google Scholar] [CrossRef]
- Park, B.; Choi, Y.C. Hydration and pore-structure characteristics of high-content fly ash cement pastes. Constr. Build. Mater. 2021, 278, 122390. [Google Scholar] [CrossRef]
- Choi, Y.W.; Park, M.S.; Choi, B.K.; Oh, S.R. A study on the evaluation of field application of high-fluidity concrete containing high volume fly ash. Adv. Mater. Sci. Eng. 2015, 2015, 507018. [Google Scholar] [CrossRef]
- Yu, J.; Lu, C.; Leung, C.K.Y.; Li, G.Y. Mechanical properties of green structural concrete with ultrahigh-volume fly ash. Constr. Build. Mater. 2017, 147, 510–518. [Google Scholar] [CrossRef]
- Ding, X.; Li, C.; Han, B.; Lu, Y.; Zhao, S. Effects of different deformed steel-fibers on preparation and fundamental properties of self-compacting SFRC. Constr. Build. Mater. 2018, 168, 471–481. [Google Scholar] [CrossRef]
- Zhao, M.; Li, J.; Xie, Y.M. Effect of vibration time on steel fibre distribution and flexural properties of steel fibre reinforced concrete with different flowability. Case Study Constr. Mater. 2022, 16, e01114. [Google Scholar]
- Zhao, M.; Li, J.; Law, D. Effects of flowability on SFRC fibre distribution and properties. Mag. Concr. Res. 2017, 69, 1043–1054. [Google Scholar] [CrossRef]
- Iqbal Khan, M.; Abbass, W.; Alrubaidi, M.; Alqahtani, F.K. Optimization of the fine to coarse aggregate ratio for the workability and mechanical properties of high strength steel fiber reinforced concretes. Materials 2020, 13, 5202. [Google Scholar] [CrossRef]
- Ding, X.; Zhao, M.; Li, J.; Shang, P.; Li, C. Mix proportion design of self-compacting SFRC with manufactured sand based on the steel fiber-aggregates skeleton packing test. Materials 2020, 13, 2833. [Google Scholar] [CrossRef]
- Ding, X.; Zhao, M.; Li, C.; Li, J.; Zhao, X. A multi-index synthetical evaluation of bond behaviors of hooked-end steel fiber embedded in mortars. Constr. Build. Mater. 2021, 276, 122219. [Google Scholar] [CrossRef]
- JG/T 472-2015; Steel Fiber Reinforced Concrete. China Standard Press: Beijing, China, 2015.
- GB/T 27690-2011; Silica Fume for Mortar and Concrete. China Standard Press: Beijing, China, 2011.
- Liu, S.; Zhu, M.; Ding, X.; Ren, Z.; Zhao, S.; Zhao, M.; Dang, J. High-durability concrete with supplementary cementitious admixtures used in corrosive environments. Crystals 2021, 11, 196. [Google Scholar] [CrossRef]
- GB/T 50080-2016; Standard for Test Method of Fresh Performance of Ordinary Concrete. China Building Industry Press: Beijing, China, 2016.
- GB/T 50081-2019; Standard for Test Method of Physical and Mechanical Properties of Concrete. China Building Industry Press: Beijing, China, 2019.
- Rama, J.S.K.; Sivakumar, M.V.N.; Kubair, K.S.; Vasan, A. Influence of plastic viscosity of mix on self-compacting concrete with river and crushed sand. Comput. Concr. 2019, 23, 37–47. [Google Scholar]
- JGJ/T 283-2012; Technical Specification for Application of Self-compacting Concrete. China Building Industry Press: Beijing, China, 2012.
- JGJ/T 10-2011; Technical Specification for Construction of Concrete Pumping. China Building Industry Press: Beijing, China, 2011.







| Admixture | Apparent Density (kg/m3) | Water Demand (%) | Water Content (%) | Activity Index (%) |
|---|---|---|---|---|
| Silica fume | 2160 | 103.6 | 0.43 | 113.2 |
| Binder | Chemical Composites (%) | ||||||
|---|---|---|---|---|---|---|---|
| CaO | MgO | Al2O3 | Fe2O3 | SiO2 | SO3 | LOI | |
| Silica fume | 0.56 | 0.30 | 0.80 | 0.60 | 92.82 | 0.90 | 0.0675 |
| ID | Cement | Fly Ash | Silica Fume | Water | SRS | MS | Crushed Limestone | Steel Fiber | Water Reducer | Unit Weight | |
|---|---|---|---|---|---|---|---|---|---|---|---|
| Wet | Dry | ||||||||||
| F30 | 335.4 | 143.7 | - | 172.5 | 335.9 | 503.9 | 909.7 | 0 | 3.35 | 2415 | 2266 |
| F30SF4 | 347.4 | 148.9 | - | 178.6 | 318.4 | 477.6 | 910.4 | 31.4 | 3.47 | 2410 | 2300 |
| F30SF8 | 358.3 | 153.6 | - | 184.2 | 322.1 | 483.1 | 859.5 | 62.8 | 3.58 | 2450 | 2310 |
| F30SF12 | 369.2 | 158.2 | - | 189.9 | 325.7 | 488.5 | 808.9 | 94.2 | 3.69 | 2470 | 2320 |
| F30SF16 | 380.2 | 162.9 | - | 195.5 | 329.2 | 493.9 | 758.4 | 125.6 | 3.80 | 2490 | 2340 |
| F45SF8 | 250.8 | 230.3 | 30.7 | 184.2 | 313.5 | 470.2 | 834.9 | 62.8 | 3.58 | 2390 | 2300 |
| F60SF8 | 163.8 | 307.1 | 40.9 | 184.2 | 308.2 | 462.4 | 820.0 | 62.8 | 3.58 | 2340 | 2210 |
| F75SF8 | 76.8 | 383.9 | 51.2 | 184.2 | 305.0 | 454.5 | 805.0 | 62.8 | 3.58 | 2330 | 2190 |
| ID | Workability | Rheological Properties | |||||||
|---|---|---|---|---|---|---|---|---|---|
| S(mm) | SF (mm) | Air Content (%) | Static Segregation Rate (%) | Pressure Bleeding Rate (%) | τ0 (Pa) | η0 (Pa·s) | |||
| Initial | 0.5 h | 1 h | |||||||
| F30SF4 | 220 | 190 | 175 | 390 | 4.1 | 0.20 | 38.7 | 24.6 | 14.1 |
| F30SF8 | 215 | 175 | 155 | 380 | 4.7 | 0.30 | 35.1 | 45.3 | 24.9 |
| F30SF12 | 215 | 170 | 150 | 450 | 4.9 | 1.00 | 32.1 | 80.6 | 44.0 |
| F30SF16 | 225 | 165 | 125 | 470 | 4.8 | 2.20 | 30.0 | 101.7 | 55.5 |
| F45SF8 | 205 | - | 150 | 350 | 2.8 | 0.20 | 30.8 | 60.6 | 15.4 |
| F60SF8 | 215 | - | 150 | 360 | 4.6 | 0.20 | 20.6 | 77.1 | 17.0 |
| F75SF8 | 210 | - | 140 | 330 | 3.8 | 0.20 | 18.8 | 93.8 | 17.7 |
| ID | Water Absorption (%) | fcu (MPa) | fc (MPa) | Ec (GPa) | fst (MPa) | ff (MPa) |
|---|---|---|---|---|---|---|
| F30 | 4.0 | 48.9 | 40.9 | 33.1 | 3.49 | 4.2 |
| F30SF4 | 4.4 | 48.7 | 39.2 | 34.2 | 3.60 | 4.8 |
| F30SF8 | 4.6 | 49.2 | 40.5 | 36.7 | 3.84 | 5.0 |
| F30SF12 | 5.3 | 48.8 | 39.9 | 37.4 | 3.94 | 5.8 |
| F30SF16 | 5.4 | 54.1 | 43.9 | 39.5 | 4.28 | 6.1 |
| ID | Water Absorption (%) | fcu (MPa) | fc (MPa) | Ec (GPa) | fst (MPa) | ff (MPa) |
|---|---|---|---|---|---|---|
| F30SF8 | 4.4 | 55.8 | 45.7 | 36.8 | 3.96 | - |
| F45SF8 | 4.1 | 66.0 | 53.0 | 37.4 | 4.11 | 4.2 |
| F60SF8 | 4.0 | 49.1 | 38.1 | 32.2 | 2.95 | 4.1 |
| F75SF8 | 4.5 | 22.7 | 18.3 | 20.5 | 1.65 | 3.5 |
Disclaimer/Publisher’s Note: The statements, opinions and data contained in all publications are solely those of the individual author(s) and contributor(s) and not of MDPI and/or the editor(s). MDPI and/or the editor(s) disclaim responsibility for any injury to people or property resulting from any ideas, methods, instructions or products referred to in the content. |
© 2023 by the authors. Licensee MDPI, Basel, Switzerland. This article is an open access article distributed under the terms and conditions of the Creative Commons Attribution (CC BY) license (https://creativecommons.org/licenses/by/4.0/).
Share and Cite
Geng, H.; Zhang, Y.; Wang, H.; Zhong, H.; Li, C.; Li, F. Case Study on the Performance of High-Flowing Steel-Fiber-Reinforced Mixed-Sand Concrete. Crystals 2023, 13, 1507. https://doi.org/10.3390/cryst13101507
Geng H, Zhang Y, Wang H, Zhong H, Li C, Li F. Case Study on the Performance of High-Flowing Steel-Fiber-Reinforced Mixed-Sand Concrete. Crystals. 2023; 13(10):1507. https://doi.org/10.3390/cryst13101507
Chicago/Turabian StyleGeng, Haibin, Yanyan Zhang, Huijuan Wang, Hao Zhong, Changyong Li, and Fenglan Li. 2023. "Case Study on the Performance of High-Flowing Steel-Fiber-Reinforced Mixed-Sand Concrete" Crystals 13, no. 10: 1507. https://doi.org/10.3390/cryst13101507
APA StyleGeng, H., Zhang, Y., Wang, H., Zhong, H., Li, C., & Li, F. (2023). Case Study on the Performance of High-Flowing Steel-Fiber-Reinforced Mixed-Sand Concrete. Crystals, 13(10), 1507. https://doi.org/10.3390/cryst13101507

