Structure, Electrical Properties, and Thermal Stability of the Mn/Nb Co-Doped Aurivillius-Type Na0.5Bi4.5Ti4O15 High Temperature Piezoelectric Ceramics
Abstract
:1. Introduction
2. Experimental Methods
2.1. Fabrication
2.2. Characterization
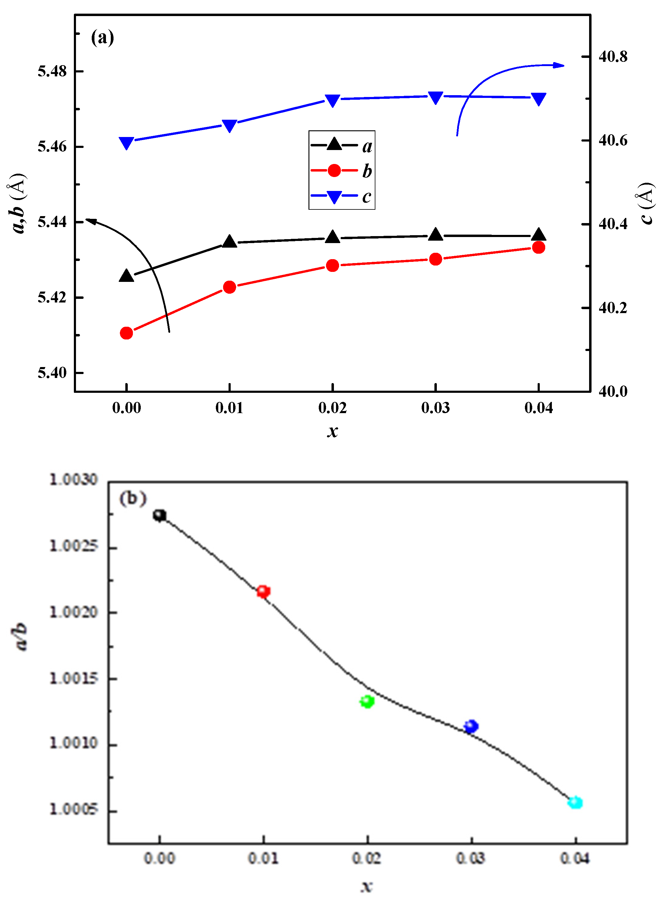
3. Results and Discussions
4. Conclusions
Author Contributions
Funding
Data Availability Statement
Conflicts of Interest
References
- Jaffe, B. Piezoeletric Ceramics; Academic: London, UK, 1971. [Google Scholar]
- Ferreira, P.M.; Machado, M.A.; Carvalho, M.S.; Vidal, C. Embedded Sensors for Structural Health Monitoring: Methodologies and Applications Review. Sensors 2022, 22, 8320. [Google Scholar] [CrossRef] [PubMed]
- Ai, D.; Luo, H.; Zhu, H. Numerical and experimental investigation of flexural performance on pre-stressed concrete structures using electromechanical admittance. Mech. Syst. Signal Process. 2019, 128, 244–265. [Google Scholar] [CrossRef]
- Voutetaki, M.E.; Naoum, M.C.; Papadopoulos, N.A.; Chalioris, C.E. Cracking Diagnosis in Fiber-Reinforced Concrete with Synthetic Fibers Using Piezoelectric Transducers. Fibers 2022, 10, 5. [Google Scholar] [CrossRef]
- Zhang, S.; Yu, F.; Green, D.J. Piezoelectric Materials for High Temperature Sensors. J. Am. Ceram. Soc. 2011, 94, 3153–3170. [Google Scholar] [CrossRef]
- Wu, J.; Gao, X.; Chen, J.; Wang, C.-M.; Zhang, S.; Dong, S. Review of high temperature piezoelectric materials, devices, and applications. Acta Phys. Sin. 2018, 67, 207701. [Google Scholar] [CrossRef]
- Kazys, R.; Vaskeliene, V. High Temperature Ultrasonic Transducers: A Review. Sensors 2021, 21, 3200. [Google Scholar] [CrossRef]
- Wang, Q.; Wang, C.M.; Wang, J.F.; Zhang, S.J. High performance Aurivillius-type bismuth titanate niobate (Bi3TiNbO9) piezoelectric ceramics for high temperature applications. Ceram. Int. 2016, 42, 6993–7000. [Google Scholar] [CrossRef]
- Cao, Z.P.; Wang, C.M.; Zhao, T.L.; Yu, S.L.; Wu, H.Z.; Wang, Y.M.; Wang, Q.; Liang, Y.; Wei, Y.N.; Zhang, Y.; et al. Piezoelectric properties and thermal stabilities of strontium bismuth titanate (SrBi4Ti4O15). Ceram. Int. 2015, 41, 13974–13982. [Google Scholar] [CrossRef]
- Wang, H.; Jiang, X.; Chen, C.; Huang, X.; Nie, X.; Yang, L.; Fan, W.; Jie, S.; Wang, H. Structure and electrical properties of Ce-modified Ca1-xCexBi2Nb1.75(Cu0.25W0.75)0.25O9 high Curie point piezoelectric ceramics. Ceram. Int. 2022, 48, 1723–1730. [Google Scholar] [CrossRef]
- Aurivillius, B. Mixed Bismuth Oxides with Layer Lattices. 1. the Structure Type of CaNb2Bi2O9. Ark. Kemi 1949, 1, 463–480. [Google Scholar]
- Aurivillius, B. Mixed Oxides with Layer Lattices. 3. Structure of BaBi4Ti4O15. Ark. Kemi 1950, 2, 519–527. [Google Scholar]
- Xie, X.; Zhou, Z.; Chen, T.; Liang, R.; Dong, X. Enhanced electrical properties of NaBi modified CaBi2Nb2O9-based Aurivillius piezoceramics via structural distortion. Ceram. Int. 2019, 45, 5425–5430. [Google Scholar] [CrossRef]
- Rehman, F.; Li, J.-B.; Saeed, Y.; Ahmad, P. Dielectric behaviors and electrical properties of Gd-doped Aurivillius KBi4Ti4O15 ceramics. J. Mater. Sci.-Mater. Electron. 2020, 31, 14674–14680. [Google Scholar] [CrossRef]
- Wu, W.; Han, Y.; Huang, X.; Du, J.; Bai, W.; Wen, F.; Wu, W.; Zheng, P.; Zheng, L.; Zhang, Y. Electrical properties of a Cr2O3-modified Na0.5Bi4.5Ti4O15-Na0.5Bi0.5TiO3 composite ceramic. J. Aust. Ceram. Soc. 2021, 57, 321–326. [Google Scholar] [CrossRef]
- Chen, J.-N.; Wang, Q.; Lu, H.-T.; Zhao, X.; Wang, C.-M. Enhanced electrical properties and conduction mechanism of A-site rare-earth Nd-substituted CaBi2Nb2O9. J. Phys. D-Appl. Phys. 2022, 55, 315301. [Google Scholar] [CrossRef]
- Chen, N.; Wang, F.; Li, X.; Xie, Y.; Xi, J.; Guan, S.; Shi, W.; Chen, H.; Xing, J.; Zhu, J. Improving the piezoelectric properties of CBN-based ceramic by a Ce ion. J. Am. Ceram. Soc. 2022, 105, 6207–6216. [Google Scholar] [CrossRef]
- Zhang, Y.; Liang, R.; Zhou, Z. Enhanced electrical properties of Cr2O3 addition NBT-based high-temperature piezoelectric ceramics. J. Am. Ceram. Soc. 2023, 106, 2357–2365. [Google Scholar] [CrossRef]
- Zulhadjri; Wendari, T.P.; Mawardi, F.; Putri, Y.E.; Septiani, U. Effect of Gd3+/Ti4+ heterovalent substitution on the crystal structure, morphology, optical properties, and phase transition behavior of bismuth layer-structured SrBi2Nb2O9. J. Solid State Chem. 2023, 319, 123774. [Google Scholar] [CrossRef]
- Shen, Z.-Y.; Sun, H.; Tang, Y.; Li, Y.; Zhang, S. Enhanced piezoelectric properties of Nb and Mn co-doped CaBi4Ti4O15 high temperature piezoceramics. Mater. Res. Bull. 2015, 63, 129–133. [Google Scholar] [CrossRef]
- Liu, Y.; Zhang, Y.; Zhu, L.; Zheng, P.; Bai, W.; Li, L.; Wen, F.; Xu, Z.; Zheng, L.; Zhang, Y. Enhanced piezoelectric activity with good thermal stability and improved electrical resistivity in Ta-Mn co-doped CaBi4Ti4O15 high-temperature piezoceramics. Ceram. Int. 2020, 46, 22532–22538. [Google Scholar] [CrossRef]
- Zhang, F.; Shi, W.; Guan, S.; Xu, Y.; Yang, H.; Chen, H.; Xing, J.; Liu, H.; Chen, Q. Enhanced electrical properties and thermal stability of W/Cr co-doped BIT-based high-temperature piezoelectric ceramics. J. Alloys Compd. 2022, 907, 164492. [Google Scholar] [CrossRef]
- Qin, L.; Jiang, C.; Liu, K.; Chen, Y.; Du, Y.; Zuo, Y.; Chen, Y.; Cao, W. Structural and electric properties of Ce-doped Na0.5Bi4.5Ti4O15 piezoceramics with high Curie temperatures. J. Am. Ceram. Soc. 2020, 103, 4083–4089. [Google Scholar] [CrossRef]
- IEEE. IEEE Standard on Piezoelectricity. IEEE Trans. Ultrason. Ferroelectr. Freq. Control. 1996, 43, 717. [Google Scholar]
- Zhao, T.-L.; Guo, Z.-L.; Wang, C.-M. The Effects of Na/K Ratio on the Electrical Properties of Sodium-Potassium Bismuth Titanate Na0.5Bi4.5Ti4O15-K0.5Bi4.5Ti4O15. J. Am. Ceram. Soc. 2012, 95, 1062–1067. [Google Scholar] [CrossRef]
- Shannon, R.D.; Prewitt, C.T. Effective ionic radii in oxides and fluorides. Acta Cryst. B 1969, 25, 925–946. [Google Scholar] [CrossRef]
- Chamberland, B. The major ternary structural families: O. Muller and R. Roy. Springer, Berlin, 1974, 487 pp., D.M. Int. J. Miner. Process. 1975, 2, 368. [Google Scholar] [CrossRef]
- Zuo, Y.; Fang, Z.; Fan, D.; Liu, K.; Niu, H.; Wang, H.; Du, Y.; Shen, M.; Shang, X.; Li, Z.; et al. Interrelation between lattice structures and polarization in high Curie temperature piezoelectric Na0.5Bi4.46Ce0.04Ti4-xCoxOy ceramics. Ceram. Int. 2022, 48, 9297–9303. [Google Scholar] [CrossRef]
- Zhang, Y.; Ke, X.; Zhao, K.; Zhou, Z.; Liang, R. Ca2+ doping effects on the structural and electrical properties of Na0.5Bi4.5Ti4O15 piezoceramics. Ceram. Int. 2022, 48, 31265–31272. [Google Scholar] [CrossRef]
- Tang, Y.; Shen, Z.-Y.; Du, Q.; Zhao, X.; Wang, F.; Qin, X.; Wang, T.; Shi, W.; Sun, D.; Zhou, Z.; et al. Enhanced pyroelectric and piezoelectric responses in W/Mn-codoped Bi4Ti3O12 Aurivillius ceramics. J. Eur. Ceram. Soc. 2018, 38, 5348–5353. [Google Scholar] [CrossRef]
- Zhang, X.; Jiang, G.; Guo, F.; Liu, D.; Zhang, S.; Yang, B.; Cao, W. Mn doping effects on electric properties of 0.93(Bi0.5Na0.5)TiO3-0.07Ba(Ti0.945Zr0.055)O3 ceramics. J. Am. Ceram. Soc. 2018, 101, 2996–3004. [Google Scholar] [CrossRef]









Disclaimer/Publisher’s Note: The statements, opinions and data contained in all publications are solely those of the individual author(s) and contributor(s) and not of MDPI and/or the editor(s). MDPI and/or the editor(s) disclaim responsibility for any injury to people or property resulting from any ideas, methods, instructions or products referred to in the content. |
© 2023 by the authors. Licensee MDPI, Basel, Switzerland. This article is an open access article distributed under the terms and conditions of the Creative Commons Attribution (CC BY) license (https://creativecommons.org/licenses/by/4.0/).
Share and Cite
Zhao, T.; Shi, K.; Fei, C.; Sun, X.; Quan, Y.; Liu, W.; Zhang, J.; Dai, X. Structure, Electrical Properties, and Thermal Stability of the Mn/Nb Co-Doped Aurivillius-Type Na0.5Bi4.5Ti4O15 High Temperature Piezoelectric Ceramics. Crystals 2023, 13, 433. https://doi.org/10.3390/cryst13030433
Zhao T, Shi K, Fei C, Sun X, Quan Y, Liu W, Zhang J, Dai X. Structure, Electrical Properties, and Thermal Stability of the Mn/Nb Co-Doped Aurivillius-Type Na0.5Bi4.5Ti4O15 High Temperature Piezoelectric Ceramics. Crystals. 2023; 13(3):433. https://doi.org/10.3390/cryst13030433
Chicago/Turabian StyleZhao, Tianlong, Kefei Shi, Chunlong Fei, Xinhao Sun, Yi Quan, Wen Liu, Juan Zhang, and Xianying Dai. 2023. "Structure, Electrical Properties, and Thermal Stability of the Mn/Nb Co-Doped Aurivillius-Type Na0.5Bi4.5Ti4O15 High Temperature Piezoelectric Ceramics" Crystals 13, no. 3: 433. https://doi.org/10.3390/cryst13030433
APA StyleZhao, T., Shi, K., Fei, C., Sun, X., Quan, Y., Liu, W., Zhang, J., & Dai, X. (2023). Structure, Electrical Properties, and Thermal Stability of the Mn/Nb Co-Doped Aurivillius-Type Na0.5Bi4.5Ti4O15 High Temperature Piezoelectric Ceramics. Crystals, 13(3), 433. https://doi.org/10.3390/cryst13030433

