Enhancement of Thermoelectric Performance for InTe by Selective Substitution and Grain Size Modulation
Abstract
1. Introduction
2. Materials and Methods
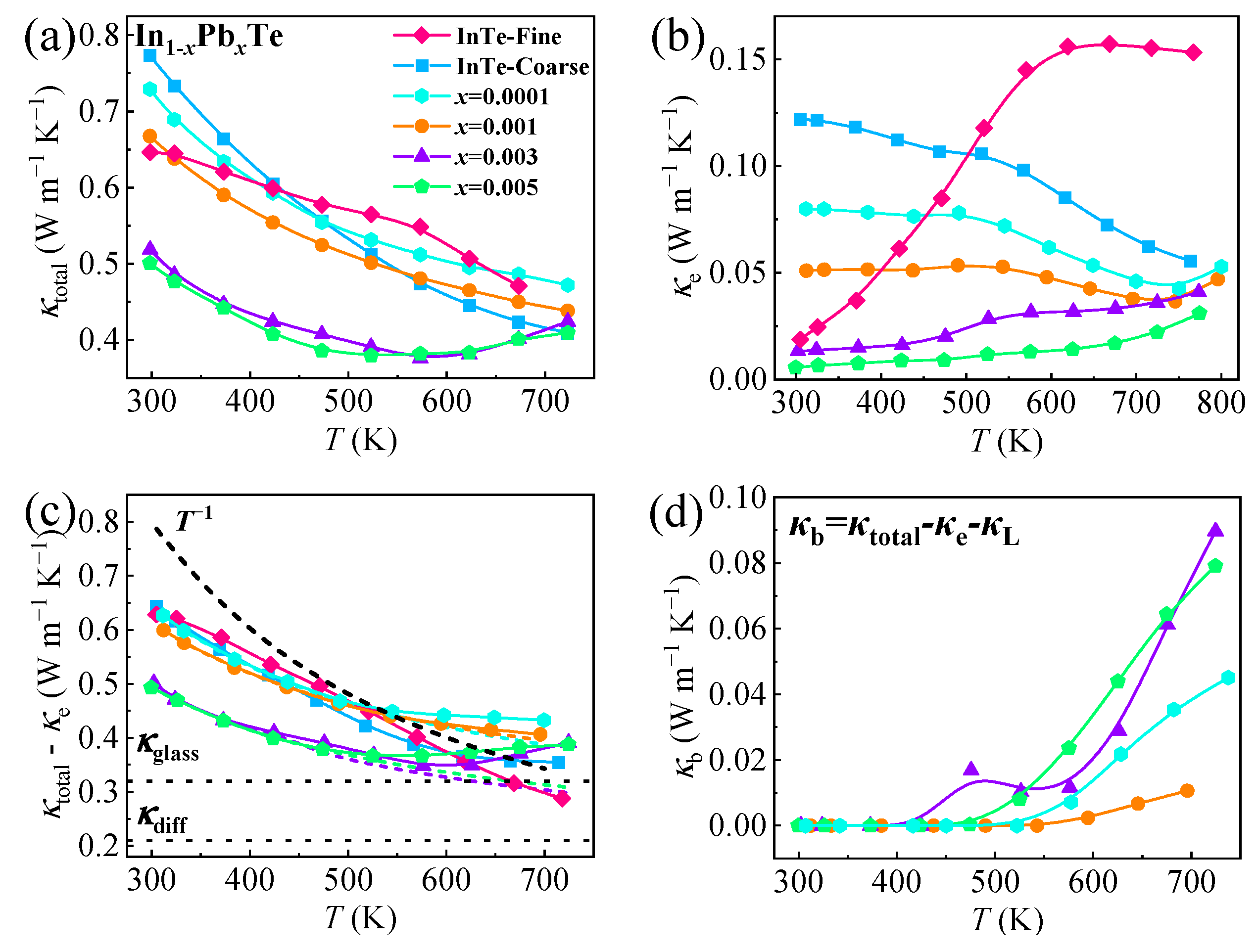
3. Results and Discussion
4. Conclusions
Author Contributions
Funding
Data Availability Statement
Acknowledgments
Conflicts of Interest
References
- Bell, L.E. Cooling, Heating, Generating Power, and Recovering Waste Heat with Thermoelectric Systems. Science 2008, 321, 1457–1461. [Google Scholar] [CrossRef] [PubMed]
- Jiang, B.; Wang, W.; Liu, S.; Wang, Y.; Wang, C.; Chen, Y.; Xie, L.; Huang, M.; He, J. High figure-of-merit and power generation in high-entropy GeTe-based thermoelectrics. Science 2022, 377, 208–213. [Google Scholar] [CrossRef]
- Nandihalli, N.; Gregory, D.H.; Mori, T. Energy-Saving Pathways for Thermoelectric Nanomaterial Synthesis: Hydrothermal/Solvothermal, Microwave-Assisted, Solution-Based, and Powder Processing. Adv. Sci. 2022, 9, 2106052. [Google Scholar] [CrossRef] [PubMed]
- Snyder, G.J.; Toberer, E.S. Complex thermoelectric materials. Nat. Mater. 2008, 7, 105–114. [Google Scholar] [CrossRef] [PubMed]
- Heremans, J.P.; Jovovic, V.; Toberer, E.S.; Saramat, A.; Kurosaki, K.; Charoenphakdee, A.; Yamanaka, S.; Snyder, G.J. Enhancement of Thermoelectric Efficiency in PbTe by Distortion of the Electronic Density of States. Science 2008, 321, 554–557. [Google Scholar] [CrossRef]
- Ahmad, M.; Agarwal, K.; Munoz, S.G.; Ghosh, A.; Kodan, N.; Kolosov, O.V.; Mehta, B.R. Engineering Interfacial Effects in Electron and Phonon Transport of Sb2Te3/MoS2 Multilayer for Thermoelectric ZT Above 2.0. Adv. Funct. Mater. 2022, 32, 2206384. [Google Scholar] [CrossRef]
- Pei, Y.; LaLonde, A.D.; Wang, H.; Snyder, G.J. Low effective mass leading to high thermoelectric performance. Energy Environ. Sci. 2012, 5, 7963–7969. [Google Scholar] [CrossRef]
- Yan, X.; Poudel, B.; Ma, Y.; Liu, W.S.; Joshi, G.; Wang, H.; Lan, Y.; Wang, D.; Chen, G.; Ren, Z.F. Experimental studies on anisotropic thermoelectric properties and structures of n-type Bi2Te2.7Se0.3. Nano Lett. 2010, 10, 3373–3378. [Google Scholar] [CrossRef]
- Nunna, R.; Qiu, P.; Yin, M.; Chen, H.; Hanus, R.; Song, Q.; Zhang, T.; Chou, M.Y.; Agne, M.T.; He, J.; et al. Ultrahigh thermoelectric performance in Cu2Se-based hybrid materials with highly dispersed molecular CNTs. Energy Environ. Sci. 2017, 10, 1928–1935. [Google Scholar] [CrossRef]
- Zhao, L.; Tan, G.; Hao, S.; He, J.; Pei, Y.; Chi, H.; Wang, H.; Gong, S.; Xu, H.; Dravid, V.P.; et al. Ultrahigh power factor and thermoelectric performance in holedoped single-crystal SnSe. Science 2015, 351, 141–144. [Google Scholar] [CrossRef] [PubMed]
- Wang, D.; Liu, W.; Li, M.; Yin, L.; Gao, H.; Sun, Q.; Wu, H.; Wang, Y.; Shi, X.; Yang, X.; et al. Simultaneously achieving high ZT and mechanical hardness in highly alloyed GeTe with symmetric nanodomains. Chem. Eng. J. 2022, 441, 136131. [Google Scholar] [CrossRef]
- Mao, J.; Wu, Y.; Song, S.; Zhu, Q.; Shuai, J.; Liu, Z.; Pei, Y.; Ren, Z. Defect Engineering for Realizing High Thermoelectric Performance in n-Type Mg3Sb2-Based Materials. ACS Energy Lett. 2017, 2, 2245–2250. [Google Scholar] [CrossRef]
- Ma, J.; Delaire, O.; May, A.F.; Carlton, C.E.; McGuire, M.A.; VanBebber, L.H.; Abernathy, D.L.; Ehlers, T.H.G.; Huq, A.; Tian, W.; et al. Glass-like phonon scattering from a spontaneous nanostructure in AgSbTe2. Nat. Nanotechnol. 2013, 8, 445–451. [Google Scholar] [CrossRef] [PubMed]
- Detemple, R.; Wamwangi, D.; Wuttig, M.; Bihlmayer, G. Identification of Te alloys with suitable phase change characteristics. Appl. Phys. Lett. 2003, 83, 2572–2574. [Google Scholar] [CrossRef]
- Li, F.; Liu, X.; Ma, N.; Chen, L.; Wu, L.M. Thermoelectric Zintl Compound In1−xGaxTe: Pure Acoustic Phonon Scattering and Dopant-Induced Deformation Potential Reduction and Lattice Shrink. Angew. Chem. Int. Ed. 2022, 61, e202208216. [Google Scholar]
- Jana, M.K.; Pal, K.; Waghmare, U.V.; Biswas, K. The Origin of Ultralow Thermal Conductivity in InTe: Lone-Pair-Induced Anharmonic Rattling. Angew. Chem. Int. Ed. 2016, 55, 7923–7927. [Google Scholar] [CrossRef]
- Wang, D.; Liu, W.; Li, M.; Zheng, K.; Hu, H.; Yin, L.; Wang, Y.; Zhu, H.; Shi, X.L.; Yang, X.; et al. Hierarchical Architectural Structures Induce High Performance in n-Type GeTe-Based Thermoelectrics. Adv. Funct. Mater. 2023, 2213040. [Google Scholar] [CrossRef]
- Slack, G.A.; Rowe, D.M. CRC Handbook of Thermoelectrics; CRC Press: Boca Raton, FL, USA, 1995. [Google Scholar]
- Nolas, G.; Morelli, D.; Tritt, T.M. Skutterudites: A Phonon-Glass-Electron Crystal Approach to Advanced Thermoelectric Energy Conversion Applications. Annu. Rev. Mater. Sci. 1999, 29, 89–116. [Google Scholar] [CrossRef]
- Parlak, M.; Ercelebi, C.; Gunal, I.; Ozkan, H.; Gasanly, N.M. Anisotropy of Electrical Resistivity and Hole Mobility in InTe Single Crystals. Cryst. Res. Technol. 1996, 31, 673–678. [Google Scholar] [CrossRef]
- Misra, S.; Léon, A.; Levinský, P.; Hejtmánek, J.; Lenoir, B.; Candolfi, C. Enhanced thermoelectric performance of InTe through Pb doping. J. Mater. Chem. C 2021, 9, 14490–14496. [Google Scholar] [CrossRef]
- Zhu, H.; Zhang, B.; Wang, G.; Peng, K.; Yan, Y.; Zhang, Q.; Han, X.; Wang, G.; Lu, X.; Zhou, X. Promoted high temperature carrier mobility and thermoelectric performance of InTe enabled by altering scattering mechanism. J. Mater. Chem. A 2019, 7, 11690–11698. [Google Scholar] [CrossRef]
- Pan, S.; Liu, H.; Li, Z.; You, L.; Dai, S.; Yang, J.; Guo, K.; Luo, J. Enhancement of the thermoelectric performance of InTe via introducing Cd dopant and regulating the annealing time. J. Alloys Compd. 2020, 813, 152210–152216. [Google Scholar] [CrossRef]
- Huang, R.; Huang, Y.; Zhu, B.; He, M.; Ge, Z.; Fu, L.; He, J. Large enhancement of thermoelectric performance of InTe compound by sintering and CuInTe2 doping. J. Appl. Phys. 2019, 126, 125108. [Google Scholar] [CrossRef]
- Back, S.Y.; Kim, Y.K.; Cho, H.; Han, M.K.; Kim, S.J.; Rhyee, J.S. Temperature-Induced Lifshitz Transition and Charge Density Wave in InTe1−δ Thermoelectric Materials. ACS Appl. Energy Mater. 2020, 3, 3628–3636. [Google Scholar] [CrossRef]
- Back, S.Y.; Cho, H.; Kim, Y.K.; Byeon, S.; Jin, H.; Koumoto, K.; Rhyee, J.S. Enhancement of thermoelectric properties by lattice softening and energy band gap control in Te-deficient InTe1−δ. AIP Adv. 2018, 8, 115227–115237. [Google Scholar] [CrossRef]
- Zhu, H.; Wang, G.; Wang, G.; Zhou, X.; Lu, X. The role of electronic affinity for dopants in thermoelectric transport properties of InTe. J. Alloys Compd. 2021, 869, 159224–159229. [Google Scholar] [CrossRef]
- Lotgering, F.K. Topotactical Reactions With Ferrimagnetic Oxides Having Hexagonal Crystal Structures—I. J. Inorg. Nucl. Chem 1959, 9, 113–123. [Google Scholar] [CrossRef]
- Misra, S.; Levinský, P.; Dauscher, A.; Medjahdi, G.; Hejtmánek, J.; Malaman, B.; Snyder, G.J.; Lenoir, B.; Candolfi, C. Synthesis and physical properties of single-crystalline InTe: Towards high thermoelectric performance. J. Mater. Chem. C 2021, 9, 5250–5260. [Google Scholar] [CrossRef]
- Wu, Y.; Liu, F.; Zhang, Q.; Zhu, T.; Xia, K.; Zhao, X. Enhancing the average thermoelectric figure of merit of elemental Te by suppressing grain boundary scattering. J. Mater. Chem. A 2020, 8, 8455–8461. [Google Scholar] [CrossRef]
- Qiu, Q.; Liu, Y.; Xia, K.; Fang, T.; Yu, J.; Zhao, X.; Zhu, T. Grain Boundary Scattering of Charge Transport in n-Type (Hf, Zr)CoSb Half-Heusler Thermoelectric Materials. Adv. Energy Mater. 2019, 9, 1803447. [Google Scholar] [CrossRef]
- Hogg, J.H.C.; Sutherland, H.H. Indium Telluride. Acta Cryst. 1976, 32, 2689–2690. [Google Scholar] [CrossRef]
- Nandihalli, N.; Pai, Y.H.; Liu, C.J. Fabrication and thermoelectric properties of Pb1-y(Zn0.85Al0.15)yTe-Te (y = 0, 0.04, 0.06, 0.08, and 0.11) nanocomposites. Ceram. Int. 2020, 46, 6443–6453. [Google Scholar] [CrossRef]
- Kamins, T.I. Hall Mobility in Chemically Deposited Polycrystalline Silicon. J. Appl. Phys. 1971, 42, 4357–4365. [Google Scholar] [CrossRef]
- Seto, J.Y.W. The electrical properties of polycrystalline silicon films. J. Appl. Phys. 1975, 46, 5247–5254. [Google Scholar] [CrossRef]
- Hu, C.; Xia, K.; Fu, C.; Zhao, X.; Zhu, T. Carrier grain boundary scattering in thermoelectric materials. Energy Environ. Sci. 2022, 15, 1406–1422. [Google Scholar] [CrossRef]
- He, R.; Kraemer, D.; Mao, J.; Zeng, L.; Jie, Q.; Lan, Y.; Li, C.; Shuai, J.; Kim, H.S.; Liu, Y.; et al. Achieving high power factor and output power density in p-type half-Heuslers Nb1-xTixFeSb. Proc. Natl. Acad. Sci. USA 2016, 113, 13576–13581. [Google Scholar] [CrossRef]
- Fu, C.; Wu, H.; Liu, Y.; He, J.; Zhao, X.; Zhu, T. Enhancing the Figure of Merit of Heavy-Band Thermoelectric Materials Through Hierarchical Phonon Scattering. Adv. Sci. 2016, 3, 1600035. [Google Scholar] [CrossRef] [PubMed]
- Wood, M.; Kuo, J.J.; Imasato, K.; Snyder, G.J. Improvement of Low-Temperature zT in a Mg3Sb2-Mg3Bi2 Solid Solution via Mg-Vapor Annealing. Adv. Mater. 2019, 31, 1902337. [Google Scholar] [CrossRef]
- Goldsmid, H.J.; Sharp, J.W. Estimation of the thermal band gap of a semiconductor from seebeck measurements. J. Electron. Mater. 1999, 28, 869–872. [Google Scholar] [CrossRef]
- Zhu, J.; Zhang, X.; Guo, M.; Li, J.; Hu, J.; Cai, S.; Cai, W.; Zhang, Y.; Sui, J. Restructured single parabolic band model for quick analysis in thermoelectricity. npj Comput. Mater. 2021, 7, 116. [Google Scholar] [CrossRef]
- Graf, M.J.; Yip, S.K.; Sauls, J.A. Electronic thermal conductivity and the Wiedemann-Franz law for unconventional superconductors. Phys. Rev. B 1996, 53, 15147–15160. [Google Scholar] [CrossRef] [PubMed]
- Hao, F.; Xing, T.; Qiu, P.; Hu, P.; Wei, T.; Ren, D.; Shi, X.; Chen, L. Enhanced Thermoelectric Performance in n-Type Bi2Te3-Based Alloys via Suppressing Intrinsic Excitation. ACS Appl. Mater. Interfaces 2018, 10, 21372–21380. [Google Scholar] [CrossRef] [PubMed]
- Blank, V.D.; Buga, S.G.; Kulbachinskii, V.A.; Kytin, V.G.; Medvedev, V.V.; Popov, M.Y.; Stepanov, P.B.; Skok, V.F. Thermoelectric properties of Bi0.5Sb1.5Te3/C60 nanocomposites. Phys. Rev. B 2012, 86, 075426. [Google Scholar] [CrossRef]
- Cahill, D.G.; Watson, S.K.; Pohl, R.O. Lower limit to the thermal conductivity of disordered crystals. Phys. Rev. B 1992, 46, 6131–6140. [Google Scholar] [CrossRef]
- Agne, M.T.; Hanus, R.; Snyder, G.J. Minimum thermal conductivity in the context of diffuson-mediated thermal transport. Energy Environ. Sci. 2018, 11, 609–616. [Google Scholar] [CrossRef]





Disclaimer/Publisher’s Note: The statements, opinions and data contained in all publications are solely those of the individual author(s) and contributor(s) and not of MDPI and/or the editor(s). MDPI and/or the editor(s) disclaim responsibility for any injury to people or property resulting from any ideas, methods, instructions or products referred to in the content. |
© 2023 by the authors. Licensee MDPI, Basel, Switzerland. This article is an open access article distributed under the terms and conditions of the Creative Commons Attribution (CC BY) license (https://creativecommons.org/licenses/by/4.0/).
Share and Cite
Zhou, M.; Li, J.; Dong, G.; Gao, S.; Feng, J.; Liu, R. Enhancement of Thermoelectric Performance for InTe by Selective Substitution and Grain Size Modulation. Crystals 2023, 13, 601. https://doi.org/10.3390/cryst13040601
Zhou M, Li J, Dong G, Gao S, Feng J, Liu R. Enhancement of Thermoelectric Performance for InTe by Selective Substitution and Grain Size Modulation. Crystals. 2023; 13(4):601. https://doi.org/10.3390/cryst13040601
Chicago/Turabian StyleZhou, Menghui, Juan Li, Guoying Dong, Shufang Gao, Jianghe Feng, and Ruiheng Liu. 2023. "Enhancement of Thermoelectric Performance for InTe by Selective Substitution and Grain Size Modulation" Crystals 13, no. 4: 601. https://doi.org/10.3390/cryst13040601
APA StyleZhou, M., Li, J., Dong, G., Gao, S., Feng, J., & Liu, R. (2023). Enhancement of Thermoelectric Performance for InTe by Selective Substitution and Grain Size Modulation. Crystals, 13(4), 601. https://doi.org/10.3390/cryst13040601

