Abstract
In this study, we investigated the impact of micro- and nano-sized barium oxide addition on the radiation-shielding properties of red clay tiles mixed with waste marble and different sizes of BaO (micro- or nanoparticles) for comparative analysis. The linear attenuation coefficients (LAC) of the prepared samples were measured using an HPGe detector between 0.060 and 1.333 MeV. Moreover, a comparison was made between the experimental micro-composites and values obtained by Phy-X software. The results revealed that the red clay/waste marble tile composites doped with nano-sized BaO demonstrated superior radiation-shielding properties compared to those doped with micro-sized BaO. At 1.33 MeV, WR-20mBaO (containing 20 wt % micro-sized BaO) and WR-20nBaO (containing 20 wt % nano-sized BaO) exhibited HVL values of 4.75 cm and 4.25 cm, respectively. The lower HVL value of WR-20nBaO indicates superior radiation-shielding performance, highlighting the potential benefits of using nano-sized BaO as a radiation-shielding additive. Our findings also demonstrated that increasing the amount of BaO deposited onto red clay mixed-waste marble resulted in improved radiation-shielding properties. Our study demonstrates that adjusting the concentration of BaO is a viable strategy for enhancing the radiation attenuation properties of red clay tiles. In addition, the addition of waste marble to the tiles enhances its mechanical properties, and it is also positively recycled in community service.
1. Introduction
Radiation shielding has historically been an essential component of the radiation protection concepts that underlie the utilization of radiations across medical, research and industrial settings. Utilizing materials that have large atomic numbers, thicknesses and densities is an age-old technique of successful radiation reduction in the field of medical radiation technologies. This lays the groundwork for radiation shielding against radiation beams [1,2,3,4].
Radiation protection is one of the many scientific subfields that has benefited immensely from recent developments in nanotechnology, which have brought about a plethora of other advantages as well. In particular, the utilization of a wide variety of different kinds of nanoparticles has demonstrated positive results in terms of improving radiation-shielding characteristics. It has been hypothesized that utilizing nano-particles results in a more even dispersion within the matrix compared to microparticles, leading to greater photon attenuation [5,6,7,8,9,10].
An investigation into epoxy composites that were stuffed with micro- and nanoparticles of WO3 was carried out by Aghaz et al. [11]. The results of this investigation indicated a promising future of nanoparticles for increasing the protective effect of materials. According to the findings of an experiment carried out by Dong Yu [12], the gamma attenuation coefficient for WO3 particles that were nano-sized was significantly greater than that of micro-sized particles. According to the findings of a study conducted by Tekin et al. [13] on the utilization of WO3 nanoparticles and microparticles in concrete as radiation-shielding materials, it was found that the nano–micro-doped concrete exhibited substantially distinct shielding characteristics. According to the results of Monte Carlo simulations, the concrete that was doped with nanoparticles demonstrated superior shielding efficacy compared to the concrete that was doped with microparticles. The shielding characteristics of traditional concrete that has been doped with elements on the micro- and nanoscales were the subject of an investigation carried out by Mesbahi and Hosein Ghiasi [14]. They observed that concrete containing nanoparticles had a greater photon attenuation coefficient in comparison to concrete containing microparticles. By comparing the linear attenuation coefficients at various energy levels, Almuqrin et al. [15] showed that nano-sized Bi2O3 powder exhibits noticeably better radiation attenuation capabilities than micro-sized Bi2O3. In contrast to its micro-sized equivalent, a lighter specimen of Bi2O3 nanoparticles is required for lowering incoming photon intensity by 50%, indicating that nanoscale materials are more successful at protecting against radiation. After reviewing the published articles, it appears that there are only a few papers that have compared the radiation-shielding properties of micro- and nano-sized materials, particularly those containing BaO.
The comparison of micro- and nano-sized particles and their effects on radiation-shielding properties, particularly in materials containing BaO, is an area of research that has received little attention. Therefore, our investigation aims to explore this topic by studying the impact of particle size on the linear attenuation coefficients and related parameters in red clay mixed-waste marble, which contains both micro- and nano-sized BaO. We selected BaO in this work due to the high density and atomic number of Ba, which results in the enhancement in the density of the prepared composites. The increase in the density due to the addition of BaO has a positive influence on the radiation-shielding ability of the composites. Moreover, the K-absorption edge of Ba occurs at 37.4 keV (in the low energy range). In this energy range, BaO possesses a good absorption ability of gamma photons, making it promising compound for applications that need effective gamma ray shielding.
Due to the extraordinary chemical and physical features of red clay, a substantial amount of research has been conducted into the possibility of using it as a radiation-shielding material. In addition, red clay is easily accessible and low in price, which makes it an alternative that is both practical and affordable for different applications [16,17,18,19]. Research has demonstrated that red clay can be effectively utilized as a radiation-shielding material in a range of applications, including bricks, concrete and plaster, among other forms. In addition, red clay is easily combined with additional elements, which might strengthen the protective qualities of the clay. As a consequence of this, it is an interesting candidate for use in the field of radiation shielding in an extensive number of contexts [20].
On the other hand, an additional substance that has been researched for its possible use as a radiation-shielding material is waste marble. Radiation-shielding applications could benefit from the utilization of waste marble since, similar to red clay, it is readily available and comparatively cheap. In addition, waste marble is made of minerals that have the ability to protect against the effects of radiation. Research has shown that recycling waste marble by combining it with red clay can produce considerable benefits in terms of reducing waste and reducing the amount of waste produced. The utilization of this method makes it feasible to lessen the impact that production has on the surrounding environment and to realize cleaner production [21,22]. As a result, it is essential to investigate the possibility of manufacturing a novel shielding material consisting of red clay that has been mixed with waste marble. This method not only lends its support to recycling and waste reduction initiatives, but it also carries the potential to inspire the manufacturing of new environmentally friendly substances that can be put to use in a variety of commercial sectors.
In this work, advanced tiles were fabricated based on red clay and marble dust reinforced by different sizes of barium oxide (BaO). The ability of attenuation for these tile composites was measured experimentally using an HPGe detector and various radioactive sources. The attenuation coefficient of the micro-tile composites was calculated using Phy-X software and compared with the experimental results.
2. Materials and Methods
2.1. Materials
In this work, the red clay was used as a binder for marble dust and micro- or nano-barium oxide. The red clay was obtained from Aswan city in Egypt, dried and sieved with a 60 μm sieve. The SEM imaging and EDX analysis of the red clay was performed before the composite preparation, as shown in Figure 1, using a scanning electron microscope of the type SEM-IT 200, JEOL, with an accelerating voltage of 20 keV. The elemental percentages of the red clay are tabulated in Table 1.
Figure 1.
SEM and EDX analysis of red clay.
Table 1.
Elemental composition of red clay.
Marble dust is the result of cutting and cleaning natural marble and it is obtained from marble factories. It has many risks to humans when inhaled; therefore, its safety conversion is an environmental necessity. In this work, it was added as a percentage to form the tile composites used for radiation shielding, especially at low energies. The main component of marble dust is calcium carbonate (CaCO3). The SEM imaging and EDX analysis of marble dust was performed before the preparation of the composites, as shown in Figure 2, using a scanning electron microscope of the type SEM-IT 200, JEOL, with an accelerating voltage of 20 keV. The elemental percentages of the marble dust are tabulated in Table 2.
Figure 2.
SEM and EDX analysis of marble dust.
Table 2.
Elemental compositions of the marble dust.
Barium oxide (BaO) is generally added for two reasons: it has a relatively high density (5.72 g.cm−3) and has a unique absorption point (k-edge) at an energy of 37.4 keV. In addition to the better distribution of nanoparticles inside the composite, this improves the absorption process within the material. Microparticles of BaO were purchased with a purity of 97.7%, while BaO nanoparticles were purchased from Nano Gate Company with a purity of 99.1%. An analysis of the morphological structure of both sizes was performed using an SEM for the microparticles and a TEM (transmission electron microscope) for the nanoparticles, as shown in Figure 3. The average size of the microparticles was 20 ± 6 , while the average size of the nanoparticles was 30 ± 5 .
Figure 3.
Morphology of BaO: (a) SEM image of micro-BaO and (b) TEM image of nano-BaO.
2.2. Methods
After collecting the materials and processing them to form the tile composites, the composites were prepared according to the proportions in Table 3. The raw materials were mixed with distilled water and milled using a ball mill for 2 h at 50 RPM (rotations per minute) until they became a slurry material, and then they were removed and placed in aluminum disks with different thicknesses. The composites were pressed manually and left to dry for two days at room temperature, and then sintered in a convection oven from 900 to 1100 degrees Celsius. The sintered composites were exposed to gamma sources for measuring the attenuation coefficients directly. A picture was taken of the prepared tile composites and are shown in Figure 4.
Table 3.
Compositions of materials to form different tile composites.
Figure 4.
Picture of the fabricated composites.
The density of the photon shielding tile composites was measured experimentally using the mass-to-volume law, where the density of a regular composite can be given by:
The particle size in the shielding material improves the density, as shown in Table 3, by narrowing the gap between the resulting particles, which leads to an increase in the material’s absorption of incoming photons. The gamma ray attenuation coefficient for the prepared tile composites was determined experimentally using a high pure germanium detector (HPGe) with 24% relative efficiency and different radioactive sources (Cobalt-60, Cesium −137 and Americium −241), the chosen point sources to cover all ranges of energy. The setup of the experimental technique is clarified in Figure 5, where the tile composite was placed between the detector and the source during the measurements. Before the measurements, the energy and efficiency calibration was performed, and after that, the background radiation was measured and subtracted from all measurements. Finally, the tile composite was placed and the count rate () was determined using Genie 2000 software, and by removing the tile composite with the same conditions, the initial count rate (C0) was measured. From these measurements, the linear attenuation coefficient () could be estimated from the following law [23]:
Figure 5.
Experimental setup in the present study.
The experimental results were compared using the Phy-X software [24] results and the relative deviation between them is given below.
The relative deviation between the micro-BaO and nano-BaO tile composites was calculated using the following formula:
The other important absorber parameters such as half thickness or value layer (HVL), tenth thickness layer (TVL) and radiation-shielding performance (RSP), which are discussed in [25], can be expressed using the following law:
3. Results and Discussion
After the preparation of the tile samples, SEM imaging was performed to study the distribution of the particles within the composites, as shown in Figure 6. Figure 6 shows the effect of grinding for all of the prepared composites, where it was observed that the average size of the red clay particles, marble dust, and barium oxide microparticles became approximately 1 , and this leads to a homogeneous distribution between the particles. On the other hand, the BaO nanoparticles are distributed homogeneously and abundantly, as shown in Figure 6c,e. Distributing the particles within the mixture in a homogeneous manner leads to a reduction in the voids between the particles, which improves the shielding efficiency of the mixture.
Figure 6.
SEM images of the tile composites: (a) WR composite, (b) WR-10mBaO composite, (c) WR-10nBaO composite, (d) WR-20mBaO composite and (e) WR-20nBaO composite.
In this investigation, some radiation-shielding parameters of five prepared tile composites, namely, WR (untreated red clay mixed-waste marble), WR-10mBaO (10% micro-sized BaO deposition onto the red clay mixed-waste marble), WR-20mBaO (20% micro-sized BaO deposition onto the red clay mixed-waste marble), WR-10nBaO (10% nano-sized BaO deposition onto the red clay mixed-waste marble), and WR-20nBaO (20% nano-sized BaO deposition onto the red clay mixed-waste marble), were calculated. The linear attenuation coefficients (LAC) of the WR, WR-10mBaO, and WR-20mBaO samples were calculated using an HPGe detector and Phy-X software. Figure 7 illustrates the variation of the linear attenuation coefficient (LAC) for the studied samples, as calculated by the Phy-X software and measured experimentally. The results indicate that there was a negligible difference between the LAC values obtained from the software and those obtained experimentally. As an example, for sample WR-20mBaO, the deviations of the value of LAC were 2.9%, 0.37%, 4.5%, and 2.92% at energies of 0.06, 0.66, 1.17, and 1.33 MeV, respectively. Hence, it can be said that the experimental setup for this study was reliable.
Figure 7.
Variation of linear attenuation coefficient values for the prepared samples, as determined experimentally and by the Phy-X software.
Figure 8 compares the effect of the amount and size of BaO (micro and nano) on the LAC values of the studied samples, as calculated by the Phy-X software. Among the studied samples, sample WR-20nBaO showed the highest value of LAC. As an example, at an energy of 0.06 MeV, the values of LAC of the studied samples were WR (0.93 cm−1), WR-10mBaO (2.98 cm−1), WR-20mBaO (5.35 cm−1), WR-10nBaO (3.44 cm−1), and WR-20nBaO (6.82 cm−1). These LAC values revealed that, at an energy of 0.06 MeV, samples WR-10mBaO, WR-20mBaO, WR-10nBaO, and WR-20nBaO provided 3.2, 5.7, 3.7, and 7.3 times greater values than sample WR.
Figure 8.
Value of linear attenuation coefficients of the studied samples using Phy-X software.
We can explain the increase in the LAC due to the addition of Ba as follows: when BaO is added to the composites, the prepared materials become enriched with an element that possesses a high atomic number (i.e., Ba). This enrichment in the high-Z element leads to an increase in the density of the prepared materials (see Table 3). Accordingly, the improved density of these materials plays an important role in improving the radiation-shielding performance of the materials. This means sample WR-20nBaO is the most suitable sample among the studied samples for radiation-shielding purposes. Moreover, one can observe from Figure 8 that as the energy increases from 0.06 to 1.33 MeV, the LAC value for the untreated red clay mixed-waste marble (i.e., the WR sample) as well as the micro- and nanoparticles of BaO-containing red clay mixed-waste marble decreased. It is important to mention that the prepared composites with nano-BaO have higher LAC than those with micro-BaO for different reasons. The most important reason is the increased surface-to-volume ratio in the nanoparticles. The nanoparticles’ surface area rises relative to their volume as the particle size reduces. Due to the more effective interaction with incident radiation made possible by the increased surface area, attenuation is improved. Additionally, nanoparticles’ small size makes it possible for them to be distributed more evenly throughout a material, improving coverage and distribution across the matrix. The material will attenuate radiation more effectively due to this homogeneous dispersion.
From Figure 9, it can be seen that sample WR-10mBaO (10% micro-BaO) has a lower LAC than sample WR-10nBaO (10% nano-BaO). Similarly, the LAC of sample WR-20mBaO (20% micro-BaO) was lower than that of sample WR-20nBaO (20% micro-BaO). This result verified that a better attenuation proficiency was found for the nano-sized BaO deposition onto the red clay mixed-waste marble. From this figure, it is clear that for all compositions, the nano-sized particles provide greater values of LAC than the micro-sized particles. For instance, at an energy of 0.06 MeV, the LAC values were WR-10mBaO (2.98 cm−1), WR-10nBaO (3.44 cm−1), WR-20mBaO (5.35 cm−1), and WR-20nBaO (6.82 cm−1). The deviations for the deposition of micro- and nano-sized BaO particles were 15% and 27.5% for samples WR-10BaO (10% BaO) and WR-20BaO (20% BaO), respectively.
Figure 9.
Value of half-value layer of the studied samples.
The half-value layer (HVL) is defined as the thickness of an attenuator that attenuates the amount of radiation by a factor of one-half of its initial amount. The HVL of the micro- and nano-sized BaO deposition onto the red clay mixed-waste marble were calculated for the purpose of radiation-shielding efficiency and presented in Figure 9. Micro- and nano-sized BaO deposition onto the red clay mixed-waste marble samples showed the following trend: WR > WR-10mBaO > WR-20mBaO > WR-10nBaO > WR-20nBaO. The results demonstrated that the HVL values of the micro- and nano-sized BaO deposition onto the red clay mixed-waste marble were lower than those of red clay mixed-waste marble alone, which indicates that deposition of BaO onto the red clay mixed-waste marble provides better attenuation. As an example, the values of the half-value layer at an energy of 0.6 MeV were WR (3.87 cm), WR-10mBaO (3.59 cm), WR-20mBaO (3.30 cm), WR-10nBaO (3.18 cm), and WR-20nBaO (2.82 cm).
In addition, from Figure 9, it was found that sample WR-10mBaO (10% micro-Bi2O3) showed a higher HVL than sample WR-10nBaO (10% nano-Bi2O3). Moreover, the HVL of sample WR-20mBaO (20% micro-BaO) was higher than that of sample WR-20nBaO (20% nano-BaO). This result verified that the nano-sized BaO deposition onto the red clay mixed-waste marble provided better attenuation proficiency than micro-sized BaO deposition. Figure 9 shows that the HVL for both the untreated red clay mixed-waste marble and the nano-sized BaO deposition onto the waste marble increases as the energy of the radiation source increases from 0.06 to 1.33 MeV. For example, the WR-20nBaO sample showed HVL values of 0.10, 2.82, 3.96, and 4.25 cm for incident photon energies of 0.06, 0.662, 1.173, and 1.33 MeV, respectively. The value of HVL is quite the reverse of the value of LAC; hence, the HVL declines with the increase in BaO deposition on the red clay mixed-waste marble. At 0.06 MeV, a 0.74 cm thickness of sample WR can attenuate 50% of the incident photons, whereas a 0.1 cm thickness of sample WR-20nBaO can reduced it. This means that a 7.3 times higher thickness of sample WR is required to attenuate the same amount of incident radiation compared with sample WR-20nBaO.
To evaluate the impact of BaO size on the attenuation performance, a separate figure (Figure 10) was created to display the HVL values for samples with micro-sized and nano-sized BaO. Nano-sized BaO deposition onto the red clay mixed-waste marble showed a lower value of HVL than the micro-sized BaO deposition onto the red clay mixed-waste marble for the selected energy range. This means that the size of the contaminated particles in the composition plays an important role in radiation shielding. For example, at an energy of 1.33 MeV, sample WR-10mBaO (10 wt % of micro-sized BaO) and WR-10nBaO (10 wt % of nano-sized BaO) showed HVLs of 5.09 cm and 4.62 cm, respectively. At the same energy, sample WR-20mBaO (20 wt % of micro-sized BaO) and WR-20nBaO (20 wt % of nano-sized BaO) displayed HVLs of 4.75 cm and 4.25 cm, respectively. This means that nano-sized particles provide better radiation-shielding ability than micro-sized particles.
Figure 10.
Variation in the HVL of the prepared samples due to micro- and nano-sized BaO.
In addition to HVL, we also presented the tenth value layers (TVL) for the prepared samples (Figure 11). Comparing the TVL values for samples with the same amount of BaO, but differing in size (micro-sized and nano-sized), it was observed that the value of TVL varied significantly.
Figure 11.
Variation in the TVL of the studied samples due to the deposition of micro- and nano-sized BaO.
Nano-sized BaO deposition onto the red clay mixed-waste marble showed lower values of TVL than the micro-sized BaO deposition for the selected energy range. Taken together, these findings suggest that the size of BaO particles plays a critical role in determining the radiation-shielding performance of the red clay mixed-waste marble. For example, at 1.33 MeV, samples WR-10mBaO (10 wt % of micro-sized BaO) and WR-10nBaO (10 wt % of nano-sized BaO) showed 16.9 cm and 15.4 cm of TVL, respectively. At the same energy, samples WR-20mBaO (20 wt % of micro-sized BaO) and WR-20nBaO (20 wt % of nano-sized BaO) displayed TVL values of 15.8 cm and 14.1 cm, respectively. At an energy of 0.06 MeV, the values of TVL of the studied samples were WR (2.47 cm), WR-10mBaO (0.77 cm), WR-20mBaO (0.43 cm), WR-10nBaO (0.67 cm), and WR-20nBaO (0.34 cm), which revealed that, at an energy of 0.06 MeV, samples WR, WR-10mBaO, WR-20mBaO, and WR-10nBaO provided 7.3, 2.3, 1.3, and 2.0 times greater values than sample WR-20nBaO. These results indicate that the same amount of nano-sized BaO particles offer superior radiation-shielding performance compared to micro-sized particles.
The value of the mean free path of the studied samples against energy is presented in Figure 12. This figure revealed that the MFP values of nano-sized BaO deposition onto the red clay mixed-waste marble sample were lower than that of the corresponding micro-sized BaO. At an energy of 0.06 MeV, the MFP values of the studied samples were WR (1.07 cm), WR-10mBaO (0.34 cm), WR-20mBaO (0.19 cm), WR-10nBaO (0.29 cm), and WR-20nBaO (0.15 cm). Sample WR showed 7.3 times greater MFP than sample WR-20nBaO. Hence, sample WR-20nBaO provides the better radiation-shielding ability since a good radiation shield shows the lowest value of MFP. Therefore, nano-sized BaO deposited onto red clay mixed-waste marble acts as a good photon attenuator. This result regarding the MFP values is in agreement with the HVL results.
Figure 12.
MFP values of the studied samples.
It is clear from Figure 12 that the value of MFP is affected by an increase in incident photon energy. For instance, sample WR-20nBaO (20% nano-BaO) showed mean free path values of 0.15 cm, 4.07 cm, 5.71 cm, and 6.13 cm for the incident photon energies of 0.06 MeV, 0.6 MeV, 1.17 MeV, and 1.33 MeV, respectively. This means that 42 times greater MFP was found for the increase in incident photon energy from 0.06 MeV to 1.33 MeV.
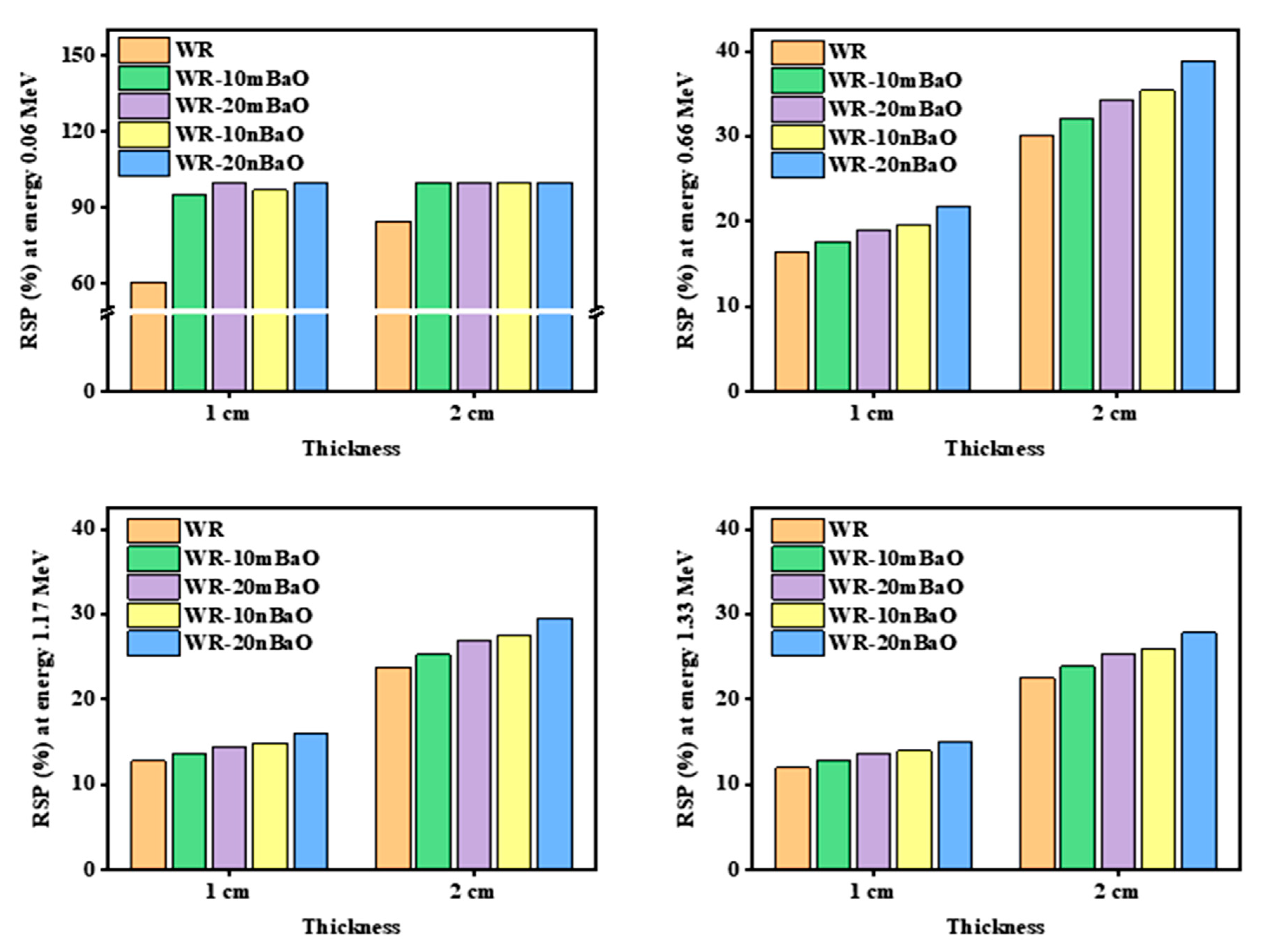
The RSP (%) of samples WR, WR-10mBaO, WR-20mBaO, WR-10nBaO, and WR-20nBaO for the thicknesses of 1 cm and 2 cm is presented in Figure 13. From Figure 13, it was found that the RSP (%) of sample WR-20nBaO was higher than for WR-20mBaO, which is also valid for the 10% BaO sample. Hence, it can be said that the nano-sized BaO deposition onto the red clay mixed-waste marble provided better radiation shielding compared to the micro-sized BaO deposition. It is to be noted that at an energy of 1.33 MeV, the RSP (%) for sample WR (untreated red clay mixed-waste marble) was 12% and 22% for the 1 cm and 2 cm sample thicknesses, respectively. Meanwhile, at the same energy level, the RSP (%) for sample WR-20nBaO (20% of nano-BaO) was 15% and 28% for the 1 cm and 2 cm sample thicknesses, respectively. It was found that a WR-20nBaO sample of 2 cm thickness can shield approximately double the amount of incident photons than the same sample with a thickness of 1 cm.
Figure 13.
RSP (%) of the studied samples at energies of 0.06 MeV, 0.6 MEV, 1.17 MeV, and 1.33 MeV.
For more clarification to the reader, the values of the different attenuation parameters such as MAC, LAC, HVL, MFP, TVL, and RSE at the different studied experimental energies are presented in Table 4.
Table 4.
Attenuation parameters of fabricated tile composites.
Finally, the attenuator tile composites were compared with other composites published previously as shielded materials. The comparison is presented in Table 5 and the results show the capability of these tiles for radiation-shielding applications.
Table 5.
The comparison of the present samples with related samples.
4. Conclusions
In this study, the impact of the contamination of micro- and nano- sized barium oxide onto red clay mixed-waste marble was investigated in terms of radiation-shielding performance. Numerous shielding parameters, namely, LAC, HVL, TVL, MFP, and RSP, of these prepared samples were measured using an HPGe detector for energies of 0.06 MeV, 0.66 MeV, 1.17 MeV, and 1.33 MeV. Moreover, a comparison was made between the experimental and Phy-X-obtained values to approve the precision of the experimental setup in this investigation. It was found that nano-sized BaO deposition onto the red clay mixed-waste marble delivered higher LAC values, but provided lower values of HVL, TVL, and MFP compared with micro-sized BaO deposition. Among the studied samples, sample WR-20nBaO provided the better radiation-shielding ability. In addition, depositing a greater amount of BaO onto the red clay mixed-waste marble enhanced the shielding performance. It was found that a 2 cm thick WR-20nBaO sample can shield approximately double the amount of incident photons than the same sample of 1 cm thickness. The shielding performance was shown according to the amount of barium oxide in the waste marble mixed with red clay. The shielding performance increases because barium oxide has a protective effect. The size of the barium oxide particles, which are small, in addition to the presence of marble dust increases the mechanical properties of the tiles. Further work is needed to reduce the cost of the tiles (because of its participation in 50% of the preparation of the compound) and to increase environmental safety that reduces environmental risks.
Author Contributions
Conceptualization, M.E.; Data curation, A.H.A.; Funding acquisition, D.A.A. and A.H.A.; Investigation, M.I.S.; Methodology, M.E.; Project administration, D.A.A.; Resources, S.Y.; Software, S.Y.; Supervision, M.I.S.; Validation, A.H.A.; Writing—original draft, S.Y. and M.E.; Writing—review and editing, M.I.S. and D.A.A. All authors have read and agreed to the published version of the manuscript.
Funding
The authors express their gratitude to Princess Nourah bint Abdulrahman University Researchers Supporting Project number (PNURSP2023R57), Princess Nourah bint Abdulrahman University, Riyadh, Saudi Arabia.
Data Availability Statement
All relevant data are within this paper.
Conflicts of Interest
The authors declare no conflict of interest.
References
- Özdemir, T.; Yılmaz, S.N. Mixed radiation shielding via 3-layered polydimethylsiloxane rubber composite containing hexagonal boron nitride, boron (III) oxide, bismuth (III) oxide for each layer. Radiat. Phys. Chem. 2018, 152, 17–22. [Google Scholar] [CrossRef]
- Özdemir, T.; Güngör, A.; Akbay, I.K.; Uzun, H.; Babucçuoglu, Y. Nano lead oxide and epdm composite for development of polymer based radiation shielding material: Gamma irradiation and attenuation tests. Radiat. Phys. Chem. 2018, 144, 248–255. [Google Scholar] [CrossRef]
- Bagheri, R.; Moghaddam, A.K.; Yousefnia, H. Gamma Ray Shielding Study of Barium-Bismuth-Borosilicate Glasses as Transparent Shielding Materials using MCNP-4C Code, XCOM Program, and Available Experimental Data. Nucl. Eng. Technol. 2017, 49, 216–223. [Google Scholar] [CrossRef]
- Acikgoz, A.; Demircan, G.; Yılmaz, D.; Aktas, B.; Yalcin, S.; Yorulmaz, N. Structural, mechanical, radiation shielding properties and albedo parameters of alumina borate glasses: Role of CeO2 and Er2O3. Mater. Sci. Eng. B 2022, 276, 115519. [Google Scholar] [CrossRef]
- Prasad, R.; Pai, A.R.; Oyadiji, S.O.; Thomas, S.; Parashar, S.K.S. Utilization of hazardous red mud in silicone rubber/MWCNT nanocomposites for high performance electromagnetic interference shielding. J. Clean. Prod. 2022, 377, 134290. [Google Scholar] [CrossRef]
- El-Sharkawy, R.M.; Shaaban, K.S.; Elsaman, R.; Allam, E.A.; El-Taher, A.; Mahmoud, M.E. Investigation of mechanical and radiation shielding characteristics of novel glass systems with the composition xNiO-20ZnO-60B2O3-(20−x) CdO based on nanometal oxides. J. Non-Cryst. Solids 2020, 528, 119754. [Google Scholar] [CrossRef]
- Hemeda, O.M.; Eid, M.E.A.; Sharshar, T.; Ellabany, H.M.; Henaish, A.M.A. Synthesis of nanometer-sized PbZrxTi1−xO3 for gamma-ray attenuation. J. Phys. Chem. Solids 2021, 148, 109688. [Google Scholar] [CrossRef]
- Ozdogan, H.; Kilicoglu, O.; Akman, F.; Agar, O. Comparison of Monte Carlo simulations and theoretical calculations of nuclear shielding characteristics of various borate glasses including Bi, V, Fe, and Cd. Appl. Radiat. Isot. 2022, 189, 110454. [Google Scholar] [CrossRef]
- Akman, F.; Kilicoglu, O.; Agar, O. Feasibility of a novel shield of nuclear radiation with W–Ni–Fe–Co and La–Bi alloys alternative to Pb and ordinary concrete absorbers. Prog. Nucl. Energy 2023, 156, 104537. [Google Scholar] [CrossRef]
- Kara, U.; Kilicoglu, O.; Ersoy, S. Structural and gamma-ray attenuation coefficients of different OAD films for nuclear medicine applications. Radiat. Phys. Chem. 2020, 172, 108785. [Google Scholar] [CrossRef]
- Aghaz, A.; Faghihi, R.; Mortazavi, S.M.J.; Haghparast, A.; Mehdizadeh, S.; Sina, S. Radiation attenuation properties of shields containing micro and Nano WO3 in diagnostic X-ray energy range. Iran. J. Radiat. Res. 2016, 14, 127–131. [Google Scholar] [CrossRef]
- Dong, Y.; Chang, S.Q.; Zhang, H.X.; Ren, C.; Kang, B.; Dai, M.Z.; Dai, Y.D. Effects of WO3 particle size in WO3/Epoxy resin radiation shielding material. Chin. Phys. Lett. 2012, 29, 108102. [Google Scholar] [CrossRef]
- Tekin, H.O.; Singh, V.P.; Manici, T. Effects of micro-sized and nano-sized WO3 on mass attenauation coefficients of concrete by using MCNPX code. Appl. Radiat. Isot. 2017, 121, 122–125. [Google Scholar] [CrossRef]
- Mesbahi, A.; Ghiasi, H. Shielding properties of the ordinary concrete loaded with micro- and nanoparticles against neutron and gamma radiations. Appl. Radiat. Isot. 2018, 136, 27–31. [Google Scholar] [CrossRef] [PubMed]
- Almuqrin, A.H.; Sayyed, M.I.; Elsafi, M.; Khandaker, M.U. Comparison of radiation shielding ability of Bi2O3 micro and nanoparticles for radiation shields. Radiat. Phys. Chem. 2022, 200, 110170. [Google Scholar] [CrossRef]
- Gao, M.; Jin, X.; Zhao, T.; Li, H.; Zhou, L. Study on the strength mechanism of red clay improved by waste tire rubber powder. Case Stud. Constr. Mater. 2022, 17, e01416. [Google Scholar] [CrossRef]
- Sadiq, A.; Ghailassi, T.E.L.; Faiz, Z.; Haddaji, Y.; Bouih, A.; Hannache, H.; Fakhi, S. Study of the spent resins confinement, as radioactive waste, by cementation in the presence of Moroccan natural red clay. Prog. Nucl. Energy 2021, 141, 103967. [Google Scholar] [CrossRef]
- Lai, H.-C.; Zhang, J.-F.; Li, Y.-Y.; Zhou, L.-P. Origin and provenance of Red Clay in north Hunan Province, China: Inferred from grain-size analysis and end-member modelling. Aeolian Res. 2021, 51, 100714. [Google Scholar] [CrossRef]
- Gao, Q.-F.; Zeng, L.; Shi, Z.-N. Effects of desiccation cracks and vegetation on the shallow stability of a red clay cut slope under rainfall infiltration. Comput. Geotech. 2021, 140, 104436. [Google Scholar] [CrossRef]
- Akbulut, S.; Sehhatigdiri, A.; Eroglu, H.; Çelik, S. A research on the radiation shielding effects of clay, silica fume and cement samples. Radiat. Phys. Chem. 2015, 117, 88–92. [Google Scholar] [CrossRef]
- Abdalla, A.M.; Al-Naggar, T.I.; Bashiri, A.M.; Alsareii, S.A. Radiation shielding performance for local granites. Prog. Nucl. Energy 2022, 150, 104294. [Google Scholar] [CrossRef]
- Sankaran, S.; Deshmukh, K.; Ahamed, M.B.; Pasha, S.K. Recent Advances in Electromagnetic Interference Shielding Properties of Metal and Carbon Filler Reinforced Flexible Polymer Composites: A Review. Compos. Part A Appl. Sci. Manuf. 2018, 114, 49–71. [Google Scholar] [CrossRef]
- Bhosale, R.; More, C.; Gaikwad, D.; Pawar, P.; Rode, M. Radiation Shielding and Gamma Ray Attenuation Properties of Some Polymers. Nucl. Technol. Radiat. Prot. 2017, 32, 288–293. [Google Scholar] [CrossRef]
- Baltas, H.; Sirin, M.; Celik, A.; Ustabas, İ.; El-Khayatt, A.M. Radiation shielding properties of mortars with minerals and ores additives. Cem. Concr. Compos. 2019, 97, 268–278. [Google Scholar] [CrossRef]
- Kameesy, S.; Nashar, D.; Fiki, S. Development of silicone rubber/lead oxide composites as gamma ray shielding materials. Int. J. Adv. Res. 2015, 3, 1017–1023. [Google Scholar]
- Elsafi, M.; Almuqrin, A.H.; Almutairi, H.M.; Al-Saleh, W.M.; Sayyed, M.I. Grafting red clay with Bi2O3 nanoparticles into epoxy resin for gamma-ray shielding applications. Sci. Rep. 2023, 13, 5472. [Google Scholar] [CrossRef] [PubMed]
- Sayyed, M.I.; Almurayshid, M.; Almasoud, F.I.; Alyahyawi, A.R.; Yasmin, S.; Elsafi, M. Developed a New Radiation Shielding Absorber Composed of Waste Marble, Polyester, PbCO3, and CdO to Reduce Waste Marble Considering Environmental Safety. Materials 2022, 15, 8371. [Google Scholar] [CrossRef]
- Sayyed, M.I.; Almousa, N.; Elsafi, M. Green Conversion of the Hazardous Cathode Ray Tube and Red Mud into Radiation Shielding Concrete. Materials 2022, 15, 5316. [Google Scholar] [CrossRef]
Disclaimer/Publisher’s Note: The statements, opinions and data contained in all publications are solely those of the individual author(s) and contributor(s) and not of MDPI and/or the editor(s). MDPI and/or the editor(s) disclaim responsibility for any injury to people or property resulting from any ideas, methods, instructions or products referred to in the content. |
© 2023 by the authors. Licensee MDPI, Basel, Switzerland. This article is an open access article distributed under the terms and conditions of the Creative Commons Attribution (CC BY) license (https://creativecommons.org/licenses/by/4.0/).












