Hydrogen-like Impurity States in β-Ga2O3/(AlxGa1−x)2O3 Core/Shell Nanostructures: Comparison between Nanorods and Nanotubes
Abstract
:1. Introduction
2. Theoretical Model
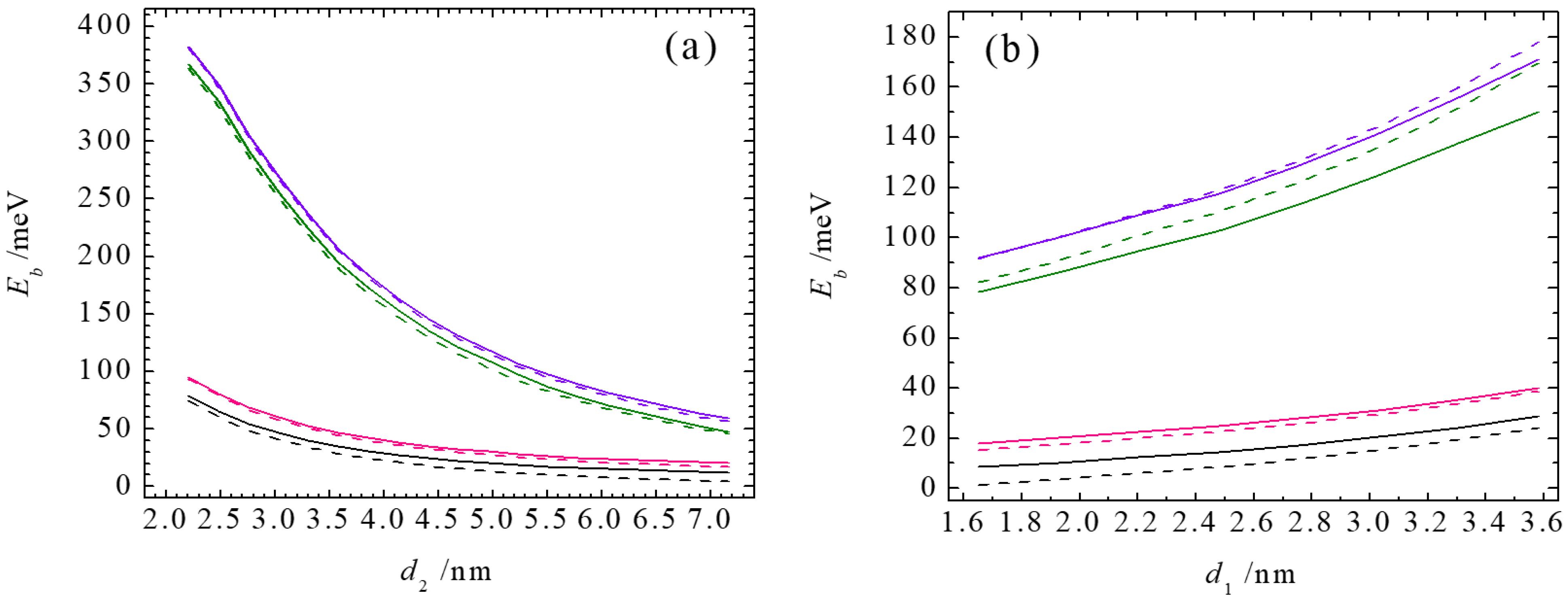
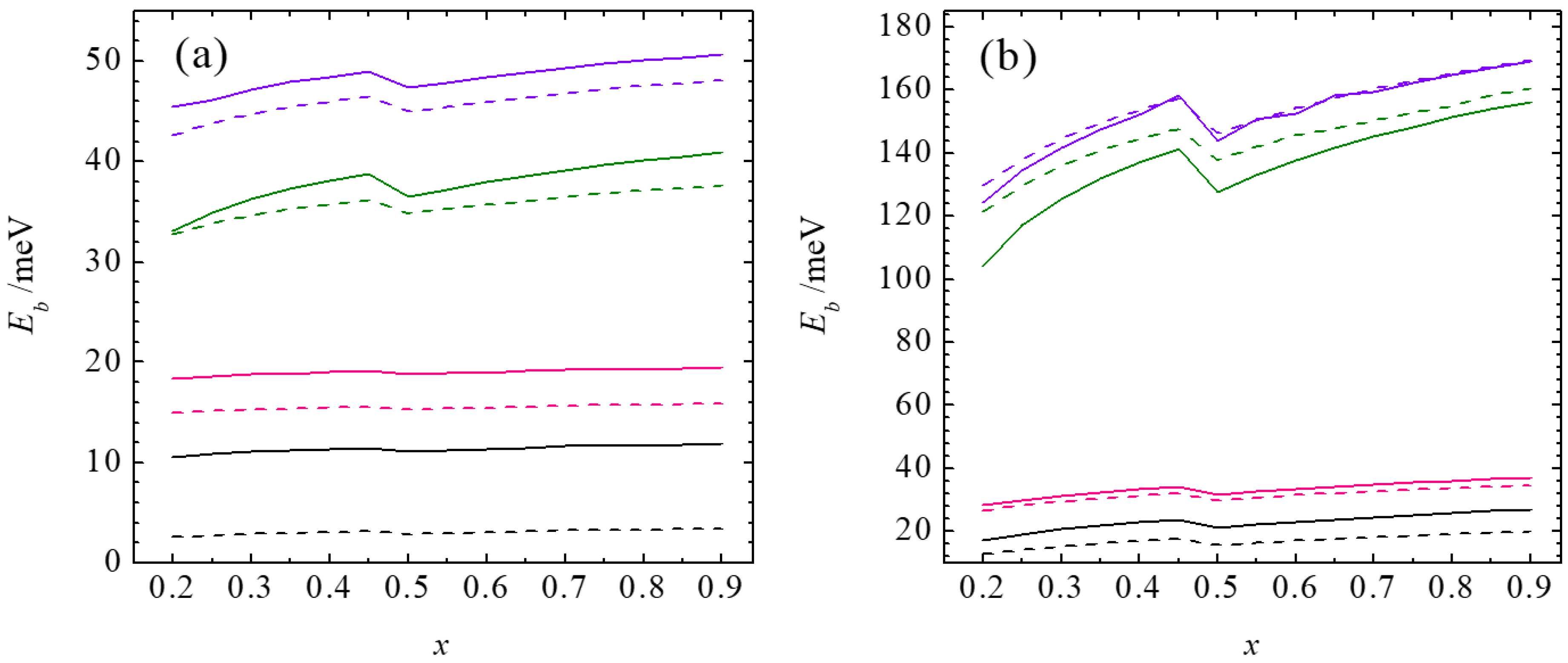
3. Numerical Results and Discussion
4. Conclusions
Author Contributions
Funding
Data Availability Statement
Conflicts of Interest
References
- Zou, H.; Luo, Z.; Yang, X.; Xie, Q.; Zhou, Y. Toward emerging applications using core-shell nanostructured materials: A review. J. Mater. Sci. 2022, 57, 10912. [Google Scholar] [CrossRef]
- Dakhlaoui, H.; Nefzi, M. Simultaneous effect of impurities, hydrostatic pressure, and applied potential on the optical absorptions in a GaAs field-effect transistor. Res. Phy. 2019, 15, 102618. [Google Scholar] [CrossRef]
- Wang, W.; Xu, L.; Wei, X.; Zhang, S.; Yao, Z. The effects of hydrostatic pressure and temperature on the nonlinear optical properties of shallow-donor impurities in semiconductors in a magnetic field. J. Appl. Phys. 2020, 127, 195903. [Google Scholar] [CrossRef]
- Wang, W.; Xu, L.; Wei, X.; Zhang, S. Intense-terahertz-laser modulated photoionization cross section of shallow-donor impurity in semiconductors in a magnetic field. Res. Phy. 2021, 20, 103692. [Google Scholar] [CrossRef]
- Portacio, A.A.; Rodríguez, B.A.; Villamil, P. Influence of the position of a donor impurity on the second-order nonlinear optical susceptibility in a cylindrical quantum dot. Superlatt. Microstruct. 2018, 113, 550. [Google Scholar] [CrossRef]
- Sherly, I.J.; Lidiya, A.E.; Nithiananthi, P. Tailoring the electronic properties of concentric double quantum rings in the presence of a donor impurity. J. Appl. Phys. 2019, 125, 165707. [Google Scholar] [CrossRef]
- El-Bakkari, K.; Sali, A.; Iqraoun, E.; Ezzarfi, A. Polaron and conduction band non-parabolicity effects on the binding energy, diamagnetic susceptibility and polarizability of an impurity in quantum rings. Superlatt. Microstruct. 2020, 148, 106729. [Google Scholar] [CrossRef]
- Ghukasyan, T.K.; Vartanian, A.L. Polaronic effects on the impurity-related linear and nonlinear optical properties in a nanowire with magnetic field. Superlatt. Microstruct. 2020, 137, 106339. [Google Scholar] [CrossRef]
- Shi, L.; Yan, Z.W.; Meng, M.W. Binding energy and photoionization cross section of hydrogenic impurities in elliptic cylindrical core/shell quantum dots under a non-axial electric field. Superlatt. Microstruct. 2021, 150, 106818. [Google Scholar] [CrossRef]
- Maouhoubi, I.; En-nadir, R.; Zorkani, I.; Hassani, A.O.T.; Jorio, A. The effects of the dielectric screening, temperature, magnetic field, and the structure dimension on the diamagnetic susceptibility and the binding energy of a donor-impurity in quantum disk. Phys. B 2022, 646, 414371. [Google Scholar] [CrossRef]
- Bilekkaya, A. The electronic properties of coaxial triangular quantum well wires. Phys. Lett. A 2022, 450, 128389. [Google Scholar] [CrossRef]
- Hbibi, M.; Mommadi, O.; Chouef, S.; Boussetta, R.; Belamkadem, L.; El Moussaouy, A.; Falyouni, F.; Duque, C.M.; Vinasco, J.A.; Duque, C.A. Finite confinement potentials, core and shell size effects on excitonic and electron-atom properties in cylindrical core/shell/shell quantum dots. Sci. Rep. 2022, 12, 14854. [Google Scholar] [CrossRef] [PubMed]
- El-Yadri, M.; El Hamdaoui, J.; Aghoutane, N.; Pérez, L.M.; Baskoutas, S.; Laroze, D.; Díaz, P.; Feddi, E.M. Optoelectronic properties of a cylindrical core/shell nanowire: Effect of quantum confinement and magnetic field. Nanomaterials 2023, 13, 1334. [Google Scholar] [CrossRef] [PubMed]
- Ha, S.H.; Zhu, J. Hydrogenic impurity-related optical properties in a piezoelectric core-shell nanowire. J. Appl. Phys. 2020, 128, 034305. [Google Scholar] [CrossRef]
- Ha, S.H.; Zhu, J. Temperature effect on shallow impurity states in a wurtzite GaN/AlxGa1−xN core-shell nanowire. Phys. E 2020, 122, 114179. [Google Scholar] [CrossRef]
- Fakkahi, A.; Jaouane, M.; Limame, K.; Sali, A.; Kirak, M.; Arraoui, R.; Ed-Dahmouny, A.; El-bakkari, K.; Azmi, H. The impact of the electric field on the photoionization cross section, polarizability, and donor impurity binding energy in multilayered spherical quantum dot. Appl. Phys. A 2023, 129, 188. [Google Scholar] [CrossRef]
- Solaimani, M. Stark shift of binding energy for on and off-center donor impurities in quantum rings under the influence of charged rods electric fields. Solid State Sci. 2020, 108, 106386. [Google Scholar] [CrossRef]
- Belamkadem, L.; Mommadi, O.; Boussetta, R.; Chouef, S.; Chnafi, M.; El Moussaouy, A.; Vinasco, J.A.; Laroze, D.; Duque, C.A.; Kenfack-Sadem, C.; et al. The intensity and direction of the electric field effects on off-center shallow-donor impurity binding energy in wedge-shaped cylindrical quantum dots. Thin Solid Films 2022, 757, 139396. [Google Scholar] [CrossRef]
- Qin, Y.; Wang, Z.; Sasaki, K.; Ye, J.; Zhang, Y. Recent progress of Ga2O3 power technology: Large-area devices, packaging and applications. Jpn. J. Appl. Phys. 2023, 62, SF0801. [Google Scholar] [CrossRef]
- Prasad, C.V.; Rim, Y.S. Review on interface engineering of low leakage current and on-resistance for high-efficiency Ga2O3-based power devices. Mater. Today Phys. 2022, 27, 100777. [Google Scholar] [CrossRef]
- Kaur, D.; Kumar, M. A strategic review on gallium oxide based deep-ultraviolet photodetectors: Recent progress and future prospects. Adv. Opt. Mater. 2021, 9, 2002160. [Google Scholar] [CrossRef]
- Hou, X.; Zou, Y.; Ding, M.; Qin, Y.; Zhang, Z.; Ma, X.; Tan, P.; Yu, S.; Zhou, X.; Zhao, X.; et al. Review of polymorphous Ga2O3 materials and their solar-blind photodetector applications. J. Phys. D Appl. Phys. 2021, 54, 043001. [Google Scholar] [CrossRef]
- Zhu, J.; Xu, Z.; Ha, S.; Li, D.; Zhang, K.; Zhang, H.; Feng, J. Gallium oxide for gas sensor applications: A comprehensive review. Materials 2022, 15, 7339. [Google Scholar] [CrossRef]
- Zhai, H.; Wu, Z.; Fang, Z. Recent progress of Ga2O3-based gas sensors. Ceram. Inter. 2022, 48, 24213. [Google Scholar] [CrossRef]
- Li, H.; Wu, Z.; Wu, S.; Tian, P.; Fang, Z. (AlxGa1−x)2O3-based materials: Growth, properties, and device applications. J. Alloys Comp. 2023, 960, 170671. [Google Scholar] [CrossRef]
- Ranga, P.; Bhattacharyya, A.; Chmielewski, A.; Roy, S.; Sun, R.; Scarpulla, M.A.; Alem, N.; Krishnamoorthy, S. Growth and characterization of metalorganic vapor-phase epitaxy-grown β-(AlxGa1−x)2O3/β-Ga2O3 heterostructure channels. Appl. Phys. Exp. 2021, 14, 025501. [Google Scholar] [CrossRef]
- Saha, C.N.; Vaidya, A.; Singisetti, U. Temperature dependent pulsed IV and RF characterization of β-(AlxGa1−x)2O3/Ga2O3 hetero-structure FET with ex situ passivation. Appl. Phys. Lett. 2022, 120, 172102. [Google Scholar] [CrossRef]
- Kneiß, M.; Storm, P.; Hassa, A.; Splith, D.; von Wenckstern, H.; Lorenz, M.; Grundmann, M. Growth, structural and optical properties of coherent κ-(AlxGa1−x)2O3/κ-Ga2O3 quantum well superlattice heterostructures. APL Mater. 2020, 8, 051112. [Google Scholar] [CrossRef]
- Lee, H.; Wang, H.; Lee, C. Whole metal oxide-based deep ultraviolet LEDs using Ga2O3-Al2O3: Ga2O3 multiple quantum wells. IEEE Photon. Technol. Lett. 2022, 34, 621. [Google Scholar] [CrossRef]
- Jiang, T.; Qiu, Y.; Tao, J.; Xiao, X. Ga2O3@Al2O3 core-shell nanowires for high-performance solar-blind photodetectors. ACS Appl. Nano Mater. 2023, 6, 9849. [Google Scholar] [CrossRef]
- Lyman, J.E.; Krishnamoorthy, S. Theoretical investigation of optical intersubband transitions and infrared photodetection in β-(AlxGa1−x)2O3/Ga2O3 quantum well structures. J. Appl. Phys. 2020, 127, 173102. [Google Scholar] [CrossRef]




| Material parameters | β-Ga2O3 | β-(AlxGa1−x)2O3 |
|---|---|---|
| Effective mass m* (m0) | 0.28 | 0.28 + 0.11x |
| Band gap Eg (eV) | 4.69 | 4.69 + 1.34x + x2 |
| Dielectric constant εr (ε0) | 10 | 10 |
Disclaimer/Publisher’s Note: The statements, opinions and data contained in all publications are solely those of the individual author(s) and contributor(s) and not of MDPI and/or the editor(s). MDPI and/or the editor(s) disclaim responsibility for any injury to people or property resulting from any ideas, methods, instructions or products referred to in the content. |
© 2023 by the authors. Licensee MDPI, Basel, Switzerland. This article is an open access article distributed under the terms and conditions of the Creative Commons Attribution (CC BY) license (https://creativecommons.org/licenses/by/4.0/).
Share and Cite
Ha, S.; Zhu, J. Hydrogen-like Impurity States in β-Ga2O3/(AlxGa1−x)2O3 Core/Shell Nanostructures: Comparison between Nanorods and Nanotubes. Crystals 2023, 13, 1227. https://doi.org/10.3390/cryst13081227
Ha S, Zhu J. Hydrogen-like Impurity States in β-Ga2O3/(AlxGa1−x)2O3 Core/Shell Nanostructures: Comparison between Nanorods and Nanotubes. Crystals. 2023; 13(8):1227. https://doi.org/10.3390/cryst13081227
Chicago/Turabian StyleHa, Sihua, and Jun Zhu. 2023. "Hydrogen-like Impurity States in β-Ga2O3/(AlxGa1−x)2O3 Core/Shell Nanostructures: Comparison between Nanorods and Nanotubes" Crystals 13, no. 8: 1227. https://doi.org/10.3390/cryst13081227
APA StyleHa, S., & Zhu, J. (2023). Hydrogen-like Impurity States in β-Ga2O3/(AlxGa1−x)2O3 Core/Shell Nanostructures: Comparison between Nanorods and Nanotubes. Crystals, 13(8), 1227. https://doi.org/10.3390/cryst13081227
