Three-Dimensional Axisymmetric Analysis of Annular One-Dimensional Hexagonal Piezoelectric Quasicrystal Actuator/Sensor with Different Configurations
Abstract
1. Introduction
2. Problem Description and Basic Equations
3. State Space Equations and Finite Hankel Transform
3.1. State Space Equations
3.2. Finite Hankel Transform
4. Boundary Condition and General Solutions
5. Numerical Examples
5.1. Verification
5.2. Effect of the Geometrical and Material Parameters on an Annular QC Actuator/Sensor
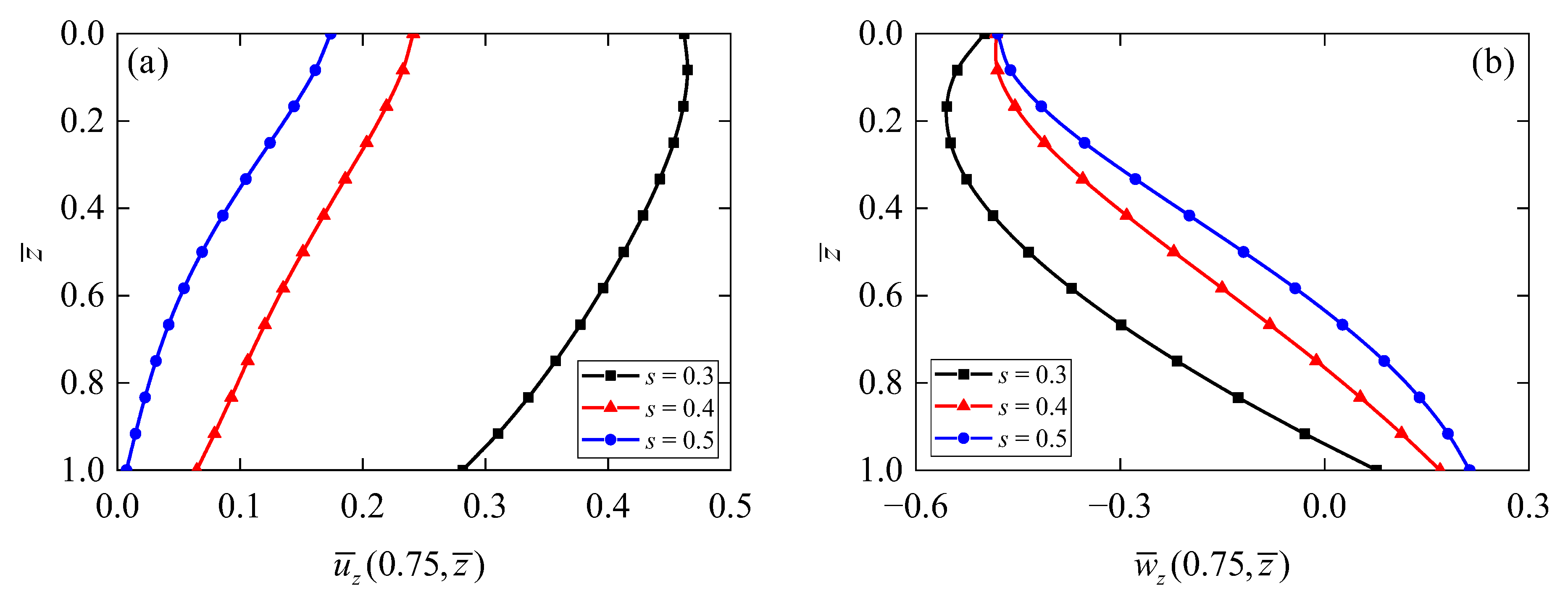
5.2.1. Effect of Thickness-to-Span Ratio on a QC Actuator/Sensor Subjected to a Mechanical Load
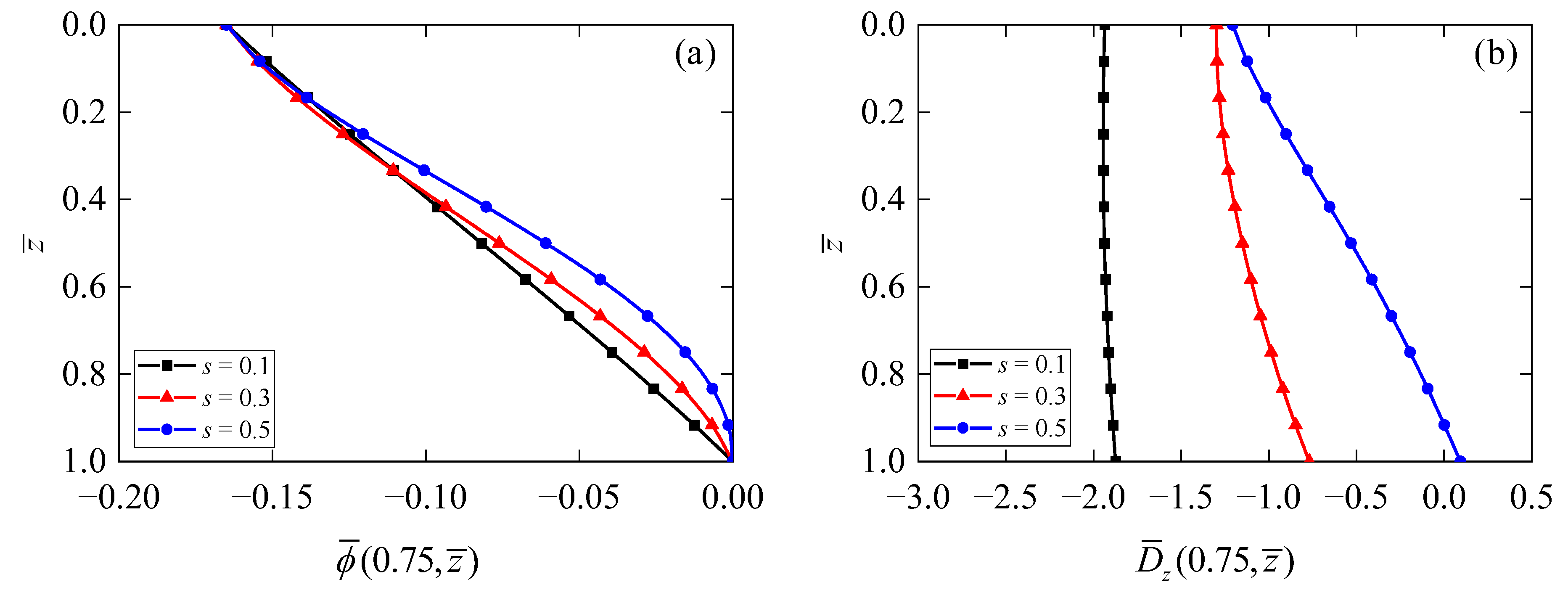
5.2.2. Effect of Thickness-to-Span Ratio on a QC Actuator/Sensor Subjected to an Electric Potential Load
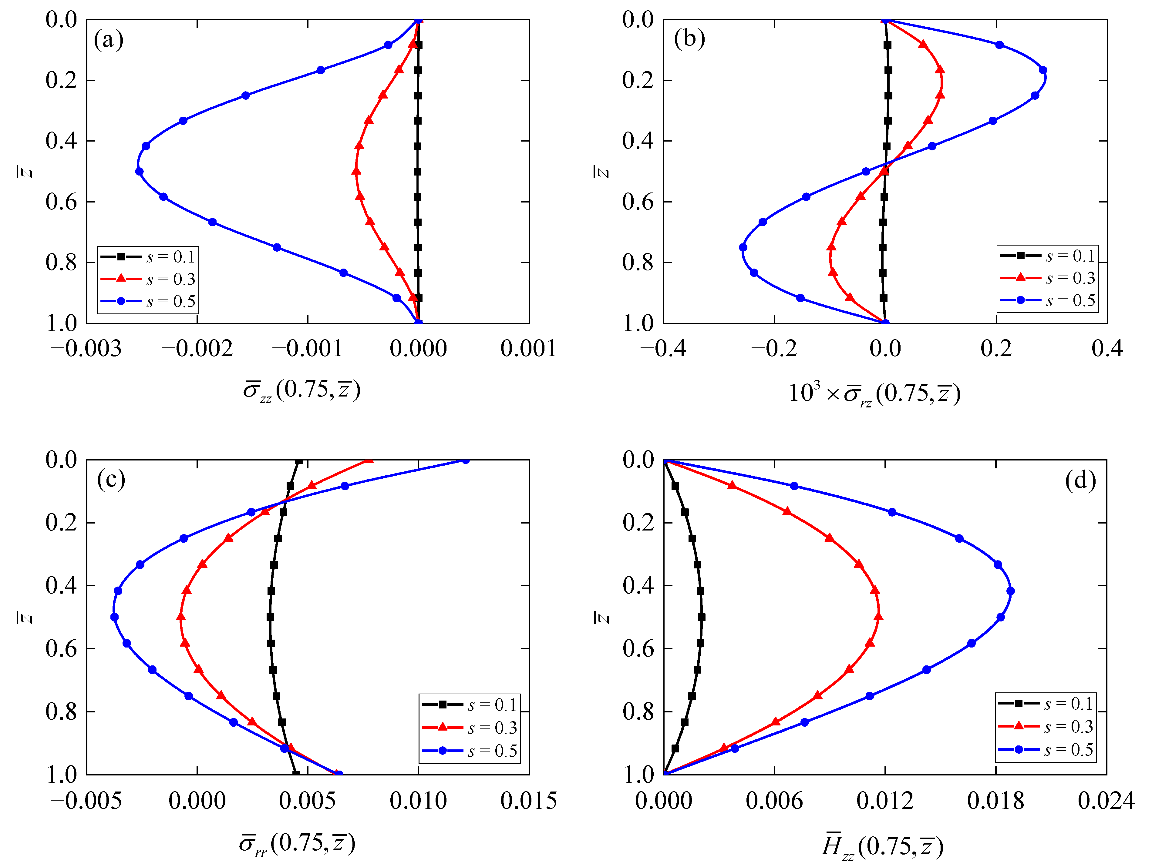
5.2.3. Effect of Dielectric Coefficients on a Single-Layer Annular QC Actuator/Sensor
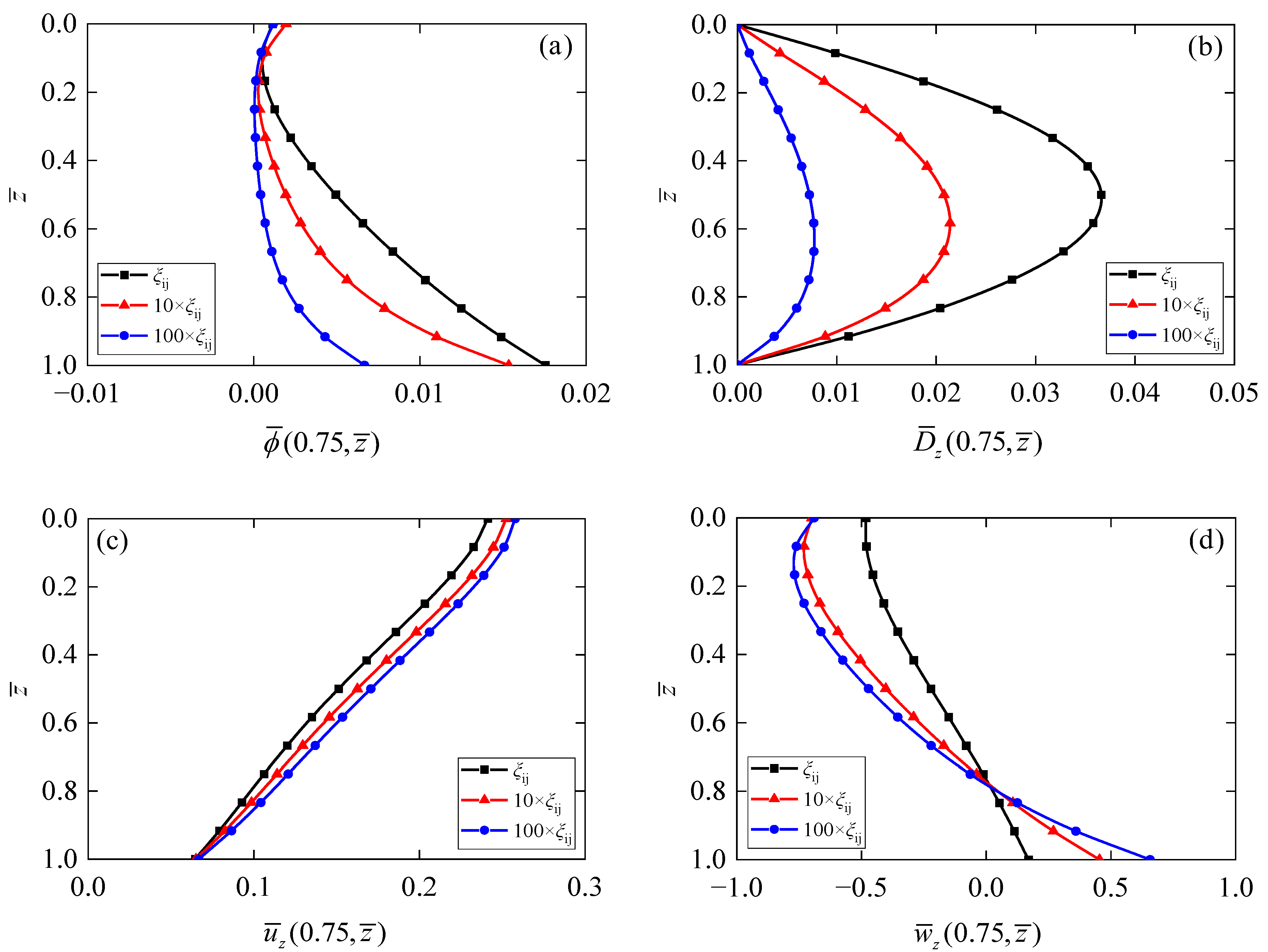
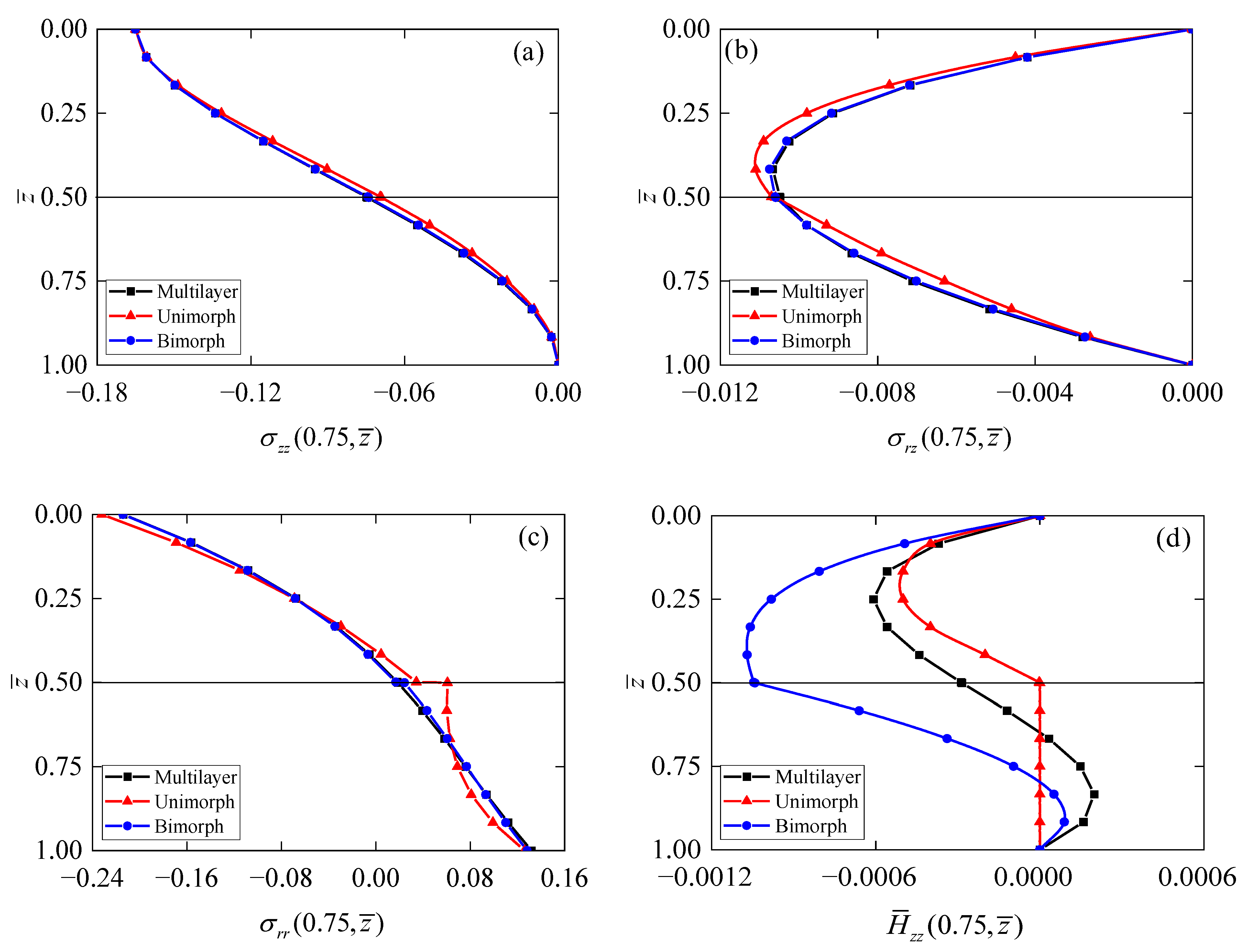
5.3. Performance of Different Types of Annular QC Actuators/Sensors
6. Conclusions
Author Contributions
Funding
Data Availability Statement
Conflicts of Interest
Appendix A
References
- Mohith, S.; Upadhya, A.R.; Navin, K.P.; Kulkarni, S.M.; Rao, M. Recent trends in piezoelectric actuators for precision motion and their applications: A review. Smart Mater. Struct. 2021, 30, 013002. [Google Scholar] [CrossRef]
- Zhu, J.; He, L. Piezoelectric actuator/sensor wave propagation based nondestructive active monitoring method of concrete structures. J. Wuhan Univ. Technol. Mater. Sci. Ed. 2011, 26, 541–547. [Google Scholar] [CrossRef]
- Gao, X.; Yang, J.; Wu, J.; Xin, X.; Li, Z.; Yuan, X.; Shen, X.; Dong, S. Piezoelectric Actuators and Motors: Materials, Designs, and Applications. Adv. Mater. Technol. 2020, 5, 1900716. [Google Scholar] [CrossRef]
- Aabid, A.; Hrairi, M.; Mohamed Ali, S.J.; Ibrahim, Y.E. Review of piezoelectric actuator applications in damaged structures: Challenges and opportunities. ACS Omega 2023, 8, 2844–2860. [Google Scholar] [CrossRef]
- Yu, P.; Wang, L.; Zhang, S.; Jin, J. Transfer matrix modeling and experimental verification of forked piezoelectric actuators. Int. J. Mech. Sci. 2022, 232, 107604. [Google Scholar] [CrossRef]
- Kulikov, G.; Plotnikova, S. Three-dimensional thermoelectroelastic analysis of structures with distributed piezoelectric sensors and actuators with temperature-dependent material properties. Mech. Adv. Mater. Struct. 2023, 30, 3979–3996. [Google Scholar] [CrossRef]
- Ding, H.J.; Xu, R.Q.; Chi, Y.W.; Chen, W.Q. Free axisymmetric vibration of transversely isotropic piezoelectric circular plates. Int. J. Solids Struct. 1999, 36, 4629–4652. [Google Scholar] [CrossRef]
- Wang, Y.; Xu, R.; Ding, H. Analytical solutions of functionally graded piezoelectric circular plates subjected to axisymmetric loads. Acta Mech. 2010, 215, 287–305. [Google Scholar] [CrossRef]
- Mehralian, F.; Beni, Y.T. Vibration analysis of size-dependent bimorph functionally graded piezoelectric cylindrical shell based on nonlocal strain gradient theory. J. Braz. Soc. Mech. Sci. Eng. 2018, 40, 1–15. [Google Scholar] [CrossRef]
- Chen, Y.; Yan, Z. Nonlinear analysis of unimorph and bimorph piezoelectric energy harvesters with flexoelectricity. Compos. Struct. 2021, 259, 113454. [Google Scholar] [CrossRef]
- Askari, M.; Brusa, E.; Delprete, C. Vibration energy harvesting via piezoelectric bimorph plates: An analytical model. Mech. Adv. Mater. Struct. 2023, 30, 4764–4785. [Google Scholar] [CrossRef]
- Ray, M.C.; Jha, B.K. Exact solutions for bimorph cross-ply and antisymmetric angle-ply plate piezoelectric energy harvesters. Compos. Struct. 2022, 286, 115261. [Google Scholar] [CrossRef]
- Hu, C.Z.; Wang, R.H.; Ding, D.H.; Yang, W.G. Piezoelectric effects in quasicrystals. Phys. Rev. B 1997, 56, 2463–2468. [Google Scholar] [CrossRef]
- Yang, W.; Wang, R.; Ding, D.-H.; Hu, C. Elastic strains induced by electric fields in quasicrystals. J. Phys. Condens. Matter 1995, 7, L499. [Google Scholar] [CrossRef]
- Rao, K.R.M.; Rao, P.H.; Chaitanya, B.S.K. Piezoelectricity in quasicrystals: A group-theoretical study. J. Phys. 2007, 68, 481–487. [Google Scholar] [CrossRef]
- Hu, K.; Meguid, S.; Zhong, Z.; Gao, C.-F. Partially debonded circular inclusion in one-dimensional quasicrystal material with piezoelectric effect. Int. J. Mech. Mater. Des. 2020, 16, 749–766. [Google Scholar] [CrossRef]
- Levine, D.; Lubensky, T.; Ostlund, S.; Ramaswamy, S.; Steinhardt, P.J.; Toner, J. Elasticity and dislocations in pentagonal and icosahedral quasicrystals. Phys. Rev. Lett. 1985, 54, 1520. [Google Scholar] [CrossRef] [PubMed]
- Jbaily, A.; Yeung, R.W. Piezoelectric devices for ocean energy: A brief survey. J. Ocean. Eng. Mar. Energy 2015, 1, 101–118. [Google Scholar] [CrossRef]
- Guo, J.H.; Zhang, Z.Y.; Xing, Y.M. Antiplane analysis for an elliptical inclusion in 1D hexagonal piezoelectric quasicrystal composites. Philos. Mag. 2016, 96, 349–369. [Google Scholar] [CrossRef]
- Huang, Y.; Chen, J.; Zhao, M.; Feng, M. Electromechanical coupling characteristics of double-layer piezoelectric quasicrystal actuators. Int. J. Mech. Sci. 2021, 196, 106293. [Google Scholar] [CrossRef]
- Zhang, B.; Wang, X.H.; Elmaimouni, L.; Yu, J.G.; Zhang, X.M. Axial guided wave characteristics in functionally graded one-dimensional hexagonal piezoelectric quasi-crystal cylinders. Math. Mech. Solids 2022, 27, 125–143. [Google Scholar] [CrossRef]
- Zhou, Y.B.; Li, X.F. Exact solution of two collinear cracks normal to the boundaries of a 1D layered hexagonal piezoelectric quasicrystal. Philos. Mag. 2018, 98, 1780–1798. [Google Scholar] [CrossRef]
- Wang, Y.; Liu, C.; Zhu, Z.; Zhang, L.; Gao, Y. Analysis of multilayered two-dimensional decagonal piezoelectric quasicrystal beams with mixed boundary conditions. Eur. J. Mech. A/Solids 2024, 106, 105333. [Google Scholar] [CrossRef]
- Yang, D.; Liu, G. Anti-plane problem of nano-cracks emanating from a regular hexagonal nano-hole in one-dimensional hexagonal piezoelectric quasicrystals*. Chin. Phys. B 2020, 29, 104601. [Google Scholar] [CrossRef]
- Li, Y.; Li, Y.; Qin, Q.; Yang, L.; Gao, Y. Axisymmetric bending analysis of functionally graded one-dimensional hexagonal piezoelectric quasi-crystal circular plate. Proc. R. Soc. A 2020, 476, 20200301. [Google Scholar] [CrossRef]
- Wu, Y.F.; Chen, W.Q.; Li, X.Y. Indentation on one-dimensional hexagonal quasicrystals: General theory and complete exact solutions. Philos. Mag. 2013, 93, 858–882. [Google Scholar] [CrossRef]
- Li, X.Y.; Li, P.D.; Wu, T.H.; Shi, M.X.; Zhu, Z.W. Three-dimensional fundamental solutions for one-dimensional hexagonal quasicrystal with piezoelectric effect. Phys. Lett. A 2014, 378, 826–834. [Google Scholar] [CrossRef]
- Ding, H.; Xu, R. Exact solution for axisymmetric deformation of laminated transversely isotropic annular plates. Acta Mech. 2002, 153, 169–182. [Google Scholar] [CrossRef]
- Sneddon, I.N. Fourier Transforms; McGraw-Hill: New York, NY, USA, 1951. [Google Scholar]
- He, L.H.; Lim, C.W.; Soh, A.K. Three-dimensional analysis of an antiparallel piezoelectric bimorph. Acta Mech. 2000, 145, 189–204. [Google Scholar] [CrossRef]
- Vel, S.S.; Batra, R. Three-dimensional exact solution for the vibration of functionally graded rectangular plates. J. Sound Vib. 2004, 272, 703–730. [Google Scholar] [CrossRef]














| s | Present | Eaxct Solution in Ref. [28] | FEM Results in Ref. [28] |
|---|---|---|---|
| 0.1 | 7.94645 | 7.9464 | 7.9452 |
| 0.2 | 0.52204 | 0.5220 | 0.5217 |
| 0.3 | 0.11073 | 0.1107 | 0.1107 |
| 0.4 | 0.03793 | 0.0379 | 0.0379 |
| 0.5 | 0.01675 | 0.0168 | 0.0168 |
| 1D Hexagonal Piezoelectric QCs | |
|---|---|
| Elastic constants (GPa) | |
| Piezoelectric (C/m2) | |
| Dielectric (C2·N−1m−2) | |
Disclaimer/Publisher’s Note: The statements, opinions and data contained in all publications are solely those of the individual author(s) and contributor(s) and not of MDPI and/or the editor(s). MDPI and/or the editor(s) disclaim responsibility for any injury to people or property resulting from any ideas, methods, instructions or products referred to in the content. |
© 2024 by the authors. Licensee MDPI, Basel, Switzerland. This article is an open access article distributed under the terms and conditions of the Creative Commons Attribution (CC BY) license (https://creativecommons.org/licenses/by/4.0/).
Share and Cite
Li, Y.; Gao, Y. Three-Dimensional Axisymmetric Analysis of Annular One-Dimensional Hexagonal Piezoelectric Quasicrystal Actuator/Sensor with Different Configurations. Crystals 2024, 14, 964. https://doi.org/10.3390/cryst14110964
Li Y, Gao Y. Three-Dimensional Axisymmetric Analysis of Annular One-Dimensional Hexagonal Piezoelectric Quasicrystal Actuator/Sensor with Different Configurations. Crystals. 2024; 14(11):964. https://doi.org/10.3390/cryst14110964
Chicago/Turabian StyleLi, Yang, and Yang Gao. 2024. "Three-Dimensional Axisymmetric Analysis of Annular One-Dimensional Hexagonal Piezoelectric Quasicrystal Actuator/Sensor with Different Configurations" Crystals 14, no. 11: 964. https://doi.org/10.3390/cryst14110964
APA StyleLi, Y., & Gao, Y. (2024). Three-Dimensional Axisymmetric Analysis of Annular One-Dimensional Hexagonal Piezoelectric Quasicrystal Actuator/Sensor with Different Configurations. Crystals, 14(11), 964. https://doi.org/10.3390/cryst14110964

