Simulation-Based Studies on FAGeI3-Based Lead (Pb2+)-Free Perovskite Solar Cells
Abstract
1. Introduction
2. Device Structure and Simulation
3. Results and Discussion
3.1. Optimization of FAGeI3 Layer
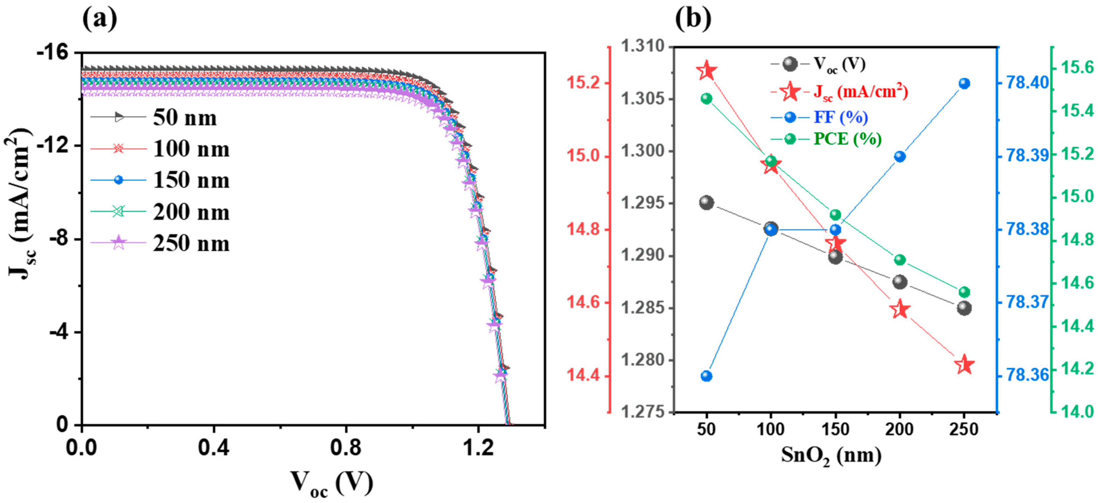
3.2. Effects of Thickness of ETL and HTL
3.3. Effects of Different HTL
3.4. Effects of Different ETL
3.5. Comparison with Previous Studies
4. Conclusions
Author Contributions
Funding
Data Availability Statement
Acknowledgments
Conflicts of Interest
References
- Gong, J.; Li, C.; Wasielewski, M.R. Advances in solar energy conversion. Chem. Soc. Rev. 2019, 48, 1862–1864. [Google Scholar] [CrossRef]
- Kabir, E.; Kumar, P.; Kumar, S.; Adelodun, A.A.; Kim, K.-H. Solar energy: Potential and future prospects. Renew. Sustain. Energy Rev. 2018, 82, 894–900. [Google Scholar] [CrossRef]
- Nate, S.; Bilan, Y.; Cherevatskyi, D.; Kharlamova, G.; Lyakh, O.; Wosiak, A. The Impact of Energy Consumption on the Three Pillars of Sustainable Development. Energies 2021, 14, 1372. [Google Scholar] [CrossRef]
- Wyrwa, J.; Jędrzejczak-Gas, J.; Barska, A.; Wojciechowska-Solis, J. Sustainable Energy Development and Sustainable Social Development in EU Countries. Energies 2023, 16, 6556. [Google Scholar] [CrossRef]
- Chudy-Laskowska, K.; Pisula, T. An Analysis of the Use of Energy from Conventional Fossil Fuels and Green Renewable Energy in the Context of the European Union’s Planned Energy Transformation. Energies 2022, 15, 7369. [Google Scholar] [CrossRef]
- Mignogna, D.; Szabó, M.; Ceci, P.; Avino, P. Biomass Energy and Biofuels: Perspective, Potentials, and Challenges in the Energy Transition. Sustainability 2024, 16, 7036. [Google Scholar] [CrossRef]
- Kaloudas, D.; Pavlova, N.; Penchovsky, R. Lignocellulose, Algal Biomass, Biofuels and Biohydrogen: A Review. Environ. Chem. Lett. 2021, 19, 2809–2824. [Google Scholar] [CrossRef]
- Zaheb, H.; Obaidi, O.; Mukhtar, S.; Shirani, H.; Ahmadi, M.; Yona, A. Comprehensive Analysis and Prioritization of Sustainable Energy Resources Using Analytical Hierarchy Process. Sustainability 2024, 16, 4873. [Google Scholar] [CrossRef]
- Mardani, A.; Jusoh, A.; Zavadskas, E.K.; Cavallaro, F.; Khalifah, Z. Sustainable and Renewable Energy: An Overview of the Application of Multiple Criteria Decision Making Techniques and Approaches. Sustainability 2015, 7, 13947–13984. [Google Scholar] [CrossRef]
- Reddy, V.J.; Hariram, N.P.; Ghazali, M.F.; Kumarasamy, S. Pathway to Sustainability: An Overview of Renewable Energy Integration in Building Systems. Sustainability 2024, 16, 638. [Google Scholar] [CrossRef]
- Aghmadi, A.; Mohammed, O.A. Energy Storage Systems: Technologies and High-Power Applications. Batteries 2024, 10, 141. [Google Scholar] [CrossRef]
- Ahmad, K.; Khan, R.A.; Hossain, M.S.; Sonic, M.M.R. Inorganic CsPbI2Br as Potential Absorber Layer for Perovskite Solar Cells: Theoretical and Experimental Study. ChemistrySelect 2024, 9, e202401827. [Google Scholar] [CrossRef]
- Otoufi, M.K.; Ranjbar, M.; Kermanpur, A.; Taghavinia, N.; Minbashi, M.; Forouzandeh, M.; Ebadi, F. Enhanced performance of planar perovskite solar cells using TiO2/SnO2 and TiO2/WO3 bilayer structures: Roles of the interfacial layers. Sol. Energy 2020, 208, 697–707. [Google Scholar] [CrossRef]
- Izam, N.S.M.N.; Itam, Z.; Sing, W.L.; Syamsir, A. Sustainable Development Perspectives of Solar Energy Technologies with Focus on Solar Photovoltaic—A Review. Energies 2022, 15, 2790. [Google Scholar] [CrossRef]
- Bouich, A.; Pradas, I.G.; Khan, M.A.; Khattak, Y.H. Opportunities, Challenges, and Future Prospects of the Solar Cell Market. Sustainability 2023, 15, 15445. [Google Scholar] [CrossRef]
- Altassan, A. Sustainable Integration of Solar Energy, Behavior Change, and Recycling Practices in Educational Institutions: A Holistic Framework for Environmental Conservation and Quality Education. Sustainability 2023, 15, 15157. [Google Scholar] [CrossRef]
- Castillo-Robles, J.A.; Rocha-Rangel, E.; Ramírez-de-León, J.A.; Caballero-Rico, F.C.; Armendáriz-Mireles, E.N. Advances on Dye-Sensitized Solar Cells (DSSCs) Nanostructures and Natural Colorants: A Review. J. Compos. Sci. 2021, 5, 288. [Google Scholar] [CrossRef]
- Li, Y.; Huang, W.; Zhao, D.; Wang, L.; Jiao, Z.; Huang, Q.; Wang, P.; Sun, M.; Yuan, G. Recent Progress in Organic Solar Cells: A Review on Materials from Acceptor to Donor. Molecules 2022, 27, 1800. [Google Scholar] [CrossRef] [PubMed]
- Roy, P.; Ghosh, A.; Barclay, F.; Khare, A.; Cuce, E. Perovskite Solar Cells: A Review of the Recent Advances. Coatings 2022, 12, 1089. [Google Scholar] [CrossRef]
- Gnida, P.; Amin, M.F.; Pająk, A.K.; Jarząbek, B. Polymers in High-Efficiency Solar Cells: The Latest Reports. Polymers 2022, 14, 1946. [Google Scholar] [CrossRef]
- Ganesan, A.A.; Houtepen, A.J.; Crisp, R.W. Quantum Dot Solar Cells: Small Beginnings Have Large Impacts. Appl. Sci. 2018, 8, 1867. [Google Scholar] [CrossRef]
- Kisslinger, R.; Hua, W.; Shankar, K. Bulk Heterojunction Solar Cells Based on Blends of Conjugated Polymers with II–VI and IV–VI Inorganic Semiconductor Quantum Dots. Polymers 2017, 9, 35. [Google Scholar] [CrossRef]
- Lekesi, L.P.; Koao, L.F.; Motloung, S.V.; Motaung, T.E.; Malevu, T. Developments on Perovskite Solar Cells (PSCs): A Critical Review. Appl. Sci. 2022, 12, 672. [Google Scholar] [CrossRef]
- Kojima, A.; Teshima, K.; Shirai, Y.; Miyasaka, T. Organometal Halide Perovskites as Visible-Light Sensitizers for Photovoltaic Cells. J. Am. Chem. Soc. 2009, 131, 6050–6051. [Google Scholar] [CrossRef] [PubMed]
- Zhao, C.; Zhou, Z.; Almalki, M.; Hope, M.A.; Zhao, J.; Gallet, T.; Krishna, A.; Mishra, A.; Eickemeyer, F.T.; Xu, J.; et al. Stabilization of highly efficient perovskite solar cells with a tailored supramolecular interface. Nat. Commun. 2024, 15, 7139. [Google Scholar] [CrossRef]
- Umar, A.; Sadanand; Singh, P.K.; Dwivedi, D.K.; Algadi, H.; Ibrahim, A.A.; Alhammai, M.A.M.; Baskoutas, S. High Power-Conversion Efficiency of Lead-Free Perovskite Solar Cells: A Theoretical Investigation. Micromachines 2022, 13, 2201. [Google Scholar] [CrossRef]
- Trifiletti, V.; Luong, S.; Tseberlidis, G.; Riva, S.; Galindez, E.S.S.; Gillin, W.P.; Binetti, S.; Fenwick, O. Two-Step Synthesis of Bismuth-Based Hybrid Halide Perovskite Thin-Films. Materials 2021, 14, 7827. [Google Scholar] [CrossRef] [PubMed]
- Ahmad, K.; Kumar, P.; Kim, H. Recent Progress in Lead Free Tin-Halide Perovskite Materials Based Solar Cells via SCAPS Based Numerical Simulation. ChemistrySelect 2024, 9, e202402044. [Google Scholar] [CrossRef]
- Ahmad, K.; Mobin, S.M. Recent Progress and Challenges in A3Sb2X9-Based Perovskite Solar Cells. ACS Omega 2020, 5, 28404–28412. [Google Scholar]
- Kumar, P.; Khan, M.Q.; Shabbir, M.; Ahmad, K.; Oh, T. Improving Germanium Halide Perovskite Solar Cells: Insights from SCAPS Simulation Analysis Compared to Experimental Data. ChemistrySelect 2024, 9, e202403381. [Google Scholar] [CrossRef]
- Ayaydah, W.; Raddad, E.; Hawash, Z. Sn-Based Perovskite Solar Cells towards High Stability and Performance. Micromachines 2023, 14, 806. [Google Scholar] [CrossRef]
- Jin, Z.; Zhang, Z.; Xiu, J.; Song, H.; Gatti, T.; He, Z. A critical review on bismuth and antimony halide based perovskites and their derivatives for photovoltaic applications: Recent advances and challenges. J. Mater. Chem. A 2020, 8, 16166–16188. [Google Scholar] [CrossRef]
- Miodyńska, M.; Klimczuk, T.; Lisowski, W.; Zaleska-Medynska, A. Bi-based halide perovskites: Stability and opportunities in the photocatalytic approach for hydrogen evolution. Catal. Commun. 2023, 177, 106656. [Google Scholar] [CrossRef]
- Tedesco, C.; Malavasi, L. Bismuth-Based Halide Perovskites for Photocatalytic H2 Evolution Application. Molecules 2023, 28, 339. [Google Scholar] [CrossRef]
- Pramod, A.K.; Kushvaha, S.S.; Batabyal, S.K. Lead-free Cs3Bi2I9 perovskite hexagonal microplates: A promising material solution-processed for ultraviolet self-powered photodetectors. J. Alloys Compd. 2024, 1006, 176320. [Google Scholar] [CrossRef]
- AlZoubi, T.; Mourched, B.; Al Gharram, M.; Makhadmeh, G.; Abu Noqta, O. Improving Photovoltaic Performance of Hybrid Organic-Inorganic MAGeI3 Perovskite Solar Cells via Numerical Optimization of Carrier Transport Materials (HTLs/ETLs). Nanomaterials 2023, 13, 2221. [Google Scholar] [CrossRef] [PubMed]
- Saikia, D.; Bera, J.; Betal, A.; Sahu, S. Performance evaluation of an all inorganic CsGeI3 based perovskite solar cell by numerical simulation. Opt. Mater. 2022, 123, 111839. [Google Scholar] [CrossRef]
- Krishnamoorthy, T.; Ding, H.; Yan, C.; Leong, W.L.; Baikie, T.; Zhang, Z.; Sherburne, M.; Li, S.; Asta, M.; Mathews, N.; et al. Performance optimization of all-inorganic CsGeI3 solar cells: SCAPS simulation and DFT calculation. Chem. Phys. Lett. 2023, 830, 140809. [Google Scholar]
- Krishnamoorthy, T.; Ding, H.; Yan, C.; Leong, W.L.; Baikie, T.; Zhang, Z.; Sherburne, M.; Li, S.; Asta, M.; Mathews, N.; et al. Lead-free germanium iodide perovskite materials for photovoltaic applications. J. Mater. Chem. A 2015, 3, 23829–23832. [Google Scholar] [CrossRef]
- Mehrabian, M.; Akhavan, O.; Rabiee, N.; Afshar, E.N.; Zare, E.N. Lead-free MAGeI3 as a suitable alternative for MAPbI3 in nanostructured perovskite solar cells: A simulation study. Environ Sci. Pollut. Res. 2023, 30, 57032–57040. [Google Scholar] [CrossRef]
- Pering, S.R. The differences in crystal structure and phase of lead-free perovskite solar cell materials. Discov. Mater. 2023, 3, 23. [Google Scholar] [CrossRef]
- Paul, S.; Hasan, M.; Zakhidov, A. Temperature- and illumination-dependent recombination of the photoinduced charge carriers in organic–inorganic hybrid perovskite solar cells. MRS Commun. 2024, 14, 201–207. [Google Scholar]
- Tara, A.; Bharti, V.; Sharma, S.; Gupta, R. Device simulation of FASnI3 based perovskite solar cell with Zn(O0.3, S0.7) as electron transport layer using SCAPS-1D. Opt. Mater. 2021, 119, 111362. [Google Scholar] [CrossRef]
- Singh, A.K.; Srivastava, S.; Mahapatra, A.; Baral, J.K.; Pradhan, B. Performance optimization of lead free-MASnI3 based solar cell with 27% efficiency by numerical simulation. Opt. Mater. 2021, 117, 111193. [Google Scholar]
- Singh, A.; Agarwal, A.; Agarwal, M. Performance evaluation of lead–free double-perovskite solar cell. Opt. Mater. 2021, 114, 110964. [Google Scholar] [CrossRef]
- Mohandes, A.; Moradi, M.; Nadgaran, H. Numerical simulation of inorganic Cs2AgBiBr6 as a lead-free perovskite using device simulation SCAPS-1D. Opt. Quant. Electron. 2021, 53, 319. [Google Scholar] [CrossRef]
- Rahman, M.A. Design and simulation of a high-performance Cd-free Cu2SnSe3 solar cells with SnS electron-blocking hole transport layer and TiO2 electron transport layer by SCAPS-1D. SN Appl. Sci. 2021, 3, 253. [Google Scholar] [CrossRef]
- Hossain, M.I.; Alharbi, F.H.; Tabet, N. Copper oxide as inorganic hole transport material for lead halide perovskite based solar cells. Sol. Energy 2015, 120, 370–380. [Google Scholar] [CrossRef]
- Burgelman, M.; Nollet, P.; Degrave, S. Modelling polycrystalline semiconductor solar cells. Thin Solid Film. 2000, 361, 527–532. [Google Scholar] [CrossRef]
- Zhang, Y.; Meng, X.; Liu, X.; Zhou, F.; Yang, W.; Fan, Y.; He, P.; Wu, J.; Wang, H.; Cheng, Y. SCAPS simulation and DFT study of lead-free perovskite solar cells based on CsGeI3, Mater. Chem. Phys. 2023, 306, 128084. [Google Scholar]
- Ahmed, S.; Jannat, F.; Khan, M.A.K.; Alim, M.A. Numerical development of eco-friendly Cs2TiBr6 based perovskite solar cell with all-inorganic charge transport materials via SCAPS-1D. Optik 2021, 225, 165765. [Google Scholar] [CrossRef]
- Samanta, M.; Ahmed, S.I.; Chattopadhyay, K.K.; Bose, C. Role of various transport layer and electrode materials in enhancing performance of stable environment-friendly Cs2TiBr6 solar cell. Optik 2020, 217, 164805. [Google Scholar] [CrossRef]
- Danladi, E.; Obagboye, L.F.; Aisida, S.; Ezema, F.I.; Okorie, O.; Bwamba, J.A.; Emmanuel, P.A.; Hussaini, A.A.; Jubu, P.R.; Ozurumba, A.C. 20.730% highly efficient lead-free CsSnI3-based perovskite solar cells with various charge transport materials: A SCAPS-1D study. Multiscale and Multidiscip. Multiscale Multidiscip. Model. Exp. Des. 2025, 8, 114. [Google Scholar] [CrossRef]
- Bareth, B.K.; Tripathi, M.N.; Maravi, R. High photovoltaic performance of lead-free Cs2AgInCl6-xBrx perovskite solar cell using DFT and SCAPS-1D simulations. Mater. Today Commun. 2024, 39, 108618. [Google Scholar] [CrossRef]
- Garg, S.V.; Kumar, A.; Sharma, P. Numerical simulation of novel lead-free Cs3Sb2Br9 absorber-based highly efficient perovskite solar cell. Opt. Mater. 2021, 122, 111715. [Google Scholar]
- Alam, I.; Mollick, R.; Ashraf, M.A. Numerical simulation of Cs2AgBiBr6-based perovskite solar cell with ZnO nanorod and P3HT as the charge transport layers. Phys. B: Condens. Matter 2021, 618, 413187. [Google Scholar] [CrossRef]
- Wang, A.; Gan, X.; Yu, J. Simulation of narrow-bandgap mixed Pb–Sn perovskite solar cells with inverted p-i-n structure. Opt. Mater. 2021, 112, 110751. [Google Scholar] [CrossRef]
- Kopacic, I.; Friesenbichler, B.; Hoefler, S.F.; Kunert, B.; Plank, H.; Rath, T.; Trimmel, G. Enhanced Performance of Germanium Halide Perovskite Solar Cells through Compositional Engineering. ACS Appl. Energy Mater. 2018, 1, 343–347. [Google Scholar] [CrossRef]







| Parameters | FTO [43] | SnO2 [46] | FAGeI3 | Spiro-OMeTAD [45] |
|---|---|---|---|---|
| Thickness (nm) | 500 | varying | Varying | Varying |
| Band gap (eV) | 3.5 | 3.5 | 2.35 [39] | 3 |
| Electron affinity (eV) | 4 | 4.09 | 3.9 | 2.45 |
| Dielectric permittivity | 9 | 9 | 10 | 3 |
| CB effective density of states (1 cm−3) | 2.2 × 1018 | 2.2 × 1018 | 1 × 1016 | 2.2 × 1018 |
| VB effective density of states (1 cm−3) | 1.8 × 1019 | 1.8 × 1019 | 1 × 1015 | 1.8 × 1019 |
| Electron thermal velocity (cm S−1) | 1 × 107 | 1 × 107 | 1 × 107 | 1 × 107 |
| Hole thermal velocity (cm S−1) | 1 × 107 | 1 × 107 | 1 × 107 | 1 × 107 |
| Electron mobility (cm2 VS−1) | 20 | 20 | 16.2 | 2 × 10−4 |
| Hole mobility (cm2 VS−1) | 10 | 10 | 10.1 | 2 × 10−4 |
| Shallow uniform donor density ND (1 cm−3) | 2 × 1019 | 2 × 1019 | 1 × 109 | 0 |
| Shallow uniform acceptor density NA (1 cm−3) | - | 0 | 1 × 109 | 2 × 1018 |
| Nt | 1 × 1015 | 1 × 1015 | 1 × 1014 | 1 × 1015 |
| Parameters | TiO2 [45] | WS2 [45] | ZnO [45] | ZnSe [45] | WO3 [13] |
|---|---|---|---|---|---|
| Thickness (nm) | 50 | 50 | 50 | 50 | 50 |
| Band gap (eV) | 3.2 | 1.8 | 3.3 | 2.81 | 2.92 |
| Electron affinity (eV) | 4.2 | 3.95 | 4 | 4.09 | 4.59 |
| Dielectric permittivity | 10 | 13.60 | 9 | 8.6 | 5.76 |
| CB effective density of states (1 cm−3) | 2.2 × 1018 | 1 × 1018 | 3.7 × 1018 | 2.2 × 1018 | 1.96 × 1019 |
| VB effective density of states (1 cm−3) | 1.8 × 1019 | 1 × 1018 | 1.8 × 1019 | 1.8 × 1019 | 1.96 × 1019 |
| Electron thermal velocity (cm S−1) | 1 × 107 | 1 × 107 | 1 × 107 | 1 × 107 | 1 × 107 |
| Hole thermal velocity (cm S−1) | 1 × 107 | 1 × 107 | 1 × 107 | 1 × 107 | 1 × 107 |
| Electron mobility (cm2 VS−1) | 100 | 50 | 100 | 110 | 10 |
| Hole mobility (cm2 VS−1) | 25 | 50 | 25 | 400 | 10 |
| Shallow uniform donor density ND (1 cm−3) | 1 × 1019 | 1 × 1018 | 5 × 1017 | 1 × 1018 | 3.68 × 1019 |
| Shallow uniform acceptor density NA (1 cm−3) | 0 | 0 | 0 | 0 | 0 |
| Nt | 1 × 1015 | 1 × 1015 | 1 × 1015 | 1 × 1015 | 1 × 1015 |
| Parameters | P3HT [46] | Cu2O [48] | CuI [48] | PTAA [44] | SnS [47] |
|---|---|---|---|---|---|
| Thickness (nm) | 100 | 100 | 100 | 100 | 100 |
| Band gap (eV) | 2 | 2.17 | 3.4 | 2.95 | 1.6 |
| Electron affinity (eV) | 3.2 | 3.20 | 2.1 | 2.3 | 4.1 |
| Dielectric permittivity | 3 | 7.11 | 6.5 | 3.5 | 13 |
| CB effective density of states (1 cm−3) | 2.5 × 1018 | 2.02 × 1017 | 2.8 × 1019 | 2.2 × 1018 | 1.18 × 1018 |
| VB effective density of states (1 cm−3) | 1.8 × 1019 | 1.0 × 1019 | 1.0 × 1019 | 1.8 × 1019 | 4.46 × 1018 |
| Electron thermal velocity (cm S−1) | 1 × 107 | 1 × 107 | 1 × 107 | 1 × 107 | 1 × 107 |
| Hole thermal velocity (cm S−1) | 1 × 107 | 1 × 107 | 1 × 107 | 1 × 107 | 1 × 107 |
| Electron mobility (cm2 VS−1) | 1 × 10−4 | 200 | 100 | 1 × 10−4 | 15 |
| Hole mobility (cm2 VS−1) | 1 × 10−4 | 80 | 43.9 | 1 × 10−4 | 100 |
| Shallow uniform donor density ND (1 cm−3) | 0 | 0 | 0 | 0 | 0 |
| Shallow uniform acceptor density NA (1 cm−3) | 2 × 1018 | 1 × 1018 | 1 × 1018 | 1 × 1018 | 1.1 × 1016 |
| Nt | 1 × 1014 | 1 × 1014 | 1 × 1015 | 1 × 1015 | 1 × 1015 |
| Absorber Material | ETL | HTL | Jsc (mA/cm2) | FF (%) | Voc (V) | PCE (%) | Method | Refs. |
|---|---|---|---|---|---|---|---|---|
| FAGeI3 | TiO2 | PTAA | 15.44 | 80.22 | 1.26 | 15.62 | SCAPS | This study |
| CsGeI3 | TiO2 | - | 21.03 | 44.80 | 1.21 | 10.91 | SCAPS | [50] |
| Cs2TiBr6 | SnO2 | MoO3 | 8.66 | 86.45 | 1.53 | 11.49 | SCAPS | [51] |
| Cs2TiBr6 | TiO2 | NiO | 6.33 | 76.34 | 1.14 | 5.50 | SCAPS | [52] |
| CsSnI3 | TiO2 | Spiro-OMeTAD | 18.63 | 82.45 | 0.88 | 13.63 | SCAPS | [53] |
| Cs2AgInCl3Br3 | ZnSe | Copper barium thio stannate (CBTS) | 9.48 | 90.28 | 1.45 | 12.46 | SCAPS | [54] |
| FASnI3 (initial device) | ZnOS | CuSCN | 24.19 | 77.63 | 0.76 | 14.46 | SCAPS | [43] |
| Cs3Sb2Br9 | TiO2 | Spiro-OMeTAD | 13.67 | 87.61 | 1.31 | 15.69 | SCAPS | [55] |
| Cs2AgBiBr6 | ZnO | Cu2O | 11.16 | 43.97 | 1.05 | 5.16 | SCAPS | [56] |
| FA0.5MA0.5Pb0.5Sn0.5I3 (initial device) | C60 | PEDOT:PSS | 28.75 | 76.66 | 0.67 | 14.79 | SCAPS | [57] |
| CsGeI3 | TiO2 | Spiro-OMeTAD | 5.7 | 27 | 0.074 | 0.11 | Exprimental | [39] |
| MAGeI3 | TiO2 | Spiro-OMeTAD | 4 | 30 | 0.15 | 0.20 | Exprimental | [39] |
| MAGeI2.7Br0.3 | PC70BM | PEDOT:PSS | 1.98 | 50 | 514 | 0.52 | Exprimental | [58] |
| MAGeI3 | PC70BM | PEDOT:PSS | 2.32 | 36 | 3.45 | 0.28 | Exprimental | [58] |
Disclaimer/Publisher’s Note: The statements, opinions and data contained in all publications are solely those of the individual author(s) and contributor(s) and not of MDPI and/or the editor(s). MDPI and/or the editor(s) disclaim responsibility for any injury to people or property resulting from any ideas, methods, instructions or products referred to in the content. |
© 2025 by the authors. Licensee MDPI, Basel, Switzerland. This article is an open access article distributed under the terms and conditions of the Creative Commons Attribution (CC BY) license (https://creativecommons.org/licenses/by/4.0/).
Share and Cite
Ali, S.; Ahmad, K.; Khan, R.A.; Kumar, P. Simulation-Based Studies on FAGeI3-Based Lead (Pb2+)-Free Perovskite Solar Cells. Crystals 2025, 15, 135. https://doi.org/10.3390/cryst15020135
Ali S, Ahmad K, Khan RA, Kumar P. Simulation-Based Studies on FAGeI3-Based Lead (Pb2+)-Free Perovskite Solar Cells. Crystals. 2025; 15(2):135. https://doi.org/10.3390/cryst15020135
Chicago/Turabian StyleAli, Saood, Khursheed Ahmad, Rais Ahmad Khan, and Praveen Kumar. 2025. "Simulation-Based Studies on FAGeI3-Based Lead (Pb2+)-Free Perovskite Solar Cells" Crystals 15, no. 2: 135. https://doi.org/10.3390/cryst15020135
APA StyleAli, S., Ahmad, K., Khan, R. A., & Kumar, P. (2025). Simulation-Based Studies on FAGeI3-Based Lead (Pb2+)-Free Perovskite Solar Cells. Crystals, 15(2), 135. https://doi.org/10.3390/cryst15020135

