Influence of the Initial Powder’s Specific Surface Area on the Properties of Sm-Doped Ceria Thin Films
Abstract
1. Introduction
2. Materials and Methods
- discretization Method—Gaussian,
- regularization parameter—λ = 0.01,
- regularization derivative—first order,
- Radial Basis Function (RBF) Shape control (Coefficient to Full-Width Half-Maximum (FWHM))—0.15.
3. Results
3.1. X-Ray Analysis
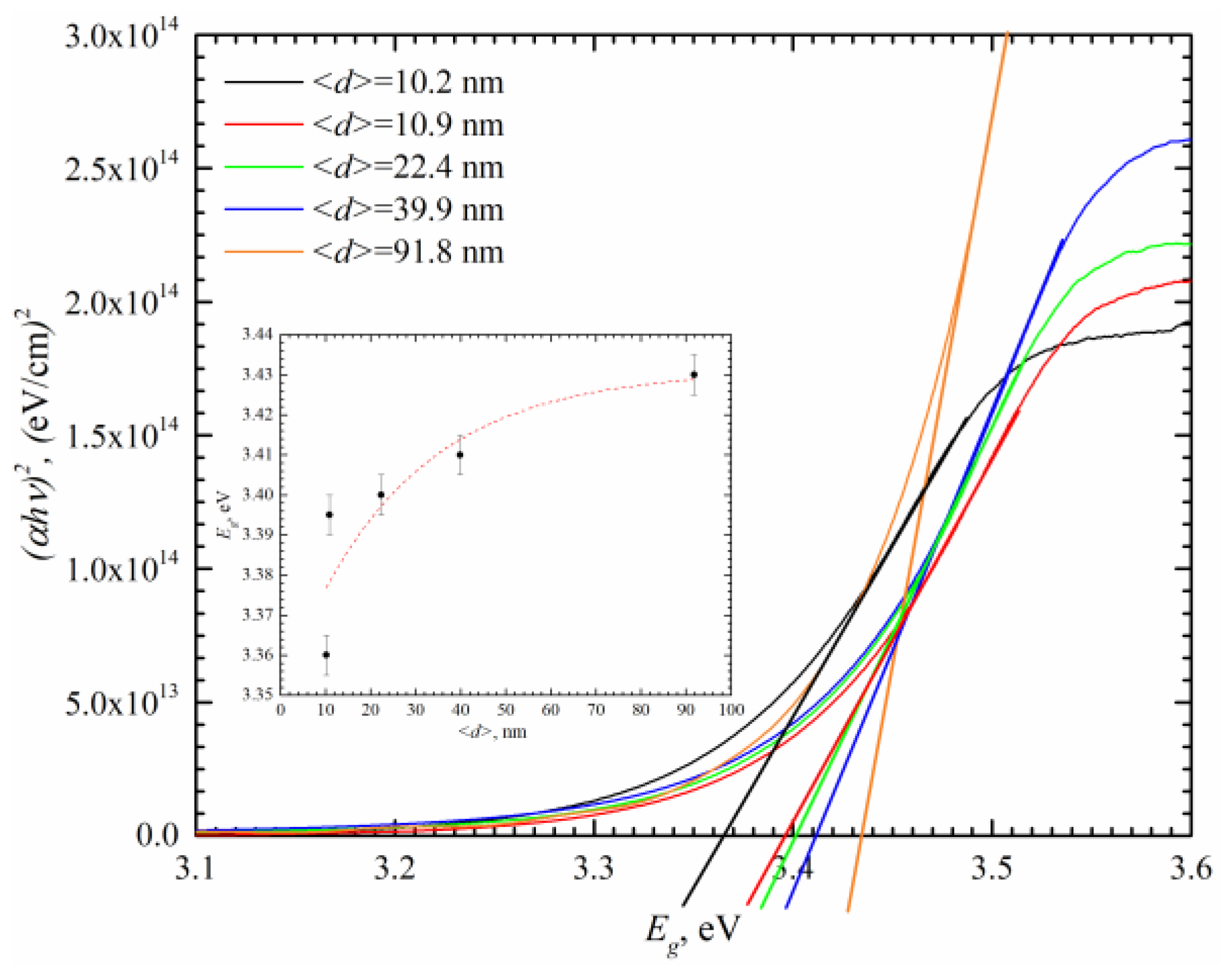
3.2. Optical Band Gap Calculation
3.3. SEM Results
3.4. EIS Analysis
4. Conclusions
Author Contributions
Conflicts of Interest
References
- Tuller, H.L.; Bishop, S.R. Point Defects in Oxides: Tailoring Materials Through Defect Engineering. Annu. Rev. Mater. Res. 2011, 41, 369–398. [Google Scholar] [CrossRef]
- Migani, A.; Vayssilov, G.N.; Bromley, S.T.; Illas, F.; Neyman, K.M. Greatly facilitated oxygen vacancy formation in ceria nanocrystallites. Chem. Commun. 2010, 46, 5936–5938. [Google Scholar] [CrossRef] [PubMed]
- Tschöpe, A.; Sommer, E.; Birringer, R. Grain size-dependent electrical conductivity of polycrystalline cerium oxide: I. Experiments. Solid State Ionics 2001, 139, 255–265. [Google Scholar] [CrossRef]
- Daniele, P.; Vladimir, R.; Emiliana, F.; Christof, W.S.; Thomas, L.; Enrico, T.; John, A.K. Probing the bulk ionic conductivity by thin film hetero-epitaxial engineering. Sci. Technol. Adv. Mater. 2015, 16, 015001. [Google Scholar]
- Gobel, M.C.; Gregori, G.; Maier, J. Numerical calculations of space charge layer effects in nanocrystalline ceria. Part I: comparison with the analytical models and derivation of improved analytical solutions. Phys. Chem. Chem. Phys. 2014, 16, 10214–10231. [Google Scholar] [CrossRef] [PubMed]
- Gobel, M.C.; Gregori, G.; Maier, J. Numerical calculations of space charge layer effects in nanocrystalline ceria. Part II: detailed analysis of the space charge layer properties. Phys. Chem. Chem. Phys. 2014, 16, 10175–10186. [Google Scholar] [CrossRef] [PubMed]
- Gobel, M.C.; Gregori, G.; Maier, J. Mixed conductivity in nanocrystalline highly acceptor doped cerium oxide thin films under oxidizing conditions. Phys. Chem. Chem. Phys. 2011, 13, 10940–10945. [Google Scholar] [CrossRef] [PubMed]
- Tschöpe, A. Grain size-dependent electrical conductivity of polycrystalline cerium oxide II: Space charge model. Solid State Ionics 2001, 139, 267–280. [Google Scholar] [CrossRef]
- Bârcă, E.S.; Filipescu, M.; Luculescu, C.; Birjega, R.; Ion, V.; Dumitru, M.; Nistor, L.C.; Stanciu, G.; Abrudeanu, M.; Munteanu, C.; et al. Pyramidal growth of ceria nanostructures by pulsed laser deposition. Appl. Surf. Sci. 2016, 363, 245–251. [Google Scholar] [CrossRef]
- Balakrishnan, G.; Sundari, S.T.; Kuppusami, P.; Mohan, P.C.; Srinivasan, M.P.; Mohandas, E.; Ganesan, V.; Sastikumar, D. A study of microstructural and optical properties of nanocrystalline ceria thin films prepared by pulsed laser deposition. Thin Solid Films 2011, 519, 2520–2526. [Google Scholar] [CrossRef]
- Olding, T.; Sayer, M.; Barrow, D. Ceramic sol–gel composite coatings for electrical insulation. Thin Solid Films 2001, 398, 581–586. [Google Scholar] [CrossRef]
- Virbukas, D.; Laukaitis, G. The structural and electrical properties of samarium doped ceria films formed by e-beam deposition technique. Solid State Ionics 2017, 302, 107–112. [Google Scholar] [CrossRef]
- Laukaitis, G.; Virbukas, D. The structural and electrical properties of GDC10 thin films formed by e-beam technique. Solid State Ionics 2013, 247, 41–47. [Google Scholar] [CrossRef]
- Bail, A.L. Chapter 5 The Profile of a Bragg Reflection for Extracting Intensities. In Powder Diffraction: Theory and Practice; Dinnebier, R.E., Billinge, S.J.L., Eds.; The Royal Society of Chemistry: Cambridge, UK, 2008; pp. 134–165. [Google Scholar]
- Nagaraju, P.; Vijayakumar, Y.; Ramana Reddy, M.V. Optical and microstructural studies on laser ablated nanocrystalline CeO2 thin films. Glass Phys. Chem. 2015, 41, 484–488. [Google Scholar] [CrossRef]
- Boukamp, B.A. Linear Kronig-Kramers Transform Test for Immittance Data Validation. J. Electrochem. Soc. 1995, 142, 1885–1894. [Google Scholar] [CrossRef]
- Schönleber, M.; Klotz, D.; Ivers-Tiffée, E. A Method for Improving the Robustness of linear Kramers-Kronig Validity Tests. Electrochim. Acta 2014, 131, 20–27. [Google Scholar] [CrossRef]
- Schönleber, M.; Ivers-Tiffée, E. Approximability of impedance spectra by RC elements and implications for impedance analysis. Electrochem. Commun. 2015, 58, 15–19. [Google Scholar] [CrossRef]
- Tomoyasu, I.; Yasuhiro, Y.; Masataka, S. Electron-beam-assisted evaporation of epitaxial CeO2 thin films on Si substrates. J. Vac. Sci. Technol. A 2001, 19. [Google Scholar]
- Wan, T.H.; Saccoccio, M.; Chen, C.; Ciucci, F. Influence of the Discretization Methods on the Distribution of Relaxation Times Deconvolution: Implementing Radial Basis Functions with DRTtools. Electrochim. Acta 2015, 184, 483–499. [Google Scholar] [CrossRef]
- Piacente, V.; Bardi, G.; Malaspina, L.; Desideri, A. Dissociation energy of CeO2 and Ce2O2 molecules. J. Chem. Phys. 1973, 59, 31–36. [Google Scholar] [CrossRef]
- Kato, S.; Ammann, M.; Huthwelker, T.; Paun, C.; Lampimaki, M.; Lee, M.-T.; Rothensteiner, M.; van Bokhoven, J.A. Quantitative depth profiling of Ce3+ in Pt/CeO2 by in situ high-energy XPS in a hydrogen atmosphere. Phys. Chem. Chem. Phys. 2015, 17, 5078–5083. [Google Scholar] [CrossRef] [PubMed]
- Orliukas, A.F.; Šalkus, T.; Kežionis, A.; Venckutė, V.; Kazlauskienė, V.; Miškinis, J.; Laukaitis, G.; Dudonis, J. XPS and impedance spectroscopy of some oxygen vacancy conducting solid electrolyte ceramics. Solid State Ionics 2011, 188, 36–40. [Google Scholar] [CrossRef]
- Galdikas, A.; Čerapaitė-Truš, R.; Laukaitis, G.; Dudonis, J. Real-time kinetic modeling of YSZ thin film roughness deposited by e-beam evaporation technique. Appl. Surf. Sci. 2008, 255, 1929–1933. [Google Scholar] [CrossRef]
- Sriubas, M.; Pamakštys, K.; Laukaitis, G. Investigation of microstructure and electrical properties of Sm doped ceria thin films. Solid State Ionics 2017, 302, 165–172. [Google Scholar] [CrossRef]
- Dutta, P.; Pal, S.; Seehra, M.S.; Shi, Y.; Eyring, E.M.; Ernst, R.D. Concentration of Ce3+ and Oxygen Vacancies in Cerium Oxide Nanoparticles. Chem. Mater. 2006, 18, 5144–5146. [Google Scholar] [CrossRef]
- Movchan, B.A. Study of the Structure and Properties of Thick Vacuum Condensates of Nickel, Titanium, Tungsten, Aluminium Oxide and Zirconium Oxide. Fiz Met Metalloved. 1969, 28. [Google Scholar]
- Grovenor, C.R.M.; Hentzell, H.T.G.; Smith, D.A. The development of grain structure during growth of metallic films. Acta Metall. 1984, 32, 773–781. [Google Scholar] [CrossRef]
- Maier, J. On the Conductivity of Polycrystalline Materials. Berichte der Bunsengesellschaft für physikalische Chemie 1986, 90, 26–33. [Google Scholar] [CrossRef]
- Acharya, S.A.; Gaikwad, V.M.; D’Souza, S.W.; Barman, S.R. Gd/Sm dopant-modified oxidation state and defect generation in nano-ceria. Solid State Ionics 2014, 260, 21–29. [Google Scholar] [CrossRef]
- Kharton, V.V.; Marques, F.M.B.; Atkinson, A. Transport properties of solid oxide electrolyte ceramics: A brief review. Solid State Ionics 2004, 174, 135–149. [Google Scholar] [CrossRef]
- Guo, X.; Vasco, E.; Mi, S.; Szot, K.; Wachsman, E.; Waser, R. Ionic conduction in zirconia films of nanometer thickness. Acta Mater. 2005, 53, 5161–5166. [Google Scholar] [CrossRef]
- Wei, T.; Singh, P.; Gong, Y.; Goodenough, J.B.; Huang, Y.; Huang, K. Sr3-3xNa3xSi3O9-1.5x (x = 0.45) as a superior solid oxide-ion electrolyte for intermediate temperature-solid oxide fuel cells. Energy Environ. Sci. 2014, 7, 1680–1684. [Google Scholar] [CrossRef]
- Tsai, D.-S.; Hsieh, M.-J.; Tseng, J.-C.; Lee, H.-Y. Ionic conductivities and phase transitions of lanthanide rare-earth substituted La2Mo2O9. J. Eur. Ceram. Soc. 2005, 25, 481–487. [Google Scholar] [CrossRef]
- Belousov, V.V. Oxygen-permeable membrane materials based on solid or liquid Bi2O3. MRS Commun. 2013, 3, 225–233. [Google Scholar] [CrossRef]
- Sriubas, M.; Laukaitis, G. The influence of the technological parameters on the ionic conductivity of samarium doped ceria thin films. Mater. Sci. (Medžiagotyra) 2015, 21. [Google Scholar] [CrossRef]







| SBET, m2/g | vg, nm/s | T(hkl)_SiO2 | |||||
|---|---|---|---|---|---|---|---|
| <111> | <200> | <220> | <311> | <222> | <400> | ||
| 6.2 | 1.2 | 0.2 | 0.3 | 0.2 | 3.2 | - | - |
| 6.2 | 1.6 | 0.1 | 3.0 | 0.3 | 0.8 | 1.5 | 0.1 |
| 11.3 | 0.2 | 1.3 | - | 1.7 | 0.2 | 0.7 | - |
| SBET, m2/g | 6.2 | 11.3 | 201.3 |
|---|---|---|---|
| <d>SiO2, nm | 66.5 ± 0.3 | 89.1 ± 0.6 | 91.8 ± 0.8 |
© 2018 by the authors. Licensee MDPI, Basel, Switzerland. This article is an open access article distributed under the terms and conditions of the Creative Commons Attribution (CC BY) license (http://creativecommons.org/licenses/by/4.0/).
Share and Cite
Sriubas, M.; Bockute, K.; Kainbayev, N.; Laukaitis, G. Influence of the Initial Powder’s Specific Surface Area on the Properties of Sm-Doped Ceria Thin Films. Crystals 2018, 8, 443. https://doi.org/10.3390/cryst8120443
Sriubas M, Bockute K, Kainbayev N, Laukaitis G. Influence of the Initial Powder’s Specific Surface Area on the Properties of Sm-Doped Ceria Thin Films. Crystals. 2018; 8(12):443. https://doi.org/10.3390/cryst8120443
Chicago/Turabian StyleSriubas, Mantas, Kristina Bockute, Nursultan Kainbayev, and Giedrius Laukaitis. 2018. "Influence of the Initial Powder’s Specific Surface Area on the Properties of Sm-Doped Ceria Thin Films" Crystals 8, no. 12: 443. https://doi.org/10.3390/cryst8120443
APA StyleSriubas, M., Bockute, K., Kainbayev, N., & Laukaitis, G. (2018). Influence of the Initial Powder’s Specific Surface Area on the Properties of Sm-Doped Ceria Thin Films. Crystals, 8(12), 443. https://doi.org/10.3390/cryst8120443
