Identification of QTLs Controlling α-Glucosidase Inhibitory Activity in Pepper (Capsicum annuum L.) Leaf and Fruit Using Genotyping-by-Sequencing Analysis
Abstract
1. Introduction
2. Materials and Methods
2.1. Plant Materials
2.2. Analysis of AGI Activity in Pepper Leaves and Fruits
- *
- ABScontrol: Absorbance of the no-inhibitor (α-glucosidase + pNPG)
- *
- ABSblank: Absorbance of the blank (triple-distilled water)
- *
- ABSsample: Absorbance of the sample after reaction (α-glucosidase + pNPG + pepper leaf or fruit extract)
- *
- ABSsamplecontrol: Absorbance of the sample without reaction (pepper leaf or fruit extract)
2.3. Statistical Analysis
2.4. DNA Extraction
2.5. GBS Analysis
2.6. Genetic Linkage Mapping
2.7. QTL Analysis
3. Results
3.1. α-Glucosidase Inhibitory Activity in Leaves and Fruits of F2 Pepper Plants
3.2. SNP Identification and Genotyping Using GBS Analysis
3.3. Genetic Linkage Mapping in an F2 Pepper Population
3.4. Identification of QTLs Controlling AGI Activity in Pepper Leaves and Fruits
4. Discussion
5. Conclusions
Supplementary Materials
Author Contributions
Funding
Conflicts of Interest
Abbreviations
| AGI activity | α-glucosidase inhibitory activity |
| AGI | α-glucosidase inhibitor |
| CIM | composite interval mapping |
| eQTL | gene expression QTL |
| GBS | genotyping-by-sequencing |
| LOD | logarithm of the odds |
| MAS | marker-assisted selection |
| mQTL | metabolite QTL |
| pNPG | p-nitrophenyl glucopyranoside |
| QTL | quantitative trait loci |
| SNP | single-nucleotide polymorphism |
References
- Zimmet, P.; Alberti, K.G.; Magliano, D.J.; Bennett, P.H. Diabetes mellitus statistics on prevalence and mortality: Facts and fallacies. Nat. Rev. Endocrinol. 2016, 12, 616–622. [Google Scholar] [CrossRef] [PubMed]
- Blair, M. Diabetes mellitus review. Urol. Nurs. 2016, 36, 27–36. [Google Scholar] [CrossRef]
- Patel, D.; Kumar, R.; Laloo, D.; Hemalatha, S. Natural medicines from plant source used for therapy of diabetes mellitus: An overview of its pharmacological aspects. Asian Pac. J. Trop. Dis. 2012, 2, 239–250. [Google Scholar] [CrossRef]
- Polat, K.; Güneş, S.; Arslan, A. A cascade learning system for classification of diabetes disease: Generalized Discriminant Analysis and Least Square Support Vector Machine. Expert Syst. Appl. 2008, 34, 482–487. [Google Scholar] [CrossRef]
- The Emerging Risk Factors Collaboration. Diabetes mellitus, fasting blood glucose concentration, and risk of vascular disease: A collaborative meta-analysis of 102 prospective studies. Lancet 2010, 375, 2215–2222. [Google Scholar] [CrossRef]
- Aronson, D.; Edelman, E.R. Coronary artery disease and diabetes mellitus. Cardiol. Clin. 2014, 32, 439–455. [Google Scholar] [CrossRef]
- Nishikawa, T.; Edelstein, D.; Brownlee, M. The missing link: A single unifying mechanism for diabetic complications. Kidney Int. 2000, 58, S26–S30. [Google Scholar] [CrossRef]
- Tabish, S.A. Is Diabetes Becoming the Biggest Epidemic of the Twenty-first Century? Int. J. Health Sci. 2007, 1, 5–8. [Google Scholar]
- Rowley, W.R.; Bezold, C.; Arikan, Y.; Byrne, E.; Krohe, S. Diabetes 2030: Insights from Yesterday, Today, and Future Trends. Popul. Health Manag. 2016, 20, 6–12. [Google Scholar] [CrossRef]
- The Global Diabetes Community. Available online: https://www.diabetes.co.uk/diabetes-prevalence.html (accessed on 20 March 2020).
- Kubota, N.; Tobe, K.; Terauchi, Y.; Eto, K.; Yamauchi, T.; Suzuki, R.; Tsubamoto, Y.; Komeda, K.; Nakano, R.; Miki, H.; et al. Disruption of insulin receptor substrate 2 causes type 2 diabetes because of liver insulin resistance and lack of compensatory β-cell hyperplasia. Diabetes 2000, 49, 1880–1889. [Google Scholar] [CrossRef]
- Dong, H.-Q.; Li, M.; Zhu, F.; Liu, F.-L.; Huang, J.-B. Inhibitory potential of trilobatin from Lithocarpus polystachyus Rehd against α-glucosidase and α-amylase linked to type 2 diabetes. Food Chem. 2012, 130, 261–266. [Google Scholar] [CrossRef]
- Holman, R.R.; Cull, C.A.; Turner, R.C. A randomized double-blind trial of acarbose in type 2 diabetes shows improved glycemic control over 3 years (U.K. Prospective Diabetes Study 44). Diabetes Care 1999, 22, 960–964. [Google Scholar] [CrossRef] [PubMed]
- Dabhi, A.S.; Bhatt, N.R.; Shah, M.J. Voglibose: An Alpha Glucosidase Inhibitor. J. Clin. Diagn. Res. 2013, 7, 3023–3027. [Google Scholar] [CrossRef]
- Assefa, S.T.; Yang, E.-Y.; Chae, S.-Y.; Song, M.; Lee, J.; Cho, M.-C.; Jang, S. Alpha Glucosidase Inhibitory Activities of Plants with Focus on Common Vegetables. Plants 2019, 9, 2. [Google Scholar] [CrossRef] [PubMed]
- DeRosa, G.; Maffioli, P. Mini-Special Issue paper Management of diabetic patients with hypoglycemic agents α-Glucosidase inhibitors and their use in clinical practice. Arch. Med. Sci. 2012, 5, 899–906. [Google Scholar] [CrossRef]
- Swinnen, S.G.H.A.; Hoekstra, J.B.; Devries, J.H. Insulin Therapy for Type 2 Diabetes. Diabetes Care 2009, 32, S253–S259. [Google Scholar] [CrossRef]
- Westphal, S.A.; Palumbo, P.J. Insulin and Oral Hypoglycemic Agents Should Not Be Used in Combination in the Treatment of Type 2 Diabetes. Arch. Intern. Med. 2003, 163, 1783–1785. [Google Scholar] [CrossRef]
- Liu, Z.; Ma, S. Recent Advances in Synthetic α-Glucosidase Inhibitors. ChemMedChem 2017, 12, 819–829. [Google Scholar] [CrossRef]
- Wehmeier, U.F.; Piepersberg, W. Biotechnology and molecular biology of the α-glucosidase inhibitor acarbose. Appl. Microbiol. Biotechnol. 2004, 63, 613–625. [Google Scholar] [CrossRef]
- Sels, J.-P.J.; Huijberts, M.S.; Wolffenbuttel, B.H.R. Miglitol, a new α-glucosidase inhibitor. Expert Opin. Pharmacother. 1999, 1, 149–156. [Google Scholar] [CrossRef]
- Kumar, V.; Prakash, O.; Kumar, S.; Narwal, S. α-glucosidase inhibitors from plants: A natural approach to treat diabetes. Pharmacogn. Rev. 2011, 5, 19–29. [Google Scholar] [CrossRef] [PubMed]
- Yin, Z.; Zhang, W.; Feng, F.; Zhang, Y.; Kang, W. α-Glucosidase inhibitors isolated from medicinal plants. Food Sci. Hum. Wellness 2014, 3, 136–174. [Google Scholar] [CrossRef]
- Kwon, Y.-I.; Apostolidis, E.; Shetty, K. Evaluation of Pepper (Capsicum annuum) for Management of Diabetes and Hypertension. J. Food Biochem. 2007, 31, 370–385. [Google Scholar] [CrossRef]
- Chen, L.; Kang, Y.-H. In Vitro Inhibitory Potential Against Key Enzymes Relevant for Hyperglycemia and Hypertension of Red Pepper (Capsicum annuum L.) Including Pericarp, Placenta, and Stalk. J. Food Biochem. 2013, 38, 300–306. [Google Scholar] [CrossRef]
- Park, M.S.; Zhu, Y.X.; Pae, H.O.; Park, S.H. In vitro and in vivo α-glucosidase and α-amylase inhibitory effects of the water extract of leaves of pepper (Capsicum annuum L. cultivar Dangjo) and the active constituent luteolin 7-O-glucoside. J. Food Biochem. 2016, 40, 696–703. [Google Scholar] [CrossRef]
- Kim, Y.-C.; Choi, D.; Lee, J.H.; Lee, S. Alpha-Glucosidase Inhibitory Activity in Different Pepper Cultivars (Capsicum annuum L.). Korean J. Hortic. Sci. 2018, 36, 444–450. [Google Scholar] [CrossRef]
- Kim, J.-S.; Kwon, C.-S.; Son, K.H. Inhibition of Alpha-glucosidase and Amylase by Luteolin, a Flavonoid. Biosci. Biotechnol. Biochem. 2000, 64, 2458–2461. [Google Scholar] [CrossRef]
- Barka, G.D.; Lee, J. Molecular Marker Development and Gene Cloning for Diverse Disease Resistance in Pepper (Capsicum annuum L.): Current Status and Prospects. Plant Breed. Biotechnol. 2020, 8, 89–113. [Google Scholar] [CrossRef]
- Cobb, J.N.; Biswas, P.S.; Platten, J.D. Back to the future: Revisiting MAS as a tool for modern plant breeding. Theor. Appl. Genet. 2018, 132, 647–667. [Google Scholar] [CrossRef]
- Peleman, J.D.; Van Der Voort, J.R. Breeding by Design. Trends Plant Sci. 2003, 8, 330–334. [Google Scholar] [CrossRef]
- Kumar, J.; Gupta, D.S.; Gupta, S.; Dubey, S.; Gupta, P.; Kumar, S. Quantitative trait loci from identification to exploitation for crop improvement. Plant Cell Rep. 2017, 36, 1187–1213. [Google Scholar] [CrossRef] [PubMed]
- Cho, M.C.; Yang, E.Y.; Rhee, H.I.; Chae, S.Y.; Jeong, H.B.; Chae, Y.; Pae, D.H.; Ko, K.D. Breeding of functional pepper (Capsicum annuum) variety ‘Wongi No. 1’. Hortic. Sci. Technol. 2009, 27 (Suppl. 2), 82–83. [Google Scholar]
- Venables, W.N.; Smith, D.M.; The R Core Team. An Introduction to R: Notes on R, a Programming Environment for Data Analysis and Graphics. 2020. Available online: http://www.r-project.org/ (accessed on 22 September 2020).
- Peterson, B.G.; Carl, P.; Boudt, K.; Bennett, R.; Ulrich, J.; Zivot, E.; Cornily, D.; Hung, E.; Lestel, M.; Balissoon, K.; et al. Package ‘PerformanceAnalytics’; R Team Cooperation: Vienna, Austria, 2020. [Google Scholar]
- Lee, Y.R.; Lee, J. A genetic linkage map of allo-octoploid strawberry (Fragaria × ananassa Duch.) using SNP markers. Korean J. Breed. Sci. 2017, 49, 119–128. [Google Scholar]
- Eun, M.H.; Han, J.-H.; Yoon, J.B.; Lee, J. QTL mapping of resistance to the Cucumber mosaic virus P1 strain in pepper using a genotyping-by-sequencing analysis. Hortic. Environ. Biotechnol. 2016, 57, 589–597. [Google Scholar] [CrossRef]
- Martin, M. Cutadapt removes adapter sequences from high-throughput sequencing reads. EMBnet J. 2011, 17, 10. [Google Scholar] [CrossRef]
- Cox, M.; Peterson, D.A.; Biggs, P.J. SolexaQA: At-a-glance quality assessment of Illumina second-generation sequencing data. BMC Bioinform. 2010, 11, 485. [Google Scholar] [CrossRef] [PubMed]
- Kim, S.; Park, M.; Yeom, S.-I.; Kim, Y.-M.; Lee, J.M.; Lee, H.-A.; Seo, E.; Choi, J.; Cheong, K.; Kim, K.-T.; et al. Genome sequence of the hot pepper provides insights into the evolution of pungency in Capsicum species. Nat. Genet. 2014, 46, 270–278. [Google Scholar] [CrossRef]
- Li, H.; Durbin, R. Fast and accurate short read alignment with Burrows-Wheeler transform. Bioinformatics 2009, 25, 1754–1760. [Google Scholar] [CrossRef]
- Li, H.; Handsaker, B.; Wysoker, A.; Fennell, T.; Ruan, J.; Homer, N.; Marth, G.; Abecasis, G.; Durbin, R. 1,000 Genome Project Data Processing Subgroup. The sequence alignment/map format and SAMtools. Bioinformatics 2009, 25, 2078–2079. [Google Scholar]
- Kim, J.-E.; Oh, S.-K.; Lee, J.-H.; Lee, B.-M.; Jo, S.-H. Genome-wide SNP calling using next generation sequencing data in tomato. Mol. Cells 2014, 37, 36–42. [Google Scholar] [CrossRef]
- Kosambi, D.D. The Estimation of Map Distances from Recombination Values. Ann. Eugen. 1943, 12, 172–175. [Google Scholar] [CrossRef]
- Voorrips, R.E. MapChart: Software for the graphical presentation of linkage maps and QTLs. J. Hered. 2002, 93, 77–78. [Google Scholar] [CrossRef] [PubMed]
- Silva, L.D.C.E.; Wang, S.; Zeng, Z.B. Composite interval mapping and multiple interval mapping: Procedures and guidelines for using Windows QTL Cartographer. In Quantitative Trait Loci (QTL); Humana Press: Totowa, NJ, USA, 2012; pp. 75–119. [Google Scholar]
- Kim, S.; Park, J.; Yeom, S.-I.; Kim, Y.-M.; Seo, E.; Kim, K.-T.; Kim, M.-S.; Lee, J.M.; Cheong, K.; Shin, H.-S.; et al. New reference genome sequences of hot pepper reveal the massive evolution of plant disease-resistance genes by retroduplication. Genome Biol. 2017, 18, 210. [Google Scholar] [CrossRef]
- Poland, J.A.; Rife, T.W. Genotyping-by-Sequencing for Plant Breeding and Genetics. Plant Genome 2012, 5, 92–102. [Google Scholar] [CrossRef]
- Yang, L.; Wen, K.-S.; Ruan, X.; Zhao, Y.-X.; Wei, F.; Wang, Q. Response of Plant Secondary Metabolites to Environmental Factors. Molecules 2018, 23, 762. [Google Scholar] [CrossRef]
- Lemos, V.C.; Reimer, J.J.; Wormit, A. Color for Life: Biosynthesis and Distribution of Phenolic Compounds in Pepper (Capsicum annuum). Agriculture 2019, 9, 81. [Google Scholar] [CrossRef]
- Wahyuni, Y.; Stahl-Hermes, V.; Ballester, A.-R.; De Vos, R.C.H.; Voorrips, R.E.; Maharijaya, A.; Molthoff, J.; Zamora, M.V.; Sudarmonowati, E.; Arisi, A.C.M.; et al. Genetic mapping of semi-polar metabolites in pepper fruits (Capsicum sp.): Towards unravelling the molecular regulation of flavonoid quantitative trait loci. Mol. Breed. 2013, 33, 503–518. [Google Scholar] [CrossRef]





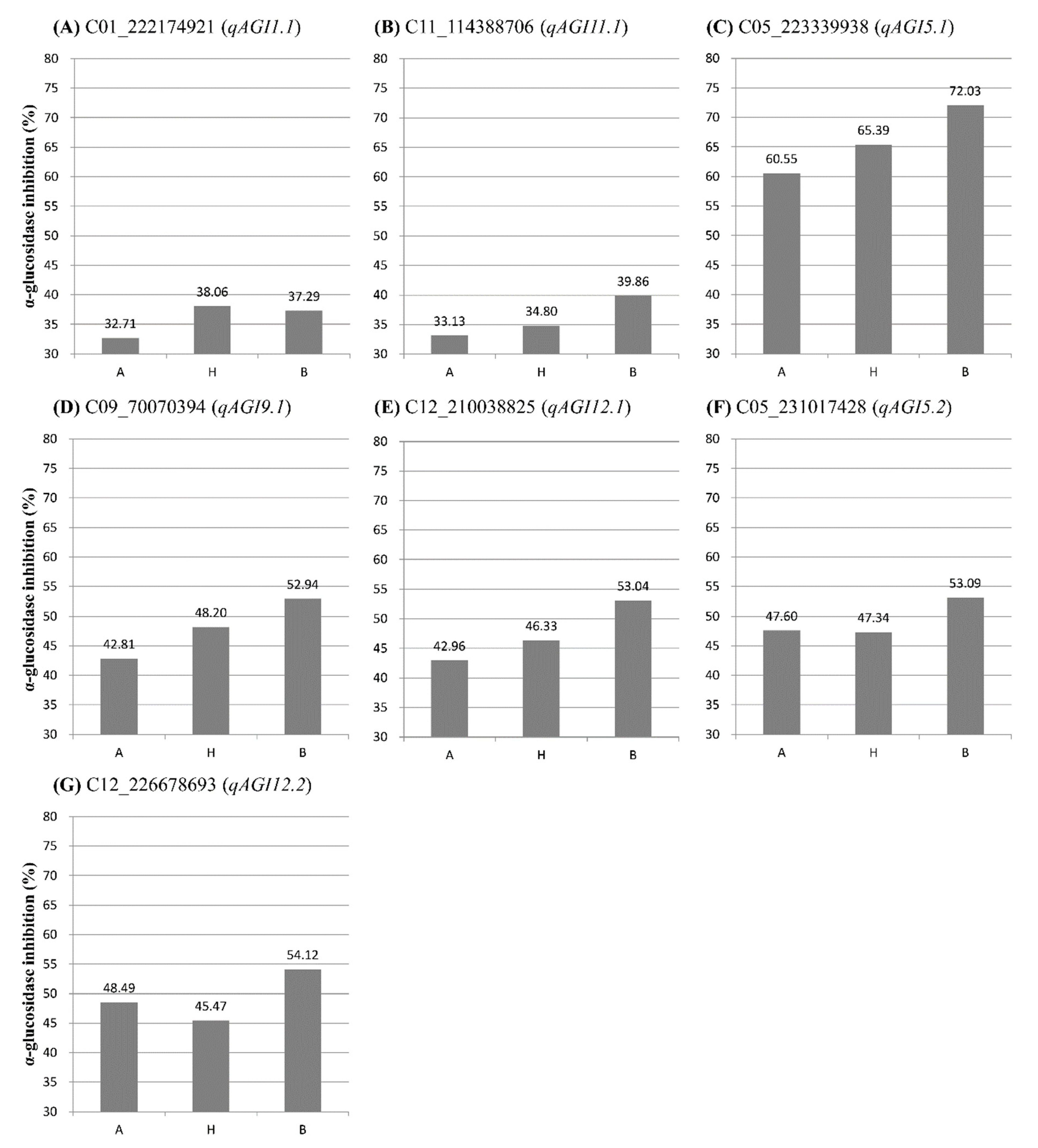
| Sample Type and Collection Time | QTL | Marker Interval of QTL Region | QTL Peak Position (cM) | Additive Effect | Dominance Effect | R2a (%) | LOD b Score | LOD c Threshold |
|---|---|---|---|---|---|---|---|---|
| Leaves in April | qAGI1.1 | C01_222185987-C01_222174921 | 179.72 | −3.67 | 3.34 | 6.22 | 3.20 | 3.18 |
| qAGI11.1 | C11_114388706-C11_77970167 | 107.16 | −2.97 | −2.27 | 12.96 | 3.30 | 3.18 | |
| Leaves in July | qAGI5.1 | C05_203360201-C05_223379175 | 114.70 | −4.87 | −4.06 | 15.57 | 5.65 | 3.34 |
| Leaves in October | qAGI9.1 | C09_70070394-C09_64873309 | 109.15 | −6.72 | 0.63 | 8.05 | 4.05 | 3.34 |
| qAGI12.1 | C12_203983726-C12_214045543 | 118.08 | −5.84 | −0.34 | 8.54 | 3.72 | 3.34 | |
| Fruits in October | qAGI5.2 | C05_231017428-C05_233235463 | 150.92 | −4.75 | −4.44 | 6.34 | 3.93 | 3.85 |
| qAGI12.2 | C12_226881713-C12_226678693 | 148.02 | −1.25 | −6.07 | 6.78 | 4.13 | 3.85 |
© 2020 by the authors. Licensee MDPI, Basel, Switzerland. This article is an open access article distributed under the terms and conditions of the Creative Commons Attribution (CC BY) license (http://creativecommons.org/licenses/by/4.0/).
Share and Cite
Park, D.; Barka, G.D.; Yang, E.-Y.; Cho, M.-C.; Yoon, J.B.; Lee, J. Identification of QTLs Controlling α-Glucosidase Inhibitory Activity in Pepper (Capsicum annuum L.) Leaf and Fruit Using Genotyping-by-Sequencing Analysis. Genes 2020, 11, 1116. https://doi.org/10.3390/genes11101116
Park D, Barka GD, Yang E-Y, Cho M-C, Yoon JB, Lee J. Identification of QTLs Controlling α-Glucosidase Inhibitory Activity in Pepper (Capsicum annuum L.) Leaf and Fruit Using Genotyping-by-Sequencing Analysis. Genes. 2020; 11(10):1116. https://doi.org/10.3390/genes11101116
Chicago/Turabian StylePark, Doie, Geleta Dugassa Barka, Eun-Young Yang, Myeong-Cheoul Cho, Jae Bok Yoon, and Jundae Lee. 2020. "Identification of QTLs Controlling α-Glucosidase Inhibitory Activity in Pepper (Capsicum annuum L.) Leaf and Fruit Using Genotyping-by-Sequencing Analysis" Genes 11, no. 10: 1116. https://doi.org/10.3390/genes11101116
APA StylePark, D., Barka, G. D., Yang, E.-Y., Cho, M.-C., Yoon, J. B., & Lee, J. (2020). Identification of QTLs Controlling α-Glucosidase Inhibitory Activity in Pepper (Capsicum annuum L.) Leaf and Fruit Using Genotyping-by-Sequencing Analysis. Genes, 11(10), 1116. https://doi.org/10.3390/genes11101116

