Integrated Transcriptional and Metabolomic Analysis of Factors Influencing Root Tuber Enlargement during Early Sweet Potato Development
Abstract
1. Introduction
2. Materials and Methods
2.1. Experimental Materials and Treatment
2.2. Phenotypic and Anatomical Observation
2.3. Determination of Sucrose, Total Soluble Sugar and Starch
2.4. Transcriptome Analysis
2.4.1. RNA Extraction and Identification
2.4.2. Library Construction and Sequencing
2.4.3. Data Quality Control, Sequence Alignment and Comments
2.4.4. Transcriptome Data Analysis
2.5. Metabonomic Analysis
2.5.1. Extraction of Samples
2.5.2. Conditions for Metabolite Extraction and Detection in Non-Targeted Metabolic Group
2.5.3. Metabolome Data Analysis
2.6. Combined Transcriptome and Metabolome Analysis
3. Results
3.1. Phenotypic Identification at Different Growth Stages
3.2. Anatomical Analysis of Differentiated Roots of Sweet Potato
3.3. Changes of Sucrose, Soluble Sugar, and Starch during the Development of Sweet Potato
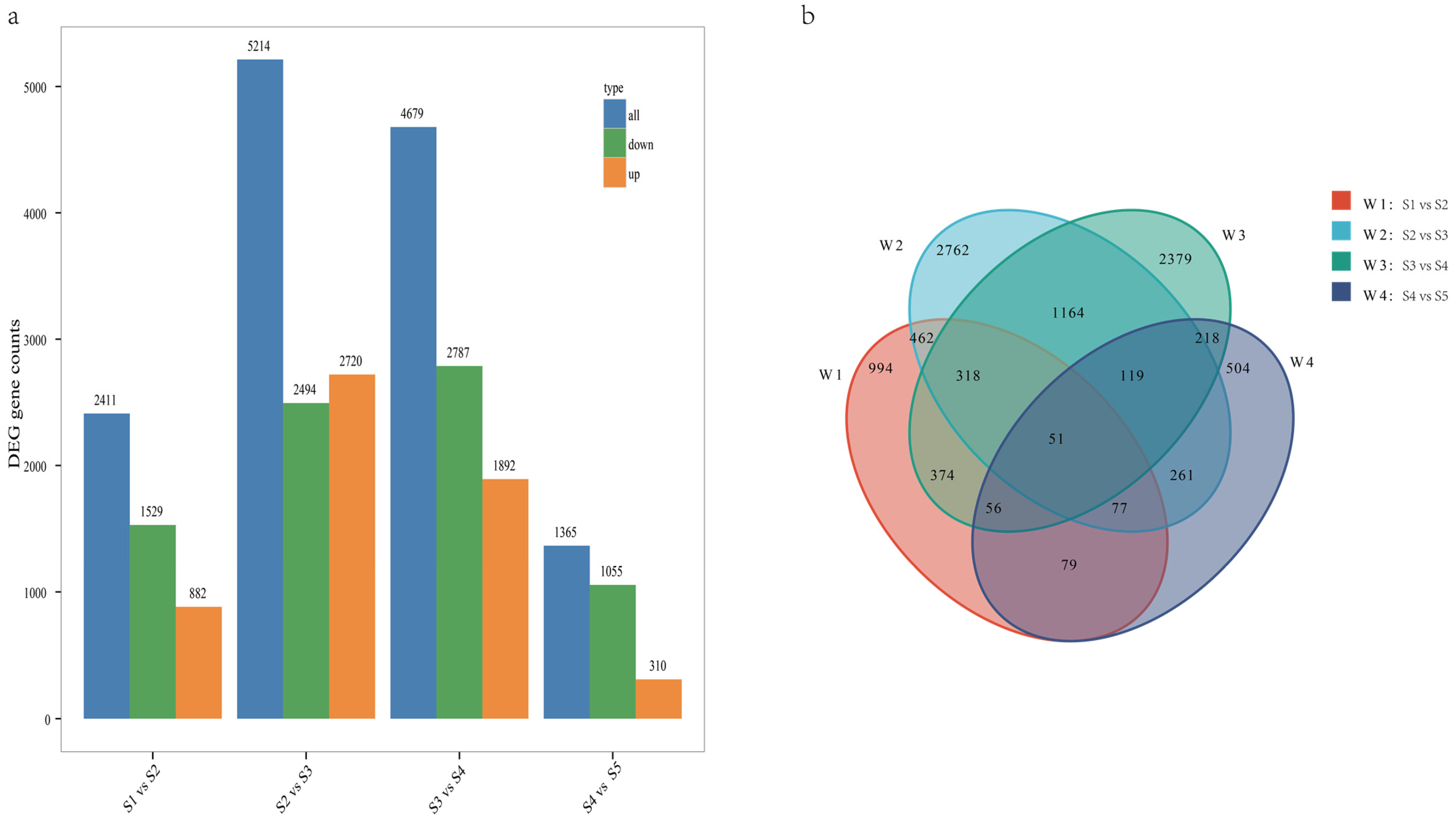
3.4. Transcriptome Analysis of Sweet Potato Roots at Different Developmental Stages
3.5. Identification of WGCNA Modules of Differentially Expressed Genes
3.6. Transcription Factor Analysis
3.7. Accumulation and Difference Analysis of Metabolites during Root Development of Sweet Potato
3.8. K-Means Cluster Analysis of Differential Metabolites
3.9. Identification of Differential Metabolite WGCNA Modules
3.10. Combined Analysis of Transcriptome and Metabolome
4. Discussion
5. Conclusions
Supplementary Materials
Author Contributions
Funding
Institutional Review Board Statement
Informed Consent Statement
Data Availability Statement
Acknowledgments
Conflicts of Interest
References
- Cai, Z.Q.; Cai, Z.P.; Huang, J.L.; Wang, A.Q.; Ntambiyukuri, A.; Chen, B.M.; Zheng, G.H.; Li, H.F.; Huang, Y.M.; Zhan, J.; et al. Transcriptomic analysis of tuberous root in two sweet potato varieties reveals the important genes and regulatory pathways in tuberous root development. BMC Genom. 2022, 23, 19. [Google Scholar] [CrossRef] [PubMed]
- Wang, Z.Y.; Li, J.; Luo, Z.X.; Huang, L.F.; Chen, X.L.; Fang, B.P.; Li, Y.J.; Chen, J.Y.; Zhang, X.J. Characterization and development of EST-derived SSR markers in cultivated sweetpotato (Ipomoea batatas). BMC Plant Biol. 2011, 11, 9. [Google Scholar] [CrossRef] [PubMed]
- Gao, Z.Y.; Hu, Y.Y.; Han, M.K.; Xu, J.J.; Wang, X.; Liu, L.F.; Tang, Z.H.; Jiao, W.J.; Jin, R.; Liu, M.; et al. Effects of continuous cropping of sweet potatoes on the bacterial community structure in rhizospheric soil. BMC Microbiol. 2021, 21, 13. [Google Scholar] [CrossRef] [PubMed]
- Sapakhova, Z.; Raissova, N.; Daurov, D.; Zhapar, K.; Daurova, A.; Zhigailov, A.; Zhambakin, K.; Shamekova, M. Sweet Potato as a Key Crop for Food Security under the Conditions of Global Climate Change: A Review. Plants 2023, 12, 24. [Google Scholar] [CrossRef] [PubMed]
- Vithu, P.; Dash, S.K.; Rayaguru, K. Post-Harvest Processing and Utilization of Sweet Potato: A Review. Food Rev. Int. 2019, 35, 726–762. [Google Scholar]
- Khan, S.H. Sweet potato (Ipomoea batatas (L.) Lam) as feed ingredient in poultry diets. Worlds Poult. Sci. J. 2017, 73, 77–88. [Google Scholar] [CrossRef]
- Mussoline, W.A.; Wilkie, A.C. Feed and fuel: The dual-purpose advantage of an industrial sweetpotato. J. Sci. Food Agric. 2017, 97, 1573–1581. [Google Scholar] [CrossRef]
- Ma, J.; Aloni, R.; Villordon, A.; Labonte, D.; Kfir, Y.; Zemach, H.; Schwartz, A.; Althan, L.; Firon, N. Adventitious root primordia formation and development in stem nodes of ‘Georgia Jet’ sweetpotato, Ipomoea batatas. Am. J. Bot. 2015, 102, 1040–1049. [Google Scholar] [CrossRef]
- Villordon, A.Q.; La Bonte, D.R.; Firon, N.; Kfir, Y.; Pressman, E.; Schwartz, A. Characterization of Adventitious Root Development in Sweetpotato. Hortscience 2009, 44, 651–655. [Google Scholar] [CrossRef]
- Tanaka, M.; Kato, N.; Nakayama, H.; Nakatani, M.; Takahata, Y. Expression of class I knotted1-like homeobox genes in the storage roots of sweetpotato (Ipomoea batatas). J. Plant Physiol. 2008, 165, 1726–1735. [Google Scholar] [CrossRef]
- Tanaka, M.; Takahata, Y.; Nakatani, M. Analysis of genes developmentally regulated during storage root formation of sweet potato. J. Plant Physiol. 2005, 162, 91–102. [Google Scholar] [CrossRef] [PubMed]
- Wang, S.J.; Chen, M.H.; Yeh, K.W.; Tsai, C.Y. Changes in Carbohydrate Content and Gene Expression During Tuberous Root Development of Sweet Potato. J. Plant Biochem. Biotechnol. 2013, 15, 21–25. [Google Scholar] [CrossRef]
- Dong, T.T.; Zhu, M.K.; Yu, J.W.; Han, R.P.; Tang, C.; Xu, T.; Liu, J.R.; Li, Z.Y. RNA-Seq and iTRAQ reveal multiple pathways involved in storage root formation and development in sweet potato (Ipomoea batatas L.). BMC Plant Biol. 2019, 19, 16. [Google Scholar] [CrossRef] [PubMed]
- Song, W.H.; Yan, H.; Ma, M.; Kou, M.; Li, C.; Tang, W.; Yu, Y.C.; Hao, Q.X.; Nguyen, T.; Wang, X.; et al. Comparative Transcriptome Profiling Reveals the Genes Involved in Storage Root Expansion in Sweetpotato (Ipomoea batatas (L.) Lam.). Genes 2022, 13, 14. [Google Scholar] [CrossRef] [PubMed]
- Firon, N.; LaBonte, D.; Villordon, A.; Kfir, Y.; Solis, J.; Lapis, E.; Perlman, T.S.; Doron-Faigenboim, A.; Hetzroni, A.; Althan, L.; et al. Transcriptional profiling of sweetpotato (Ipomoea batatas) roots indicates down-regulation of lignin biosynthesis and up-regulation of starch biosynthesis at an early stage of storage root formation. BMC Genom. 2013, 14, 24. [Google Scholar] [CrossRef]
- He, Y.; Zhu, D.; Sun, Y.J.; Wang, Q.; Zhu, L.; Zeng, H.L. Metabonomic Profiling Analyses Reveal ANS Upregulation to Enhance the Flavonoid Pathway of Purple-Fleshed Sweet Potato Storage Root in Response to Deep Shading. Agronomy 2021, 11, 25. [Google Scholar] [CrossRef]
- Zhang, R.; Li, M.; Tang, C.C.; Jiang, B.Z.; Yao, Z.F.; Mo, X.Y.; Wang, Z.Y. Combining Metabolomics and Transcriptomics to Reveal the Mechanism of Coloration in Purple and Cream Mutant of Sweet Potato (Ipomoea batatas L.). Front. Plant Sci. 2022, 13, 15. [Google Scholar] [CrossRef]
- Zhao, L.X.; Zhao, D.L.; Xiao, S.Z.; Zhang, A.; Deng, Y.T.; Dai, X.B.; Zhou, Z.L.; Ji, Z.X.; Cao, Q.H. Comparative Metabolomic and Transcriptomic Analyses of Phytochemicals in Two Elite Sweet Potato Cultivars for Table Use. Molecules 2022, 27, 15. [Google Scholar] [CrossRef]
- Mao, X.; Cai, T.; Olyarchuk, J.G.; Wei, L. Automated genome annotation and pathway identification using the KEGG Orthology (KO) as a controlled vocabulary. Bioinformatics 2005, 21, 3787–3793. [Google Scholar] [CrossRef]
- Sawada, S.; Sato, M.; Kasai, A.; Yaochi, D.; Kameya, Y.; Matsumoto, I.; Kasai, M. Analysis of the feed-forward effects of sink activity on the photosynthetic source-sink balance in single-rooted sweet potato leaves. I. Activation of RuBPcase through the development of sinks. Plant Cell Physiol. 2003, 44, 190–197. [Google Scholar] [CrossRef][Green Version]
- He, S.T.; Wang, H.X.; Hao, X.M.; Wu, Y.L.; Bian, X.F.; Yin, M.H.; Zhang, Y.D.; Fan, W.J.; Dai, H.; Yuan, L.; et al. Dynamic network biomarker analysis discovers IbNAC083 in the initiation and regulation of sweet potato root tuberization. Plant J. 2021, 108, 793–813. [Google Scholar] [CrossRef] [PubMed]
- Kuznetsova, K.A.; Dodueva, I.E.; Pautov, A.A.; Krylova, E.G.; Lutova, L.A. Genetic Control of Storage Root Development. Russ. J. Plant Physiol. 2020, 67, 589–605. [Google Scholar] [CrossRef]
- Xiong, Y.F.; Tian, C.X.; Zhu, J.J.; Zhang, S.J.; Wang, X.; Chen, W.X.; Han, Y.H.; Du, Y.Z.; Wu, Z.D.; Zhang, K. Dynamic changes of starch properties, sweetness, and (3-amylases during the development of sweet potato storage roots. Food Biosci. 2024, 61, 11. [Google Scholar] [CrossRef]
- Bahaji, A.; Li, J.; Sánchez-López, A.M.; Baroja-Fernández, E.; Muñoz, F.J.; Ovecka, M.; Almagro, G.; Montero, M.; Ezquer, I.; Etxeberria, E.; et al. Starch biosynthesis, its regulation and biotechnological approaches to improve crop yields. Biotechnol. Adv. 2014, 32, 87–106. [Google Scholar] [CrossRef] [PubMed]
- Hattori, T.; Yoshida, N.; Nakamura, K. Structural relationship among the members of a multigene family coding for the sweet potato tuberous root storage protein. Plant Mol. Biol. 1989, 13, 563–572. [Google Scholar] [CrossRef] [PubMed]
- Zhou, R.N.; Zhao, Y.J.; Cheng, P.; Zhang, B.S.; Liu, Z.; Wang, S.H.; Li, H.B.; Chen, Q.S.; Zhao, Y.; Li, S.N.; et al. GmBBM7 promotes callus and root growth during somatic embryogenesis of soybean (Glycine max). Biotechnol. Biotechnol. Equip. 2023, 37, 14. [Google Scholar] [CrossRef]
- Xie, C.T.; Ding, Z.J. NAC1 Maintains Root Meristem Activity by Repressing the Transcription of E2Fa in Arabidopsis. Int. J. Mol. Sci. 2022, 23, 13. [Google Scholar] [CrossRef]
- Makkena, S.; Lamb, R.S. The bHLH transcription factor SPATULA regulates root growth by controlling the size of the root meristem. BMC Plant Biol. 2013, 13, 15. [Google Scholar] [CrossRef]
- Feng, C.; Andreasson, E.; Maslak, A.; Mock, H.P.; Mattsson, O.; Mundy, J. Arabidopsis MYB68 in development and responses to environmental cues. Plant Sci. 2004, 167, 1099–1107. [Google Scholar] [CrossRef]
- Frugier, F.; Poirier, S.; Satiat-Jeunemaitre, B.; Kondorosi, A.; Crespi, M. A Kruppel-like zinc finger protein is involved in nitrogen-fixing root nodule organogenesis. Genes Dev. 2000, 14, 475–482. [Google Scholar] [CrossRef]
- Piontek, K.; Smith, A.T.; Blodig, W. Lignin peroxidase structure and function. Biochem. Soc. Trans. 2001, 29, 111–116. [Google Scholar] [CrossRef] [PubMed]
- Du, T.F.; Qin, Z.; Zhou, Y.Y.; Zhang, L.; Wang, Q.M.; Li, Z.Y.; Hou, F.Y. Comparative Transcriptome Analysis Reveals the Effect of Lignin on Storage Roots Formation in Two Sweetpotato (Ipomoea batatas (L.) Lam.) Cultivars. Genes 2023, 14, 17. [Google Scholar] [CrossRef] [PubMed]
- Denness, L.; McKenna, J.F.; Segonzac, C.; Wormit, A.; Madhou, P.; Bennett, M.; Mansfield, J.; Zipfel, C.; Hamann, T. Cell Wall Damage-Induced Lignin Biosynthesis Is Regulated by a Reactive Oxygen Species- and Jasmonic Acid-Dependent Process in Arabidopsis. Plant Physiol. 2011, 156, 1364–1374. [Google Scholar] [CrossRef] [PubMed]
- Soltani, B.M.; Ehlting, J.; Hamberger, B.; Douglas, C.J. Multiple cis-regulatory elements regulate distinct and complex patterns of developmental and wound-induced expression of Arabidopsis thaliana 4CL gene family members. Planta 2006, 224, 1226–1238. [Google Scholar] [CrossRef] [PubMed]
- Xin, Q.; Liu, B.D.; Sun, J.; Fan, X.G.; Li, X.X.; Jiang, L.H.; Hao, G.F.; Pei, H.S.; Zhou, X.Q. Heat Shock Treatment Promoted Callus Formation on Postharvest Sweet Potato by Adjusting Active Oxygen and Phenylpropanoid Metabolism. Agriculture 2022, 12, 15. [Google Scholar] [CrossRef]
- Coman, D.; Altenhoff, A.; Zoller, S.; Gruissem, W.; Vranová, E. Distinct evolutionary strategies in the GGPPS family from plants. Front. Plant Sci. 2014, 5, 12. [Google Scholar] [CrossRef]
- Ainsworth, E.A.; Bush, D.R. Carbohydrate Export from the Leaf: A Highly Regulated Process and Target to Enhance Photosynthesis and Productivity. Plant Physiol. 2011, 155, 64–69. [Google Scholar] [CrossRef]
- Santt, O.; Pfirrmann, T.; Braun, B.; Juretschke, J.; Kimmig, P.; Scheel, H.; Hofmann, K.; Thumm, M.; Wolf, D.H. The yeast GID complex, a novel ubiquitin ligase (E3) involved in the regulation of carbohydrate metabolism. Mol. Biol. Cell 2008, 19, 3323–3333. [Google Scholar] [CrossRef]
- Daie, J. Cytosolic fructose-1,6-bisphosphatase: A key enzyme in the sucrose biosynthetic pathway. Photosynth. Res. 1993, 38, 5–14. [Google Scholar] [CrossRef]
- Zrenner, R.; Salanoubat, M.; Willmitzer, L.; Sonnewald, U. Evidence of the crucial role of sucrose synthase for sink strength using transgenic potato plants (Solanum tuberosum L.). Plant J. Cell Mol. Biol. 1995, 7, 97–107. [Google Scholar] [CrossRef]
- Rouhier, H.; Usuda, H. Spatial and temporal distribution of sucrose synthase in the radish hypocotyl in relation to thickening growth. Plant Cell Physiol. 2001, 42, 583–593. [Google Scholar] [CrossRef] [PubMed]
- Vernoux, T.; Wilson, R.C.; Seeley, K.A.; Reichheld, J.P.; Muroy, S.; Brown, S.; Maughan, S.C.; Cobbett, C.S.; Van Montagu, M.; Inze, D.; et al. The ROOT MERISTEMLESS1/CADMIUM SENSITIVE2 gene defines a glutathione-dependent pathway involved in initiation and maintenance of cell division during postembryonic root development. Plant Cell 2000, 12, 97–110. [Google Scholar] [CrossRef]
- Lejay, L.; Wirth, J.; Pervent, M.; Cross, J.M.-F.; Tillard, P.; Gojon, A. Oxidative pentose phosphate pathway-dependent sugar sensing as a mechanism for regulation of root ion transporters by photosynthesis. Plant Physiol. 2008, 146, 2036–2053. [Google Scholar] [CrossRef] [PubMed]
- Zhang, L.L.; Zhang, X.; Wang, X.J.; Xu, J.; Wang, M.; Li, L.; Bai, G.H.; Fang, H.; Hu, S.T.; Li, J.G.; et al. SEED CAROTENOID DEFICIENT Functions in Isoprenoid Biosynthesis via the Plastid MEP Pathway. Plant Physiol. 2019, 179, 1723–1738. [Google Scholar] [CrossRef] [PubMed]
- Hardtke, C.S. Dispatch. Gibberellin signaling: GRASs growing roots dispatch. Curr. Biol. CB 2003, 13, R366–R367. [Google Scholar] [CrossRef]
- Kasahara, H. Current aspects of auxin biosynthesis in plants. Biosci. Biotechnol. Biochem. 2016, 80, 34–42. [Google Scholar] [CrossRef]
- Borchert, S.; Harborth, J.; Schunemann, D.; Hoferichter, P.; Heldt, H.W. Studies of the Enzymic Capacities and Transport Properties of Pea Root Plastids. Plant Physiol. 1993, 101, 303–312. [Google Scholar] [CrossRef]










| Stage | Replica | Root Length (cm) | M ± SD | Diameter of Main Root (mm) | M ± SD | Number of Roots | M ± SD | Stem Length (cm) | M ± SD | Stem Diameter (mm) | M ± SD | Blade Weight (g) | M ± SD | Stem Weight (g) | M ± SD | Overground Weight (g) | M ± SD | Fresh Root Weight (g) | M ± SD |
|---|---|---|---|---|---|---|---|---|---|---|---|---|---|---|---|---|---|---|---|
| S1 | 1 | 23.8 | 21.9 ± 4.6 | 0.986 | 0.93 ± 0.22 | 9 | 11.8 ± 4.66 | 18.5 | 15.2 ± 3.78 | 4.38 | 4.58 ± 0.23 | 13.63 | 15.08 ± 2.11 | 2.91 | 2.5 ± 0.65 | 16.59 | 17.58 ± 1.68 | 4.86 | 6.28 ± 1.83 |
| 2 | 26.2 | 1.276 | 14 | 15 | 4.33 | 16.22 | 2.48 | 18.69 | 8.96 | ||||||||||
| 3 | 18.3 | 0.856 | 8 | 12 | 4.84 | 18.02 | 1.97 | 19.98 | 5.27 | ||||||||||
| 4 | 25.4 | 0.676 | 9 | 19.5 | 4.76 | 12.71 | 3.36 | 16.06 | 4.91 | ||||||||||
| 5 | 15.8 | 0.836 | 19 | 11 | 4.61 | 14.81 | 1.78 | 16.58 | 7.41 | ||||||||||
| S2 | 1 | 42.1 | 37.86 ± 6.26 | 1.01 | 1.20 ± 0.11 | 13 | 15.6 ± 2.07 | 23 | 18.3 ± 6.14 | 4.36 | 4.59 ± 0.49 | 15.62 | 18.95 ± 2.7 | 3.68 | 3.5 ± 0.92 | 19.36 | 22.42 ± 3.15 | 12.18 | 14.53 ± 2.07 |
| 2 | 40.8 | 1.22 | 14 | 26.5 | 4.97 | 21.39 | 4.83 | 26.26 | 16.52 | ||||||||||
| 3 | 34 | 1.254 | 16 | 15 | 4.37 | 19.15 | 3.46 | 22.65 | 14.08 | ||||||||||
| 4 | 28.8 | 1.304 | 17 | 15 | 5.21 | 21.73 | 3.29 | 24.66 | 16.82 | ||||||||||
| 5 | 43.6 | 1.19 | 18 | 12 | 4.03 | 16.88 | 2.26 | 19.18 | 13.07 | ||||||||||
| S3 | 1 | 41.8 | 34.51 ± 8.8 | 3.898 | 3.15 ± 0.61 | 12 | 10.8 ± 2.17 | 36 | 47 ± 15.86 | 5.3 | 5.93 ± 0.9 | 55.98 | 63.26 ± 27.18 | 14.15 | 19.38 ± 8.79 | 70.66 | 83.40 ± 36.27 | 36.25 | 32.45 ± 6.76 |
| 2 | 45 | 2.364 | 13 | 40 | 6.67 | 43.74 | 14.6 | 59.07 | 28.14 | ||||||||||
| 3 | 25.14 | 2.844 | 12 | 51 | 5.27 | 71.91 | 20.18 | 92.5 | 40 | ||||||||||
| 4 | 33.7 | 3.608 | 9 | 73 | 7.14 | 106.1 | 34.37 | 142.31 | 34.75 | ||||||||||
| 5 | 26.9 | 3.03 | 8 | 35 | 5.28 | 38.56 | 13.6 | 52.48 | 23.09 | ||||||||||
| S4 | 1 | 27.6 | 26.62 ± 6.38 | 7.486 | 6.46 ± 1.03 | 16 | 10.8 ± 3.7 | 55 | 65.2 ± 21.46 | 6.38 | 6.13 ± 0.72 | 107.43 | 100.38 ± 31.4 | 23.09 | 32.69 ± 16.67 | 130.52 | 133.06 ± 46.39 | 48.17 | 37.64 ± 7.98 |
| 2 | 27.5 | 7.204 | 13 | 94 | 6.4 | 136.04 | 48.74 | 184.78 | 42.59 | ||||||||||
| 3 | 16 | 4.846 | 7 | 48 | 5.91 | 63.68 | 12.54 | 76.22 | 28.1 | ||||||||||
| 4 | 33.2 | 6.238 | 8 | 47 | 5.03 | 72.3 | 28.07 | 100.37 | 32.38 | ||||||||||
| 5 | 28.8 | 6.52 | 10 | 82 | 6.94 | 122.43 | 50.99 | 173.42 | 36.95 | ||||||||||
| S5 | 1 | 19.4 | 21.28 ± 2.06 | 14.508 | 13.04 ± 1.44 | 15 | 16 ± 2.92 | 62 | 69 ± 9.43 | 7.59 | 6.54 ± 1.07 | 108.05 | 103.26 ± 28.81 | 34.98 | 34.49 ± 4.77 | 143.03 | 137.35 ± 33.75 | 88.07 | 88.86 ± 15.9 |
| 2 | 23.5 | 12.922 | 16 | 77 | 7.81 | 151.5 | 42.44 | 193.94 | 116 | ||||||||||
| 3 | 22.9 | 12.308 | 12 | 58 | 5.64 | 82.3 | 33.25 | 113.55 | 78.22 | ||||||||||
| 4 | 21.7 | 14.39 | 17 | 68 | 5.86 | 84.36 | 31.17 | 115.53 | 85.37 | ||||||||||
| 5 | 18.9 | 11.088 | 20 | 80 | 5.78 | 90.07 | 30.61 | 120.68 | 76.66 |
| Growing Days (d) | Transverse Section Diameter (μm) | Cross Section Area (μm2) | Cortical Thickness (μm) | Number of Primary Xylem | Number of Secondary Xylem |
|---|---|---|---|---|---|
| 7 | 552.84 ± 29.44a | 2.4 ± 0.26a | 336.81 ± 44.77a | 26.5 ± 4.2a | 11.75 ± 2.75a |
| 14 | 616.41 ± 88.93a | 3.03 ± 0.9a | 345.48 ± 48.21a | 32.75 ± 3.77a | 13.5 ± 3.7a |
| 21 | 1063.96 ± 69.61b | 8.91 ± 1.14b | 614.49 ± 43.5b | 81.5 ± 7.19b | 20.75 ± 1.71b |
| Classification of Metabolites | Number |
|---|---|
| Carboxylic acids and derivatives | 292 |
| Prenol lipids | 268 |
| Fatty acyls | 264 |
| Organooxygen compounds | 261 |
| Steroids and steroid derivatives | 111 |
| Flavonoids | 99 |
| Benzene and substituted derivatives | 93 |
| Phenols | 43 |
| Indoles and derivatives | 41 |
| Cinnamic acids and derivatives | 39 |
| Organonitrogen compounds | 35 |
| Coumarins and derivatives | 33 |
| Hydroxy acids and derivatives | 29 |
| Purine nucleotides | 28 |
| Pteridines and derivatives | 26 |
| Purine nucleosides | 24 |
| Glycerophospholipids | 23 |
| Isoflavonoids | 22 |
| Pyrimidine nucleosides | 22 |
| Glycerolipids | 17 |
Disclaimer/Publisher’s Note: The statements, opinions and data contained in all publications are solely those of the individual author(s) and contributor(s) and not of MDPI and/or the editor(s). MDPI and/or the editor(s) disclaim responsibility for any injury to people or property resulting from any ideas, methods, instructions or products referred to in the content. |
© 2024 by the authors. Licensee MDPI, Basel, Switzerland. This article is an open access article distributed under the terms and conditions of the Creative Commons Attribution (CC BY) license (https://creativecommons.org/licenses/by/4.0/).
Share and Cite
Wu, Y.; Jin, X.; Wang, L.; Lei, J.; Chai, S.; Wang, C.; Zhang, W.; Yang, X. Integrated Transcriptional and Metabolomic Analysis of Factors Influencing Root Tuber Enlargement during Early Sweet Potato Development. Genes 2024, 15, 1319. https://doi.org/10.3390/genes15101319
Wu Y, Jin X, Wang L, Lei J, Chai S, Wang C, Zhang W, Yang X. Integrated Transcriptional and Metabolomic Analysis of Factors Influencing Root Tuber Enlargement during Early Sweet Potato Development. Genes. 2024; 15(10):1319. https://doi.org/10.3390/genes15101319
Chicago/Turabian StyleWu, Yaqin, Xiaojie Jin, Lianjun Wang, Jian Lei, Shasha Chai, Chong Wang, Wenying Zhang, and Xinsun Yang. 2024. "Integrated Transcriptional and Metabolomic Analysis of Factors Influencing Root Tuber Enlargement during Early Sweet Potato Development" Genes 15, no. 10: 1319. https://doi.org/10.3390/genes15101319
APA StyleWu, Y., Jin, X., Wang, L., Lei, J., Chai, S., Wang, C., Zhang, W., & Yang, X. (2024). Integrated Transcriptional and Metabolomic Analysis of Factors Influencing Root Tuber Enlargement during Early Sweet Potato Development. Genes, 15(10), 1319. https://doi.org/10.3390/genes15101319
