Genome-Wide Identification and Characterization of Histone Acetyltransferases and Deacetylases in Cucumber, and Their Implication in Developmental Processes
Abstract
1. Introduction
2. Materials and Methods
2.1. Identification of Histone Acetyltransferases and Deacetylase Protein Sequences
2.2. Multiple Sequence Alignment and Phylogenetic Analysis
2.3. Protein Motif Analysis and Determination of Physicochemical Properties of CsHATs and CsHDACs
2.4. Chromosomal Localization and Gene Structure
2.5. Expression Analysis of CsHATs and CsHDACs
2.6. Cis-Acting Elements in Promotor Regions
3. Results
3.1. Identification of CsHATs and CsHDACs in C. sativus
3.2. Comparative Phylogenetic Analysis
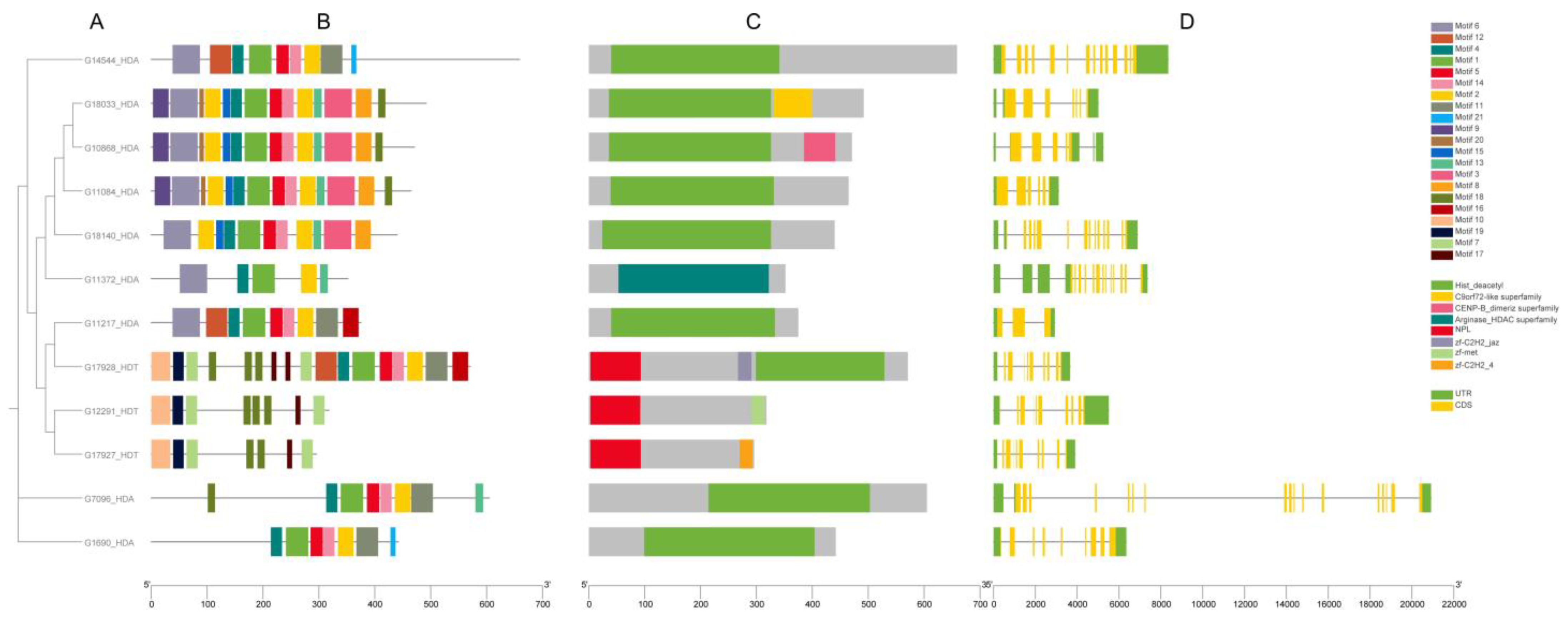
3.3. Characteristics of Motifs, Domains, Gene Structure of CsHATs and CsHDACs
3.4. Physicochemical Properties of CsHATs and CsHDACs
3.5. Chromosomal Location of CsHDAC and CsHAT Genes
3.6. Expresional Analysis
3.7. Promoter Analysis
4. Discussion
5. Conclusions
Supplementary Materials
Author Contributions
Funding
Institutional Review Board Statement
Informed Consent Statement
Data Availability Statement
Conflicts of Interest
References
- Gao, S.; Li, L.; Han, X.; Liu, T.; Jin, P.; Cai, L.; Xu, M.; Zhang, T.; Zhang, F.; Chen, J.; et al. Genome-Wide Identification of the Histone Acetyltransferase Gene Family in Triticum aestivum. BMC Genom. 2021, 22, 49. [Google Scholar] [CrossRef]
- Xu, J.; Xu, H.; Liu, Y.; Wang, X.; Xu, Q.; Deng, X. Genome-Wide Identification of Sweet Orange (Citrus sinensis) Histone Modification Gene Families and Their Expression Analysis during the Fruit Development and Fruit-Blue Mold Infection Process. Front. Plant Sci. 2015, 6, 151116. [Google Scholar] [CrossRef]
- Berger, S.L. The Complex Language of Chromatin Regulation during Transcription. Nature 2007, 447, 407–412. [Google Scholar] [CrossRef] [PubMed]
- Kouzarides, T. Chromatin Modifications and Their Function. Cell 2007, 128, 693–705. [Google Scholar] [CrossRef] [PubMed]
- Cozzolino, F.; Iacobucci, I.; Monaco, V.; Angrisano, T.; Monti, M. Lysines Acetylome and Methylome Profiling of H3 and H4 Histones in Trichostatin A—Treated Stem Cells. Int. J. Mol. Sci. 2021, 22, 2063. [Google Scholar] [CrossRef]
- Ding, P.; Ma, Z.; Liu, D.; Pan, M.; Li, H.; Feng, Y.; Zhang, Y.; Shao, C.; Jiang, M.; Lu, D.; et al. Lysine Acetylation/Deacetylation Modification of Immune-Related Molecules in Cancer Immunotherapy. Front. Immunol. 2022, 13, 865975. [Google Scholar] [CrossRef] [PubMed]
- Akhter, Z.; Bi, Z.; Ali, K.; Sun, C.; Fiaz, S.; Haider, F.U.; Bai, J. In Response to Abiotic Stress, DNA Methylation Confers EpiGenetic Changes in Plants. Plants 2021, 10, 1096. [Google Scholar] [CrossRef]
- Sharma, M.; Sidhu, A.K.; Samota, M.K.; Gupta, M.; Koli, P.; Choudhary, M. Post-Translational Modifications in Histones and Their Role in Abiotic Stress Tolerance in Plants. Proteomes 2023, 11, 38. [Google Scholar] [CrossRef] [PubMed]
- Gallinari, P.; Di Marco, S.; Jones, P.; Pallaoro, M.; Steinkühler, C. HDACs, Histone Deacetylation and Gene Transcription: From Molecular Biology to Cancer Therapeutics. Cell Res. 2007, 17, 195–211. [Google Scholar] [CrossRef] [PubMed]
- Liu, R.; Zhang, L.; Zhang, K. Histone Modification in Psoriasis: Molecular Mechanisms and Potential Therapeutic Targets. Exp. Dermatol. 2024, 33, e15151. [Google Scholar] [CrossRef]
- Milazzo, G.; Mercatelli, D.; Di Muzio, G.; Triboli, L.; De Rosa, P.; Perini, G.; Giorgi, F.M. Histone Deacetylases (HDACs): Evolution, Specificity, Role in Transcriptional Complexes, and Pharmacological Actionability. Genes 2020, 11, 556. [Google Scholar] [CrossRef] [PubMed]
- Pandey, R.; Müller, A.; Napoli, C.A.; Selinger, D.A.; Pikaard, C.S.; Richards, E.J.; Bender, J.; Mount, D.W.; Jorgensen, R.A. Analysis of Histone Acetyltransferase and Histone Deacetylase Families of Arabidopsis Thaliana Suggests Functional Diversification of Chromatin Modification among Multicellular Eukaryotes. Nucleic Acids Res. 2002, 30, 5036–5055. [Google Scholar] [CrossRef] [PubMed]
- Zhao, L.; Lu, J.; Zhang, J.; Wu, P.Y.; Yang, S.; Wu, K. Identification and Characterization of Histone Deacetylases in Tomato (Solanum lycopersicum). Front. Plant Sci. 2015, 5, 119871. [Google Scholar] [CrossRef] [PubMed]
- Liu, X.; Yang, S.; Yu, C.W.; Chen, C.Y.; Wu, K. Histone Acetylation and Plant Development. Enzymes 2016, 40, 173–199. [Google Scholar] [CrossRef] [PubMed]
- Cai, Y.; Xu, M.; Liu, J.; Zeng, H.; Song, J.; Sun, B.; Chen, S.; Deng, Q.; Lei, J.; Cao, B.; et al. Genome-Wide Analysis of Histone Acetyltransferase and Histone Deacetylase Families and Their Expression in Fruit Development and Ripening Stage of Pepper (Capsicum annuum). Front. Plant Sci. 2022, 13, 971230. [Google Scholar] [CrossRef]
- Osipowski, P.; Pawełkowicz, M.; Wojcieszek, M.; Skarzyńska, A.; Przybecki, Z.; Pląder, W. A High-Quality Cucumber Genome Assembly Enhances Computational Comparative Genomics. Mol. Genet. Genom. 2020, 295, 177–193. [Google Scholar] [CrossRef]
- Camacho, C.; Coulouris, G.; Avagyan, V.; Ma, N.; Papadopoulos, J.; Bealer, K.; Madden, T.L. BLAST+: Architecture and Applications. BMC Bioinform. 2009, 10, 421. [Google Scholar] [CrossRef]
- Li, Q.; Li, H.; Huang, W.; Xu, Y.; Zhou, Q.; Wang, S.; Ruan, J.; Huang, S.; Zhang, Z. A Chromosome-Scale Genome Assembly of Cucumber (Cucumis sativus L.). Gigascience 2019, 8, giz072. [Google Scholar] [CrossRef] [PubMed]
- Yang, L.; Koo, D.H.; Li, Y.; Zhang, X.; Luan, F.; Havey, M.J.; Jiang, J.; Weng, Y. Chromosome Rearrangements during Domestication of Cucumber as Revealed by High-Density Genetic Mapping and Draft Genome Assembly. Plant J. 2012, 71, 895–906. [Google Scholar] [CrossRef] [PubMed]
- Aiese Cigliano, R.; Sanseverino, W.; Cremona, G.; Ercolano, M.R.; Conicella, C.; Consiglio, F.M. Genome-Wide Analysis of Histone Modifiers in Tomato: Gaining an Insight into Their Developmental Roles. BMC Genom. 2013, 14, 57. [Google Scholar] [CrossRef] [PubMed]
- Zdobnov, E.M.; Apweiler, R. InterProScan—An Integration Platform for the Signature-Recognition Methods in InterPro. Bioinformatics 2001, 17, 847–848. [Google Scholar] [CrossRef] [PubMed]
- Larkin, M.A.; Blackshields, G.; Brown, N.P.; Chenna, R.; Mcgettigan, P.A.; McWilliam, H.; Valentin, F.; Wallace, I.M.; Wilm, A.; Lopez, R.; et al. Clustal W and Clustal X Version 2.0. Bioinformatics 2007, 23, 2947–2948. [Google Scholar] [CrossRef]
- Trifinopoulos, J.; Nguyen, L.T.; von Haeseler, A.; Minh, B.Q. W-IQ-TREE: A Fast Online Phylogenetic Tool for Maximum Likelihood Analysis. Nucleic Acids Res. 2016, 44, W232–W235. [Google Scholar] [CrossRef]
- Letunic, I.; Bork, P. Interactive Tree of Life (ITOL) v6: Recent Updates to the Phylogenetic Tree Display and Annotation Tool. Nucleic Acids Res. 2024, 52, W78–W82. [Google Scholar] [CrossRef]
- Bailey, T.L.; Johnson, J.; Grant, C.E.; Noble, W.S. The MEME Suite. Nucleic Acids Res. 2015, 43, W39–W49. [Google Scholar] [CrossRef] [PubMed]
- Rice, P.; Longden, L.; Bleasby, A. EMBOSS: The European Molecular Biology Open Software Suite. Trends Genet. 2000, 16, 276–277. [Google Scholar] [CrossRef] [PubMed]
- Horton, P.; Park, K.J.; Obayashi, T.; Fujita, N.; Harada, H.; Adams-Collier, C.J.; Nakai, K. WoLF PSORT: Protein Localization Predictor. Nucleic Acids Res. 2007, 35, W585. [Google Scholar] [CrossRef] [PubMed]
- Gu, Z.; Gu, L.; Eils, R.; Schlesner, M.; Brors, B. Circlize Implements and Enhances Circular Visualization in R. Bioinformatics 2014, 30, 2811–2812. [Google Scholar] [CrossRef] [PubMed]
- Turek, S.; Pląder, W.; Hoshi, Y.; Skarzyńska, A.; Pawełkowicz, M. Insight into the Organization of the B10v3 Cucumber Genome by Integration of Biological and Bioinformatic Data. Int. J. Mol. Sci. 2023, 24, 4011. [Google Scholar] [CrossRef]
- Chen, C.; Wu, Y.; Li, J.; Wang, X.; Zeng, Z.; Xu, J.; Liu, Y.; Feng, J.; Chen, H.; He, Y.; et al. TBtools-II: A “One for All, All for One” Bioinformatics Platform for Biological Big-Data Mining. Mol. Plant 2023, 16, 1733–1742. [Google Scholar] [CrossRef]
- Patro, R.; Duggal, G.; Love, M.I.; Irizarry, R.A.; Kingsford, C. Salmon: Fast and Bias-Aware Quantification of Transcript Expression Using Dual-Phase Inference. Nat. Methods 2017, 14, 417. [Google Scholar] [CrossRef] [PubMed]
- Ritchie, M.E.; Phipson, B.; Wu, D.; Hu, Y.; Law, C.W.; Shi, W.; Smyth, G.K. Limma Powers Differential Expression Analyses for RNA-Sequencing and Microarray Studies. Nucleic Acids Res. 2015, 43, e47. [Google Scholar] [CrossRef] [PubMed]
- Warnes, G.R.; Bolker, B.; Bonebakker, L.; Gentleman, R.; Huber, W.; Liaw, A.; Lumley, T.; Maechler, M.; Magnusson, A.; Moeller, S.; et al. Various R Programming Tools for Plotting Data. CRAN Contrib. Packages. 2022. Available online: https://cran.r-project.org/web/packages/gplots/index.html (accessed on 12 December 2024).
- Lescot, M.; Déhais, P.; Thijs, G.; Marchal, K.; Moreau, Y.; Van De Peer, Y.; Rouzé, P.; Rombauts, S. PlantCARE, a Database of Plant Cis-Acting Regulatory Elements and a Portal to Tools for in Silico Analysis of Promoter Sequences. Nucleic Acids Res. 2002, 30, 325–327. [Google Scholar] [CrossRef]
- Zhao, T.; Zhan, Z.; Jiang, D. Histone Modifications and Their Regulatory Roles in Plant Development and Environmental Memory. J. Genet. Genom. 2019, 46, 467–476. [Google Scholar] [CrossRef] [PubMed]
- Sena, S.; Prakash, A.; Van Staden, J.; Kumar, V. Epigenetic Control of Plant Regeneration: Unraveling the Role of Histone Methylation. Curr. Plant Biol. 2024, 40, 100408. [Google Scholar] [CrossRef]
- Brukhin, V.; Albertini, E. Epigenetic Modifications in Plant Development and Reproduction. Epigenomes 2021, 5, 25. [Google Scholar] [CrossRef]
- Li, H.; Liu, H.; Pei, X.; Chen, H.; Li, X.; Wang, J.; Wang, C. Comparative Genome-Wide Analysis and Expression Profiling of Histone Acetyltransferases and Histone Deacetylases Involved in the Response to Drought in Wheat. J. Plant Growth Regul. 2022, 41, 1065–1078. [Google Scholar] [CrossRef]
- Aquea, F.; Timmermann, T.; Arce-Johnson, P. Analysis of Histone Acetyltransferase and Deacetylase Families of Vitis Vinifera. Plant Physiol. Biochem. 2010, 48, 194–199. [Google Scholar] [CrossRef] [PubMed]
- Bai, S.L.; Peng, Y.B.; Cui, J.X.; Gu, H.T.; Xu, L.Y.; Li, Y.Q.; Xu, Z.H.; Bai, S.N. Developmental Analyses Reveal Early Arrests of the Spore-Bearing Parts of Reproductive Organs in Unisexual Flowers of Cucumber (Cucumis sativus L.). Planta 2004, 220, 230–240. [Google Scholar] [CrossRef]
- Fu, W.; Wu, K.; Duan, J. Sequence and Expression Analysis of Histone Deacetylases in Rice. Biochem. Biophys. Res. Commun. 2007, 356, 843–850. [Google Scholar] [CrossRef]
- Kumar, V.; Thakur, J.K.; Prasad, M. Histone Acetylation Dynamics Regulating Plant Development and Stress Responses. Cell Mol. Life Sci. 2021, 78, 4467. [Google Scholar] [CrossRef]
- Luo, M.; Tai, R.; Yu, C.W.; Yang, S.; Chen, C.Y.; Lin, W.D.; Schmidt, W.; Wu, K. Regulation of Flowering Time by the Histone Deacetylase HDA5 in Arabidopsis. Plant J. 2015, 82, 925–936. [Google Scholar] [CrossRef] [PubMed]
- Yu, C.W.; Liu, X.; Luo, M.; Chen, C.; Lin, X.; Tian, G.; Lu, Q.; Cui, Y.; Wu, K. HISTONE DEACETYLASE6 Interacts with FLOWERING LOCUS D and Regulates Flowering in Arabidopsis. Plant Physiol. 2011, 156, 173–184. [Google Scholar] [CrossRef] [PubMed]
- Han, Y.C.; Kuang, J.F.; Chen, J.Y.; Liu, X.C.; Xiao, Y.Y.; Fu, C.C.; Wang, J.N.; Wu, K.Q.; Lu, W.J. Banana Transcription Factor MaERF11 Recruits Histone Deacetylase MaHDA1 and Represses the Expression of MaACO1 and Expansins during Fruit Ripening. Plant Physiol. 2016, 171, 1070–1084. [Google Scholar] [CrossRef] [PubMed]
- Fu, C.C.; Han, Y.C.; Guo, Y.F.; Kuang, J.F.; Chen, J.Y.; Shan, W.; Lu, W.J. Differential Expression of Histone Deacetylases during Banana Ripening and Identification of MaHDA6 in Regulating Ripening-Associated Genes. Postharvest Biol. Technol. 2018, 141, 24–32. [Google Scholar] [CrossRef]
- Guo, J.E.; Hu, Z.; Yu, X.; Li, A.; Li, F.; Wang, Y.; Tian, S.; Chen, G. A Histone Deacetylase Gene, SlHDA3, Acts as a Negative Regulator of Fruit Ripening and Carotenoid Accumulation. Plant Cell Rep. 2018, 37, 125–135. [Google Scholar] [CrossRef]
- Guo, J.E.; Hu, Z.; Li, F.; Zhang, L.; Yu, X.; Tang, B.; Chen, G. Silencing of Histone Deacetylase SlHDT3 Delays Fruit Ripening and Suppresses Carotenoid Accumulation in Tomato. Plant Sci. 2017, 265, 29–38. [Google Scholar] [CrossRef] [PubMed]
- Fu, C.; Chen, H.; Gao, H.; Han, Y. Histone Deacetylase CpHDA3 Is Functionally Associated with CpERF9 in Suppression of CpPME1/2 and CpPG5 Genes during Papaya Fruit Ripening. J. Agric. Food Chem. 2019, 67, 8919–8925. [Google Scholar] [CrossRef] [PubMed]
- Pawełkowicz, M.E.; Skarzyńska, A.; Pląder, W.; Przybecki, Z. Genetic and Molecular Bases of Cucumber (Cucumis sativus L.) Sex Determination. Mol. Breed. 2019, 39, 50. [Google Scholar] [CrossRef]
- Su, Z.; Ma, X.; Guo, H.; Sukiran, N.L.; Guo, B.; Assmann, S.M.; Ma, H. Flower Development under Drought Stress: Morphological and Transcriptomic Analyses Reveal Acute Responses and Long-Term Acclimation in Arabidopsis. Plant Cell 2013, 25, 3785–3807. [Google Scholar] [CrossRef]
- Li, W.F.; Mao, J.; Su, J.; Li, X.W.; Dawuda, M.M.; Ma, Z.H.; Zuo, C.W.; An, Z.S.; Chen, B.H. Exogenous ABA and Its Inhibitor Regulate Flower Bud Induction of Apple Cv. ‘Nagafu No. 2′ Grafted on Different Rootstocks. Trees—Struct. Funct. 2021, 35, 609–620. [Google Scholar] [CrossRef]












| Type | Family | Species | ||
|---|---|---|---|---|
| Cucumis sativus B10v3 | Arabidopsis thaliana | Solanum lycopersicum | ||
| HAT | HAG | 28 | 3 | 23 |
| HAM | 1 | 2 | 1 | |
| HAC | 7 | 5 | 4 | |
| HAF | 0 | 2 | 1 | |
| Total | 36 | 12 | 29 | |
| HDAC | HDA | 9 | 9 | 7 |
| HDT | 3 | 4 | 3 | |
| SRT | 0 | 2 | 2 | |
| Total | 12 | 15 | 12 | |
| Family | Gene ID | Chr. No | Chr Location Start/Stop | String | Length Genomic | Length Peptide | Molecular Weight (kD) | Isoelectric Point (Mw) | Localization |
|---|---|---|---|---|---|---|---|---|---|
| Histone acetyltransferases (HATs) | |||||||||
| HAG family | |||||||||
| HAG | Cucsat.G7439 | Chr1 | ctg1528:2195363-2199742 | + | 4380 | 374 | 43.3 | 7.5 | nuclear |
| HAG | Cucsat.G7491 | Chr1 | ctg1528:3357562-3360155 | + | 2594 | 299 | 34.6 | 9.3 | cytoplasmic |
| HAG | Cucsat.G7550 | Chr1 | ctg1528:4490591-4496659 | + | 6069 | 516 | 58.5 | 5.9 | nuclear |
| HAG | Cucsat.G8133 | Chr1 | ctg1557:892275-894304 | + | 2030 | 397 | 45.3 | 8.3 | cytoplasmic |
| HAG | Cucsat.G11039 | Chr1 | ctg1740:323653-327391 | + | 3739 | 564 | 63.6 | 8.5 | cytoplasmic |
| HAG | Cucsat.G14614 | Chr1 | ctg1869:2371776-2380341 | + | 8566 | 269 | 30.3 | 9.4 | nuclear |
| HAG | Cucsat.G4728 | Chr2 | ctg1227:2564029-2569251 | + | 5223 | 164 | 18.6 | 9.0 | cytoplasmic |
| HAG | Cucsat.G19032 | Chr2 | ctg35:283689-291641 | − | 7953 | 255 | 29.1 | 8.7 | cytoplasmic |
| HAG | Cucsat.G19739 | Chr2 | ctg4:329471-333655 | + | 4185 | 464 | 52.1 | 4.8 | cytoplasmic |
| HAG | Cucsat.G1301 | Chr3 | ctg1:11167598-11170238 | + | 2641 | 415 | 47.3 | 8.4 | cytoskeleton |
| HAG | Cucsat.G505 | Chr3 | ctg1:9926620-9928112 | − | 1493 | 169 | 19.3 | 6.0 | cytoplasmic |
| HAG | Cucsat.G12163 | Chr3 | ctg1837:1420082-1422790 | − | 2709 | 409 | 46.4 | 8.8 | cytoplasmic |
| HAG | Cucsat.G13099 | Chr3 | ctg1838:168257-179247 | + | 10,991 | 163 | 18.5 | 5.7 | nuclear |
| HAG | Cucsat.G8005 | Chr4 | ctg1556:2247813-2251525 | − | 3713 | 113 | 12.5 | 9.0 | nuclear |
| HAG | Cucsat.G8051 | Chr4 | ctg1556:3460680-3465076 | − | 4397 | 248 | 27.8 | 6.1 | chloroplast |
| HAG | Cucsat.G8928 | Chr4 | ctg1635:1972081-1987877 | − | 15,797 | 1403 | 155.3 | 6.1 | nuclear |
| HAG | Cucsat.G9940 | Chr5 | ctg1673:1987918-1994420 | + | 6503 | 299 | 34.2 | 8.3 | chloroplast |
| HAG | Cucsat.G16316 | Chr5 | ctg2246:313272-316828 | − | 3557 | 196 | 22.4 | 6.2 | cytoplasmic |
| HAG | Cucsat.G1790 | Chr6 | ctg1002:2300165-2307083 | − | 6919 | 634 | 70.1 | 8.3 | cytoplasmic |
| HAG | Cucsat.G2199 | Chr6 | ctg1002:985444-1000064 | + | 14,621 | 1030 | 116.1 | 8.0 | cytoplasmic |
| HAG | Cucsat.G2255 | Chr6 | ctg1002:2192294-2194872 | + | 2579 | 410 | 46.2 | 8.9 | cytoplasmic |
| HAG | Cucsat.G5632 | Chr6 | ctg1299:318309-325444 | + | 7136 | 1432 | 161.5 | 8.1 | nuclear |
| HAG | Cucsat.G5634 | Chr6 | ctg1299:396719-398897 | + | 2179 | 415 | 47.8 | 8.7 | nuclear, cytoplasmic |
| HAG | Cucsat.G17933 | Chr6 | ctg3345:1507356-1519041 | + | 11,686 | 972 | 107.2 | 6.2 | nuclear |
| HAG | Cucsat.G2757 | Chr7 | ctg1041:822751-825505 | − | 2755 | 271 | 30.7 | 8.1 | chloroplast |
| HAG | Cucsat.G3385 | Chr7 | ctg1041:6256432-6258342 | + | 1911 | 220 | 24.8 | 7.9 | extracellular |
| HAG | Cucsat.G10849 | Chr7 | ctg1681:902951-910263 | − | 7313 | 225 | 25.9 | 5.7 | cytoplasmic |
| HAG | Cucsat.G10916 | Chr7 | ctg1681:2018378-2026590 | − | 8213 | 297 | 33.1 | 8.8 | chloroplast |
| HAC family | |||||||||
| HAC | Cucsat.G5059 | Chr2 | ctg1227:2823211-2832569 | − | 9359 | 395 | 44.2 | 9.5 | nuclear |
| HAC | Cucsat.G19498 | Chr2 | ctg4:1282651-1287430 | − | 4780 | 423 | 47.8 | 7.0 | nuclear |
| HAC | Cucsat.G716 | Chr3 | ctg1:42742-56672 | + | 13,931 | 1707 | 192.6 | 8.1 | nuclear |
| HAC | Cucsat.G13206 | Chr3 | ctg1838:2203445-2207740 | + | 4296 | 721 | 80.5 | 9.5 | nuclear |
| HAC | Cucsat.G13466 | Chr3 | ctg1838:7194802-7198169 | + | 3368 | 355 | 40.4 | 8.6 | cytoplasmic |
| HAC | Cucsat.G9211 | Chr7 | ctg1658:1590288-1598827 | + | 8540 | 127 | 14.4 | 4.8 | nuclear |
| HAC | Cucsat.G9212 | Chr7 | ctg1658:1599861-1614805 | + | 14945 | 1365 | 149.8 | 9.9 | nuclear |
| HAM family | |||||||||
| HAM | Cucsat.G7714 | Chr5 | ctg1546:298050-304738 | + | 6689 | 495 | 57.3 | 8.6 | chloroplast |
| Histone deacetylases (HDACs) | |||||||||
| HDA family | |||||||||
| HDA | Cucsat.G11084 | Chr1 | ctg1740:159401-162484 | − | 3084 | 465 | 52.3 | 5.8 | cytoplasmic |
| HDA | Cucsat.G11217 | Chr1 | ctg1780:533431-536277 | + | 2847 | 375 | 41.0 | 5.8 | cytoplasmic, cytoskeleton |
| HDA | Cucsat.G7096 | Chr1 | ctg1528:914219-935116 | − | 20,898 | 605 | 66.4 | 6.8 | nuclear |
| HDA | Cucsat.G14544 | Chr1 | ctg1869:945967-954231 | + | 8265 | 659 | 73.2 | 5.3 | chloroplast |
| HDA | Cucsat.G1690 | Chr4 | ctg1002:373456-379733 | − | 6278 | 442 | 48.2 | 6.6 | chloroplast |
| HDA | Cucsat.G11372 | Chr4 | ctg1798:64712-72066 | − | 7355 | 352 | 38.9 | 7.5 | cytoskeleton |
| HDA | Cucsat.G18033 | Chr6 | ctg3345:3960732-3965777 | + | 5046 | 492 | 55.6 | 5.0 | nuclear |
| HDA | Cucsat.G18140 | Chr6 | ctg3345:1224920-1231792 | − | 6873 | 440 | 50.4 | 5.1 | mitochondrial |
| HDA | Cucsat.G10868 | Chr7 | ctg1681:1172904-1178169 | − | 5266 | 471 | 53.3 | 5.7 | cytoplasmic |
| HDT family | |||||||||
| HDT | Cucsat.G12291 | Chr3 | ctg1837:3557001-3565310 | − | 8310 | 318 | 34.6 | 4.4 | nuclear |
| HDT | Cucsat.G17927 | Chr6 | ctg3345:1319359-1323178 | + | 3820 | 296 | 31.7 | 4.4 | nuclear |
| HDT | Cucsat.G17928 | Chr6 | ctg3345:1323822-1327471 | + | 3650 | 571 | 61.6 | 4.8 | nuclear |
Disclaimer/Publisher’s Note: The statements, opinions and data contained in all publications are solely those of the individual author(s) and contributor(s) and not of MDPI and/or the editor(s). MDPI and/or the editor(s) disclaim responsibility for any injury to people or property resulting from any ideas, methods, instructions or products referred to in the content. |
© 2025 by the authors. Licensee MDPI, Basel, Switzerland. This article is an open access article distributed under the terms and conditions of the Creative Commons Attribution (CC BY) license (https://creativecommons.org/licenses/by/4.0/).
Share and Cite
Skarzyńska-Łyżwa, A.; Turek, S.; Pisz, M.; Aparna; Pląder, W.; Pawełkowicz, M. Genome-Wide Identification and Characterization of Histone Acetyltransferases and Deacetylases in Cucumber, and Their Implication in Developmental Processes. Genes 2025, 16, 127. https://doi.org/10.3390/genes16020127
Skarzyńska-Łyżwa A, Turek S, Pisz M, Aparna, Pląder W, Pawełkowicz M. Genome-Wide Identification and Characterization of Histone Acetyltransferases and Deacetylases in Cucumber, and Their Implication in Developmental Processes. Genes. 2025; 16(2):127. https://doi.org/10.3390/genes16020127
Chicago/Turabian StyleSkarzyńska-Łyżwa, Agnieszka, Szymon Turek, Maksymilian Pisz, Aparna, Wojciech Pląder, and Magdalena Pawełkowicz. 2025. "Genome-Wide Identification and Characterization of Histone Acetyltransferases and Deacetylases in Cucumber, and Their Implication in Developmental Processes" Genes 16, no. 2: 127. https://doi.org/10.3390/genes16020127
APA StyleSkarzyńska-Łyżwa, A., Turek, S., Pisz, M., Aparna, Pląder, W., & Pawełkowicz, M. (2025). Genome-Wide Identification and Characterization of Histone Acetyltransferases and Deacetylases in Cucumber, and Their Implication in Developmental Processes. Genes, 16(2), 127. https://doi.org/10.3390/genes16020127

