Extraction of Ta and Nb from a Coltan Bearing Ore by Means of Ammonium Bifluoride Fluorination and Sulfuric Acid Leaching
Abstract
1. Introduction
2. Materials and Methods
2.1. Materials
2.2. Ore Characterization
2.3. Experimental Procedure
3. Results and Discussion
3.1. Effect of Ore Particles Size
3.2. Effect of ABF-Ore Mass Ratio on Ta and Nb Recovery
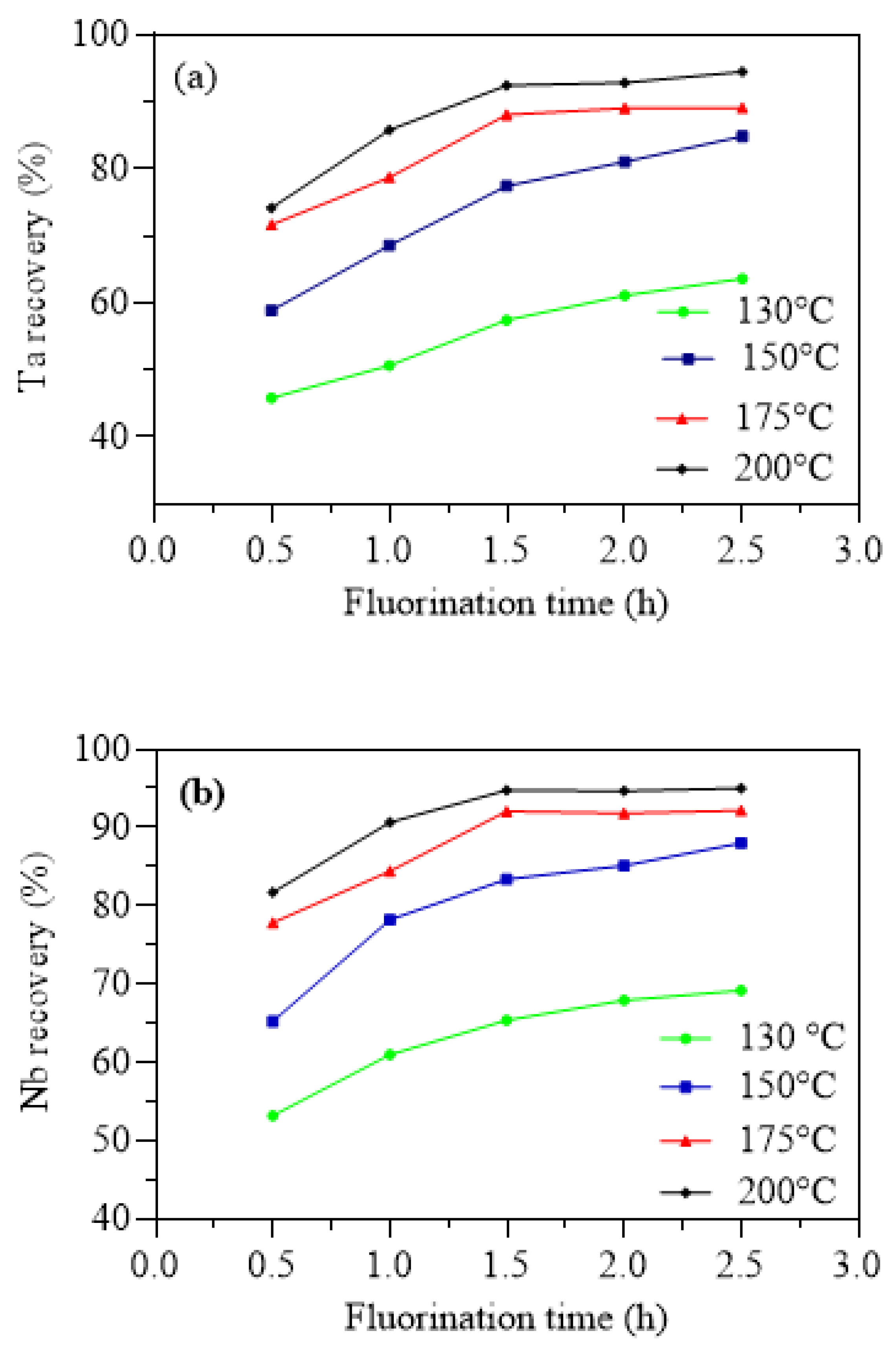
3.3. Effect of Fluorination Temperature on Ta and Nb Recovery
3.4. Characterization of the Leaching Residues
4. Conclusions
Author Contributions
Funding
Acknowledgments
Conflicts of Interest
References
- Robin, A.; Rosa, J.L. Corrosion behavior of niobium, tantalum and their alloys in hot hydrochloric and phosphoric acid solutions. Int. J. Refract. Met. Hard. Mater. 2000, 18, 13–21. [Google Scholar] [CrossRef]
 - Rodríguez, O.; Francisco, J.A.; Baquero, E.E.; Diaz, I.G.; Fernandez, P.; Sotillo, B.; Lopez, F.A. Recovery of niobium and tantalum by solvent extraction from Sn-Ta-Nb mining tailings. RSC Adv. 2020, 10, 21406–21412. [Google Scholar] [CrossRef]
 - Zhu, Z.; Cheng, C.Y. Solvent extraction technology for the separation and purification of niobium and tantalum: A review. Hydrometallurgy 2011, 107, 1–12. [Google Scholar] [CrossRef]
 - Shikika, A.; Sethurajan, M.; Muvundja, F.; Mugumaoderha, M.C.; Gaydardzhiev, S. A review on extractive metallurgy of tantalum and niobium. Hydrometallurgy 2020, 198, 105496. [Google Scholar] [CrossRef]
 - Htwe, H.H.; Kay, T.L. Study on extraction of niobium oxide from columbite-tantalite concentrate. World Acad. Sci. Eng. Technol. 2008, 46, 331–333. [Google Scholar]
 - Maiorov, V.G.; Nikolaev, A.I.; Kopkov, V.K.; Elizarova, I.R. Tantalite treatment process at the Congo deposit and columbite at the Zashikhinsk deposit. Theor. Found. Chem. Eng. 2016, 50, 547–553. [Google Scholar] [CrossRef]
 - Masloboeva, S.M.; Arutyunyan, L.G.; Palatnikov, M.N.; Manukovskaya, D.V. Separation and purification of tantalum from plumbomicrolite of amazonite deposit in Kola Peninsula by acid leaching and solvent extraction. J. Cent. South. Univ. 2021, 28, 72–88. [Google Scholar] [CrossRef]
 - El-Hussaini, O.M.; Mahdy, M.A. Sulfuric acid leaching of Kab Amiri niobium-tantalum bearing minerals, Central Eastern Desert, Egypt. Hydrometallurgy 2002, 64, 219–229. [Google Scholar] [CrossRef]
 - Kassikova, N.I.; Kassikov, A.G.; Balabanov, Y.I.; Petrov, V.B.; Kalinnikov, V.T. Niobium, tantalum and titatnium extraction from natural and technogenic raw materials of the Kola Peninsula by liquid-liquid extraction methods. In Proceedings of the 3rd BMC-2003-Ohrid 2003, Ohrid, North Macedonia, 2–3 July 2003; pp. 64–68. [Google Scholar]
 - Makanyire, T.; Jha, A.; Sutcliffe, S. Kinetics of hydrochloric acid leaching of niobium from TiO2 residues. Int. J. Miner. Process. 2016, 157, 1–6. [Google Scholar] [CrossRef]
 - Baba, A.A.; Jacobi, S.O.; Olaoluwa, D.T.; Abubakar, A.; Womiloju, A.A.; Olasinde, F.T.; Aishat, Y.A. Processing of a Nigerian columbite-rich ilmenite ore for improved industrial application by sulphuric acid solution. Indones. Min. J. 2018, 21, 9–19. [Google Scholar] [CrossRef][Green Version]
 - Nete, M.; Purcell, W.; Nel, J.T. Non-fluoride dissolution of tantalum and niobium oxides and their separation using ion exchange. Hydrometallurgy 2017, 173, 192–198. [Google Scholar] [CrossRef]
 - Gupta, C.K.; Suri, A.R. Extractive Metallurgy of Niobium; CRC Press; Taylor and Francis Group: Boca Raton, FL, USA, 1994; pp. 1–76. [Google Scholar]
 - Welham, N.J. Effect of extended grinding on the dissolution of a Ta/Nb concentrate. Can. Metall. Q. 2001, 40, 143–154. [Google Scholar] [CrossRef]
 - Rodriguez, M.; Rivarola, J.; Ruiz, M.D.C. The effects of carboxylic acid addition on hydrofluoric acid autoclave leaching of a ferrocolombite. Hydrometallurgy 2004, 74, 39–46. [Google Scholar] [CrossRef]
 - Yang, X.; Huang, W.; Fang, Q.; Ouyang, H. Pressure leaching of manganotantalite by sulfuric acid using ammonium fluoride as an assistant reagent. Hydrometallurgy 2018, 175, 348–353. [Google Scholar] [CrossRef]
 - Allain, E.; Kanari, N.; Diot, F.; Yvon, J. Development of a process for the concentration of the strategic tantalum and niobium oxides from tin slags. Miner. Eng. 2019, 134, 97–103. [Google Scholar] [CrossRef]
 - Ghambi, S.; Sanchez-Segado, S.; Chipakwe, V.; Jha, A. An investigation on hydrofluoric (HF) acid-free extraction for niobium oxide (Nb2O5) and tantalum oxide (Ta2O5) from columbite/tantalite concentrates using alkali reductive roasting. Miner. Eng. 2021, 173, 107183. [Google Scholar] [CrossRef]
 - de Oliveira, T.F.; de Souza, C.P.; Lopes-Moriyama, A.L. Acid leaching and thermal treatments in the obtaining of mixed oxides of Nb and Ta from ferrocolumbite. Miner. Eng. 2020, 147, 106–157. [Google Scholar] [CrossRef]
 - Deblonde, G.J.P.; Weigel, V.; Bellier, Q.; Houdard, R.; Delvallée, F.; Bélair, S.; Beltrami, D. Selective recovery of niobium and tantalum from low-grade concentrates using a simple and fluoride-free process. Sep. Purif. Technol. 2016, 162, 180–187. [Google Scholar] [CrossRef]
 - Shikika, A.; Muvundja, F.; Mugumaoderha, M.C.; Gaydardzhiev, S. Extraction of Nb and Ta from a coltan ore from South Kivu in the DRC by alkaline roasting–thermodynamic and kinetic aspects. Miner. Eng. 2021, 163, 106751. [Google Scholar] [CrossRef]
 - Irfan, M.; Ahmad, M.I.; Khan, M.S. Extraction of niobium from ore deposits in KPK, Pakistan. NUST J. Eng. Sci. 2014, 7, 1–4. [Google Scholar]
 - Agulyanski, A. The Chemistry of Tantalum and Niobium Fluoride Compounds; Elsevier: Lehavim, Israel, 2004; pp. 263–279. [Google Scholar]
 - Opalovsky, A.A.; Fedorov, E.; Fedotova, T.D. Reaction of alkali and ammonium bifluorides with aluminium and silicon. J. Therm. Anal. 1973, 5, 475–482. [Google Scholar] [CrossRef]
 - Kalinnikov, V.T.; Nesterov, D.P.; Makarov, D.V.; Steshin, E.A.; Tikhomirova, E.L. Reactions of oxides of some 3d elements with ammonium hydrogen difluoride. Russ. J. Appl. Chem. 2004, 77, 347–352. [Google Scholar] [CrossRef]
 - Andreev, A.A.; D’yachenko, A.N.; Kraidenko, R.I. Fluorination of beryllium concentrates with ammonium fluorides. Russ. J. Appl. Chem. 2008, 81, 178–182. [Google Scholar] [CrossRef]
 - Rimkevich, V.S.; Pushkin, A.A.; Malovitskii, Y.N.; Dem’Yanova, L.P.; Girenko, I.V. Fluoride processing of non-bauxite ores. Russ. J. Appl. Chem. 2009, 82, 6–11. [Google Scholar] [CrossRef]
 - Rimkevich, V.S.; Pushkin, A.A.; Malovitskii, Y.N.; Girenko, I.V. Study of fluoride treatment of silica-containing raw material. Russ. J. Appl. Chem. 2011, 84, 345–350. [Google Scholar] [CrossRef]
 - Demyanova, L.P.; Zaeva, A.S. Ratio of starting raw material and fluorinating agent in the process of purifying silica-containing raw material. Theor. Found. Chem. Eng. 2012, 46, 368–372. [Google Scholar] [CrossRef]
 - Kabangu, M.J.; Crouse, P.L. Separation of niobium and tantalum from Mozambican tantalite by ammonium bifluoride digestion and octanol solvent extraction. Hydrometallurgy 2012, 129–130, 151–155. [Google Scholar] [CrossRef]
 - Nete, M. Separation and Purification of Niobium and Tantalum from Synthetic and Natural Compounds. Ph.D. Thesis, University of Free State, Bloemfontein, South Africa, 2013. [Google Scholar]
 - Purcell, W.; Potgieter, H.; Nete, M.; Mnculwane, H. Possible methodology for niobium, tantalum and scandium separation in ferrocolombite. Miner. Eng. 2018, 119, 57–66. [Google Scholar] [CrossRef]
 - Berhe, G.G.; Alberto, V.D.R.; Tadesse, B.; Yimam, A.; Woldetinsae, G. Decomposition of the Kenticha mangano-tantalite ore by HF/H2SO4 and KOH fusion. Physicochem. Probl. Miner. Process. 2018, 54, 406–414. [Google Scholar] [CrossRef]
 














| Element | Nb | Ta | Fe | Mn | Al | Si | 
|---|---|---|---|---|---|---|
| Content (wt. %) | 41 | 8.43 | 7.43 | 4.4 | 1.79 | 1.5 | 
| Element | Ti | W | Sn | Zr | Ce | Na | 
| Content (wt. %) | 1.6 | 0.62 | 0.57 | 0.18 | 0.11 | 0.05 | 
| Element | Mg | Ca | Zn | K | ||
| Content (wt. ppm) | 923 | 510 | 391 | 636 | 
| Granulometric Fraction | Nb (wt. %) | Ta (wt. %) | 
|---|---|---|
| −75 + 45 µm | 40.99 | 8.43 | 
| −105 + 75 µm | 42.71 | 8.37 | 
| −150 + 105 µm | 42.50 | 8.90 | 
| −212 + 150 µm | 40.46 | 8.32 | 
| Element | Ta | Nb | Fe | Mn | Si | Ti | 
|---|---|---|---|---|---|---|
| Content (g/L) | 2.01 | 9.74 | 1.68 | 1.05 | 0.37 | 0.22 | 
Publisher’s Note: MDPI stays neutral with regard to jurisdictional claims in published maps and institutional affiliations.  | 
© 2021 by the authors. Licensee MDPI, Basel, Switzerland. This article is an open access article distributed under the terms and conditions of the Creative Commons Attribution (CC BY) license (https://creativecommons.org/licenses/by/4.0/).
Share and Cite
Shikika, A.; Zabene, F.; Muvundja, F.; Mugumaoderha, M.C.; Colaux, J.L.; Aatach, M.; Gaydardzhiev, S. Extraction of Ta and Nb from a Coltan Bearing Ore by Means of Ammonium Bifluoride Fluorination and Sulfuric Acid Leaching. Minerals 2021, 11, 1392. https://doi.org/10.3390/min11121392
Shikika A, Zabene F, Muvundja F, Mugumaoderha MC, Colaux JL, Aatach M, Gaydardzhiev S. Extraction of Ta and Nb from a Coltan Bearing Ore by Means of Ammonium Bifluoride Fluorination and Sulfuric Acid Leaching. Minerals. 2021; 11(12):1392. https://doi.org/10.3390/min11121392
Chicago/Turabian StyleShikika, Alidor, Francois Zabene, Fabrice Muvundja, Mac C. Mugumaoderha, Julien L. Colaux, Mohamed Aatach, and Stoyan Gaydardzhiev. 2021. "Extraction of Ta and Nb from a Coltan Bearing Ore by Means of Ammonium Bifluoride Fluorination and Sulfuric Acid Leaching" Minerals 11, no. 12: 1392. https://doi.org/10.3390/min11121392
APA StyleShikika, A., Zabene, F., Muvundja, F., Mugumaoderha, M. C., Colaux, J. L., Aatach, M., & Gaydardzhiev, S. (2021). Extraction of Ta and Nb from a Coltan Bearing Ore by Means of Ammonium Bifluoride Fluorination and Sulfuric Acid Leaching. Minerals, 11(12), 1392. https://doi.org/10.3390/min11121392
        
