Material Source and Genesis of the Daocaowan Sb Deposit in the Xikuangshan Ore Field: LA-ICP-MS Trace Elements and Sulfur Isotope Evidence from Stibnite
Abstract
1. Introduction
2. Regional and Deposit Geology

2.1. The Xikuangshan Sb Deposit
2.2. The Daocaowan Sb Deposit
3. Samples and Analytical Methods
3.1. Samples
3.2. LA-ICP-MS Analyses
3.3. In-Situ Sulfur Isotope Analysis
4. Results
4.1. Trace Element Composition of Stibnite
4.2. Sulfur Isotopic Compositions
5. Discussion
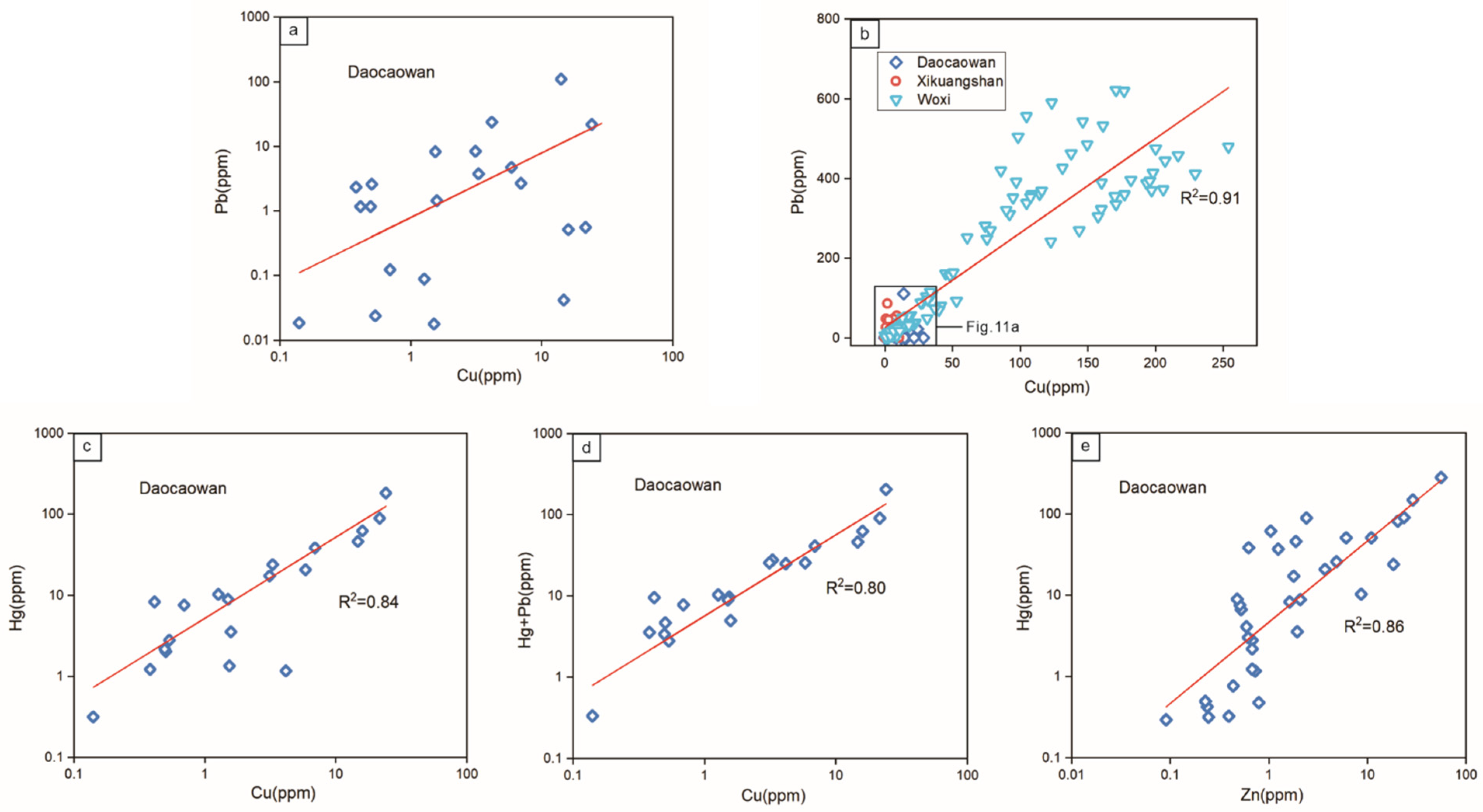
5.1. Distribution and Substitution Mechanism of Trace Elements in Stibnite
5.2. Sources of Sulfur in Ore Fluids
5.3. Implications for Ore Genesis of Sb Deposits
6. Conclusions
Supplementary Materials
Author Contributions
Funding
Data Availability Statement
Acknowledgments
Conflicts of Interest
References
- Schulz, K.J.; DeYoung, J.H.; Seal, R.R.; Bradley, D.C. Critical Mineral Resources of the United States-Economic and Environmental Geology and Prospects for Future Supply; U.S. Geological Survey: Reston, VA, USA, 2017; pp. 1–797.
- Ding, J.; Zhang, Y.; Ma, Y.; Wang, Y.; Zhang, J.; Zhang, T. Metallogenic characteristics and resource potential of antimony in China. J. Geochem. Explor. 2021, 230, 106834. [Google Scholar] [CrossRef]
- U.S. Geological Survey. Mineral Commodity Summaries 2022; U.S. Geological Survey: Reston, VA, USA, 2022; pp. 1–202.
- Kyono, A.; Hayakawa, A.; Horiki, M. Selenium substitution effect on crystal structure of stibnite (Sb2S3). Phys. Chem. Miner. 2015, 42, 475–490. [Google Scholar] [CrossRef]
- Williams-Jones, A.E.; Normand, C. Controls of mineral parageneses in the system Fe-Sb-S-O. Econ. Geol. 1997, 92, 308–324. [Google Scholar] [CrossRef]
- Dill, H.; Melcher, F.; Botz, R. Meso- to epithermal W-bearing Sb vein-type deposits in calcareous rocks in western Thailand; with special reference to their metallogenetic position in SE Asia. Ore Geol. Rev. 2008, 34, 242–262. [Google Scholar] [CrossRef]
- Hu, R.; Fu, S.; Huang, Y.; Zhou, M.-F.; Fu, S.; Zhao, C.; Wang, Y.; Bi, X.; Xiao, J. The giant South China Mesozoic low-temperature metallogenic domain: Reviews and a new geodynamic model. J. Southeast Asian Earth Sci. 2017, 137, 9–34. [Google Scholar] [CrossRef]
- Li, H.; Wu, Q.-H.; Evans, N.J.; Zhou, Z.-K.; Kong, H.; Xi, X.-S.; Lin, Z.-W. Geochemistry and geochronology of the Banxi Sb deposit: Implications for fluid origin and the evolution of Sb mineralization in central-western Hunan, South China. Gondwana Res. 2018, 55, 112–134. [Google Scholar] [CrossRef]
- Fu, S.; Hu, R.; Bi, X.; Sullivan, N.A.; Yan, J. Trace element composition of stibnite: Substitution mechanism and implications for the genesis of Sb deposits in southern China. Appl. Geochem. 2020, 118, 104637. [Google Scholar] [CrossRef]
- Fu, S.; Lan, Q.; Yan, J. Trace element chemistry of hydrothermal quartz and its genetic significance: A case study from the Xikuangshan and Woxi giant Sb deposits in southern China. Ore Geol. Rev. 2020, 126, 103732. [Google Scholar] [CrossRef]
- Cook, N.J.; Ciobanu, C.L.; Pring, A.; Skinner, W.; Shimizu, M.; Danyushevsky, L.; Saini-Eidukat, B.; Melcher, F. Trace and minor elements in sphalerite: A LA-ICPMS study. Geochim. Cosmochim. Acta 2009, 73, 4761–4791. [Google Scholar] [CrossRef]
- Ciobanu, C.; Cook, N.; Kelson, C.; Guerin, R.; Kalleske, N.; Danyushevsky, L. Trace element heterogeneity in molybdenite fingerprints stages of mineralization. Chem. Geol. 2013, 347, 175–189. [Google Scholar] [CrossRef]
- Reich, M.; Deditius, A.; Chryssoulis, S.; Li, J.-W.; Ma, C.-Q.; Parada, M.A.; Barra, F.; Mittermayr, F. Pyrite as a record of hydrothermal fluid evolution in a porphyry copper system: A SIMS/EMPA trace element study. Geochim. Cosmochim. Acta 2013, 104, 42–62. [Google Scholar] [CrossRef]
- George, L.; Cook, N.; Ciobanu, C.L.; Wade, B.P. Trace and minor elements in galena: A reconnaissance LA-ICP-MS study. Am. Miner. 2015, 100, 548–569. [Google Scholar] [CrossRef]
- Cook, N.J.; Ciobanu, C.L.; Giles, D.; Wade, B. Correlating textures and trace elements in ore minerals. Mineral deposit research for a high-tech world. In Proceedings of the 12th Biennial SGA Meet, Uppsala, Sweden, 12–15 August 2013; pp. 288–291. [Google Scholar]
- Craddock, P.R.; Rouxel, O.J.; Ball, L.A.; Bach, W. Sulfur isotope measurement of sulfate and sulfide by high-resolution MC-ICP-MS. Chem. Geol. 2008, 253, 102–113. [Google Scholar] [CrossRef]
- Fu, S.; Hu, R.; Yin, R.; Yan, J.; Mi, X.; Song, Z.; Sullivan, N.A. Mercury and in situ sulfur isotopes as constraints on the metal and sulfur sources for the world’s largest Sb deposit at Xikuangshan, southern China. Miner. Depos. 2019, 55, 1353–1364. [Google Scholar] [CrossRef]
- Hu, R.-Z.; Zhou, M.-F. Multiple Mesozoic mineralization events in South China—An introduction to the thematic issue. Miner. Depos. 2012, 47, 579–588. [Google Scholar] [CrossRef]
- Yang, D.-S.; Shimizu, M.; Shimazaki, H.; Li, X.-H.; Xie, Q.-L. Sulfur Isotope Geochemistry of the Supergiant Xikuangshan Sb Deposit, Central Hunan, China: Constraints on Sources of Ore Constituents. Resour. Geol. 2006, 56, 385–396. [Google Scholar] [CrossRef]
- Liu, S.B.; Tang, D.W.; Wei, J.J. Ore-controlling characteristics and prospecting potential of Daocaowan antimony deposit in Lengshuijiang City, Hunan Province. World Nonferrous Met. 2020, 7, 75–76, (In Chinese with English Abstract). [Google Scholar]
- Tang, D.W.; Wei, J.J.; Liu, S.B.; Zhao, Z.J.; Tan, M.L.; Zhou, L.Q.; Xiao, L.M. Important prospecting breakthrough and new understanding of geological characteristics in the north plunging end of Xikuangshan antimony ore field. Miner Explor. 2021, 12, 1750–1757, (In Chinese with English Abstract). [Google Scholar]
- Yao, J.; Shu, L.; Cawood, P.A.; Li, J. Delineating and characterizing the boundary of the Cathaysia Block and the Jiangnan orogenic belt in South China. Precambrian Res. 2016, 275, 265–277. [Google Scholar] [CrossRef]
- BGMRHN Bureau of Geology and Mineral Resource in Hunan Province. Regional Geology of the Hunan Province; Geological Publishing House: Beijing, China, 1988; pp. 286–507, (In Chinese with English Abstract). [Google Scholar]
- Ma, D.S.; Pan, J.Y.; Xie, Q.L.; He, J. Ore source of Sb (Au) deposits in Center Hunan: I. Evidences of trace elements and experimental geochemistry. Miner. Depos. 2002, 3, 366–376, (In Chinese with English Abstract). [Google Scholar]
- Hu, A.X.; Peng, J.T. Fluid inclusions and ore precipitation mechanism in the giant Xikuangshan mesothermal antimony deposit, South China: Conventional and infrared microthermometric constraints. Ore Geol. Rev. 2018, 95, 49–64. [Google Scholar]
- Peng, Y.; Gu, X.; Zhang, Y.; Liu, L.; Wu, C.; Chen, S. Ore-forming process of the Huijiabao gold district, southwestern Guizhou Province, China: Evidence from fluid inclusions and stable isotopes. J. Southeast Asian Earth Sci. 2014, 93, 89–101. [Google Scholar] [CrossRef]
- Shi, M.K.; Fu, B.Q.; Jin, X.X.; Zhou, X.C. Antimony Metallogeny in the Central Part of Hunan Province. Changsha; Hunan Press of Science Technology: Changsha, China, 1993; pp. 1–149, (In Chinese with English Abstract). [Google Scholar]
- Hu, X.W.; Pei, R.F.; Zhou, S. Sm-Nd dating for antimony mineralization in the Xikuangshan deposit, Hunan, China. Resour. Geol. 1996, 4, 227–231. [Google Scholar]
- Peng, J.T.; Hu, R.Z.; Burnard, P.G. Samarium-neodymium isotope systematics of hydrothermal calcites from the Xikuangshan deposits (Hunan, China): The potential of calcite as a geochronometer. Chem. Geol. 2003, 200, 129–136. [Google Scholar] [CrossRef]
- Zhai, D.; Mathur, R.; Liu, S.-A.; Liu, J.; Godfrey, L.; Wang, K.; Xu, J.; Vervoort, J. Antimony isotope fractionation in hydrothermal systems. Geochim. Cosmochim. Acta 2021, 306, 84–97. [Google Scholar] [CrossRef]
- Xu, J.W.; Liu, X.H.; Lai, J.Q.; He, H.S.; Song, X.F.; Zhai, D.G.; Li, B.; Wang, Y.H.; Shi, J.; Zhou, X. In Situ U-Pb Geochronology of Calcite from the World’s Largest Antimony Deposit at Xikuangshan, Southern China. Minerals 2022, 12, 899. [Google Scholar] [CrossRef]
- Xie, G.Q.; Peng, J.T.; Hu, R.Z.; Jia, D.C. Geochemical characteristics of lamprophyres in the Xikuangshan antimony ore deposits Hunan province. Acta Petrol. Sin. 2001, 17, 629–636, (In Chinese with English Abstract). [Google Scholar]
- Hu, A.X.; Peng, J.T. Mesozoic lamprophyre and its origin in the Xikuangshan mining district, central Hunan. Acta Petrol. Sin. 2016, 32, 2041–2056, (In Chinese with English Abstract). [Google Scholar]
- Liu, G.; Jian, H. Geological characteristics of the Xikuangshan antimony ore field. Miner. Depos. 1983, 3, 43–50, (In Chinese with English Abstract). [Google Scholar]
- Jin, J.F.; Tao, Y.; Zeng, L.J. The ore-forming fluid of Xikuangshan-type antimony deposits. Bull. China Soc. Miner Petrol. Geochem. 2001, 3, 156–164, (In Chinese with English Abstract). [Google Scholar]
- Paton, C.; Hellstrom, J.; Paul, B.; Woodhead, J.; Hergt, J. Iolite: Freeware for the visualisation and processing of mass spectrometric data. J. Anal. At. Spectrom. 2011, 26, 2508–2518. [Google Scholar] [CrossRef]
- Wilson, S.A.; Ridley, W.I.; Koenig, A.E. Development of sulfide calibration standards for the laser ablation inductively-coupled plasma mass spectrometry technique. J. Anal. At. Spectrom. 2002, 17, 406–409. [Google Scholar] [CrossRef]
- Chen, L.; Chen, K.; Bao, Z.; Liang, P.; Sun, T.; Yuan, H. Preparation of standards for in situ sulfur isotope measurement in sulfides using femtosecond laser ablation MC-ICP-MS. J. Anal. At. Spectrom. 2016, 32, 107–116. [Google Scholar] [CrossRef]
- Zhaanbaeva, A.; Peng, K.; Oyebamiji, A.; Asilbekov, K. Source characteristics and genesis of Sb mineralization from the Au and Sb deposits of the Youjiang Basin, SW China: Constraints from stibnite trace element and isotope geochemistry. Acta Geochim. 2021, 40, 659–675. [Google Scholar] [CrossRef]
- Deditius, A.P.; Utsunomiya, S.; Reich, M.; Kesler, S.E.; Ewing, R.C.; Hough, R.; Walshe, J. Trace metal nanoparticles in pyrite. Ore Geol. Rev. 2011, 42, 32–46. [Google Scholar] [CrossRef]
- Zhang, J.; Li, L.; Gilbert, S.; Liu, J.-J.; Shi, W.-S. LA-ICP-MS and EPMA studies on the Fe-S-As minerals from the Jinlongshan gold deposit, Qinling Orogen, China: Implications for ore-forming processes. Geol. J. 2014, 49, 482–500. [Google Scholar] [CrossRef]
- Arehart, G.B. Characteristics and origin of sediment-hosted disseminated gold deposits: A review. Ore Geol. Rev. 1996, 11, 383–403. [Google Scholar] [CrossRef]
- Nevolko, P.; Hnylko, O.; Mokrushnikov, V.; Gibsher, A.; Redin, Y.; Zhimulev, F.; Drovzhak, A.; Svetlitskaya, T.; Fomynikh, P.; Karavashkin, M. Geology and geochemistry of the Kadamzhai and Chauvai gold-antimony-mercury deposits: Implications for new province of Carlin-type gold deposits at the Southern Tien Shan (Kyrgyzstan). Ore Geol. Rev. 2018, 105, 551–571. [Google Scholar] [CrossRef]
- Rytuba, J.J. Mercury from mineral deposits and potential environmental impact. Environ. Earth Sci. 2003, 43, 326–338. [Google Scholar] [CrossRef]
- Wilson, S.C.; Lockwood, P.V.; Ashley, P.M.; Tighe, M. The chemistry and behaviour of antimony in the soil environment with comparisons to arsenic: Acritical review. Environ. Pollut. 2010, 158, 1169–1181. [Google Scholar] [CrossRef]
- Ohmoto, H.; Rye, R.O. Isotopes of sulfur and carbon. In Geochemistry of Hydrothermal Ore Deposits; Wiley: New York, NY, USA, 1979; pp. 509–567. [Google Scholar]
- Hoefs, J. Stable Isotope Geochemistry, 7th ed.; Springer International Publishing: Cham, Switzerland, 2015; p. 97. [Google Scholar]
- Zotov, A.; Shikina, N.; Akinfiev, N. Thermodynamic properties of the Sb(III) hydroxide complex Sb(OH)3(aq) at hydrothermal conditions. Geochim. Cosmochim. Acta 2003, 67, 1821–1836. [Google Scholar] [CrossRef]
- Obolensky, A.; Gushchina, L.; Borisenko, A.; Borovikov, A.; Pavlova, G. Antimony in hydrothermal processes: Solubility, conditions of transfer, and metal-bearing capacity of solutions. Russ. Geol. Geophys. 2007, 48, 992–1001. [Google Scholar] [CrossRef]
- Biver, M.; Shotyk, W. Stibnite (Sb2S3) oxidative dissolution kinetics from pH 1 to 11. Geochim. Cosmochim. Acta 2012, 79, 127–139. [Google Scholar] [CrossRef]
- Ohmoto, H.; Yamaguchi, K.E.; Ono, S. Questions Regarding Precambrian Sulfur Isotope Fractionation. Science 2001, 292, 1959. [Google Scholar] [CrossRef]
- Seal, R.R. Sulfur isotope geochemistry of sulfide minerals. Rev. Mineral. Geochem. 2006, 61, 633–677. [Google Scholar] [CrossRef]
- Li, W.; Cook, N.J.; Xie, G.-Q.; Mao, J.-W.; Ciobanu, C.L.; Fu, B. Complementary Textural, Trace Element, and Isotopic Analyses of Sulfides Constrain Ore-Forming Processes for the Slate-Hosted Yuhengtang Au Deposit, South China. Econ. Geol. 2021, 116, 1825–1848. [Google Scholar] [CrossRef]
- Zou, T.X. Geochemica characteristics and ore-forming mechanism of the antimony ore field of Xikuangshan, Hunan. J. Guilin Coll. Geol. 1988, 8, 187–195, (In Chinese with English Abstract). [Google Scholar]
- Ma, D.S.; Pan, J.Y.; Xie, Q.L. Ore sources of Sb (Au) deposits in CenterHunan: II. Evidence of isotopic geochemistry. Miner. Depos. 2003, 21, 78–87, (In Chinese with English Abstract). [Google Scholar]
- Fan, D.; Zhang, T.; Ye, J. The Xikuangshan Sb deposit hosted by the Upper Devonian black shale series, Hunan, China. Ore Geol. Rev. 2004, 24, 121–133. [Google Scholar] [CrossRef]
- Yang, S.Q. On inquiry about the genesis of Hunan antimony deposit and prospecting direction. Hunan Geol. 1986, 4, 12–25, (In Chinese with English Abstract). [Google Scholar]
- Ohmoto, H. Stable isotopes in high temperature geological process. Rev. Mineral. Geochem. 1986, 16, 491–559. [Google Scholar]
- Chaussidon, M.; Albarede, F.; Sheppard, S.M. Sulphur isotope variations in the mantle from ion microprobe analyses of micro-sulphide inclusions. Earth Planet. Sci. Lett. 1989, 92, 144–156. [Google Scholar] [CrossRef]
- Jiang, Z.Y.; Wei, L.M.; Chen, M.Y. Sulfur isotopic study of sulfides from sedimentary strata and strata-bound deposits in Hunan. Guangdong Guangxi South. China Geochem. 1990, 19, 117–126, (In Chinese with English Abstract). [Google Scholar]
- Gu, X.; Zhang, Y.; Schulz, O.; Vavtar, F.; Liu, J.; Zheng, M.; Zheng, L. The Woxi W–Sb–Au deposit in Hunan, South China: An example of Late Proterozoic sedimentary exhalative (SEDEX) mineralization. J. Southeast Asian Earth Sci. 2012, 57, 54–75. [Google Scholar] [CrossRef]
- Fu, S.L.; Zajacz, Z.; Tsay, A.; Hu, R.Z. Can magma degassing at depth donate the metal budget of large hydrothermal Sb deposits? Geochim. Cosmochim. Acta. 2020, 290, 1–15. [Google Scholar] [CrossRef]
- Peng, J.T.; Hu, R.Z.; Deng, H.L.; Su, W.C. Strontium isotope geochemistry of Xikuangshan antimony deposit, center Hunan. Geochemistry 2001, 3, 248–256, (In Chinese with English Abstract). [Google Scholar]
- Lu, X.W.; Ma, D.S.; Xie, Q.L.; Wang, W.Y. Trace element geochemical characteristics of Neoproterozoic-Paleozoic strata in western and central Hunan. Geol. Geochem. 2001, 29, 24–30, (In Chinese with English Abstract). [Google Scholar]
- Niu, H.C.; Ma, D.S. Experimental geochemistry of gold, antimony and tungsten during water-rock interactions under low-temperature, open system. Chin. J. 1991, 36, 1879–1881, (In Chinese with English Abstract). [Google Scholar]
- He, J.; Ma, D.S. Leaching experiment of gold, antimony, mercury and arsenic from the strata under epithermal-mesothermal conditions in sulfur- and chlorine-bearing solutions. Geol. Rev. 1996, 42, 76–85, (In Chinese with English Abstract). [Google Scholar]
- Yan, J.; Fu, S.; Liu, S.; Wei, L.; Wang, T. Giant Sb metallogenic belt in South China: A product of Late Mesozoic flat-slab subduction of paleo-Pacific plate. Ore Geol. Rev. 2022, 142, 104697. [Google Scholar] [CrossRef]











| Analysis ID | Sample Types | Minerals | Δ34Sv-CDT | 2σ |
|---|---|---|---|---|
| DCW-1-2@01 | Stibnite ores | Stibnite | 9.12 | 0.19 |
| DCW-1-2@02 | Stibnite ores | Stibnite | 8.75 | 0.19 |
| DCW-1-2@03 | Stibnite ores | Stibnite | 8.96 | 0.20 |
| DCW-1-2@04 | Stibnite ores | Stibnite | 9.21 | 0.20 |
| DCW-1-2@05 | Stibnite ores | Stibnite | 9.28 | 0.21 |
| DCW-1-2@06 | Stibnite ores | Stibnite | 9.29 | 0.20 |
| DCW-1-2@07 | Stibnite ores | Stibnite | 8.97 | 0.19 |
| DCW-1-2@08 | Stibnite ores | Stibnite | 9.04 | 0.21 |
| DCW-1-2@09 | Stibnite ores | Stibnite | 9.08 | 0.20 |
| DCW-1-2@10 | Stibnite ores | Stibnite | 8.94 | 0.20 |
| DCW-2@01 | Stibnite ores | Stibnite | 9.18 | 0.20 |
| DCW-2@02 | Stibnite ores | Stibnite | 8.57 | 0.19 |
| DCW-2@03 | Stibnite ores | Stibnite | 9.28 | 0.20 |
| DCW-2@04 | Stibnite ores | Stibnite | 9.25 | 0.19 |
| DCW-2@05 | Stibnite ores | Stibnite | 9.13 | 0.19 |
| DCW-2@06 | Stibnite ores | Stibnite | 8.31 | 0.21 |
| DCW-2@07 | Stibnite ores | Stibnite | 7.53 | 0.22 |
| DCW-2@08 | Stibnite ores | Stibnite | 6.65 | 0.19 |
| DCW-2@09 | Stibnite ores | Stibnite | 8.53 | 0.21 |
| DCW-2@10 | Stibnite ores | Stibnite | 8.21 | 0.20 |
Publisher’s Note: MDPI stays neutral with regard to jurisdictional claims in published maps and institutional affiliations. |
© 2022 by the authors. Licensee MDPI, Basel, Switzerland. This article is an open access article distributed under the terms and conditions of the Creative Commons Attribution (CC BY) license (https://creativecommons.org/licenses/by/4.0/).
Share and Cite
Song, X.; Lai, J.; Xu, J.; Liu, X.; Li, B.; He, H.; Wang, Y.; Shi, J.; Wang, C.; Wen, C. Material Source and Genesis of the Daocaowan Sb Deposit in the Xikuangshan Ore Field: LA-ICP-MS Trace Elements and Sulfur Isotope Evidence from Stibnite. Minerals 2022, 12, 1407. https://doi.org/10.3390/min12111407
Song X, Lai J, Xu J, Liu X, Li B, He H, Wang Y, Shi J, Wang C, Wen C. Material Source and Genesis of the Daocaowan Sb Deposit in the Xikuangshan Ore Field: LA-ICP-MS Trace Elements and Sulfur Isotope Evidence from Stibnite. Minerals. 2022; 12(11):1407. https://doi.org/10.3390/min12111407
Chicago/Turabian StyleSong, Xiangfa, Jianqing Lai, Junwei Xu, Xianghua Liu, Bin Li, Hongsheng He, Yuhua Wang, Jian Shi, Chaofei Wang, and Chunhua Wen. 2022. "Material Source and Genesis of the Daocaowan Sb Deposit in the Xikuangshan Ore Field: LA-ICP-MS Trace Elements and Sulfur Isotope Evidence from Stibnite" Minerals 12, no. 11: 1407. https://doi.org/10.3390/min12111407
APA StyleSong, X., Lai, J., Xu, J., Liu, X., Li, B., He, H., Wang, Y., Shi, J., Wang, C., & Wen, C. (2022). Material Source and Genesis of the Daocaowan Sb Deposit in the Xikuangshan Ore Field: LA-ICP-MS Trace Elements and Sulfur Isotope Evidence from Stibnite. Minerals, 12(11), 1407. https://doi.org/10.3390/min12111407

