Origin and Composition of Ferromanganese Deposits of New Caledonia Exclusive Economic Zone
Abstract
:1. Introduction
2. Regional Settings
3. Material and Methods
3.1. Sample Collection
3.2. Mineralogical Analyses
3.3. Geochemical Analyses
4. Results
4.1. Sample Description
4.2. XRD and SEM Mineralogy
4.3. Geochemistry
4.3.1. Fe-Mn Samples Classification
4.3.2. Hydrogenetic Fe-Mn Crusts
4.3.3. Non-Hydrogenetic Mn-Rich (±Ca-Fe) Samples Deposits
4.4. Growth Rates and Ages
4.5. Element Correlations
4.6. Factor Analysis
5. Discussion
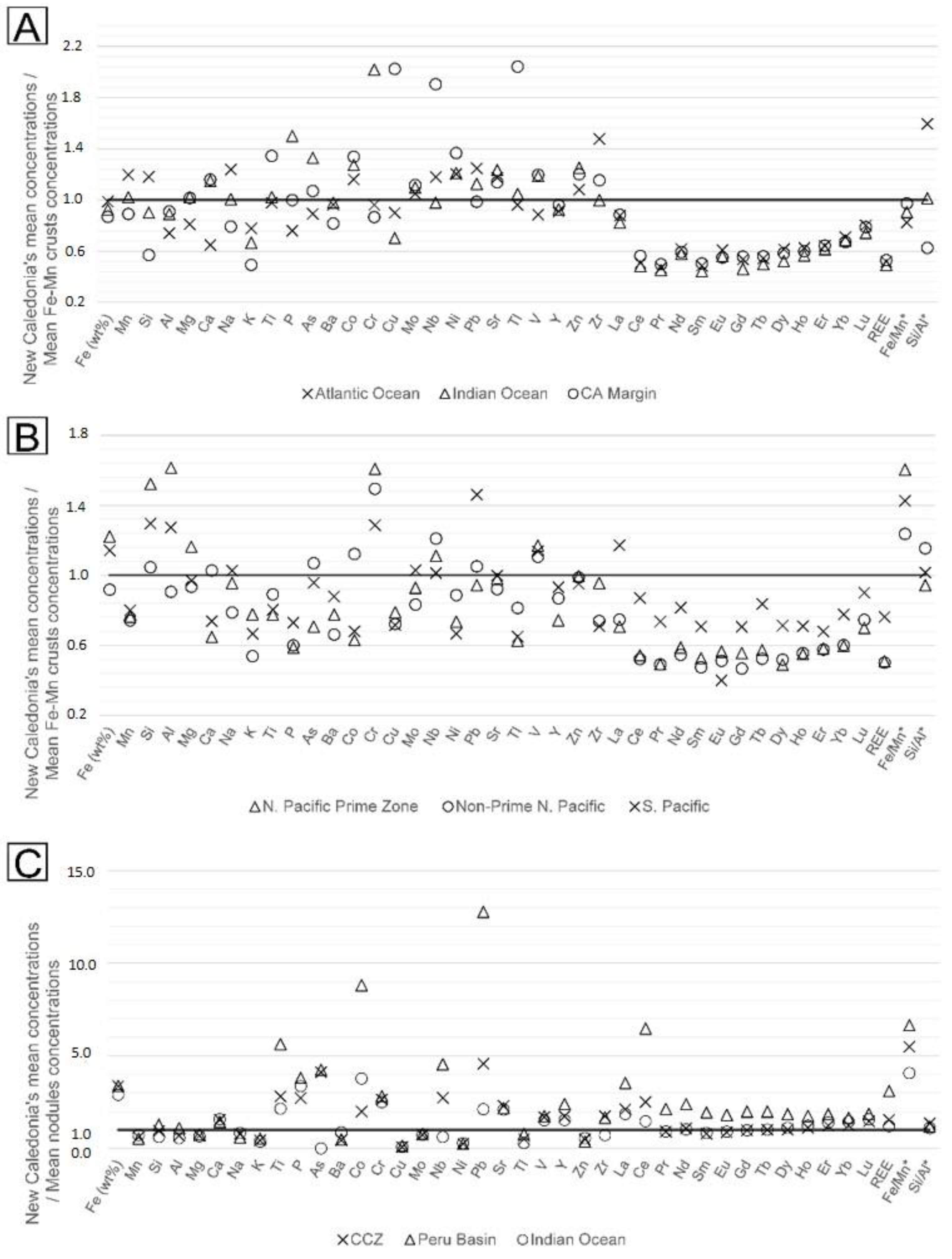
5.1. Comparison of New Caledonia’s Fe-Mn Crusts with Other Oceans Deposits
5.2. Crusts Chemical Changes with Water Depth
5.3. Nature of Non-Hydrogenetic Deposits
5.4. Resource Considerations
6. Summary and Conclusions
- (1)
- Several deposit styles were identified within the EEZ: a group of hydrogenetic crusts with chemical, textural and mineralogical characteristics similar to other hydrogenetic deposits found elsewhere in the ocean, and two groups of hydrothermal and diagenetic deposits located on the Loyalty and the Lord Howe ridges.
- (2)
- Hydrogenetic crusts started to grow about 34 Ma ago, at a rate of 2.2–3.1 mm/Ma, leading to a maximum crust thickness of 115 mm.
- (3)
- The hydrothermal/diagenetic samples from the Lord Howe Rise and the Loyalty Ridge exhibit wider chemical and mineralogical compositions (10 Å manganates ± pyrolusite), as well as a significant enrichment in Ni for two samples.
- (4)
- New Caledonia’s hydrogenetic crust compositions are in the range of typical hydrogenetic Fe-Mn crusts. The mean combined concentration of metals with high economic potential Co + Ni + Cu is 0.81%, which is higher than Indian and Atlantic oceans, but lower than the Pacific Prime Crust Zone and the South Pacific Ocean. Several seamounts in the Southern part of the EEZ present clusters of Co + Ni + Cu values above 1%.
- (5)
- Further investigations will be needed to constrain more precisely the depositional settings of the hydrothermal/diagenetic samples, and the economic potential of hydrogenetic Fe-Mn crusts inside New Caledonia’s EEZ.
Supplementary Materials
Author Contributions
Funding
Data Availability Statement
Acknowledgments
Conflicts of Interest
References
- Hein, J.; Koschinsky, A.; Bau, M.; Manheim, F.; Kang, J.-K.; Roberts, L. Cobalt-Rich Ferromanganese Crusts in the Pacific. In Handbook of Marine Mineral Deposits; CRC Press: Boca Raton, FL, USA, 2000; Volume 17, pp. 239–279. [Google Scholar]
- Halbach, P.E.; Jahn, A.; Cherkashov, G. Marine Co-Rich Ferromanganese Crust Deposits: Description and Formation, Occurrences and Distribution, Estimated World-wide Resources. In Deep-Sea Mining; Springer International Publishing: Cham, Switzerland, 2017; pp. 65–141. [Google Scholar]
- Koschinsky, A.; Hein, J.R. Marine Ferromanganese Encrustations: Archives of Changing Oceans. Elements 2017, 13, 177–182. [Google Scholar] [CrossRef]
- Hein, J.; Morgenson, L.; Clague, D.; Koski, R. Cobalt-rich ferromanganese crusts from the Exclusive Economic Zone of the United States and nodules from the oceanic Pacific. In Geology and Resource Potential of the Continental Margin of Western North America and Adjacent Ocean Basins—Beaufort Sea to Baja California; Circum Pacific Council for Energy and Mineral Resources: Menlo Park, CA, USA, 1987; pp. 753–771. [Google Scholar]
- Josso, P.; Rushton, J.; Lusty, P.; Matthews, A.; Chenery, S.; Holwell, D.; Kemp, S.J.; Murton, B. Late Cretaceous and Cenozoic paleoceanography from north-east Atlantic ferromanganese crust microstratigraphy. Mar. Geol. 2020, 422, 106122. [Google Scholar] [CrossRef]
- Kuhn, T.; Wegorzewski, A.; Rühlemann, C.; Vink, A. Composition, Formation, and Occurrence of Polymetallic Nodules; Sharma, R., Ed.; Deep-Sea Mining; Springer: Cham, Switzerland, 2017; pp. 23–63. [Google Scholar]
- Koschinsky, A.; Halbach, P. Sequential leaching of marine ferromanganese precipitates: Genetic implications. Geochim. Cosmochim. Acta 1995, 59, 5113–5132. [Google Scholar]
- Koschinsky, A.; Hein, J.R. Uptake of elements from seawater by ferromanganese crusts: Solid-phase associations and seawater speciation. Mar. Geol. 2003, 198, 331–351. [Google Scholar] [CrossRef]
- Hein, J.R.; Mizell, K.; Koschinsky, A.; Conrad, T.A. Deep-ocean mineral deposits as a source of critical metals for high- and green-technology applications: Comparison with land-based resources. Ore Geol. Rev. 2013, 51, 1–14. [Google Scholar] [CrossRef]
- Hein, J.R.; Hsueh-Wen, Y.; Gunn, S.H.; Gibbs, A.E.; Chung-ho, W. Composition and origin of hydrothermal ironstones from central Pacific seamounts. Geochim. Cosmochim. Acta 1994, 58, 179–189. [Google Scholar]
- Hein, J.R.; Schulz, M.S.; Dunham, R.E.; Stern, R.J.; Bloomer, S.H. Diffuse flow hydrothermal manganese mineralization along the active Mariana and southern Izu-Bonin arc system, western Pacific. J. Geophys. Res. Solid Earth 2008, 113. [Google Scholar] [CrossRef] [Green Version]
- Kuhn, T.; Bostick, B.C.; Koschinsky, A.; Halbach, P.; Fendorf, S. Enrichment of Mo in hydrothermal Mn precipitates: Possible Mo sources, formation process and phase associations. Chem. Geol. 2003, 199, 29–43. [Google Scholar] [CrossRef]
- Fitzgerald, C.E.; Gillis, K.M. Hydrothermal manganese oxide deposits from Baby Bare seamount in the Northeast Pacific Ocean. Mar. Geol. 2006, 225, 145–156. [Google Scholar] [CrossRef]
- Pelleter, E.; Fouquet, Y.; Etoubleau, J.; Cheron, S.; Labanieh, S.; Josso, P.; Bollinger, C.; Langlade, J. Ni-Cu-Co-rich hydrothermal manganese mineralization in the Wallis and Futuna back-arc environment (SW Pacific). Ore Geol. Rev. 2017, 87, 126–146. [Google Scholar] [CrossRef] [Green Version]
- Daniel, J.; Dugas, F.; Dupont, J.; Jouannic, C.; Launay, J.; Monzier, M.; Récy, J. La zone charnière Nouvelle-Calédonie—Ride de Norfolk (S.W. Pacifique): Résultats de dragages et interprétation. Cah. ORSTOM Série Géologie 1976, 8, 95–105. [Google Scholar]
- Monzier, M.; Vallot, J. Rapport Préliminaire Concernant les Dragages Réalisés lors de la Campagne GEOSTORM 3 Sud (1975); Centre de Noumea: Nouméa, Nouvelle-Calédonie, 1983; 77p. [Google Scholar]
- Monzier, M.; Boulin, J.; Collot, J.-Y.; Daniel, J.; Lallemand, S.; Pelletier, B.E. First results of SUBPSO I dives in the collision zone “Loyalty islands ridge/New Hebrides island arc” (South West Pacific). Comptes Rendus De L’Académie Des Sci. Paris Série II 1989, 309, 2069–2076. [Google Scholar]
- Pichocki, C.; Hoffert, M. Characteristics of Co-rich ferromanganese nodules and crusts sampled in French Polynesia. Mar. Geol. 1987, 77, 109–119. [Google Scholar] [CrossRef]
- Exon, N.; Quilty, P.; Lafoy, Y.; Crawford, A.J.; Auzende, J.-M. Miocene volcanic seamounts on northern Lord Howe Rise: Lithology, age and origin. Aust. J. Earth Sci. 2004, 51, 291–300. [Google Scholar] [CrossRef]
- Richer de Forges, B. BATHUS 3 cruise. RV Alis 1993. [Google Scholar] [CrossRef]
- Richer de Forges, B. EBISCO cruise. RV Alis 2005. [Google Scholar] [CrossRef]
- Recy, J. EVA. Mar. Geol. 1976. Available online: https://campagnes.flotteoceanographique.fr/series/199/ (accessed on 21 July 2021).
- Dubois, J.P. GEORSTOM II cruise. RV Coriolis 1974. [Google Scholar] [CrossRef]
- Dubois, J.P. GEORSTOM III EST cruise. RV Le Noroit 1975. [Google Scholar] [CrossRef]
- Launay, J. GEORSTOM III SUD cruise. RV Le Noroit 1975. [Google Scholar] [CrossRef]
- Recy, J. GEORSTOM III NORD cruise. RV Le Noroit 1975. [Google Scholar] [CrossRef]
- Collot, J.; Rouillard, P. IPOD cruise. RV Alis 2012. [Google Scholar] [CrossRef]
- Samadi, S.; Hourdez, S. KANADEEP 1 cruise. RV Alis 2017. [Google Scholar] [CrossRef]
- Samadi, S.; Olu, K. KANADEEP 2 cruise. RV L’Atalante 2019. [Google Scholar] [CrossRef]
- Patriat, M.; Mortimer, N. VESPA cruise. RV L’Atalante 2015. [Google Scholar] [CrossRef]
- Patriat, M.; Collot, J.; Etienne, S.; Poli, S.; Clerc, C.; Mortimer, N.; Pattier, F.; Juan, C.; Roest, W.R. New Caledonia Obducted Peridotite Nappe: Offshore Extent and Implications for Obduction and Postobduction Processes. Tectonics 2018, 37, 1077–1096. [Google Scholar] [CrossRef] [Green Version]
- Cluzel, D.; Maurizot, P.; Collot, J.; Sevin, B. An outline of the Geology of New Caledonia; from Permian-Mesozoic Southeast Gondwanaland active margin to Cenozoic obduction and supergene evolution. Episodes 2012, 35, 72–86. [Google Scholar] [CrossRef] [PubMed]
- Collot, J.; Vendé-Leclerc, M.; Rouillard, P.; Lafoy, Y.; Géli, L. Map helps unravel complexities of the southwestern Pacific Ocean. Eos Trans. Am. Geophys. Union 2012, 93, 1–2. [Google Scholar] [CrossRef] [Green Version]
- Mortimer, N.; Hauff, F.; Calvert, A.T. Continuation of the New England Orogen, Australia, beneath the Queensland Plateau and Lord Howe Rise. Aust. J. Earth Sci. 2008, 55, 195–209. [Google Scholar] [CrossRef]
- Cluzel, D.; Adams, C.J.; Meffre, S.; Campbell, H.; Maurizot, P. Discovery of Early Cretaceous Rocks in New Caledonia: New Geochemical and U-Pb Zircon Age Constraints on the Transition from Subduction to Marginal Breakup in the Southwest Pacific. J. Geol. 2010, 118, 381–397. [Google Scholar] [CrossRef] [Green Version]
- Collot, J.; Patriat, M.; Sutherland, R.; Williams, S.; Cluzel, D.; Seton, M.; Pelletier, B.; Roest, W.R.; Etienne, S.; Bordenave, A.; et al. Chapter 2° Geodynamics of the SW Pacific: A brief review and relations with New Caledonian geology. Geol. Soc. Lond. Mem. 2020, 51, 13–26. [Google Scholar] [CrossRef]
- Mortimer, N.; Campbell, H.; Tulloch, A.; King, P.; Stagpoole, V.; Wood, R.; Rattenbury, M.; Sutherland, R.; Adams, C.; Collot, J.; et al. Zealandia: Earth’s Hidden Continent. GSA Today 2017, 27, 27–35. [Google Scholar] [CrossRef]
- Maurizot, P.; Cluzel, D.; Meffre, S.; Campbell, H.J.; Collot, J.; Sevin, B. Chapter 3 Pre-Late Cretaceous basement terranes of the Gondwana active margin of New Caledonia. Geol. Soc. Lond. Mem. 2020, 51, 27–52. [Google Scholar] [CrossRef]
- Collot, J. Geodynamic Evolution of the New Caledonia Western Offshore Domain and its Extensions Towards New Zealand. Ph.D. Thesis, Université de Bretagne occidentale, Brest, France, 2009. [Google Scholar]
- Maurizot, P.; Bordenave, A.; Cluzel, D.; Collot, J.; Etienne, S. Chapter 4 Late Cretaceous to Eocene cover of New Caledonia: From rifting to convergence. Geol. Soc. Lond. Mem. 2020, 51, 53–91. [Google Scholar] [CrossRef]
- Gaina, C.; Müller, D.; Royer, J.-Y.; Stock, J.; Hardebeck, J.; Symonds, P. The tectonic history of the Tasman Sea: A puzzle with 13 pieces. J. Geophys. Res. 1998, 103, 12413–12433. [Google Scholar] [CrossRef] [Green Version]
- Rouillard, P.; Collot, J.; Sutherland, R.; Bache, F.; Patriat, M.; Etienne, S.; Maurizot, P. Seismic stratigraphy and paleogeographic evolution of Fairway Basin, Northern Zealandia, Southwest Pacific: From Cretaceous Gondwana breakup to Cenozoic Tonga–Kermadec subduction. Basin Res. 2017, 29, 189–212. [Google Scholar] [CrossRef] [Green Version]
- Collot, J.; Geli, L.; Lafoy, Y.; Vially, R.; Cluzel, D.; Klingelhoefer, F.; Nouze, H. Tectonic history of northern New Caledonia Basin from deep offshore seismic reflection: Relation to late Eocene obduction in New Caledonia, southwest Pacific. Tectonics 2008, 27, 1–20. [Google Scholar] [CrossRef] [Green Version]
- Sutherland, R.; Collot, J.; Bache, F.; Henrys, S.; Barker, D.; Browne, G.H.; Lawrence, M.; Morgans, H.; Hollis, C.; Clowes, C.; et al. Widespread compression associated with Eocene Tonga-Kermadec subduction initiation. Geology 2017, 45, 355–358. [Google Scholar] [CrossRef]
- Sutherland, R.; Dickens, G.; Blum, P.; Agnini, C.; Alegret, L.; Gayané, A.; Bhattacharya, J.; Aurelien, B.; Chang, L.; Collot, J.; et al. Continental-scale geographic change across Zealandia during Paleogene subduction initiation. Geology 2020, 48, 419–424. [Google Scholar] [CrossRef] [Green Version]
- Cluzel, D.; Aitchison, J.C.; Picard, C. Tectonic accretion and underplating of mafic terranes in the Late Eocene intraoceanic fore-arc of New Caledonia (Southwest Pacific): Geodynamic implications. Tectonophysics 2001, 340, 23–60. [Google Scholar] [CrossRef] [Green Version]
- Maurizot, P.; Cluzel, D.; Patriat, M.; Collot, J.; Iseppi, M.; Lesimple, S.; Secchiari, A.; Bosch, D.; Montanini, A.; Macera, P.; et al. Chapter 5° The Eocene Subduction–Obduction Complex of New Caledonia. Geol. Soc. Lond. Mem. 2020, 51, 93–130. [Google Scholar] [CrossRef]
- Maurizot, P.; Collot, J.; Cluzel, D.; Patriat, M. Chapter 6° The Loyalty Islands and Ridge, New Caledonia. Geol. Soc. Lond. Mem. 2020, 51, 131–145. [Google Scholar] [CrossRef]
- Hackney, R.; Sutherland, R.; Collot, J. Rifting and subduction initiation history of the New Caledonia Trough, southwest Pacific, constrained by process-oriented gravity models. Geophys. J. Int. 2012, 189, 1293–1305. [Google Scholar] [CrossRef]
- Collot, J.; Patriat, M.; Etienne, S.; Rouillard, P.; Soetaert, F.; Juan, C.; Marcaillou, B.; Palazzin, G.; Clerc, C.; Maurizot, P.; et al. Deepwater fold-and-thrust belt along New Caledonia’s western margin: Relation to post-obduction vertical motions. Tectonics 2017, 36, 2108–2122. [Google Scholar] [CrossRef] [Green Version]
- Sdrolias, M.; Muller, R.D.; Gaina, C.; Hillis, R.R.; Müller, R.D. Tectonic evolution of the southwest Pacific using constraints from backarc basins. In Evolution and Dynamics of the Australian Plate; Geological Society of America: Boulder, CO, USA, 2003; Volume 372. [Google Scholar]
- McDougall, I.; Embleton, B.J.J.; Stone, D.B. Origin and evolution of Lord Howe Island, Southwest Pacific Ocean. J. Geol. Soc. Aust. 1981, 28, 155–176. [Google Scholar] [CrossRef]
- Van de Beuque, S.; Auzende, J.M.; Lafoy, Y.; Missègue, F. Tectonique et volcanisme tertiaire sur la ride de Lord Howe (Sud-Ouest Pacifique) = Tertiary tectonic and volcanism on the Lord Howe Rise (South West Pacific). Comptes Rendus De L’académie Des Sci. De Paris.Série 2a Sci. De La Terre Et Des Planètes 1998, 326, 663–669. [Google Scholar]
- Mortimer, N.; Scott, J. Volcanoes of Zealandia and the Southwest Pacific. N. Z. J. Geol. Geophys. 2020, 63, 1–7. [Google Scholar] [CrossRef]
- Tournadour, E.; Jorry, S.J.; Etienne, S.; Collot, J.; Patriat, M.; BouDagher-Fadel, M.K.; Fournier, F.; Pelletier, B.; Le Roy, P.; Jouet, G.; et al. Neogene to Quaternary evolution of carbonate and mixed carbonate-siliciclastic systems along New Caledonia’s eastern margin (SW Pacific). Mar. Geol. 2021, 438, 106524. [Google Scholar] [CrossRef]
- Etienne, S.; Roy, P.; Tournadour, E.; Roest, W.; Jorry, S.; Collot, J.; Patriat, M.; Largeau, M.; Roger, J.; Clerc, C.; et al. Large-scale margin collapses along a partly drowned, isolated carbonate platform (Lansdowne Bank, SW Pacific Ocean). Mar. Geol. 2021, 436, 106477. [Google Scholar] [CrossRef]
- Pelletier, B.; Auzende, J.-M. Geometry and structure of the Vitiaz Trench Lineament (SW Pacific). Mar. Geophys. Res. 1996, 18, 305–335. [Google Scholar] [CrossRef]
- Sevin, B.; Maurizot, P.; Cluzel, D.; Tournadour, E.; Etienne, S.; Folcher, N.; Jeanpert, J.; Collot, J.; Iseppi, M.; Meffre, S.; et al. Chapter 7 Post-obduction evolution of New Caledonia. Geol. Soc. Lond. Mem. 2020, 51, 147–188. [Google Scholar] [CrossRef]
- Dubois, J.; Launay, J.; Recy, J. Uplift movements in New Caledonia-Loyalty Islands area and their plate tectonics interpretation. Tectonophysics 1974, 24, 133–150. [Google Scholar] [CrossRef]
- Jochum, K.P.; Nohl, U.; Herwig, K.; Lammel, E.; Stoll, B.; Hofmann, A.W. GeoReM: A New Geochemical Database for Reference Materials and Isotopic Standards. Geostand. Geoanalytical Res. 2005, 29, 333–338. [Google Scholar] [CrossRef]
- Barrat, J.A.; Keller, F.; Amossé, J.; Taylor, R.N.; Nesbitt, R.W.; Hirata, T. Determination of rare earth elements in sixteen silicate reference samples by ICP-MS after Tm addition and ion exchange separation. Geostand. Newsl. 1996, 20, 133–139. [Google Scholar] [CrossRef]
- Charles, C.; Barrat, J.A.; Pelleter, E. Trace element determinations in Fe-Mn oxides by high resolution ICP-MS after Tm addition. Talanta 2021, 233, 122446. [Google Scholar] [CrossRef] [PubMed]
- Halbach, P.; Puteanus, D. The influence of the carbonate dissolution rate on the growth and composition of Co-rich ferromanganese crusts from Central Pacific seamount areas. Earth Planet. Sci. Lett. 1984, 68, 73–87. [Google Scholar] [CrossRef]
- Puteanus, D.; Halbach, P. Correlation of Co concentration and growth rat—A method for age determination of ferromanganese crusts. Chem. Geol. 1988, 69, 73–85. [Google Scholar] [CrossRef]
- Koschinsky, A.; Stascheit, A.; Bau, M.; Halbach, P. Effects of phosphatization on the geochemical and mineralogical composition of marine ferromanganese crusts. Geochim. Cosmochim. Acta 1997, 61, 4079–4094. [Google Scholar] [CrossRef]
- Manheim, F.T.; Lane-Bostwick, C.M. Cobalt in ferromanganese crusts as a monitor of hydrothermal discharge on the Pacific sea floor. Nature 1988, 335, 59–62. [Google Scholar] [CrossRef]
- Hein, J.R.; Ahn, J.-h.; Wong, J.-C.; Kang, J.-K.; Smith, V.K.; Yoon, S.H.; D’angelo, W.M.; Yoo, S.-O.; Gibbs, A.E.; Kim, H.-J.; et al. Geology, Geophysics, Geochemistry, and Deep-Sea Mineral Deposits, Federated States of Micronesia; KORDI-USGS R.V. Farnella Cruise F11-90-CP; US Department of Interior: Washington, DC, USA, 1992.
- Hein, J.R.; Koschinsky, A.; Halbach, P.; Manheim, F.T.; Bau, M.; Kang, J.K.; Lubick, N. Iron and manganese oxide mineralization in the Pacific. Geol. Soc. Spec. Publ. 1997, 119, 123–138. [Google Scholar] [CrossRef]
- Usui, A.; Yuasa, M.; Yokota, S.; Nohara, M.; Nishimura, A.; Murakami, F. Submarine hydrothermal manganese deposits from the Ogasawara (Bonin) Arc, off the Japan Islands. Mar. Geol. 1986, 73, 311–322. [Google Scholar] [CrossRef]
- Enrico, B.; Tom, K.; Harold, R. Classification and Genesis of Submarine Iron-Manganese Deposits. In Ferromanganese Deposits on the Ocean Floor; Horn, D., Ed.; National Science Foundation: Washington, DC, USA, 1972; pp. 149–165. [Google Scholar]
- Hein, J.R.; Conrad, T.A.; Frank, M.; Christl, M.; Sager, W.W. Copper-nickel-rich, amalgamated ferromanganese crust-nodule deposits from Shatsky Rise, NW Pacific. Geochem. Geophys. Geosyst. 2012, 13. [Google Scholar] [CrossRef] [Green Version]
- Josso, P.; Pelleter, E.; Pourret, O.; Fouquet, Y.; Etoubleau, J.; Cheron, S.; Bollinger, C. A new discrimination scheme for oceanic ferromanganese deposits using high field strength and rare earth elements. Ore Geol. Rev. 2017, 87, 3–15. [Google Scholar] [CrossRef] [Green Version]
- Bau, M.; Schmidt, K.; Koschinsky, A.; Hein, J.; Kuhn, T.; Usui, A. Discriminating between different genetic types of marine ferro-manganese crusts and nodules based on rare earth elements and yttrium. Chem. Geol. 2014, 381, 1–9. [Google Scholar] [CrossRef]
- Taylor, S.R.; McLennan, S.M. The continental crust: Its composition and evolution: An examination of the geochemical record preserved in sedimentary rocks. Philos. Trans. R. Soc. London. Ser. A Math. Phys. Sci. 1981, 301, 381–399. [Google Scholar]
- Hein, J.R.; Konstantinova, N.; Mikesell, M.; Mizell, K.; Fitzsimmons, J.N.; Lam, P.J.; Jensen, L.T.; Xiang, Y.; Gartman, A.; Cherkashov, G.; et al. Arctic Deep Water Ferromanganese-Oxide Deposits Reflect the Unique Characteristics of the Arctic Ocean. Geochem. Geophys. Geosyst. 2017, 18, 3771–3800. [Google Scholar] [CrossRef]
- Hein, J.; Koschinsky, A. Deep-ocean ferromanganese crusts and nodules. In Geochemistry of Mineral. Deposits: Treatise of Geochemistry, 2nd ed.; Elsevier: Amsterdam, The Netherlands, 2014; Volume 13, pp. 273–291. [Google Scholar]
- Conrad, T.; Hein, J.R.; Paytan, A.; Clague, D.A. Formation of Fe-Mn crusts within a continental margin environment. Ore Geol. Rev. 2017, 87, 25–40. [Google Scholar] [CrossRef]
- Muiños, S.B.; Hein, J.R.; Frank, M.; Monteiro, J.H.; Gaspar, L.; Conrad, T.; Pereira, H.G.; Abrantes, F. Deep-sea Fe-Mn Crusts from the Northeast Atlantic Ocean: Composition and Resource Considerations. Mar. Georesources Geotechnol. 2013, 31, 40–70. [Google Scholar] [CrossRef]
- Mizell, K.; Hein, J.R.; Lam, P.J.; Koppers, A.A.P.; Staudigel, H. Geographic and oceanographic influences on ferromanganese crust composition along a Pacific Ocean meridional transect, 14N to 14S. Geochem. Geophys. Geosyst. 2019, 21, e2019GC008716. [Google Scholar]
- Benites, M.; Hein, J.R.; Mizell, K.; Blackburn, T.; Jovane, L. Genesis and Evolution of Ferromanganese Crusts from the Summit of Rio Grande Rise, Southwest Atlantic Ocean. Minerals 2020, 10, 349. [Google Scholar] [CrossRef] [Green Version]
- Aplin, A.C.; Cronan, D.S. Ferromanganese oxide deposits from the Central Pacific Ocean, II. Nodules and associated sediments. Geochim. Cosmochim. Acta 1985, 49, 437–451. [Google Scholar] [CrossRef]
- Josso, P.; Lusty, P.; Chenery, S.; Murton, B. Controls on metal enrichment in ferromanganese crusts: Temporal changes in oceanic metal flux or phosphatisation? Geochim. Cosmochim. Acta 2021, 308, 60–74. [Google Scholar] [CrossRef]
- Verlaan, P.A.; Cronan, D.S. Origin and variability of resource-grade marine ferromanganese nodules and crusts in the Pacific Ocean: A review of biogeochemical and physical controls. Geochemistry 2021, in press. [Google Scholar] [CrossRef]
- Usui, A.; Nishi, K.; Sato, H.; Nakasato, Y.; Thornton, B.; Kashiwabara, T.; Tokumaru, A.; Sakaguchi, A.; Yamaoka, K.; Kato, S.; et al. Continuous growth of hydrogenetic ferromanganese crusts since 17Myr ago on Takuyo-Daigo Seamount, NW Pacific, at water depths of 800–5500 m. Ore Geol. Rev. 2017, 87, 71–87. [Google Scholar] [CrossRef] [Green Version]
- Yeo, I.A.; Howarth, S.A.; Spearman, J.; Cooper, A.; Crossouard, N.; Taylor, J.; Turnbull, M.; Murton, B.J. Distribution of and hydrographic controls on ferromanganese crusts: Tropic Seamount, Atlantic. Ore Geol. Rev. 2019, 114, 103131. [Google Scholar] [CrossRef]
- Astakhova, N.V.; Lopatnikov, E.A. Composition and parageneses of massive pyrolusite from the deep-water basin of the Sea of Japan. Russ. Geol. Geophys. 2016, 57, 1465–1476. [Google Scholar] [CrossRef]
- Cronan, D.S.; Glasby, G.P.; Moorby, S.A.; Thomson, J.; Knedler, K.E.; McDougall, J.C. A submarine hydrothermal manganese deposit from the south-west Pacific island arc. Nature 1982, 298, 456–458. [Google Scholar] [CrossRef]
- Goto, K.T.; Shimoda, G.; Anbar, A.D.; Gordon, G.W.; Harigane, Y.; Senda, R.; Suzuki, K. Molybdenum isotopes in hydrothermal manganese crust from the Ryukyu arc system: Implications for the source of molybdenum. Mar. Geol. 2015, 369, 91–99. [Google Scholar] [CrossRef]
- Hodkinson, R.A.; Stoffers, P.; Scholten, J.; Cronan, D.S.; Jeschke, G.; Rogers, T.D.S. Geochemistry of hydrothermal manganese deposits from the Pitcairn Island hotspot, southeastern Pacific. Geochim. Cosmochim. Acta 1994, 58, 5011–5029. [Google Scholar] [CrossRef]
- Glasby, G.P.; Stüben, D.; Jeschke, G.; Stoffers, P.; Garbe-Schönberg, C.D. A model for the formation of hydrothermal manganese crusts from the Pitcairn Island hotspot. Geochim. Cosmochim. Acta 1997, 61, 4583–4597. [Google Scholar]
- Hein, J.R.; Gibbs, A.E.; Clague, D.A.; Torresan, M. Hydrothermal mineralization along submarine rift zones, Hawaii. Marine Georesources Geotechnol. 1996, 14, 177–203. [Google Scholar] [CrossRef]
- Petersen, S.; Krätschell, A.; Augustin, N.; Jamieson, J.; Hein, J.R.; Hannington, M.D. News from the seabed—Geological characteristics and resource potential of deep-sea mineral resources. Mar. Policy 2016, 70, 175–187. [Google Scholar] [CrossRef]
- Koschinsky, A.; Hein, J.; Schmidt, K.; Alexander, B.; Bau, M. Rare and Valuable Metals for High-Tech Applications Found in Marine Ferromanganese Nodules and Crusts: Relationships to Genetic Endmembers; Abstract volume of 39th Underwater Mining Institute; Underwater Mining Institute: Gelendzhik, Russia, 2010; pp. 1–13. [Google Scholar]
- Hein, J.R.; Conrad, T.A.; Dunham, R.E. Seamount Characteristics and Mine-Site Model Applied to Exploration- and Mining-Lease-Block Selection for Cobalt-Rich Ferromanganese Crusts. Mar. Georesources Geotechnol. 2009, 27, 160–176. [Google Scholar] [CrossRef]
- Juffroy, F. Atlas Bathymétrique de la Nouvelle-Calédonie. Rapports du Service de la Géomatique et de la Télédéction du Gouvernement de la Nouvelle-Calédonie. 2009. Available online: https://www.zoneco.nc/resultats-thematiques/environnement-hauturier/mise-jour-de-latlas-bathymetrique-de-la-nouvelle (accessed on 17 August 2020).












| Samples | Type | Avg Crusts Thickness (mm) | Latitude (S) | Longitude (E) | Water Depth (m) | Cruise | Simplified Substrate |
|---|---|---|---|---|---|---|---|
| DW772 | Bulk | 5 | 26°46′59.88″ | 170°22′1.21″ | 902 | BATHUS3 | - |
| DW774 | Bulk | 2 | 26°48′ | 170°22′1.21″ | 925 | BATHUS3 | Volcanics |
| DW778B | Bulk | - | 25°16′59.88″ | 170°7′1.21″ | 755 | BATHUS3 | - |
| DW778D | Bulk | - | 25°16′59.88″ | 170°7′1.21″ | 755 | BATHUS3 | - |
| DW778D2 | Bulk | - | 25°16′59.88″ | 170°7′1.21″ | 755 | BATHUS3 | - |
| DW2482 | Bulk | - | 24°8′39.01″ | 161°43′5.99″ | 430 | EBISCO | - |
| DR11Ai | Bulk | 97 | 18°0′58.68″ | 160°43′42.6″ | 2375 | ECOSAT | - |
| DR11Ai-1 | Layers | 0–40 | 18°0′58.68″ | 160°43′42.6″ | 2375 | ECOSAT | - |
| DR11Ai-2 | Layers | 40–50 | 18°0′58.68″ | 160°43′42.6″ | 2375 | ECOSAT | - |
| DR11Ai-3 | Layers | 50–80 | 18°0′58.68″ | 160°43′42.6″ | 2375 | ECOSAT | - |
| DR11Ai-4 | Layers | 80–97 | 18°0′58.68″ | 160°43′42.6″ | 2375 | ECOSAT | - |
| DR13Bii | Bulk | 30 | 17°21′37.44″ | 158°50′8.16″ | 1765 | ECOSAT | - |
| DR14H | Bulk | 10 | 18°55′28.2″ | 159°11′56.76″ | 2900 | ECOSAT | Volcanics |
| DR15A | Bulk | 2 | 18°18′36.72″ | 158°28′17.04″ | 2225 | ECOSAT | Limestone |
| DR18F | Bulk | 14 | 20°5′3.12″ | 160°11′32.64″ | 1150 | ECOSAT | - |
| E-DR08B | Bulk | 60 | 18°25′8.04″ | 164°0′28.44″ | 1400 | ECOSAT | - |
| E-DR08B-1 | Layers | 0–20 | 18°25′8.04″ | 164°0′28.44″ | 1400 | ECOSAT | - |
| E-DR08B-2 | Layers | 20–40 | 18°25′8.04″ | 164°0′28.44″ | 1400 | ECOSAT | - |
| E-DR08B-3 | Layers | 40–60 | 18°25′8.04″ | 164°0′28.44″ | 1400 | ECOSAT | - |
| DR48-021 | Bulk | 44 | 17°53′38″ | 159°15′11″ | 2060 | ECOSAT3 | - |
| DR53-008 | Bulk | 31 | 23°14′31″ | 159°46′11″ | 1390 | ECOSAT3 | - |
| DR54-009 | Bulk | 8 | 24°39′6″ | 159°42′57″ | 1350 | ECOSAT3 | Volcanics |
| 102D | Bulk | - | 18°38′24″ | 163°31′29.97″ | 2644 | EVA | - |
| 105D | Bulk | - | 18°20′6″ | 163°58′1.18″ | 1467 | EVA | - |
| 108D | Bulk | - | 19°31′45.48″ | 164°11′56.42″ | 2954 | EVA | - |
| 109D | Bulk | - | 20°30′18″ | 165°13′37.22″ | 2245 | EVA | - |
| 110D | Bulk | 34 | 20°33′18″ | 165°19′8.4″ | 2100 | EVA | - |
| 113D | Bulk | 11 | 21°22′14.88″ | 166°50′31.18″ | 1200 | EVA | Breccia |
| 114D | Bulk | 3 | 21°36′11.88″ | 166°51′50.39″ | 1185 | EVA | Limestone |
| 116D | Bulk | 25 | 21°14′6″ | 167°29′49.18″ | 2210 | EVA | Breccia |
| 117D | Bulk | 30 | 24°43′59.88″ | 169°25′30.01″ | 1800 | EVA | Limestone |
| GO14D | Bulk | 14 | 24°28′0.12″ | 168°49′58.77″ | 1450 | GEORSTOM1 | Breccia |
| GO15D | Bulk | 5 | 24°27′42.12″ | 168°51′25.18″ | 1325 | GEORSTOM1 | Mudstone |
| GO16D | Bulk | 6 | 24°22′59.88″ | 168°50′31.18″ | 1240 | GEORSTOM1 | Mudstone |
| GO18D | Bulk | 16 | 24°18′54″ | 168°14′16.82″ | 585 | GEORSTOM1 | Limestone |
| GO20D | Bulk | 2 | 25°55′23.88″ | 168°0′28.78″ | 1220 | GEORSTOM1 | Sandstone |
| GO3D | Bulk | 38 | 23°28′0.12″ | 167°58′4.81″ | 2100 | GEORSTOM1 | Breccia |
| GO202 | Bulk | 57 | 19°56′53.88″ | 160°48′10.77″ | 2425 | GEORSTOM2 | - |
| GO209 | Bulk | 42 | 18°31′59.88″ | 163°37′58.78″ | 1310 | GEORSTOM2 | - |
| GO302D | Bulk | 40 | 13°57′14.4″ | 158°13′40.8″ | 2190 | GEORSTOM3 | - |
| GO327D | Bulk | 115 | 20°5′48.12″ | 164°45′25.21″ | 1820 | GEORSTOM3 | - |
| GO302D-1 | Layers | 0–10 | 13°57′14.4″ | 158°13′40.8″ | 2190 | GEORSTOM3 | - |
| GO302D-2 | Layers | 10–40 | 13°57′14.4″ | 158°13′40.8″ | déc-05 | GEORSTOM3 | - |
| GO310 | Bulk | 43 | 13°58′18.48″ | 162°43′35.76″ | 3375 | GEORSTOM3 | - |
| GO314D10 | Bulk | - | 16°27′ | 165°1′19.21″ | 3513 | GEORSTOM3 | - |
| GO316D31 | Bulk | - | 16°34′0.12″ | 164°33′10.77″ | 3147 | GEORSTOM3 | - |
| GO350-D6 | Bulk | 33 | 33°38′52″ | 169°8′5″ | 2500 | GEORSTOM3 | Sandstone |
| GO317D10 | Bulk | - | 16°26′35.88″ | 164°25′47.97″ | 3311 | GEORSTOM3 | - |
| GO320 | Bulk | 6 | 16°7′54.12″ | 163°20′49.2″ | 4150 | GEORSTOM3 | - |
| GO321D2 | Bulk | - | 17°36′29.88″ | 163°17′41.99″ | 4677 | GEORSTOM3 | - |
| GO322D4 | Bulk | - | 17°46′30″ | 163°8′52.78″ | 4336 | GEORSTOM3 | - |
| GO323D4 | Bulk | - | 16°4′30″ | 163°24′7.17″ | 4493 | GEORSTOM3 | - |
| GO325D2 | Bulk | - | 18°54′29.88″ | 163°1′22.78″ | 4019 | GEORSTOM3 | - |
| GO327D-1 | Layers | 0–25 | 20°5′48.12″ | 164°45′25.21″ | 1820 | GEORSTOM3 | - |
| GO327D-2 | Layers | 25–65 | 20°5′48.12″ | 164°45′25.21″ | 1820 | GEORSTOM3 | - |
| GO327D-3 | Layers | 65–105 | 20°5′48.12″ | 164°45′25.21″ | 1820 | GEORSTOM3 | - |
| GO327D-4 | Layers | 105–115 | 20°5′48.12″ | 164°45′25.21″ | 1820 | GEORSTOM3 | - |
| GO338D2 | Bulk | - | 23°57′42.12″ | 167°18′0.01″ | 226,500 | GEORSTOM3 | - |
| GO347D | Bulk | - | 31°31′55″ | 168°5′4″ | 2416 | GEORSTOM3 | - |
| GO348D6 | Bulk | 10 | 31°52′58″ | 167°29′8″ | 1150 | GEORSTOM3 | Sandstone |
| GO350-D6-1 | Layers | 0–20 | 33°38′52″ | 169°8′5″ | 2500 | GEORSTOM3 | Sandstone |
| GO350-D6-2 | Layers | 20–30 | 33°38′52″ | 169°8′5″ | 2500 | GEORSTOM3 | Sandstone |
| GO350-D6-3 | Layers | 30–33 | 33°38′52″ | 169°8′5″ | 2500 | GEORSTOM3 | Sandstone |
| DR06B | Bulk | 4 | 22°33′11.76″ | 164°55′23.22″ | 878 | IPOD | Limestone |
| DW4998D | Bulk | - | 24°10′24″ | 161°43′24″ | 650 | KANADEEP | - |
| DW4998E | Bulk | - | 24°10′24″ | 161°43′24″ | 650 | KANADEEP | - |
| CP5069 | Bulk | 9 | 24°22′15.38″ | 169°35′20.65″ | 1118 | KANADEEP2 | Limestone |
| DN5064 | Bulk | 14 | 24°49′1.92″ | 169°24′59.58″ | 1023 | KANADEEP2 | Breccia |
| DN5079 | Bulk | 47 | 25°31′51.31″ | 169°9′28.58″ | 2038 | KANADEEP2 | Sandstone |
| DN5080B | Bulk | 9 | 25°32′21.19″ | 169°1′55.56″ | 1591 | KANADEEP2 | Breccia |
| DN5085A | Bulk | 23 | 25°38′18.28″ | 168°21′22.61″ | 1606 | KANADEEP2 | - |
| DW5067B | Bulk | 28 | 24°28′8.15″ | 169°36′48.96″ | 864 | KANADEEP2 | LImestone |
| DW5070A | Bulk | 19 | 24°15′57.67″ | 169°37′45.98″ | 1709 | KANADEEP2 | Volcanics |
| DW5073 | Bulk | 12 | 24°16′33.6″ | 169°51′45.14″ | 796 | KANADEEP2 | Limestone |
| DW5086B | Bulk | 22 | 25°38′57.73″ | 168°22′26.87″ | 1540 | KANADEEP2 | - |
| DW5087 | Bulk | 17 | 25°38′26.34″ | 168°25′3.61″ | 1680 | KANADEEP2 | Limestone |
| DW5089B | Bulk | 8 | 24°24′37.12″ | 168°50′47.54″ | 1393 | KANADEEP2 | Volcanics |
| DW5090B | Bulk | 3 | 24°25′8.76″ | 168°48′14.47″ | 1328 | KANADEEP2 | Limestone |
| DW5091A | Bulk | 6 | 24°26′54.2″ | 168°50′59.1″ | 1582 | KANADEEP2 | Sandstone |
| DR01A | Bulk | 4 | 25°47′17.52″ | 166°58′14.52″ | 1115 | VESPA | Volcanics |
| DR04C | Bulk | 54 | 28°23′29.04″ | 167°8′52.44″ | 2321 | VESPA | - |
| DR07B | Bulk | 27 | 29°41′53.52″ | 167°14′26.52″ | 1569 | VESPA | Breccia |
| DR08C | Bulk | 55 | 25°3′42.84″ | 170°19′34.68″ | 2271 | VESPA | Volcanics |
| DR10B | Bulk | 40 | 26°50′55.32″ | 170°19′9.12″ | 1523 | VESPA | Limestone |
| DR14F | Bulk | 60 | 26°25′17.04″ | 169°41′48.12″ | 2112 | VESPA | Breccia |
| DR13Ci | Bulk | 24 | 26°19′54.84″ | 169°32′55.68″ | 2731 | VESPA | Breccia |
| DR13D | Bulk | 15 | 26°19′54.84″ | 169°32′55.68″ | 2731 | VESPA | Breccia |
| DR14F-1 | Layers | 0–35 | 26°25′17.04″ | 169°41′48.12″ | 2112 | VESPA | Breccia |
| DR19K | Bulk | 58 | 27°50′49.56″ | 170°28′5.88″ | 3028 | VESPA | Breccia |
| DR14F-2 | Layers | 35–60 | 26°25′17.04″ | 169°41′48.12″ | 2112 | VESPA | Breccia |
| DR21F | Bulk | 50 | 27°29′52.44″ | 171°25′42.24″ | 3385 | VESPA | Breccia |
| DR19K-1 | Layers | 0–25 | 27°50′49.56″ | 170°28′5.88″ | 3028 | VESPA | Breccia |
| DR19K-2 | Layers | 25–60 | 27°50′49.56″ | 170°28′5.88″ | 3028 | VESPA | Volcanics |
| DR21Biii | Bulk | 16 | 27°29′52.44″ | 171°25′42.24″ | 3385 | VESPA | - |
| DR38C | Bulk | 35 | 28°33′56.16″ | 172°43′21″ | 2072 | VESPA | - |
| DR21F-1 | Layers | 0–30 | 27°29′52.44″ | 171°25′42.24″ | 3385 | VESPA | - |
| DR21F-2 | Layers | 30–50 | 27°29′52.44″ | 171°25′42.24″ | 3385 | VESPA | Volcanics |
| DR22A | Bulk | 13 | 27°18′48.6″ | 171°55′37.56″ | 2849 | VESPA | - |
| DR29F | Bulk | 27 | 28°38′18.6″ | 172°2′0.96″ | 2145 | VESPA | - |
| DR38C-1 | Layers | 0–25 | 28°33′56.16″ | 172°43′21″ | 2072 | VESPA | - |
| DR38C-2 | Layers | 25–35 | 28°33′56.16″ | 172°43′21″ | 2072 | VESPA | - |
| DR41Ai | Bulk | 8 | 25°44′1.32″ | 170°4′0.84″ | 2861 | VESPA | Volcanics |
| DR42B | Bulk | 20 | 24°12′37.08″ | 167°8′24.36″ | 1145 | VESPA | Limestone |
| V-DR08B | Bulk | 52 | 25°3′42.84″ | 170°19′34.68″ | 2271 | VESPA | Hyaloclastite |
| Sample | Major | Moderate | Minor |
|---|---|---|---|
| 102D | - | - | - |
| 105D | - | - | - |
| 108D | - | - | - |
| 109D | - | - | - |
| 110D | δ-MnO2, Quartz, Plagioclase | - | Calcite |
| 113D | δ-MnO2 | - | Quartz, Plagioclase |
| 114D | δ-MnO2 | Plagioclase, Calcite | Quartz, Gypsum |
| 116D | δ-MnO2 | Quartz, Plagioclase | - |
| 117D | δ-MnO2 | - | Quartz |
| CP5069 | δ-MnO2 | Fluorapatite, Calcite | 10 Å manganates |
| DN5064 | δ-MnO2 | - | Calcite |
| DN5079 | δ-MnO2 | Quartz | Plagioclase |
| DN5080B | δ-MnO2 | - | Fluorapatite, Quartz |
| DN5085A | δ-MnO2, Quartz | - | Plagioclase |
| DR01A | δ-MnO2 | - | - |
| DR04C | δ-MnO2, Quartz | - | Plagioclase |
| DR06B | δ-MnO2 | Quartz | Mg-Calcite, Plagioclase |
| DR07B | δ-MnO2 | - | - |
| DR08C | δ-MnO2, Calcite | Clays/Micas, Quartz | Plagioclase |
| DR10B | δ-MnO2 | - | Quartz |
| DR11Ai | δ-MnO2, Quartz | Plagioclase | - |
| DR11Ai-1 | Quartz, Plagioclase | δ-MnO2 | - |
| DR11Ai-2 | δ-MnO2, Quartz | Plagioclase | - |
| DR11Ai-3 | δ-MnO2, Quartz | Plagioclase | - |
| DR11Ai-4 | δ-MnO2, Quartz | Plagioclase | - |
| DR13Bii | δ-MnO2, Quartz | Calcite | - |
| DR13Ci | δ-MnO2 | Calcite | Quartz |
| DR13D | δ-MnO2 | Quartz | Calcite, Plagioclase |
| DR14F | δ-MnO2 | Quartz | - |
| DR14F-1 | δ-MnO2 | Quartz | Calcite, Plagioclase |
| DR14F-2 | δ-MnO2 | Quartz | - |
| DR14H | δ-MnO2, Quartz | Plagioclase | - |
| DR15A | δ-MnO2 | Quartz, Plagioclase | - |
| DR18F | δ-MnO2 | - | Plagioclase |
| DR19K | δ-MnO2, Clays/Micas | - | Quartz, Calcite |
| DR19K-1 | δ-MnO2, Clays/Micas | Calcite | Quartz, Plagioclase |
| DR19K-2 | δ-MnO2 | Quartz | - |
| DR21Biii | δ-MnO2, Clays/Micas | Quartz, Plagioclase | - |
| DR21F | δ-MnO2 | Quartz | Plagioclase |
| DR21F-1 | δ-MnO2 | Quartz | Plagioclase |
| DR21F-2 | δ-MnO2 | Quartz | Plagioclase |
| DR22A | δ-MnO2 | Quartz | Plagioclase |
| DR29F | δ-MnO2 | Quartz | Quartz |
| DR38C | δ-MnO2 | - | Quartz, Calcite |
| DR38C-1 | δ-MnO2 | - | Quartz |
| DR38C-2 | δ-MnO2 | Calcite | Quartz |
| DR41Ai | δ-MnO2, Plagioclase | Quartz | - |
| DR42B | δ-MnO2 | - | - |
| DR48-021 | δ-MnO2, Quartz | - | Plagioclase |
| DR53-008 | δ-MnO2 | - | Quartz |
| DR54-009 | δ-MnO2 | - | Quartz, Plagioclase |
| DW4998D | Pyrolusite | Mg-Calcite | Calcite, Fluorapatite |
| DW4998E | Fe-oxyhydroxides, Calcite | Fluorapatite, 10 Å manganates | |
| DW5067B | δ-MnO2 | Calcite | - |
| DW5070A | δ-MnO2 | - | Quartz, Calcite |
| DW5073 | δ-MnO2 | - | Calcite |
| DW5086B | δ-MnO2 | Quartz | Plagioclase |
| DW5087 | δ-MnO2 | Quartz | Plagioclase |
| DW5089B | δ-MnO2 | - | Quartz |
| DW5090B | δ-MnO2 | - | Quartz |
| DW5091A | δ-MnO2 | Quartz | Calcite |
| DW772 | δ-MnO2 | - | - |
| DW774 | δ-MnO2 | - | Calcite |
| DW778B | Pyrolusite | Mg-Calcite | - |
| DW778D | Pyrolusite | Mg-Calcite | - |
| DW778D2 | Pyrolusite | Mg-Calcite | |
| DW2482 | 10 Å manganates | Mg-Calcite | Fluorapatite |
| E-DR08B | δ-MnO2, Quartz | Plagioclase | - |
| E-DR08B-1 | δ-MnO2, Quartz | - | Plagioclase |
| E-DR08B-2 | δ-MnO2, Quartz | - | - |
| E-DR08B-3 | δ-MnO2, Quartz | Plagioclase | - |
| GO14D | δ-MnO2 | - | - |
| GO15D | δ-MnO2 | Calcite | Quartz, Plagioclase |
| GO16D | δ-MnO2 | Quartz | Plagioclase, Calcite |
| GO18D | δ-MnO2 | - | Quartz, Plagioclase |
| GO202 | δ-MnO2, Quartz | - | Plagioclase |
| GO209 | δ-MnO2 | Quartz | Plagioclase |
| GO20D | δ-MnO2 | - | Quartz |
| GO302D | δ-MnO2, Plagioclase | Quartz | - |
| GO302D-1 | δ-MnO2, Plagioclase | Quartz | - |
| GO302D-2 | δ-MnO2, Plagioclase | Quartz | - |
| GO310 | δ-MnO2, Clays/Micas | Amphibole | Quartz, Calcite, Plagioclase |
| GO314D10 | - | - | - |
| GO316D31 | - | - | - |
| GO317D10 | - | - | - |
| GO320 | δ-MnO2 | - | Plagioclase, Quartz |
| GO321D2 | - | - | - |
| GO322D4 | - | - | - |
| GO323D2 | - | - | - |
| GO325D2 | - | - | - |
| GO327D | δ-MnO2, Quartz | Plagioclase | - |
| GO327D-1 | δ-MnO2, Quartz | - | Plagioclase |
| GO327D-2 | δ-MnO2, Quartz | - | Plagioclase |
| GO327D-3 | δ-MnO2, Quartz | - | Plagioclase |
| GO327D-4 | δ-MnO2, Quartz | - | Plagioclase |
| GO338D2 | - | - | - |
| GO347D | - | - | - |
| GO348D6 | δ-MnO2 | - | Quartz |
| GO350D6 | δ-MnO2 | Quartz, Plagioclase | - |
| GO350D6-1 | δ-MnO2 | Plagioclase, Quartz | - |
| GO350D6-2 | δ-MnO2 | Quartz, Plagioclase | - |
| GO350D6-3 | δ-MnO2 | - | Quartz, Plagioclase |
| GO3D | δ-MnO2 | Quartz | Plagioclase |
| V-DR08B | δ-MnO2, Quartz | Plagioclase | Calcite |
| Hydrogenetic Bulk and Macro-Layers Crusts | Hydrothermal/Diagenetic Deposits | ||||||||
|---|---|---|---|---|---|---|---|---|---|
| Element | N | Mean | ±2σ | DW778B | DW778D | DW778D2 | DW4998D | DW4998E | DW2482 |
| (H2O− a) (%) | 85 | 10.26 | 11.93 | 0.42 | 0.36 | 0.82 | 0.6 | 2.61 | 1.59 |
| LOI b | 85 | 17.98 | 4.6 | 17.34 | 17.76 | 17.36 | 21.46 | 21.35 | 18.91 |
| Mn | 98 | 17.37 | 7.18 | 50.38 | 48.37 | 48.82 | 28.96 | 14.03 | 38.44 |
| Fe | 98 | 20.79 | 3.57 | 1.27 | 1.59 | 1.28 | 1.82 | 13.67 | 2.8 |
| Si | 98 | 6.15 | 5.98 | 0.49 | 0.53 | 0.51 | 0.35 | 1.07 | 0.29 |
| Al | 98 | 1.63 | 1.5 | 0.25 | 0.27 | 0.23 | 0.28 | 1.99 | 0.57 |
| Mg | 98 | 1.28 | 0.69 | 0.99 | 0.92 | 0.8 | 1.25 | 3.58 | 2.31 |
| Na | 98 | 1.56 | 0.42 | 0.42 | 0.32 | 0.21 | 0.3 | 0.42 | 0.84 |
| Ca | 98 | 2.61 | 1.69 | 6.21 | 7.54 | 8.14 | 17.79 | 13.52 | 8.67 |
| K | 98 | 0.42 | 0.29 | 0.2 | 0.13 | 0.11 | 0.13 | 0.2 | 0.37 |
| Ti | 98 | 0.9 | 0.36 | 0.05 | 0.08 | 0.06 | 0.05 | 0.17 | 0.1 |
| P | 98 | 0.57 | 0.31 | 0.53 | 0.41 | 0.37 | 1.88 | 1.97 | 1 |
| As (ppm) | 98 | 275 | 136 | 71 | 72 | 59 | 63 | 260 | 89 |
| Ba | 98 | 1500 | 560 | 8460 | 4946 | 3339 | 4151 | 869 | 11,719 |
| Ce | 98 | 711 | 384 | 148 | 112 | 81 | 86 | 221 | 275 |
| Co | 98 | 4188 | 3762 | 514 | 898 | 655 | 405 | 1409 | 1148 |
| Cr | 85 | 45 | 78 | 10 | 10 | 10 | 10 | 35 | 12 |
| Cu | 98 | 775 | 611 | 283 | 242 | 187 | 108 | 655 | 295 |
| La | 98 | 239 | 88 | 88 | 105 | 96 | 74 | 80 | 88 |
| Mo | 98 | 430 | 268 | 168 | 141 | 128 | 82 | 410 | 228 |
| Nb | 98 | 60 | 26 | 5 | 10 | 7 | 7 | 18 | 15 |
| Nd | 98 | 150 | 66 | 30 | 30 | 30 | 30 | 30 | 30 |
| Ni | 98 | 3100 | 2185 | 1095 | 1432 | 1178 | 736 | 6936 | 4138 |
| Pb | 98 | 1544 | 1176 | 219 | 359 | 257 | 171 | 322 | 349 |
| Pt c | 46 | 0.66 | 0.8 | <0.5 | <0.5 | <0.5 | <0.5 | <0.5 | <0.5 |
| Rb | 98 | <5 | <5 | <5 | <5 | <5 | <5 | 7 | <5 |
| Sr | 98 | 1482 | 550 | 1858 | 1440 | 1261 | 1119 | 719 | 2656 |
| Tl | 98 | 100 | 112 | 77 | 75 | 61 | 43 | 78 | 141 |
| V | 98 | 751 | 336 | 271 | 263 | 214 | 289 | 796 | 525 |
| Y | 98 | 165 | 66 | 62 | 65 | 61 | 68 | 74 | 41 |
| Zn | 98 | 665 | 235 | 182 | 201 | 111 | 161 | 459 | 589 |
| Zr | 98 | 535 | 170 | 73 | 73 | 61 | 39 | 91 | 73 |
| Co + Cu + Ni (%) | 98 | 0.81 | 0.56 | 0.19 | 0.26 | 0.2 | 0.12 | 0.9 | 0.56 |
| Si/Al | 98 | 3.76 | 2.37 | 1.96 | 1.96 | 2.22 | 1.25 | 0.54 | 0.51 |
| Fe/Mn | 98 | 1.26 | 0.66 | 0.03 | 0.03 | 0.03 | 0.06 | 0.97 | 0.07 |
| DR102 | DR105 | DR108 | DR117 | GO14D | GO202 | GO209 | GO314D10 | GO316 | GO317D10 | GO321D1 | GO322 | GO323 | GO325 | GO338D2 | GO347 | Mean | 2σ | |
|---|---|---|---|---|---|---|---|---|---|---|---|---|---|---|---|---|---|---|
| Water depth (m) | 2525 | 2498 | 2080 | 1800 | 1450 | 2425 | 1310 | 3120 | 3200 | 3200 | 4190 | 3680 | 4180 | 4000 | 1600 | 2070 | 2751 | 1945 |
| La | 169 | 187 | 192 | 216 | 289 | 205 | 210 | 138 | 148 | 151 | 135 | 199 | 166 | 177 | 202 | 181 | 186 | 75 |
| Ce | 557 | 612 | 690 | 545 | 862 | 741 | 523 | 392 | 411 | 522 | 535 | 763 | 972 | 809 | 715 | 638 | 643 | 323 |
| Pr | 26 | 32 | 34 | 34 | 45 | 37 | 34 | 24 | 26 | 32 | 25 | 40 | 29 | 38 | 30 | 26 | 32 | 12 |
| Nd | 117 | 133 | 142 | 142 | 173 | 149 | 141 | 110 | 114 | 135 | 111 | 161 | 125 | 152 | 136 | 120 | 136 | 36 |
| Sm | 24 | 27 | 29 | 28 | 35 | 31 | 28 | 23 | 24 | 30 | 24 | 35 | 26 | 34 | 27 | 23 | 28 | 8 |
| Eu | 6 | 7 | 8 | 7 | 9 | 8 | 7 | 6 | 6 | 8 | 6 | 9 | 6 | 8 | 7 | 6 | 7 | 2 |
| Gd | 29 | 31 | 35 | 35 | 38 | 35 | 34 | 29 | 29 | 35 | 28 | 37 | 28 | 36 | 33 | 29 | 33 | 7 |
| Tb | 4 | 5 | 5 | 5 | 6 | 5 | 5 | 4 | 4 | 5 | 4 | 6 | 4 | 6 | 5 | 4 | 5 | 1 |
| Dy | 27 | 28 | 33 | 34 | 35 | 33 | 33 | 26 | 27 | 32 | 27 | 33 | 25 | 33 | 32 | 29 | 31 | 7 |
| Y | 149 | 140 | 164 | 215 | 162 | 163 | 206 | 125 | 142 | 153 | 135 | 153 | 114 | 138 | 186 | 191 | 156 | 57 |
| Ho | 6 | 6 | 7 | 8 | 7 | 7 | 8 | 6 | 6 | 7 | 6 | 7 | 5 | 7 | 7 | 7 | 7 | 1 |
| Er | 17 | 17 | 20 | 22 | 20 | 21 | 23 | 16 | 17 | 19 | 17 | 19 | 14 | 19 | 21 | 20 | 19 | 5 |
| Yb | 16 | 16 | 19 | 21 | 18 | 19 | 21 | 15 | 16 | 17 | 16 | 17 | 13 | 18 | 19 | 18 | 17 | 4 |
| Lu | 3 | 2 | 3 | 3 | 3 | 3 | 3 | 2 | 2 | 3 | 3 | 3 | 2 | 3 | 3 | 3 | 3 | 1 |
| ∑REE | 1155 | 1248 | 1385 | 1319 | 1705 | 1461 | 1281 | 919 | 975 | 1154 | 1077 | 1485 | 1535 | 1482 | 1426 | 1299 | 1307 | 426 |
| %HREE (Eu-Lu + Y) | 23 | 20 | 21 | 27 | 18 | 20 | 27 | 25 | 26 | 25 | 23 | 19 | 14 | 18 | 22 | 24 | 22 | 7 |
| Mn | Fe | Si | Al | Mg | Na | Ca | K | Ti | P | As | Ba | Ce | Co | Cu | La | |
| Mn | 1 | −0.364 | −0.916 | −0.831 | 0.09 | −0.507 | 0.335 | −0.643 | 0.258 | 0.458 | 0.61 | 0.355 | 0.344 | 0.832 | −0.177 | 0.702 |
| Fe | −0.364 | 1 | 0.233 | −0.013 | −0.552 | 0.007 | −0.519 | −0.079 | −0.135 | −0.246 | 0.048 | 0.015 | 0.121 | −0.37 | −0.271 | 0.057 |
| Si | −0.916 | 0.233 | 1 | 0.801 | −0.127 | 0.485 | −0.494 | 0.675 | −0.21 | −0.54 | −0.699 | −0.268 | −0.269 | −0.797 | 0.264 | −0.661 |
| Al | −0.831 | −0.013 | 0.801 | 1 | 0.127 | 0.578 | −0.174 | 0.833 | −0.1 | −0.441 | −0.713 | −0.433 | −0.487 | −0.68 | 0.345 | −0.778 |
| Mg | 0.09 | −0.552 | −0.127 | 0.127 | 1 | −0.077 | 0.42 | 0.061 | −0.148 | 0.109 | 0.083 | −0.149 | −0.24 | 0.197 | 0.075 | −0.267 |
| Na | −0.507 | 0.007 | 0.485 | 0.578 | −0.077 | 1 | −0.228 | 0.523 | 0.013 | −0.35 | −0.636 | −0.387 | −0.409 | −0.566 | 0.338 | −0.379 |
| Ca | 0.335 | −0.519 | −0.494 | −0.174 | 0.42 | −0.228 | 1 | −0.291 | −0.075 | 0.691 | 0.469 | −0.03 | −0.109 | 0.377 | −0.221 | 0.055 |
| K | −0.643 | −0.079 | 0.675 | 0.833 | 0.061 | 0.523 | −0.291 | 1 | 0.07 | −0.434 | −0.768 | −0.186 | −0.307 | −0.583 | 0.554 | −0.62 |
| Ti | 0.258 | −0.135 | −0.21 | −0.1 | −0.148 | 0.013 | −0.075 | 0.07 | 1 | −0.211 | −0.307 | 0.324 | 0.373 | 0.347 | 0.255 | 0.44 |
| P | 0.458 | −0.246 | −0.54 | −0.441 | 0.109 | −0.35 | 0.691 | −0.434 | −0.211 | 1 | 0.63 | 0.269 | 0.1 | 0.342 | −0.243 | 0.175 |
| As | 0.61 | 0.048 | −0.699 | −0.713 | 0.083 | −0.636 | 0.469 | −0.768 | −0.307 | 0.63 | 1 | 0.189 | 0.25 | 0.602 | −0.633 | 0.457 |
| Ba | 0.355 | 0.015 | −0.268 | −0.433 | −0.149 | −0.387 | −0.03 | −0.186 | 0.324 | 0.269 | 0.189 | 1 | 0.754 | 0.163 | 0.113 | 0.484 |
| Ce | 0.344 | 0.121 | −0.269 | −0.487 | −0.24 | −0.409 | −0.109 | −0.307 | 0.373 | 0.1 | 0.25 | 0.754 | 1 | 0.341 | −0.012 | 0.619 |
| Co | 0.832 | −0.37 | −0.797 | −0.68 | 0.197 | −0.566 | 0.377 | −0.583 | 0.347 | 0.342 | 0.602 | 0.163 | 0.341 | 1 | −0.229 | 0.582 |
| Cu | −0.177 | −0.271 | 0.264 | 0.345 | 0.075 | 0.338 | −0.221 | 0.554 | 0.255 | −0.243 | −0.633 | 0.113 | −0.012 | −0.229 | 1 | −0.332 |
| La | 0.702 | 0.057 | −0.661 | −0.778 | −0.267 | −0.379 | 0.055 | −0.62 | 0.44 | 0.175 | 0.457 | 0.484 | 0.619 | 0.582 | −0.332 | 1 |
| Mo | 0.829 | −0.11 | −0.732 | −0.855 | −0.053 | −0.552 | 0.154 | −0.701 | 0.02 | 0.364 | 0.688 | 0.509 | 0.551 | 0.619 | −0.366 | 0.774 |
| Nb | 0.48 | −0.165 | −0.485 | −0.453 | −0.011 | −0.37 | 0.166 | −0.324 | 0.697 | 0.108 | 0.187 | 0.329 | 0.398 | 0.68 | 0.042 | 0.508 |
| Nd | 0.403 | 0.159 | −0.32 | −0.526 | −0.236 | −0.26 | −0.109 | −0.447 | 0.28 | 0.023 | 0.28 | 0.401 | 0.611 | 0.293 | −0.263 | 0.837 |
| Ni | 0.805 | −0.64 | −0.716 | −0.549 | 0.486 | −0.433 | 0.396 | −0.399 | 0.091 | 0.395 | 0.462 | 0.206 | 0.173 | 0.754 | 0.073 | 0.302 |
| Pb | 0.82 | −0.255 | −0.804 | −0.759 | 0.177 | −0.624 | 0.366 | −0.68 | 0.132 | 0.401 | 0.736 | 0.322 | 0.307 | 0.815 | −0.359 | 0.596 |
| Sr | 0.891 | −0.102 | −0.894 | −0.872 | −0.08 | −0.5 | 0.314 | −0.754 | 0.186 | 0.435 | 0.736 | 0.404 | 0.393 | 0.75 | −0.42 | 0.793 |
| Tl | 0.853 | −0.529 | −0.788 | −0.625 | 0.238 | −0.531 | 0.44 | −0.457 | 0.332 | 0.445 | 0.506 | 0.417 | 0.403 | 0.819 | −0.015 | 0.535 |
| V | 0.657 | 0.041 | −0.681 | −0.757 | 0.059 | −0.608 | 0.247 | −0.721 | −0.205 | 0.419 | 0.875 | 0.399 | 0.467 | 0.579 | −0.46 | 0.563 |
| Y | 0.533 | 0.03 | −0.605 | −0.562 | −0.058 | −0.308 | 0.195 | −0.518 | 0.083 | 0.343 | 0.515 | −0.057 | −0.033 | 0.484 | −0.561 | 0.542 |
| Zn | 0.514 | −0.274 | −0.472 | −0.505 | 0.209 | −0.387 | 0.175 | −0.28 | 0.11 | 0.404 | 0.325 | 0.675 | 0.434 | 0.364 | 0.117 | 0.344 |
| Zr | −0.426 | 0.455 | 0.461 | 0.259 | −0.429 | 0.352 | −0.589 | 0.35 | 0.339 | −0.451 | −0.636 | 0.103 | 0.055 | −0.501 | 0.316 | −0.019 |
| Fe/Mn | −0.935 | 0.553 | 0.842 | 0.735 | −0.182 | 0.357 | −0.37 | 0.5 | −0.298 | −0.436 | −0.439 | −0.336 | −0.274 | −0.758 | −0.027 | −0.591 |
| Growth rate | −0.616 | 0.33 | 0.57 | 0.519 | −0.194 | 0.554 | −0.297 | 0.489 | −0.339 | −0.233 | −0.422 | −0.116 | −0.215 | −0.794 | 0.134 | −0.368 |
| Mo | Nb | Nd | Ni | Pb | Sr | Tl | V | Y | Zn | Zr | Fe/Mn | Growth Rate | ||||
| Mn | 0.829 | 0.48 | 0.403 | 0.805 | 0.82 | 0.891 | 0.853 | 0.657 | 0.533 | 0.514 | −0.426 | −0.935 | −0.616 | |||
| Fe | −0.11 | −0.165 | 0.159 | −0.64 | −0.255 | −0.102 | −0.529 | 0.041 | 0.03 | −0.274 | 0.455 | 0.553 | 0.33 | |||
| Si | −0.732 | −0.485 | −0.32 | −0.716 | −0.804 | −0.894 | −0.788 | −0.681 | −0.605 | −0.472 | 0.461 | 0.842 | 0.57 | |||
| Al | −0.855 | −0.453 | −0.526 | −0.549 | −0.759 | −0.872 | −0.625 | −0.757 | −0.562 | −0.505 | 0.259 | 0.735 | 0.519 | |||
| Mg | −0.053 | −0.011 | −0.236 | 0.486 | 0.177 | −0.08 | 0.238 | 0.059 | −0.058 | 0.209 | −0.429 | −0.182 | −0.194 | |||
| Na | −0.552 | −0.37 | −0.26 | −0.433 | −0.624 | −0.5 | −0.531 | −0.608 | −0.308 | −0.387 | 0.352 | 0.357 | 0.554 | |||
| Ca | 0.154 | 0.166 | −0.109 | 0.396 | 0.366 | 0.314 | 0.44 | 0.247 | 0.195 | 0.175 | −0.589 | −0.37 | −0.297 | |||
| K | −0.701 | −0.324 | −0.447 | −0.399 | −0.68 | −0.754 | −0.457 | −0.721 | −0.518 | −0.28 | 0.35 | 0.5 | 0.489 | |||
| Ti | 0.02 | 0.697 | 0.28 | 0.091 | 0.132 | 0.186 | 0.332 | −0.205 | 0.083 | 0.11 | 0.339 | −0.298 | −0.339 | |||
| P | 0.364 | 0.108 | 0.023 | 0.395 | 0.401 | 0.435 | 0.445 | 0.419 | 0.343 | 0.404 | −0.451 | −0.436 | −0.233 | |||
| As | 0.688 | 0.187 | 0.28 | 0.462 | 0.736 | 0.736 | 0.506 | 0.875 | 0.515 | 0.325 | −0.636 | −0.439 | −0.422 | |||
| Ba | 0.509 | 0.329 | 0.401 | 0.206 | 0.322 | 0.404 | 0.417 | 0.399 | −0.057 | 0.675 | 0.103 | −0.336 | −0.116 | |||
| Ce | 0.551 | 0.398 | 0.611 | 0.173 | 0.307 | 0.393 | 0.403 | 0.467 | −0.033 | 0.434 | 0.055 | −0.274 | −0.215 | |||
| Co | 0.619 | 0.68 | 0.293 | 0.754 | 0.815 | 0.75 | 0.819 | 0.579 | 0.484 | 0.364 | −0.501 | −0.758 | −0.794 | |||
| Cu | −0.366 | 0.042 | −0.263 | 0.073 | −0.359 | −0.42 | −0.015 | −0.46 | −0.561 | 0.117 | 0.316 | −0.027 | 0.134 | |||
| La | 0.774 | 0.508 | 0.837 | 0.302 | 0.596 | 0.793 | 0.535 | 0.563 | 0.542 | 0.344 | −0.019 | −0.591 | −0.368 | |||
| Mo | 1 | 0.247 | 0.594 | 0.568 | 0.763 | 0.871 | 0.674 | 0.841 | 0.446 | 0.52 | −0.399 | −0.702 | −0.399 | |||
| Nb | 0.247 | 1 | 0.243 | 0.366 | 0.554 | 0.469 | 0.554 | 0.197 | 0.295 | 0.356 | 0.045 | −0.489 | −0.595 | |||
| Nd | 0.594 | 0.243 | 1 | 0.07 | 0.293 | 0.455 | 0.248 | 0.388 | 0.298 | 0.146 | 0.125 | −0.295 | −0.185 | |||
| Ni | 0.568 | 0.366 | 0.07 | 1 | 0.684 | 0.584 | 0.844 | 0.53 | 0.242 | 0.581 | −0.581 | −0.859 | −0.586 | |||
| Pb | 0.763 | 0.554 | 0.293 | 0.684 | 1 | 0.866 | 0.775 | 0.793 | 0.492 | 0.515 | −0.578 | −0.71 | −0.609 | |||
| Sr | 0.871 | 0.469 | 0.455 | 0.584 | 0.866 | 1 | 0.709 | 0.789 | 0.624 | 0.488 | −0.394 | −0.77 | −0.511 | |||
| Tl | 0.674 | 0.554 | 0.248 | 0.844 | 0.775 | 0.709 | 1 | 0.587 | 0.252 | 0.572 | −0.556 | −0.84 | −0.651 | |||
| V | 0.841 | 0.197 | 0.388 | 0.53 | 0.793 | 0.789 | 0.587 | 1 | 0.371 | 0.487 | −0.581 | −0.506 | −0.351 | |||
| Y | 0.446 | 0.295 | 0.298 | 0.242 | 0.492 | 0.624 | 0.252 | 0.371 | 1 | 0.098 | −0.133 | −0.43 | −0.302 | |||
| Zn | 0.52 | 0.356 | 0.146 | 0.581 | 0.515 | 0.488 | 0.572 | 0.487 | 0.098 | 1 | −0.192 | −0.554 | −0.207 | |||
| Zr | −0.399 | 0.045 | 0.125 | −0.581 | −0.578 | −0.394 | −0.556 | −0.581 | −0.133 | −0.192 | 1 | 0.401 | 0.356 | |||
| Fe/Mn | −0.702 | −0.489 | −0.295 | −0.859 | −0.71 | −0.77 | −0.84 | −0.506 | −0.43 | −0.554 | 0.401 | 1 | 0.579 | |||
| Growth rate | −0.399 | −0.595 | −0.185 | −0.586 | −0.609 | −0.511 | −0.651 | −0.351 | −0.302 | −0.207 | 0.356 | 0.579 | 1 | |||
Publisher’s Note: MDPI stays neutral with regard to jurisdictional claims in published maps and institutional affiliations. |
© 2022 by the authors. Licensee MDPI, Basel, Switzerland. This article is an open access article distributed under the terms and conditions of the Creative Commons Attribution (CC BY) license (https://creativecommons.org/licenses/by/4.0/).
Share and Cite
Staszak, P.; Collot, J.; Josso, P.; Pelleter, E.; Etienne, S.; Patriat, M.; Cheron, S.; Boissier, A.; Guyomard, Y. Origin and Composition of Ferromanganese Deposits of New Caledonia Exclusive Economic Zone. Minerals 2022, 12, 255. https://doi.org/10.3390/min12020255
Staszak P, Collot J, Josso P, Pelleter E, Etienne S, Patriat M, Cheron S, Boissier A, Guyomard Y. Origin and Composition of Ferromanganese Deposits of New Caledonia Exclusive Economic Zone. Minerals. 2022; 12(2):255. https://doi.org/10.3390/min12020255
Chicago/Turabian StyleStaszak, Paul, Julien Collot, Pierre Josso, Ewan Pelleter, Samuel Etienne, Martin Patriat, Sandrine Cheron, Audrey Boissier, and Yaël Guyomard. 2022. "Origin and Composition of Ferromanganese Deposits of New Caledonia Exclusive Economic Zone" Minerals 12, no. 2: 255. https://doi.org/10.3390/min12020255
APA StyleStaszak, P., Collot, J., Josso, P., Pelleter, E., Etienne, S., Patriat, M., Cheron, S., Boissier, A., & Guyomard, Y. (2022). Origin and Composition of Ferromanganese Deposits of New Caledonia Exclusive Economic Zone. Minerals, 12(2), 255. https://doi.org/10.3390/min12020255

