Revealing the Softening-Melting Behaviors and Slag Characteristics of Vanadium-Titanium Magnetite Burden with Various MgO Addition
Abstract
:1. Introduction
2. Experimental
2.1. Raw Materials
2.2. Experimental Methods
3. Results and Discussion
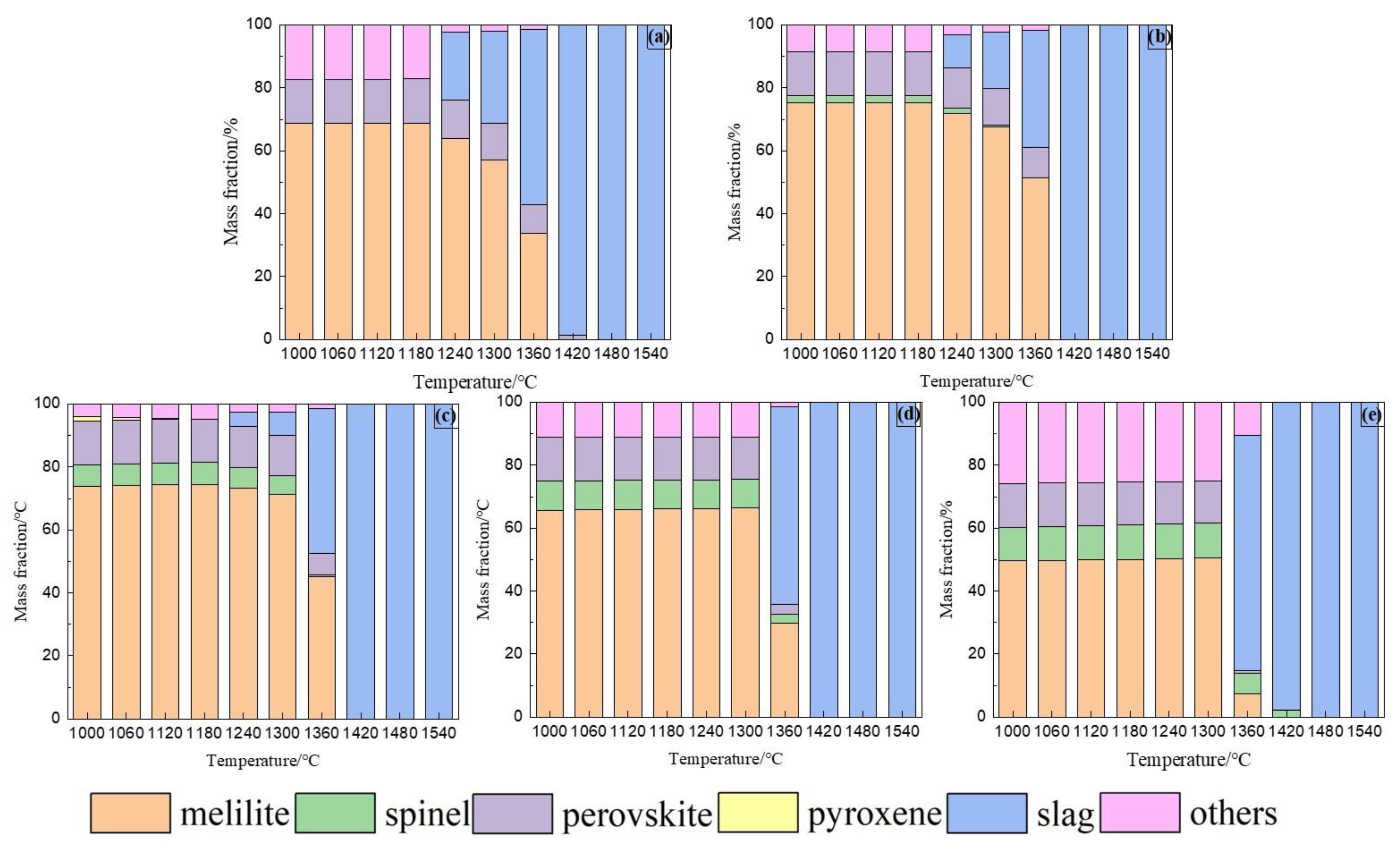
3.1. Softening-Melting Behavior
3.2. Effect of MgO on Slag-Phase
4. Conclusions
- (1)
- MgO addition significantly affects the softening-melting behaviors, permeability of V-Ti mixed burden, and the V-Ti slag system. Fully considering the constant total MgO content in composite burden and the softening-melting properties of composite burden, the recommended MgO content in sinter and pellet are 1.90% and 3.02%, respectively.
- (2)
- MgO addition significantly affects the crystallization temperature of slag-phase, precipitated phase components, and molten slag percentages. This indicates that the metallurgical properties of slag and softening-melting-dripping performance of the mixed burden could be improved effectively by adjusting the MgO distribution appropriately.
- (3)
- The MgO slag system shows the characteristics of short slag. With the increase in MgO content in slag, the melting temperature tm, initial viscosity η0, high temperature viscosity ηh, and viscous flow activation energy Eη of the slag system first decrease and then increase, and the thermal stability of the slag system first becomes better and then worse.
Author Contributions
Funding
Data Availability Statement
Conflicts of Interest
References
- Paunova, R. Thermodynamic study of the reduction of titanium magnetite concentrate with solid carbon. Metall. Mater. Trans. B 2002, 33, 633–638. [Google Scholar] [CrossRef]
- Zhao, W.; Chu, M.S.; Guo, H.W.; Liu, Z.G.; Yan, B.J. Softening–melting–dripping characteristics and evolution mechanism of vanadium-bearing titanomagnetite carbon composite briquette used as novel blast furnace burden. J. Iron Steel Res. Int. 2021, 28, 1082–1094. [Google Scholar] [CrossRef]
- Chen, S.Y.; Fu, X.J.; Chu, M.S.; Li, X.Z.; Liu, Z.G.; Tang, J. Carbothermic Reduction Mechanism of Vanadium-titanium Magnetite. J. Iron Steel Res. Int. 2016, 23, 409–414. [Google Scholar] [CrossRef]
- Tan, P.; Hu, H.P.; Zhang, L. Effects of mechanical activation and oxidation-reduction on hydrochloric acid leaching of Panxi ilmenite concentration. Trans. Nonferrous Met. Soc. China 2011, 21, 1414–1421. [Google Scholar] [CrossRef]
- Zhao, W.; Chu, M.S.; Liu, Z.G.; Wang, H.T.; Tang, J.; Ying, Z.W. High-Temperature Interactions Between Vanadium-Titanium Magnetite Carbon Composite Hot Briquettes and Pellets Under Simulated Blast Furnace Conditions. Metall. Mater. Trans. B 2019, 50, 1878–1895. [Google Scholar] [CrossRef]
- Monakhov, I.N.; Khromov, S.V.; Chemousov, P.I.; Yusfin, Y. The Flow of Vanadium-Bearing Materials in Industry. Metallurgist 2004, 48, 381–385. [Google Scholar] [CrossRef]
- Wang, B. Effect of Vanadium Partitioning of Vanadium Yield in BF Smelting Vanadium Titanomagnetite with Ore-Coke Mixed charging Technic. Master’s Thesis, North China University of Science and Technology, Tangshan, China, 2021. [Google Scholar]
- He, S.Q.; Sun, H.J.; Tan, D.Y.; Peng, D.Q. Recovery of Titanium Compounds from Ti-enriched Product of Alkali Melting Ti-bearing Blast Furnace Slag by Dilute Sulfuric Acid Leaching. Procedia Environ. Sci. 2016, 31, 977–984. [Google Scholar] [CrossRef] [Green Version]
- Zhao, W.; Chu, M.S.; Wang, H.T.; Liu, Z.G.; Tang, J.; Ying, Z.W. Effect of Introducing Coke into Ore Layer on Softening-melting-dropping Characteristics of Vanadium-titanium Mixed Burden under Simulating BF Conditions. ISIJ Int. 2018, 58, 1989–1998. [Google Scholar] [CrossRef] [Green Version]
- Gao, Q.J.; Jiang, X.; Zheng, H.Y.; Shen, F.M. Induration Process of MgO Flux Pellet. Minerals 2018, 8, 389. [Google Scholar] [CrossRef] [Green Version]
- Fan, J.J.; Qiu, G.Z.; Jiang, T.; Guo, Y.F.; Mu, K.L. Improvement of Sinter Properties with Ultra Fine-Sized Iron Concentrate by HPRG. J. Iron Steel Res. 2013, 20, 47–52. [Google Scholar] [CrossRef]
- Zhang, L.H.; Yang, S.T.; Tang, W.D.; Xue, X.X. Investigations of MgO on Sintering Performance and Metallurgical Property of High-Chromium Vanadium-Titanium Magnetite. Minerals 2019, 9, 324. [Google Scholar] [CrossRef] [Green Version]
- Yang, Y.H.; Lei, T.; Qin, Y.L. Effect of MgO Content on Heat Capacity of Synthetic BF Slag and Heat Release Behavior during Cooling Process. Metals 2021, 11, 1294. [Google Scholar] [CrossRef]
- Xing, X.D.; Pang, Z.J.; Zheng, J.L.; Du, Y.L.; Ren, S.; Ju, J.T. Effect of MgO and K2O on High-Al Silicon–Manganese Alloy Slag Viscosity and Structure. Minerals 2020, 10, 810. [Google Scholar] [CrossRef]
- Wang, G.L.; Kang, J.; Zhang, J.L.; Wang, Y.Z.; Wang, Z.Y.; Liu, Z.J.; Xu, C.Y. Softening–melting behavior of mixed burden based on low-magnesium sinter and fluxed pellets. Int. J. Miner. Metall. Mater. 2021, 28, 621–628. [Google Scholar] [CrossRef]
- Lu, Y.; Shan, R.; Wang, X.; Liu, Q.; Liu, J. Effect of Al2O3, MgO, and CaO/SiO2 on Viscosity of High Alumina Blast Furnace Slag. Steel Res. Int. 2016, 87, 241–249. [Google Scholar] [CrossRef]
- Shigaki, I.; Sawada, M.; Maekawa, M.; Narita, K. Melting Property of MgO Containing Sinter. ISIJ Int. 1980, 66, 1612–1621. [Google Scholar] [CrossRef]
- Yadav, U.S.; Pandey, B.D.; Das, B.K. Influence of magnesia on sintering characteristics of iron ore. Ironmak. Steelmak. 2002, 29, 91–95. [Google Scholar] [CrossRef]
- Pan, F.; Zhu, Q.S.; Du, Z.; Sun, H.Y. Migration Behavior of the MgO and its Influence on the Reduction of Fe3O4–MgO Sinter. ISIJ Int. 2018, 58, 652–659. [Google Scholar] [CrossRef] [Green Version]
- Matsumura, M.; Hoshi, M.; Kawaguchi, T. Improvement of Sinter Softening Property and Reducibility by Controlling Chemical Compositions. ISIJ Int. 2006, 45, 594–602. [Google Scholar] [CrossRef] [Green Version]
- Panigrahy, S.C.; Verstraeten, P.; Dilewijns, J. Influence of MgO addition on mineralogy of iron ore sinter. Metall. Trans. B 1984, 15, 23–32. [Google Scholar] [CrossRef]
- Zhao, W.; Chu, M.S.; Feng, C.; Wang, H.T.; Liu, Z.G.; Tang, J.; Wang, W.P. Effect of MgO addition on the metallurgical properties of the vanadium-titanium pellet with simulating blast furnace conditions. Ironmak. Steelmak. 2020, 47, 388–397. [Google Scholar] [CrossRef]
- Umadevi, T.; Brahmacharyulu, A.; Sah, R.; Mahapatra, P.C.; Prabhu, M. Optimisation of MgO addition in low and high silica iron ore sinter to improve sinter reducibility at JSW Steel Limited. Ironmak. Steelmak. 2014, 41, 270–278. [Google Scholar] [CrossRef]
- Higuchi, K.; Naito, M.; Nakano, M. Optimization of Chemical Composition and Microstructure of Iron Ore Sinter for Low-temperature Drip of Molten Iron with High Permeability. ISIJ Int. 2004, 44, 2057–2066. [Google Scholar] [CrossRef]
- Guo, H.; Shen, F.M.; Zhang, H.Y.; Gao, Q.J.; Jiang, X. High-Temperature Reduction and Melting Mechanism of Sinter with Different MgO Content. Met.-Open Access Metall. J. 2019, 9, 510. [Google Scholar] [CrossRef] [Green Version]









| Raw Materials | Items | TFe | CaO | SiO2 | MgO | Al2O3 | TiO2 |
|---|---|---|---|---|---|---|---|
| Sinter | 1# | 54.65 | 10.55 | 4.91 | 1.70 | 1.92 | 1.88 |
| 2# | 54.55 | 10.57 | 4.92 | 1.80 | 1.93 | 1.88 | |
| 3# | 54.46 | 10.59 | 4.93 | 1.90 | 1.94 | 1.88 | |
| 4# | 54.37 | 10.60 | 4.93 | 2.00 | 1.94 | 1.87 | |
| Pellet | 1# | 59.08 | 0.81 | 5.80 | 3.63 | 1.37 | 1.34 |
| 2# | 59.27 | 0.81 | 5.82 | 3.32 | 1.37 | 1.35 | |
| 3# | 59.46 | 0.81 | 5.84 | 3.02 | 1.38 | 1.35 | |
| 4# | 59.66 | 0.82 | 5.86 | 2.71 | 1.38 | 1.36 |
| Items | TFe | CaO | SiO2 | MgO | Al2O3 | TiO2 |
|---|---|---|---|---|---|---|
| 5# | 61.78 | 0.89 | 6.54 | 1.18 | 1.30 | 1.45 |
| 6# | 61.40 | 0.85 | 6.25 | 2.38 | 1.32 | 1.48 |
| 7# | 60.71 | 0.85 | 6.18 | 3.55 | 1.36 | 1.49 |
| Components | CaO | SiO2 | MgO | Al2O3 | TiO2 |
|---|---|---|---|---|---|
| Content/% | 36.02 | 28.51 | 9.09 | 13.16 | 8.22 |
| Item | CaO/% | SiO2/% | MgO/% | Al2O3/% | TiO2/% | R2/- |
|---|---|---|---|---|---|---|
| 1 | 38.89 | 30.87 | 6.00 | 13.16 | 8.22 | 1.26 |
| 2 | 37.78 | 29.98 | 8.00 | 13.16 | 8.22 | 1.26 |
| 3 | 36.66 | 29.10 | 10.00 | 13.16 | 8.22 | 1.26 |
| 4 | 35.55 | 28,21 | 12.00 | 13.16 | 8.22 | 1.26 |
| 5 | 34.43 | 27.33 | 14.00 | 13.16 | 8.22 | 1.26 |
Publisher’s Note: MDPI stays neutral with regard to jurisdictional claims in published maps and institutional affiliations. |
© 2022 by the authors. Licensee MDPI, Basel, Switzerland. This article is an open access article distributed under the terms and conditions of the Creative Commons Attribution (CC BY) license (https://creativecommons.org/licenses/by/4.0/).
Share and Cite
Wang, B.; Zhao, W.; Zhang, X.; Hu, S.; Guo, H.; Chu, M. Revealing the Softening-Melting Behaviors and Slag Characteristics of Vanadium-Titanium Magnetite Burden with Various MgO Addition. Minerals 2022, 12, 842. https://doi.org/10.3390/min12070842
Wang B, Zhao W, Zhang X, Hu S, Guo H, Chu M. Revealing the Softening-Melting Behaviors and Slag Characteristics of Vanadium-Titanium Magnetite Burden with Various MgO Addition. Minerals. 2022; 12(7):842. https://doi.org/10.3390/min12070842
Chicago/Turabian StyleWang, Bin, Wei Zhao, Xinghua Zhang, Shaoyan Hu, Hongwei Guo, and Mansheng Chu. 2022. "Revealing the Softening-Melting Behaviors and Slag Characteristics of Vanadium-Titanium Magnetite Burden with Various MgO Addition" Minerals 12, no. 7: 842. https://doi.org/10.3390/min12070842
APA StyleWang, B., Zhao, W., Zhang, X., Hu, S., Guo, H., & Chu, M. (2022). Revealing the Softening-Melting Behaviors and Slag Characteristics of Vanadium-Titanium Magnetite Burden with Various MgO Addition. Minerals, 12(7), 842. https://doi.org/10.3390/min12070842

