Research Progress with Scheelite Flotation Reagents: A Review
Abstract
:1. Introduction

2. Difficulties and Opportunities for Scheelite Flotation
3. Collector of Scheelite
3.1. Anionic Collectors
3.1.1. Carboxylic Acids
3.1.2. Chelating Collectors
3.1.3. Sulfonic Acid Collectors
3.1.4. Phosphonic Acid Collectors
3.2. Cationic Collectors
3.3. Amphoteric Collectors
3.4. Nonpolar Collectors
4. Regulators of Scheelite
4.1. pH Regulators
4.2. Inhibitors
4.2.1. Inorganic Inhibitors
- Silicate inhibitors

- Phosphate type
4.2.2. Organic Inhibitors
4.3. Metallic Salts
5. Discussion and Perspectives
| Type of Reagent | Type | Typical Representatives | Advantages | Disadvantages | |
|---|---|---|---|---|---|
| Collector | Anionic collectors | Fatty acid | Sodium oleate [13,29,30,31,32] | Low price, strong collection ability, wide application | Poor selectivity, poor hard water resistance |
| Chelating agent | BHA [50] | Good selectivity | Poor collection ability, large environmental impact, high production costs | ||
| Sulfonic acid collectors | SDBS [64], MES [36] | Good water solubility, hard water resistance, good low-temperature flotation performance | High price, poor collection ability, cannot be used singularly in actual production | ||
| Phosphonic acid collectors | LP [70] | Good selectivity, excellent foaming properties | |||
| Cationic collectors | DDA [73] | Good selectivity, strong collection ability | High price, low solubility, too sticky foam, recover quartz or silicate minerals | ||
| Amphoteric collectors | BABP [90], NHOD [52] | pH adaptable, hard water resistant, better selectivity | High price | ||
| Nonpolar collectors | MOA-9 [37], NP-4 [95] | Enhance the hydrophobicity, promote hydrophobic agglomeration, improved selectivity | Often used as an auxiliary recovery agent, cannot be used alone | ||
| Regulators | pH regulators | Na2CO3 [11] | Promote the dispersion of slurry, eliminate calcium and magnesium ions | - | |
| Inhibitor | Inorganic | Water glass [100,101,102,103,104,105,106,107,108] | Low price, mature process | Large reagent dosages | |
| Organic | Tannin [131], citric acid [62] | Wide source, low price | Poor inhibitory effect | ||
| Metallic salts | Pb2+ [150], Al3+ [105] | Improved selectivity | Environmental pollution | ||
- Inorganic inhibitors + fatty acid collectors. Inorganic inhibitors such as sodium silicate and Al-silicate, which are negatively charged, are easily adsorbed onto the calcium-binding sites on the surfaces of positively charged calcium-bearing minerals such as calcite and fluorite through electrostatic interactions. This limits additional adsorption of the fatty acid collectors, resulting in selective separation.
- Organic inhibitors + fatty acid collectors. Due to the different surface electrical properties and acid ion volumes of the scheelite and calcium-bearing minerals, negatively charged organic inhibitors with large volumes and hydroxyl or carboxyl groups are not easily adsorbed onto the negatively charged surface of scheelite, which has greater spatial hindrance. This achieves the purpose of selectively inhibiting the calcium-bearing minerals with little impact on scheelite flotation.
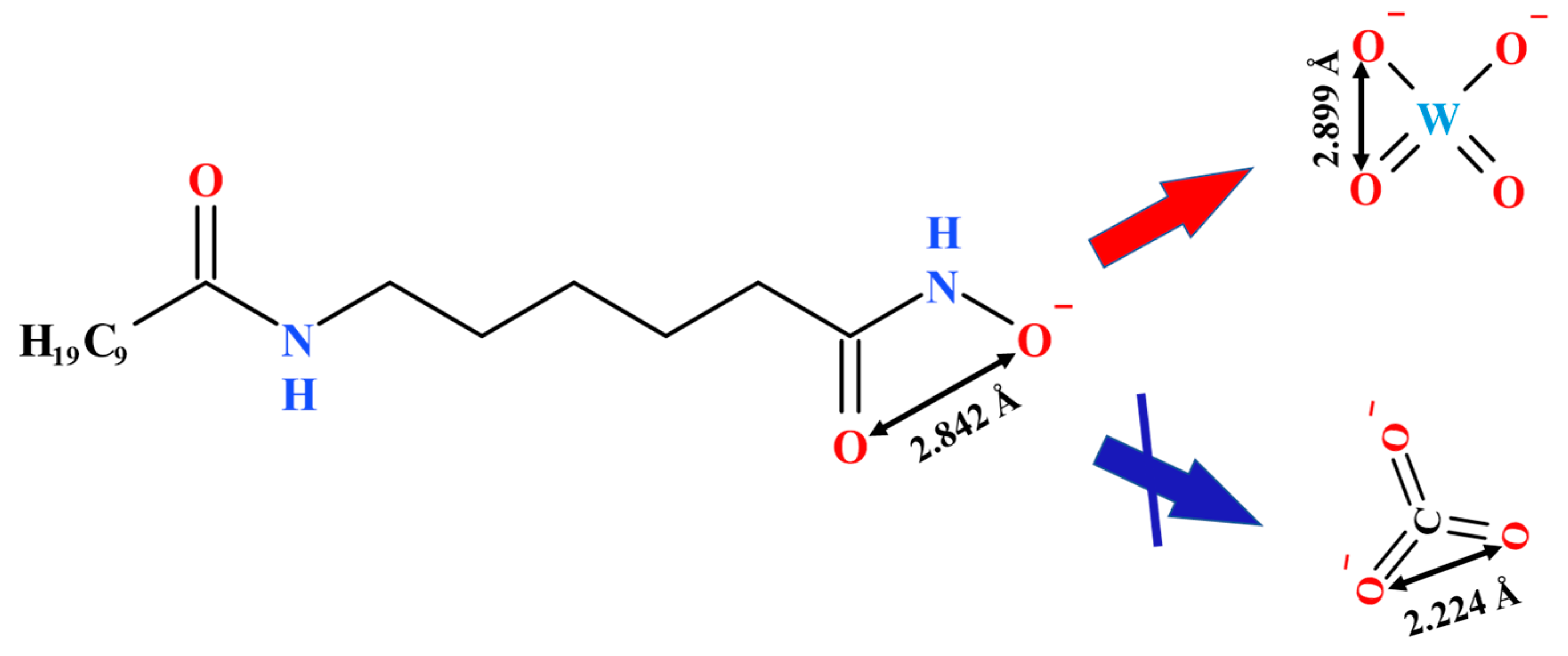
- Chelating collectors. Chelating collectors have good selectivities, and the currently proposed mechanisms include Ca chelation and W chelation. The latest theory is the distance matching mechanism, which suggests that the distance between the two O atoms in hydroxamic acid (2.842 Å) are matched better with the distance between the two O atoms of WO42− in the scheelite (2.899 Å) but differs significantly from the distance between the two O atoms of CO32− in the calcite (2.224 Å). Therefore, there are differences in the flotation behaviors of scheelite and calcite.
- Metal complexes. The complexes formed by mixing metal ions with chelating collectors, such as Pb-BHA, show good selectivity for scheelite in actual mineral flotation, but in single-mineral flotation, the flotation recoveries of scheelite and calcite are similar. It is widely believed that the complex formed by Pb-BHA can specifically interact with WO42− on the surface of scheelite, and Pb-BHA is similar to a cationic collector, which can more easily be adsorbed on the negative surface of scheelite.
- Cationic collectors. Within the general pH range studied, the scheelite surface is negatively charged, while the calcium-bearing minerals such as calcite and fluorite are positively charged. The different surface electrical properties of the minerals allow the cationic collectors to separate scheelite from the calcium-bearing minerals through electrostatic interactions and hydrogen bonding. In prior studies, the cationic collectors often achieved good separation results for single minerals.
- Fatty acid is still the main collector used in scheelite flotation due to its low cost and strong recovery ability, which allows for the development of numerous inhibitors with high selectivity. A metal compatibility collector, such as Pb-BHA, is also promising due to the low dosage of inhibitor and good selectivity; the synthesis of a new type of high-selective collector will also become an important research direction: for example, some new types of chelating-type collectors, Geimini-type cationic collector, and so on. Simultaneously, the greening of flotation chemicals should also be taken into consideration.
- In addition to flotation agents, the particle size of the ore is an important factor of flotation, especially in the commercial flotation of scheelite. Fine slurry declines the flotation efficiency. Mineral particles with a diameter of 20~150 μm can be effectively beneficiated by flotation, whereas the flotation separation of particles smaller than 20 μm is difficult due to their small mass, large surface charge, and high surface energy. Currently, the main methods to solve the flotation of fine scheelite with abundant mud are pre-desliming [154], shear flocculation [155], flotation column [156], selective flocculation [157], and magnetic flocculation [158], etc. Although the main purpose of this paper is to review the reagents related to scheelite flotation, the flotation of micro-fine scheelite is still worth studying.
| Mineral | Reagent Condition | |||||
|---|---|---|---|---|---|---|
| Fatty Acid Collectors | Inorganic Inhibitors + Fatty Acid Collectors | Organic Inhibitors + Fatty Acid Collectors | Chelating Collectors | Metal Compatibility Collector | Cationic Collectors | |
| NaOl [159] | NaOl + water glass [159] | NaOl + DSS [124] | NHOD [52] | Pb-BHA [160] | HDDA [77,81] | |
| Scheelite | ≈88% | ≈80% | ≈88% | ≈90% | ≈90% | ≈95% |
| Calcite | ≈97% | ≈40% | ≈7% | ≈35% | ≈90% | ≈10% |
| Fluorite | ≈88% | ≈15% | ≈20% | - | ≈20% | - |
6. Conclusions
- Research on the flotation collectors for scheelite has mainly been focused on anionic collectors, especially fatty acid and chelating collectors. Fatty acid collectors exhibit good collecting performance and are widely used and inexpensive, but their selectivities are poor and often require combined usage or molecular structure modifications with other reagents. Chelating collectors have good selectivity, but their collecting efficiencies are not as good as those of the fatty acid collectors. The development of new chelating collectors is a major research goal, mainly by modifying the hydrophobic chains or combining them with fatty acid collectors to improve their flotation performance.
- Water glass is still the most widely used inhibitor in scheelite flotation, but it requires a large dosage. Organic inhibitors have a wide range of sources, minimal impacts on the environment, and broad application prospects in the future.
- Metal ions (e.g., Al3+ and Pb2+) have been found to enhance the efficiencies of both collectors and inhibitors and significantly improve their abilities to separate scheelite from calcium-bearing gangue minerals, with typical representatives being Pb-BHA and Al-Na2SiO3. The search for metal ions with better activation effects is of interest in this field.
- The current mechanisms for separation of scheelite and calcium-bearing gangue are focused on the following methods: inorganic inhibitors + fatty acid collectors, organic inhibitors + fatty acid collectors, chelating collectors, and cationic collectors. The main effects explaining the different flotation behaviors are the differences in surface electric properties and different spatial hindrance of the scheelite and calcium-bearing minerals.
Author Contributions
Funding
Data Availability Statement
Acknowledgments
Conflicts of Interest
References
- Han, Z.; Golev, A.; Edraki, M. A Review of Tungsten Resources and Potential Extraction from Mine Waste. Minerals 2021, 11, 701. [Google Scholar] [CrossRef]
- Koutsospyros, A.; Braida, W.; Christodoulatos, C.; Dermatas, D.; Strigul, N. A review of tungsten: From environmental obscurity to scrutiny. J. Hazard Mater. 2006, 136, 1–19. [Google Scholar] [CrossRef] [PubMed]
- U.S. Geological Survey. U.S. Geologlcal Survey Minerals Yearbook-2018; U.S. Geological Survey: Reston, VA, USA, 2018.
- Blengini, G.A.; Nuss, P.; Dewulf, J.; Nita, V.; Peirò, L.T.; Vidal-Legaz, B.; Latunussa, C.; Mancini, L.; Blagoeva, D.; Pennington, D.; et al. EU methodology for critical raw materials assessment: Policy needs and proposed solutions for incremental improvements. Resour. Policy 2017, 53, 12–19. [Google Scholar] [CrossRef]
- Gian Andrea, B.; Cynthia, E.L.; Umberto, E.; Cristina, T.d.M.; Dominic, W.; Konstantinos, G.; Claudiu, P.; Samuel, C.; Lucia, M.; Manuela, U.; et al. Study on the EU’s list of Critical Raw Materials; European Union: Brussels, Belgium, 2020. [Google Scholar]
- Srivastava, N. Trade in critical minerals: Revisiting the legal regime in times of energy transition. Resour. Policy 2023, 82, 103491. [Google Scholar] [CrossRef]
- U.S. Geological Survey. 2022 Final List of Critical Minerals (USA); U.S. Geological Survey: Reston, VA, USA, 2022.
- Chen, Y.; Huo, G.; Guo, X.; Wang, Q. Wolframite concentrate conversion kinetics and mechanism in hydrochloric acid. Miner. Eng. 2022, 179, 107422. [Google Scholar] [CrossRef]
- Yang, X. Beneficiation studies of tungsten ores–A review. Miner. Eng. 2018, 125, 111–119. [Google Scholar] [CrossRef]
- Chen, R.; Zhang, Y.; Li, Y. Research progress of reagent combination in scheelite flotation. Min. Met. 2018, 27, 24–29. [Google Scholar]
- Li, X.; Zhang, Y.; Guan, Z.; Yang, H. Research progress of scheelite flotation reagents. Conserv. Util. Miner. Resour. 2022, 42, 14–24. [Google Scholar] [CrossRef]
- U.S. Geological Survey. Mineral Commodity Summaries; U.S. Geological Survey: Reston, VA, USA, 2023.
- Kupka, N.; Rudolph, M. Froth flotation of scheelite—A review. Int. J. Min. Sci. Technol. 2018, 28, 373–384. [Google Scholar] [CrossRef]
- Yin, W.; Wang, J. Effects of particle size and particle interactions on scheelite flotation. Trans. Nonferrous Met. Soc. China 2014, 24, 3682–3687. [Google Scholar] [CrossRef]
- Yao, X.; Yu, X.; Wang, L.; Zeng, Y.; Mao, L.; Liu, S.; Xie, H.; He, G.; Huang, Z.; Liu, Z. Preparation of cinnamic hydroxamic acid collector and study on flotation characteristics and mechanism of scheelite. Int. J. Min. Sci. Technol. 2023, 33, 773–781. [Google Scholar] [CrossRef]
- Foucaud, Y.; Filippov, L.; Filippova, I.; Badawi, M. The challenge of tungsten Skarn processing by froth flotation: A review. Front. Chem. 2020, 8, 230. [Google Scholar] [CrossRef] [PubMed]
- Anthony, J.W.; Bideaux, R.A.; Bladh, K.W.; Nichols, M.C. (Eds.) Handbook of Mineralogy; Mineralogical Society of America: Chantilly, VA, USA, 1990. [Google Scholar]
- Wang, R.; Han, H.; Sun, W.; Sun, W.; Wei, Z.; Fu, J. Surface transformation of calcium minerals and Its application in flotation. Met. Mine 2021, 52–59. [Google Scholar] [CrossRef]
- Zhang, Y. Research on the Performance and Mechanisms of Depressants for Separatig Scheelite from Calcareous Gangue Minerals by Flotation. Ph.D. Thesis, Central South University, Changsha, China, 2012. [Google Scholar]
- Li, T.; Qiu, X.; Zhou, X. The current research status of flotation reagents for scheelite. Mater. Res. Appl. 2018, 12, 8–12. [Google Scholar]
- Chen, C.; Zhu, H.; Sun, W.; Hu, Y.; Qin, W.; Liu, R. Synergetic effect of the mixed anionic/non-ionic collectors in low temperature flotation of scheelite. Minerals 2017, 7, 87–94. [Google Scholar] [CrossRef]
- Zhang, Q.; Liu, R.; Cao, X.; Sun, W.; Yang, Y. Relationship between structure and property of collecting agent for fatty acids scheelite. Nonferrous Met. Sci. Eng. 2013, 4, 85–90. [Google Scholar] [CrossRef]
- Wei, Z.; Sun, W.; Han, H.; Wang, J.; Wang, R.; Kang, J. New technology and practice of tungsten ore flotation. Met. Mine 2021, 60–72. [Google Scholar] [CrossRef]
- Sun, W.; Han, H.; Wang, J.; Cheng, Y.; Wang, R.; Mu, Y. The action mechanism of Ca-oleate colloid collector during the flotation of calcium-containing minerals. Conserv. Util. Miner. Resour. 2022, 42, 1–7. [Google Scholar] [CrossRef]
- Hu, H.; Zhou, X.; Qiu, X.; He, X. On the application of floatation reagents of scheelite. China Tungsten Ind. 2010, 25, 19–22. [Google Scholar]
- Rudolph, M.; Hartmann, R. Specific surface free energy component distributions and flotabilities of mineral microparticles in flotation—An inverse gas chromatography study. Colloids Surf. A Physicochem. Eng. Asp. 2017, 513, 380–388. [Google Scholar] [CrossRef]
- Wang, C.; Deng, J.; Wang, J.; Sun, L.; Sun, W.; Xiao, Q.; Cao, Y.; Gao, Z. Crystal chemistry and flotation principle of scheelite. Met. Mine 2021, 6, 15–25. [Google Scholar] [CrossRef]
- De Leeuw, N.H.; Parker, S.C.; Rao, K.H. Modeling the competitive Adsorption of Water and methanoic acid on calcite and fluorite surfaces. Langmuir 1998, 14, 5900–5906. [Google Scholar] [CrossRef]
- Hu, Y.; Gao, Z.; Sun, W.; Liu, X. Anisotropic surface energies and adsorption behaviors of scheelite crystal. Colloids Surf. A Physicochem. Eng. Asp. 2012, 415, 439–448. [Google Scholar] [CrossRef]
- Antti, B.M.; Forssberg, E. Pulp chemistry in industrial mineral flotation. Studies of surface complex on calcite and apatite surfaces using FTIR spectroscopy. Miner. Eng. 1989, 2, 217–227. [Google Scholar] [CrossRef]
- Sun, W.; Han, H.; Sun, W.; Wang, R.; Wei, Z. Novel insights into the role of colloidal calcium dioleate in the flotation of calcium minerals. Miner. Eng. 2022, 175, 107274–107281. [Google Scholar] [CrossRef]
- Wang, Z.; Wang, L.; Zheng, Y.; Xiao, J. Role of calcium dioleate in the flotation of powellite particles using oleate. Miner. Eng. 2019, 138, 95–100. [Google Scholar] [CrossRef]
- Foucaud, Y.; Collet, A.; Filippova, I.V.; Badawi, M.; Filippov, L.O. Synergistic effects between fatty acids and non-ionic reagents for the selective flotation of scheelite from a complex tungsten skarn ore. Miner. Eng. 2022, 182, 107566. [Google Scholar] [CrossRef]
- Filippov, L.O.; Foucaud, Y.; Filippova, I.V.; Badawi, M. New reagent formulations for selective flotation of scheelite from a skarn ore with complex calcium minerals gangue. Miner. Eng. 2018, 123, 85–94. [Google Scholar] [CrossRef]
- Samatova, L.A.; Shepeta, E.D.; Kondrat’ev, S.A. Flotation properties of FX-6 collector in scheelite-sulfide ore concentration. J. Min. Sci. 2015, 51, 369–373. [Google Scholar] [CrossRef]
- Gao, Z.; Bai, D.; Sun, W.; Cao, X.; Hu, Y. Selective flotation of scheelite from calcite and fluorite using a collector mixture. Miner. Eng. 2015, 72, 23–26. [Google Scholar] [CrossRef]
- Zhu, H.; Qin, W.; Chen, C.; Liu, R. Interactions between sodium oleate and polyoxyethylene ether and the application in the low-temperature flotation of scheelite at 283 K. J. Surfactants Deterg. 2016, 19, 1289–1295. [Google Scholar] [CrossRef]
- Huang, G.; Feng, Q.; Ou, L.; Wu, X.; Lu, Y.; Zhang, G. A comparative study of recovering fine scheelite in tailings by flotation cell and flotation column. J. Solid Waste Technol. Manag. 2010, 36, 61–68. [Google Scholar] [CrossRef]
- Meng, X.; Yu, X.; Gao, Q. Experiment research on technology of processing low grade scheelite. Non-Ferrous Min. Metall. 2007, 23, 15–17. [Google Scholar]
- Liu, C.; Feng, Q.; Zhang, G.; Chen, W.; Chen, Y. Effect of depressants in the selective flotation of scheelite and calcite using oxidized paraffin soap as collector. Int. J. Miner. Process. 2016, 157, 210–215. [Google Scholar] [CrossRef]
- Wang, J.; Wei, Z.; Han, H.; Sun, W.; Gao, Z.; Xiang, G.; Wu, S.; Kang, J.; Jiang, X. Design and Assembly of Flotation Reagents of Tungsten Minerals. Met. Mine 2021, 6, 26–43. [Google Scholar] [CrossRef]
- Wan, H.; Cao, H.; Li, X. Processing technology of a refractory copper-bearing high-sulfur scheelite. China Tungsten Ind. 2020, 35, 29–35. [Google Scholar]
- Abdalla, M.A.M.; Peng, H.; Younus, H.A.; Wu, D.; Abusin, L.; Shao, H. Effect of synthesized mustard soap on the scheelite surface during flotation. Colloids Surf. A-Physicochem. Eng. Asp. 2018, 548, 108–116. [Google Scholar] [CrossRef]
- Sun, H.; Wang, S.; Fei, L.; Cao, Z.; Zhong, H.; Ma, X. The selective flotation separation of rhodochrosite against quartz and calcite with dicarboxylic amino acid-based surfactants as a novel collector. Miner. Eng. 2022, 182, 107559. [Google Scholar] [CrossRef]
- Jia, K.; Lu, Y.; Liu, J.; Cheng, S.; Liu, S.; Cao, Y.; Li, G. Selective flotation separation of hemimorphite from quartz using the biosurfactant sodium N-lauroylsarcosinate as a novel collector. Miner. Eng. 2023, 198, 108073. [Google Scholar] [CrossRef]
- Sun, W.; Liu, W.; Dai, S.; Duan, H.; Liu, W. Inserting EO groups to improve the performance of fatty acid collectors: Flotation and adsorption study performed with calcite, dolomite, and quartz. Sep. Purif. Technol. 2021, 272, 118952. [Google Scholar] [CrossRef]
- Wu, H.; Qi, G.; Lin, H. Application of a new collector ZL in scheelite flotation. China Tungsten Ind. 2019, 34, 25–30. [Google Scholar]
- Zhou, X.; Deng, L. Application of the new-type composite collector TA in flotation technology of a scheelite ore in hunan. Multipurp. Util. Miner. Resour. 2008, 6, 22–24. [Google Scholar]
- Li, W. Research progress of scheelite flotation reagents. World Nonferrous Met. 2019, 14, 245–247. [Google Scholar]
- Zhao, G.; Zhong, H.; Qiu, X.; Wang, S.; Gao, Y.; Dai, Z.; Huang, J.; Liu, G. The DFT study of cyclohexyl hydroxamic acid as a collector in scheelite flotation. Miner. Eng. 2013, 49, 54–60. [Google Scholar] [CrossRef]
- Qiu, X.; Cheng, D.; Wang, D. Reaction mechanism between benzoylhydroxamic acid and scheelite. Min. Metall. Eng. 2001, 21, 39–42. [Google Scholar]
- Deng, L.; Zhao, G.; Zhong, H.; Wang, S.; Liu, G. Investigation on the selectivity of N-((hydroxyamino)-alkyl) alkylamide surfactants for scheelite/calcite flotation separation. J. Ind. Eng. Chem. 2016, 33, 131–141. [Google Scholar] [CrossRef]
- Gao, Y.; Gao, Z.; Sun, W.; Yin, Z.; Wang, J.; Hu, Y. Adsorption of a novel reagent scheme on scheelite and calcite causing an effective flotation separation. J. Colloid Interface Sci. 2018, 512, 39–46. [Google Scholar] [CrossRef]
- Yin, W.; Wang, J.; Sun, Z. Structure–activity relationship and mechanisms of reagents used in scheelite flotation. Rare Met. 2014, 34, 882–887. [Google Scholar] [CrossRef]
- Xiao, Q.; Li, C.; Kang, G. Study on technological flowsheets for flotation process of shizhuyuan polymetallic ore with CF method. Min. Met. 1996, 5, 26–32. [Google Scholar]
- Zhang, Z.; Zhang, X.; Ye, Z.; Dai, Z.; Tong, J.; Guo, J. The study on new technique for flotation of wolfram from shizhuyuan polymetallic ores using GY method. Min. Metall. Eng. 1999, 19, 22–25. [Google Scholar]
- Han, Z.; Guan, Z.; Lu, Y.; Wang, G. Experimental study on recovering a certain tungsten ore using combination collectors. Min. Metall. Eng. 2009, 29, 50–54. [Google Scholar]
- Chen, M.; Song, B.; Zhao, R.; Yuan, Q.; Yao, L. Experimental study on flotation of skarn scheelite in gejiu city, yunnan province with a new hydroxamic acid collector. Conserv. Util. Miner. Resour. 2022, 42, 8–13. [Google Scholar] [CrossRef]
- Zhou, Y.; Wu, Y. The current research situation and countermeasures of scheelite flotation. China Tungsten Ind. 2013, 28, 19–24. [Google Scholar]
- Sørensen, E. On the adsorption of some anionic collectors on fluoride minerals. J. Colloid Interface Sci. 1973, 45, 601–607. [Google Scholar] [CrossRef]
- GonzalezMartin, M.L.; Bruque, J.M.; GonzalezCaballero, F.; PereaCarpio, R.; Janczuk, B. The mechanism of adsorption of sodium dodecylsulfonate on fluorite and its surface free energy. Appl. Surf. Sci. 1996, 103, 395–402. [Google Scholar] [CrossRef]
- Gao, Z.; Gao, Y.; Zhu, Y.; Hu, Y.; Sun, W. Selective Flotation of Calcite from Fluorite: A Novel Reagent Schedule. Minerals 2016, 6, 114–121. [Google Scholar] [CrossRef]
- Chen, Z.; Ren, Z.; Gao, H.; Zheng, R.; Jin, Y.; Niu, C. Flotation studies of fluorite and barite with sodium petroleum sulfonate and sodium hexametaphosphate. J. Mater. Res. Technol. 2019, 8, 1267–1273. [Google Scholar] [CrossRef]
- Wang, J.; Yin, W.z.; Zhang, Y.; Liang, X.; Sun, Z. Mechanism and effect of mixed sodium oleate sodium dodecyl benzene sulfonate on the scheelite flotation. Nonferrous Met. (Miner. Process. Sect.) 2018, 106–110. [Google Scholar]
- Zhang, Z. Synthesis and Application of Novel Flotation Collectors of Tungsten and Molybdenum. Master’s Thesis, Henan University Science and Technology, Luoyang, China, 2010. [Google Scholar]
- Zhao, Y. Application of sulfonic and sulfinic acid surfactants in flotation. Nonferrous Met. (Smelt. Sect.) 1977, 21–32. [Google Scholar]
- Gouri Charan, T.; Rao, G.V. Recovery of low grade scheelite by spherical agglomeration. Min. Metall. Explor. 1990, 7, 79–83. [Google Scholar] [CrossRef]
- Rao, G.V. An approach for recovery of low-grade scheelite fines from gold plant tailings dump of Kolar, India. Trans. Indian Inst. Met. 1992, 45, 275–281. [Google Scholar]
- Marinakis, K.I.; Kelsall, G.H. The surface chemical properties of scheelite (CaWO4) II. Collector adsorption and recovery of fine scheelite particles at the iso-octane/water interface. Colloids Surf. 1987, 26, 243–255. [Google Scholar] [CrossRef]
- Lu, Y.; Lin, Q.; Wang, D. A new type of reagent for flotation separation of fluorite, scheelite and garnet-LP Series collectors. Non-Ferrous Min. Metall. 1993, 20–25. [Google Scholar]
- Gao, Z.; Hu, Y.; Sun, W.; Drelich, J.W. Surface-Charge Anisotropy of Scheelite Crystals. Langmuir 2016, 32, 6282–6288. [Google Scholar] [CrossRef]
- Hiçyìlmaz, C.; Atalay, Ü.; Özbayoglu, G. Selective flotation of scheelite using amines. Miner. Eng. 1993, 6, 313–320. [Google Scholar] [CrossRef]
- Gao, Z.; Sun, W.; Hu, Y. New insights into the dodecylamine adsorption on scheelite and calcite: An adsorption model. Miner. Eng. 2015, 79, 54–61. [Google Scholar] [CrossRef]
- Wang, J.; Gao, Z.; Gao, Y.; Hu, Y.; Sun, W. Flotation separation of scheelite from calcite using mixed cationic/anionic collectors. Miner. Eng. 2016, 98, 261–263. [Google Scholar] [CrossRef]
- Dong, L.; Jiao, F.; Qin, W.; Zhu, H.; Jia, W. Effect of acidified water glass on the flotation separation of scheelite from calcite using mixed cationic/anionic collectors. Appl. Surf. Sci. 2018, 444, 747–756. [Google Scholar] [CrossRef]
- Dong, L.; Zhu, H.; Jiao, F.; Qin, W.; Jia, W. Effect of calcium ions on scheelite flotation using mixed collectors. Sep. Sci. Technol. 2018, 54, 153–162. [Google Scholar] [CrossRef]
- Ni, C.; Liu, C.; Fang, X.; Ren, Z.; Yang, L.; Shao, P.; Luo, X.; Zeng, G.; Duan, L.; Liu, T. A novel collector with wide pH adaptability and high selectivity towards flotation separation of scheelite from calcite. Miner. Eng. 2020, 158, 106606–106608. [Google Scholar] [CrossRef]
- Yang, F.; Sun, W.; Hu, Y.; Long, S. Cationic flotation of scheelite from calcite using quaternary ammonium salts as collector: Adsorption behavior and mechanism. Miner. Eng. 2015, 81, 18–28. [Google Scholar] [CrossRef]
- Yang, F. Application of Quaternary Ammonium Salts as Collector in Flotation of Scheelite and Research of the reaction Mechanism. Ph.D. Thesis, Central South University, Changsha, China, 2013. [Google Scholar]
- Huang, Z.; Zhang, S.; Cheng, C.; Wang, H.; Liu, R.; Hu, Y.; He, G.; Yu, X.; Fu, W. Recycling Lepidolite from Tantalum–Niobium Mine Tailings by a Combined Magnetic–Flotation Process Using a Novel Gemini Surfactant: From Tailings Dams to the “Bling” Raw Material of Lithium. ACS Sustain. Chem. Eng. 2020, 8, 18206–18214. [Google Scholar] [CrossRef]
- Ni, C. Study on the Application and Mechanism of Gemini Quaternary Ammonium in Scheelite Flotation Separation and Wastewater Treatment. Master’s Thesis, Nanchang Hangkong University, Nanchang, China, 2021. [Google Scholar]
- Liu, C.; Ni, C.; Yao, J.; Chang, Z.; Wang, Z.; Zeng, G.; Luo, X.; Yang, L.; Ren, Z.; Shao, P.; et al. Hydroxypropyl amine surfactant: A novel flotation collector for efficient separation of scheelite from calcite. Miner. Eng. 2021, 167, 106898. [Google Scholar] [CrossRef]
- Huang, Z.; Shuai, S.; Burov, V.E.; Poilov, V.Z.; Li, F.; Wang, H.; Liu, R.; Zhang, S.; Cheng, C.; Li, W.; et al. Adsorption of Trisiloxane Surfactant for Selective Flotation of Scheelite from Calcite at Room Temperature. Langmuir 2022, 38, 9010–9020. [Google Scholar] [CrossRef] [PubMed]
- Shuai, S.; Huang, Z.; Burov, V.E.; Poilov, V.Z.; Li, F.; Wang, H.; Liu, R.; Zhang, S.; Cheng, C.; Li, W.; et al. Flotation separation of wolframite from calcite using a new trisiloxane surfactant as collector. Int. J. Min. Sci. Technol. 2023, 33, 379–387. [Google Scholar] [CrossRef]
- Wang, Q.; Zhang, X.; Li, K.; Wu, L. Research progress of flotation reagents for scheelite. China Tungsten Ind. 2015, 30, 21–27. [Google Scholar]
- Xu, S.; Meng, S.; Guo, D. Flotation of scheelite with amphoteric collectors. Nonferrous Metals (Miner. Process. Sect.) 1986, 24–28. [Google Scholar]
- Nosov, I.A. Possibility of using acylamino acid collector in flotation of scheelite ores. J. Min. Sci. 1996, 32, 423–426. [Google Scholar] [CrossRef]
- Hu, Y.; Wang, D. Research on flotation of fluorite, barite and scheelite with a New type of amphoteric collector. Nonferrous Metals (Miner. Process. Sect.) 1989, 10–14. [Google Scholar]
- Ozcan, O.; Bulutcu, A.N.; Sayan, P.; Recepoglu, O. Scheelite flotation-a new scheme using oleoyl sarcosine as collector and alkyl oxine as modifier. Int. J. Miner. Process. 1994, 42, 111–120. [Google Scholar] [CrossRef]
- Hu, Y.; Xu, Z. Interactions of amphoteric amino phosphoric acids with calcium-containing minerals and selective flotation. Int. J. Miner. Process. 2003, 72, 87–94. [Google Scholar] [CrossRef]
- Deng, L.; Zhou, X. Flotation studies on low-grade scheelite with R31 as Collector. Conserv. Util. Miner. Resour. 2007, 8, 19–22. [Google Scholar]
- Kang, J.; Hu, Y.; Sun, W.; Gao, Z.; Liu, R. Utilization of sodium hexametaphosphate for separating Scheelite from calcite and fluorite using an anionic–nonionic collector. Minerals 2019, 9, 705–720. [Google Scholar] [CrossRef]
- Filippov, L.O.; Filippova, I.V.; Lafhaj, Z.; Fornasiero, D. The role of a fatty alcohol in improving calcium minerals flotation with oleate. Colloids Surf. A Physicochem. Eng. Asp. 2019, 560, 410–417. [Google Scholar] [CrossRef]
- Han, C.; Zhang, H.; Tan, R.; Shen, Y.; Wei, D.; Liu, W. Effects of monohydric alcohols of varying chain lengths and isomeric structures on magnesite and dolomite flotation by dodecylamine. Powder Technol. 2020, 374, 233–240. [Google Scholar] [CrossRef]
- Ruan, Y.; Deng, B.; He, D.; Chi, R. Synergetic effect of cottonseed fatty acid salt and nonionic surfactant NP-4 in the froth flotation of siliceous-calcareous phosphate rock. Colloids Surf. A Physicochem. Eng. Asp. 2021, 622, 126650. [Google Scholar] [CrossRef]
- Filippova, I.V.; Filippov, L.O.; Duverger, A.; Severov, V.V. Synergetic effect of a mixture of anionic and nonionic reagents: Ca mineral contrast separation by flotation at neutral pH. Miner. Eng. 2014, 66–68, 135–144. [Google Scholar] [CrossRef]
- Shepeta, E.D.; Ignatkina, V.A.; Kondrat’ev, S.A.; Samatova, L.A. Flotation of calcium minerals with combination of reagents of different molecular structure. J. Min. Sci. 2019, 55, 970–983. [Google Scholar] [CrossRef]
- Kupka, N.; Rudolph, M. Role of sodium carbonate in scheelite flotation—A multi-faceted reagent. Miner. Eng. 2018, 129, 120–128. [Google Scholar] [CrossRef]
- Zhao, K.; Dai, H.; Gong, Z.; Lu, M.; Wang, F.; Wu, L.; Xie, P.; Zhao, M. Research progress of scheelite flotation behavior. Nonferrous Met. (Miner. Process. Sect.) 2022, 6, 155–164. [Google Scholar]
- Sun, W.; Song, S. The application and analysis of water glass in the scheelite flotation. China Tungsten Ind. 2013, 28, 22–25. [Google Scholar]
- Han, H.; Xiao, Y.; Hu, Y.; Sun, W.; Nguyen, A.V.; Tang, H.; Gui, X.; Xing, Y.; Wei, Z.; Wang, J. Replacing Petrov’s process with atmospheric flotation using Pb-BHA complexes for separating scheelite from fluorite. Miner. Eng. 2020, 145. [Google Scholar] [CrossRef]
- Ai, G.; Yi, C.; Wu, H. Experimental flotation on a scheelite ore of Jiangxi. China Tungsten Ind. 2016, 31, 3–8. [Google Scholar]
- Kupka, N.; Babel, B.; Rudolph, M. The potential role of colloidal silica as a depressant in scheelite flotation. Minerals 2020, 10, 144–152. [Google Scholar] [CrossRef]
- Yan, W.; Xiong, L.; Chen, X. Application environment and mechanism of water glass in scheelite flotation. China Tungsten Ind. 2014, 29, 20–25. [Google Scholar]
- Wei, Z.; Hu, Y.; Han, H.; Sun, W.; Wang, R.; Sun, W.; Wang, J.; Gao, Z.; Wang, L.; Zhang, C.; et al. Selective separation of scheelite from calcite by self-Assembly of H2SiO3 polymer using Al3+ in Pb-BHA flotation. Minerals 2019, 9, 43–57. [Google Scholar] [CrossRef]
- Foucaud, Y.; Badawi, M.; Filippov, L.O.; Barres, O.; Filippova, I.V.; Lebegue, S. Synergistic adsorptions of Na2CO3 and Na2SiO3 on calcium minerals revealed by spectroscopic and ab initio molecular dynamics studies. Chem. Sci. 2019, 10, 9928–9940. [Google Scholar] [CrossRef]
- Zhou, W.; Moreno, J.; Torres, R.; Valle, H.; Song, S. Flotation of fluorite from ores by using acidized water glass as depressant. Miner. Eng. 2013, 45, 142–145. [Google Scholar] [CrossRef]
- Feng, B.; Luo, X.; Wang, J.; Wang, P. The flotation separation of scheelite from calcite using acidified sodium silicate as depressant. Miner. Eng. 2015, 80, 45–49. [Google Scholar] [CrossRef]
- Kupka, N.; Möckel, R.; Rudolph, M. Acidified water glass in the selective flotation of scheelite from calcite, Part I: Performance and impact of the acid type. Physicochem. Probl. Miner. Process. 2019, 56, 238–251. [Google Scholar]
- Dong, L.; Jiao, F.; Qin, W.; Zhu, H.; Jia, W. Selective depressive effect of sodium fluorosilicate on calcite during scheelite flotation. Miner. Eng. 2019, 131, 262–271. [Google Scholar] [CrossRef]
- Li, C.; Lü, Y. Selective flotation of scheelite from calcium minerals with sodium oleate as a collector and phosphates as modifiers. II. The mechanism of the interaction between phosphate modifiers and minerals. Int. J. Miner. Process. 1983, 10, 219–235. [Google Scholar] [CrossRef]
- Wang, J.; Yin, W.z.; Sun, Z. Selective inhibition and mechanism of scheelite and apatitle flotation. Nonferrous Met. Eng. 2019, 9, 66–69. [Google Scholar]
- Wang, X.; Jia, W.; Yang, C.; He, R.; Jiao, F.; Qin, W.; Cui, Y.; Zhang, Z.; Li, W.; Song, H. Innovative application of sodium tripolyphosphate for the flotation separation of scheelite from calcite. Miner. Eng. 2021, 170, 106981–106990. [Google Scholar] [CrossRef]
- Wang, X.; Song, Q.; Xie, R.; Liu, J.; Zhu, Y. Selective flotation separation of scheelite from apatite by application of ATMP as an efficient depressant. J. Mol. Liq. 2023, 378, 121604. [Google Scholar] [CrossRef]
- Wen, R.M.; Deng, S.Q.; Zhu, Z.L.; Fan, W.; Zhang, Y.F. Studies on complexation of ATMP, PBTCA, PAA and PMAAA with Ca2+ in aqueous solutions. Chem. Res. Chin. Univ. 2004, 20, 36–39. [Google Scholar]
- Pairat, R.; Sumeath, C.; Browning, F.H.; Fogler, H.S. Precipitation and dissolution of calcium-ATMP precipitates for the inhibition of scale formation in porous media. Langmuir 1997, 13, 1791–1798. [Google Scholar] [CrossRef]
- Zhu, S.; Asim Khan, M.; Wang, F.; Bano, Z.; Xia, M. Rapid removal of toxic metals Cu2+ and Pb2+ by amino trimethylene phosphonic acid intercalated layered double hydroxide: A combined experimental and DFT study. Chem. Eng. J. 2020, 392, 123711. [Google Scholar] [CrossRef]
- Lu, T.; Chen, F. Multiwfn: A multifunctional wavefunction analyzer. J. Comput. Chem. 2012, 33, 580–592. [Google Scholar] [CrossRef]
- Lu, T.; Chen, F. Quantitative analysis of molecular surface based on improved Marching Tetrahedra algorithm. J. Mol. Graph. Model. 2012, 38, 314–323. [Google Scholar] [CrossRef]
- Sun, W.; Hu, Y.; Qin, W.; Xu, J. The status about research of flotation reagent for wolfram. Conserv. Util. Miner. Resour. 2000, 6, 42–46. [Google Scholar] [CrossRef]
- Guo, W.; Feng, B.; Zhong, Z.; Weng, C.; Luo, X. Research progress on the depressants for flotation separation of scheelite and calcium-bearing gangue. Conserv. Util. Miner. Resour. 2017, 8, 113–118. [Google Scholar] [CrossRef]
- Wu, H. Adsorption Behavior and Mechanism of Cellulose Inhibitors in the System of Scheelite Flotation. Master’s Thesis, Jiangxi University of Science and Technology, Ganzhou, China, 2018. [Google Scholar]
- Chen, W.; Feng, Q.; Zhang, G.; Yang, Q.; Zhang, C. The effect of sodium alginate on the flotation separation of scheelite from calcite and fluorite. Miner. Eng. 2017, 113, 1–7. [Google Scholar] [CrossRef]
- Chen, W.; Feng, Q.; Zhang, G.; Yang, Q.; Zhang, C.; Xu, F. The flotation separation of scheelite from calcite and fluorite using dextran sulfate sodium as depressant. Int. J. Miner. Process. 2017, 169, 53–59. [Google Scholar] [CrossRef]
- Chen, W.; Feng, Q.; Zhang, G.; Yang, Q. Investigations on flotation separation of scheelite from calcite by using a novel depressant: Sodium phytate. Miner. Eng. 2018, 126, 116–122. [Google Scholar] [CrossRef]
- Jiao, F.; Dong, L.; Qin, W.; Liu, W.; Hu, C. Flotation separation of scheelite from calcite using pectin as depressant. Miner. Eng. 2019, 136, 120–128. [Google Scholar] [CrossRef]
- Dong, L.; Jiao, F.; Qin, W.; Liu, W. Selective flotation of scheelite from calcite using xanthan gum as depressant. Miner. Eng. 2019, 138, 14–23. [Google Scholar] [CrossRef]
- Feng, B.; Peng, J.; Guo, W.; Luo, G.; Zhang, W.; Wang, H. The depression behavior and mechanism of carboxymethyl chitosan on calcite flotation. J. Mater. Res. Technol. 2019, 8, 1036–1040. [Google Scholar] [CrossRef]
- Ai, G.; Liu, C.; Zhang, W. Utilization of sodium humate as selective depressants for calcite on the flotation of scheelite. Sep. Sci. Technol. 2018, 53, 2136–2143. [Google Scholar] [CrossRef]
- Wang, X.; Jiao, F.; Qin, W.; Yang, C.; Cui, Y.; Wang, Y.; Zhang, Z.; Song, H. Sulfonated brown coal: A novel depressant for the selective flotation of scheelite from calcite. Colloids Surf. A Physicochem. Eng. Asp. 2020, 602, 125006. [Google Scholar] [CrossRef]
- Man, S. Research on the application of tannin in mineral processing. Non-Ferrous Min. Metall. 1991, 12–17. [Google Scholar]
- Qiu, T.; Song, Y.; Qiu, X.; Li, X. Performance of organic depressants in scheelite flotation system. Chin. J. Nonferrous Met. 2017, 27, 1527–1534. [Google Scholar] [CrossRef]
- Liu, Y.; Liu, Q. Flotation separation of carbonate from sulfide minerals, I: Flotation of single minerals and mineral mixtures. Miner. Eng. 2004, 17, 855–863. [Google Scholar] [CrossRef]
- Liu, Y.; Liu, Q. Flotation separation of carbonate from sulfide minerals, II: Mechanisms of flotation depression of sulfide minerals by thioglycollic acid and citric acid. Miner. Eng. 2004, 17, 865–878. [Google Scholar] [CrossRef]
- Hu, Y.; Sun, W.; Jiang, Y.; Xu, J. Inhibition Effect and Mechanism of Citric Acid in Flotation Separation of Scheelite and Fluorite. Met. Ore Dress. Abroad 1998, 27–29. [Google Scholar]
- Dong, L.; Qiao, L.; Zheng, Q.; Shen, P.; Qin, W.; Jiao, F.; Liu, D. Enhanced adsorption of citric acid at the calcite surface by adding copper ions: Flotation separation of scheelite from calcite. Colloids Surf. A Physicochem. Eng. Asp. 2023, 663, 131036. [Google Scholar] [CrossRef]
- Guo, Y.; Wang, Q.; Wei, D.; Ye, C.; Wei, H. Normal temperature flotation of a low grade scheelite ore from yunnan. Conserv. Util. Miner. Resour. 2015, 6, 29–33. [Google Scholar] [CrossRef]
- Ai, G.; Xu, X.; Wu, H.; Qiu, X. Experimental research on beneficiation of a low-grade scheelite in Jiangxi. Nonferrous Met. Eng. 2017, 7, 44–48. [Google Scholar]
- Zhu, W.; Dong, L.; Jiao, F.; Qin, W.; Wei, Q. Use of sodium hexametaphosphate and citric acid Mixture as depressant in the flotation separation of scheelite from calcite. Minerals 2019, 9, 560–576. [Google Scholar] [CrossRef]
- Wei, Z.; Han, H.; Hu, Y.; Zhu, Y.; Sun, W.; Wang, J.; Lin, S.; Cheng, P.; Li, C.; Chen, Y. Flotation of wolframite and scheelite at the room temperature based on Pb-BHA coordination collector. Nonferrous Met. Eng. 2017, 7, 70–75. [Google Scholar]
- Hu, Y.; Han, H.; Tian, M.; Sun, W.; Wang, J.; Wei, Z.; Wang, R. The application of metal -coordinated complexes in the flotation of oxide minerals and fundamental research of the adsorption mechanism. Conserv. Util. Miner. Resour. 2018, 2, 42–53. [Google Scholar] [CrossRef]
- Sun, W.; Han, H.; Hu, Y.; Sun, W.; Zhu, Y.; Gui, X.; Cao, X.; Xing, Y.; Li, C.; Wei, Z. Flotation theory and research progress of metal ion coordination regulation molecule assembly. Chin. J. Nonferrous Met. 2020, 30, 927–941. [Google Scholar]
- Han, H.; Hu, Y.; Sun, W.; Li, X.; Chen, K.; Zhu, Y.; Nguyen, A.V.; Tian, M.; Wang, L.; Yue, T.; et al. Novel catalysis mechanisms of benzohydroxamic acid adsorption by lead ions and changes in the surface of scheelite particles. Miner. Eng. 2018, 119, 11–22. [Google Scholar] [CrossRef]
- Han, H.; Liu, W.; Hu, Y.; Sun, W.; Li, X. A novel flotation scheme: Selective flotation of tungsten minerals from calcium minerals using Pb-BHA complexes in Shizhuyuan. Rare Met. 2017, 36, 533–540. [Google Scholar] [CrossRef]
- Ignatkina, V.A.; Shepeta, E.D.; Samatova, L.A.; Bocharov, V.A. An Increase in Process Characteristics of Flotation of Low-Grade Fine-Disseminated Scheelite Ores. Russ. J. Non-Ferrous Met. 2019, 60, 609–616. [Google Scholar] [CrossRef]
- Foucaud, Y.; Filippova, I.V.; Filippov, L.O. Investigation of the depressants involved in the selective flotation of scheelite from apatite, fluorite, and calcium silicates: Focus on the sodium silicate/sodium carbonate system. Powder Technol. 2019, 352, 501–512. [Google Scholar] [CrossRef]
- Wei, Z.; Hu, Y.; Han, H.; Sun, W.; Wang, R.; Wang, J. Selective flotation of scheelite from calcite using Al-Na2SiO3 polymer as depressant and Pb-BHA complexes as collector. Miner. Eng. 2018, 120, 29–34. [Google Scholar] [CrossRef]
- Deng, R.; Yang, X.; Hu, Y.; Ku, J.; Zuo, W.; Ma, Y. Effect of Fe(II) as assistant depressant on flotation separation of scheelite from calcite. Miner. Eng. 2018, 118, 133–140. [Google Scholar] [CrossRef]
- Yao, W.; Li, M.; Zhang, M.; Cui, R.; Shi, J.; Ning, J. Effect of Zn2+ and its addition sequence on flotation separation of scheelite from calcite using water glass. Colloids Surf. A Physicochem. Eng. Asp. 2020, 588, 124394–124402. [Google Scholar] [CrossRef]
- Yao, W.; Li, M.; Zhang, M.; Cui, R.; Shi, J.; Ning, J. Decoupling the effects of solid and liquid phases in a Pb-water glass mixture on the selective flotation separation of scheelite from calcite. Miner. Eng. 2020, 154, 106423. [Google Scholar] [CrossRef]
- Guan, Z.; Lu, K.; Zhang, Y.; Yang, H.; Li, X. Mechanism of manganese ion interaction with the surface of scheelite and calcite and its effect on flotation separation. Colloids Surf. A Physicochem. Eng. Asp. 2022, 648, 129397. [Google Scholar] [CrossRef]
- Dong, L.; Jiao, F.; Qin, W.; Wei, Q. Utilization of iron ions to improve the depressive efficiency of tartaric acid on the flotation separation of scheelite from calcite. Miner. Eng. 2021, 168, 106925–106933. [Google Scholar] [CrossRef]
- Han, H.; Hu, Y.; Sun, W.; Li, X.; Cao, C.; Liu, R.; Yue, T.; Meng, X.; Guo, Y.; Wang, J.; et al. Fatty acid flotation versus BHA flotation of tungsten minerals and their performance in flotation practice. Int. J. Miner. Process. 2017, 159, 22–29. [Google Scholar] [CrossRef]
- Foucaud, Y.; Filippova, I.; Dehaine, Q.; Hubert, P.; Filippov, L. Integrated approach for the processing of a complex tungsten Skarn ore (Tabuaco, Portugal). Miner. Eng. 2019, 143, 105896. [Google Scholar] [CrossRef]
- Sivamohan, R. Influence of common variables on the shear flocculation of, and oleate adsorption/abstraction by, very fine fluorite and scheelite. In Production and Processing of Fine Particles; Plumpton, A.J., Ed.; Pergamon: Amsterdam, The Netherlands, 1988; pp. 337–351. [Google Scholar]
- Tao, X.; Liu, Y.; Jiang, H.; Chen, R. Microbubble generation with shear flow on large-area membrane for fine particle flotation. Chem. Eng. Process.-Process Intensif. 2019, 145, 107671. [Google Scholar] [CrossRef]
- Cheng, K.; Wu, X.; Tang, H.; Zeng, Y. The flotation of fine hematite by selective flocculation using sodium polyacrylate. Miner. Eng. 2022, 176, 107273. [Google Scholar] [CrossRef]
- Fu, J.; Han, H.; Wei, Z.; Sun, W.; Yue, T. Recovery of ultrafine scheelite particles by magnetic seeding flocculation and its mechanism. Colloids Surf. A Physicochem. Eng. Asp. 2021, 628, 127266. [Google Scholar] [CrossRef]
- Yao, W.; Li, M.; Zhang, M.; Cui, R.; Shi, J.; Ning, J. Effects of Pb2+ ions on the flotation behavior of scheelite, calcite, and fluorite in the presence of water glass. Colloids Surf. A Physicochem. Eng. Asp. 2022, 632, 127826. [Google Scholar] [CrossRef]
- Wang, R.; Wei, Z.; Han, H.; Sun, W.; Hu, Y.; Wang, J.; Wang, L.; Liu, H.; Yang, Y.; Zhang, C.; et al. Fluorite particles as a novel calcite recovery depressant in scheelite flotation using Pb-BHA complexes as collectors. Miner. Eng. 2019, 132, 84–91. [Google Scholar] [CrossRef]



















Disclaimer/Publisher’s Note: The statements, opinions and data contained in all publications are solely those of the individual author(s) and contributor(s) and not of MDPI and/or the editor(s). MDPI and/or the editor(s) disclaim responsibility for any injury to people or property resulting from any ideas, methods, instructions or products referred to in the content. |
© 2023 by the authors. Licensee MDPI, Basel, Switzerland. This article is an open access article distributed under the terms and conditions of the Creative Commons Attribution (CC BY) license (https://creativecommons.org/licenses/by/4.0/).
Share and Cite
Lu, Y.; Ding, R.; Li, G.; Song, X.; Cao, Y.; Jia, K. Research Progress with Scheelite Flotation Reagents: A Review. Minerals 2023, 13, 1257. https://doi.org/10.3390/min13101257
Lu Y, Ding R, Li G, Song X, Cao Y, Jia K. Research Progress with Scheelite Flotation Reagents: A Review. Minerals. 2023; 13(10):1257. https://doi.org/10.3390/min13101257
Chicago/Turabian StyleLu, Yuhang, Renfeng Ding, Guosheng Li, Xiangyu Song, Yijun Cao, and Kai Jia. 2023. "Research Progress with Scheelite Flotation Reagents: A Review" Minerals 13, no. 10: 1257. https://doi.org/10.3390/min13101257
APA StyleLu, Y., Ding, R., Li, G., Song, X., Cao, Y., & Jia, K. (2023). Research Progress with Scheelite Flotation Reagents: A Review. Minerals, 13(10), 1257. https://doi.org/10.3390/min13101257
