Geochronology and Geological Implications of Paleoproterozoic Post-Collisional Monzogranitic Dykes in the Ne Jiao-Liao-Ji Belt, North China Craton
Abstract
1. Introduction
2. Geological Settings
3. Sample Materials and Analytical Methods
3.1. Sample Materials
3.2. Thin Section Petrography
3.3. Major and Trace Elements
3.4. Zircon LA-ICP-MS U-Pb Dating
3.5. Zircon Lu-Hf Ratio Analyses
4. Results
4.1. Petrography
4.2. Major and Trace Elements
4.3. Zircon U-Pb Geochronology
4.4. Zircon Lu-Hf Isotopic Characteristics
5. Discussion
5.1. U-Pb Ages of the Monzogranitic Dykes and the Granitoids Geochronology within the JLJB
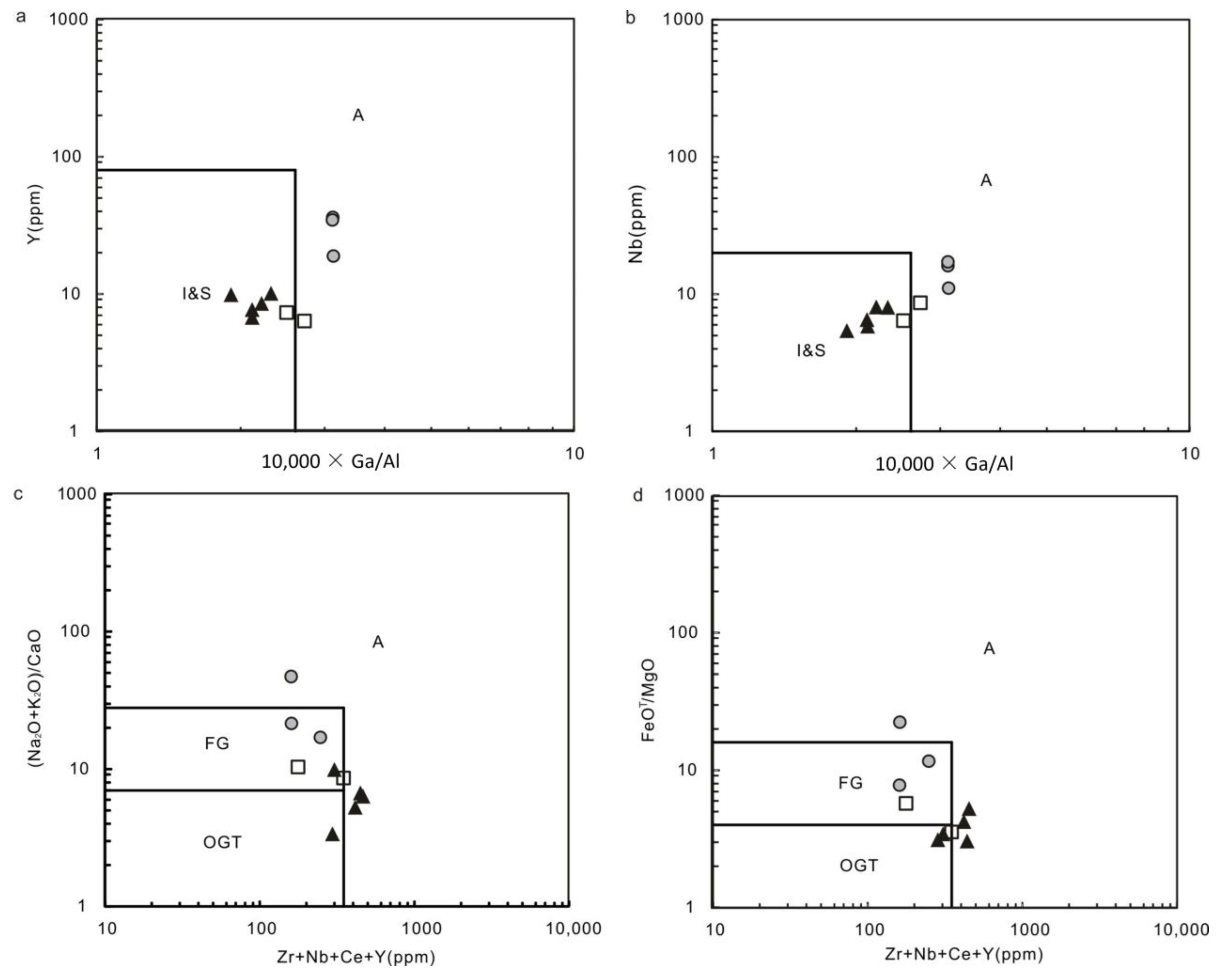
5.2. Genesis of the Monzogranitic Dykes
5.3. Implications to the Evolution Model of the JLJB
6. Conclusions
- (1)
- The monzogranite dykes cut through the foliation of the Liaohe Group meta-sedimentary rocks which deformed at ~1900 Ma. Zircons from the monzogranite dyke have euhedral to subhedral shape and high ratio of Th/U, and yield a consistent zircon U-Pb age of ~1859–1852 Ma.
- (2)
- Two dyke samples have I-type granite and adakitic granite features; the other dyke has a characteristic of A-type granite. Hf isotope data show TDM2 ages of 2640–2430 Ma and reveal that most of the εHf(t) values plot near the 2.5 Ga crustal evolution line. Such geochemistry and Hf isotope studies indicate they may have been generated under a delamination of thickened crust tectonic setting.
- (3)
- The termination collisional time of the JLJB orogen was constrained to be not later than 1860 Ma by these monzogranitic dykes.
Supplementary Materials
Author Contributions
Funding
Data Availability Statement
Conflicts of Interest
References
- Zhao, G.C.; Sun, M.; Wilde, S.A.; Li, S.Z. Late Archean to Paleoproterozoic evolution of the North China Craton: Key issues revisited. Precambrian Res. 2005, 136, 177–202. [Google Scholar] [CrossRef]
- Wilde, S.A.; Zhao, G.C. Archean to Paleoproterozoic evolution of the North China Craton. J. Asian Earth Sci. 2005, 24, 519–522. [Google Scholar] [CrossRef]
- Zhai, M.G.; Santosh, M. Metallogeny of the North China Craton: Link with secular changes in the evolving Earth. Gondwana Res. 2013, 24, 275–297. [Google Scholar] [CrossRef]
- Liu, F.L.; Liu, P.H.; Wang, F.; Liu, C.H.; Cai, J. Progresses and overviews of voluminous meta-sedimentary series within the Paleoproterozoic Jiao-Liao-Ji orogenic/mobile belt, North China Craton. Acta Petrol. Sin. 2015, 31, 2816–2846, (In Chinese with English abstract). [Google Scholar]
- Li, S.Z.; Zhao, G.C.; Sun, M.; Han, Z.Z.; Hao, D.F.; Luo, Y.; Xia, X.P. Deformation history of the Paleoproterzoic Liaohe Group in the Eastern Block of the North China Craton. J. Asian Earth Sci. 2005, 24, 659–674. [Google Scholar] [CrossRef]
- Zhao, G.C.; Cawood, P.A.; Li, S.Z.; Wilde, S.A.; Sun, M.; Zhang, J.; He, Y.H.; Yin, C.Q. Amalgamation of the North China Craton: Key issues and discussion. Precambrian Res. 2012, 222–223, 55–76. [Google Scholar] [CrossRef]
- Zhang, Q.S.; Yang, Z.S.; Liu, L.D. Early Crust and Mineral Deposits of Liaodong Peninsula; Geological Publishing House: Beijing, China, 1988; pp. 218–450, (In Chinese with English abstract). [Google Scholar]
- Sun, M.; Armstrong, R.L.; Lambert, R.S.; Jiang, C.C.; Wu, J.H. Petrochemistry and Sr, Pb and Nd isotopic geochemistry of Paleoproterozoic Kuandian Complex, the eastern Liaoning province, China. Precambrian Res. 1993, 62, 171–190. [Google Scholar]
- Bai, J. The Pre-Cambrian Geology and Pb–Zn Mineralization in the Northern Margin of North China Platform; Geological Publishing House: Beijing, China, 1993; pp. 47–89. (In Chinese) [Google Scholar]
- Li, Z.; Chen, B.; Wei, C.J.; Wang, C.X.; Han, W. Provenance and tectonic setting of the Paleoproterozoic metasedimentary rocks from the Liaohe Group, Jiao–Liao–Ji Belt, North China Craton: Insights from detrital zircon U-Pb geochronology, whole–rock Sm–Nd isotopes, and geochemistry. J. Asian Earth Sci. 2015, 111, 711–732. [Google Scholar] [CrossRef]
- Li, Z.; Chen, B.; Yan, X.L. The Liaohe Group: An insight into the Paleoproterozoic tectonic evolution of the Jiao-Liao-Ji Belt, North China Craton. Precambrian Res. 2019, 326, 174–195. [Google Scholar] [CrossRef]
- Li, Z.; Wei, C.J.; Chen, B.; Fu, B.; Gong, M.Y. Late Neoarchean reworking of the Mesoarchean crustal remnant in northern Liaoning, North China Craton: A U-Pb-Hf-O-Nd perspective. Gondwana Res. 2020, 80, 350–369. [Google Scholar] [CrossRef]
- Zhu, K.; Liu, Z.H.; Xu, Z.Y.; Wang, X.A.; Cui, W.L.; Hao, Y.J. Petrogenesis and tectonic implications of two types of Liaoji granitoid in the Jiao-Liao-Ji Belt, North China Craton. Precambrian Res. 2019, 331, 1–19. [Google Scholar] [CrossRef]
- Li, S.Z.; Zhao, G.C.; Santosh, M.; Liu, X.; Dai, L.; Suo, Y.H.; Tam, P.K.; Song, M.; Wang, P.C. Paleoproterozoic structural evolution of the southern segment of the Jiao–Liao–Ji belt, North China Craton. Precambrian Res. 2012, 200–203, 59–73. [Google Scholar] [CrossRef]
- Zhao, G.C.; Zhai, M.G. Lithotectonic elements of Precambrian basement in the North China Craton: Review and tectonic implications. Gondwana Res. 2013, 23, 1207–1240. [Google Scholar] [CrossRef]
- Meng, E.; Liu, F.L.; Liu, P.H.; Liu, C.H.; Yang, H.; Wang, F.; Shi, J.R.; Cai, J. Petrogenesis and tectonic significance of Paleoproterozoic meta-mafic rocks from central Liaodong Peninsula, northeast China: Evidence from zircon U-Pb dating and in situ Lu-Hf isotopes, and whole-rock geochemistry. Precambrian Res. 2014, 247, 92–109. [Google Scholar] [CrossRef]
- Xu, W.; Liu, F.L.; Tian, Z.H.; Liu, L.S.; Ji, L.; Dong, Y.S. Source and petrogenesis of Paleoproterozoic meta-mafic rocks intruding into the North Liaohe Group: Implications for back-arc extension prior to the formation of the Jiao-Liao-Ji Belt, North China Craton. Precambrian Res. 2018, 207, 66–81. [Google Scholar] [CrossRef]
- Xu, W.; Liu, F.L. Geochronological and geochemical insights into the tectonic evolution of the Paleoproterozoic Jiao-Liao-Ji Belt, Sino-Korean Craton. Earth Sci. Rev. 2019, 193, 162–198. [Google Scholar] [CrossRef]
- Yang, C.W.; Liu, J.L.; Yang, H.X.; Zhang, C.; Feng, J.; Lu, T.J.; Sun, Y.Q.; Zhang, J. Tectonics of the Paleoproterozoic Jiao-Liao-Ji orogenic belt in the Liaodong peninsula, North China Craton: A review. J. Asian Earth Sci. 2019, 176, 141–156. [Google Scholar] [CrossRef]
- Liu, F.L.; Liu, C.H.; Itano, K.; Iizuka, T.; Cai, J.; Wang, F. Geochemistry, U-Pb dating, and Lu-Hf isotopes of zircon and monazite of porphyritic granites within the Jiao-Liao-Ji orogenic belt: Implications for petrogenesis and tectonic setting. Precambrian Res. 2017, 300, 78–106. [Google Scholar] [CrossRef]
- Lu, X.P.; Wu, F.Y.; Guo, J.H.; Yin, C.J. Late Paleoproterozoic granitic magmatism and crustal evolution in the Tonghua region, northeast China. Acta Petrol. Sin. 2005, 21, 721–736, (In Chinese with English abstract). [Google Scholar]
- Yang, J.H.; Wu, F.Y.; Xie, L.W.; Liu, X.M. Petrogenesis and tectonic implications of Kuangdonggou syenites in the Liaodong peninsula, east North China Craton: Constraints from in-situ zircon U-Pb ages and Hf isotopes. Acta Petrol. Sin. 2007, 23, 263–276, (In Chinese with English abstract). [Google Scholar]
- Liu, F.L.; Liu, L.S.; Cai, J.; Liu, P.H.; Wang, F.; Liu, C.H.; Liu, J.H. A widespread Paleoproterozoic partial melting event within the Jiao-Liao-Ji Belt, North China Craton: Zircon U-Pb dating of granitic leucosomes within politic granulites and its tectonic implications. Precambrian Res. 2019, 326, 155–173. [Google Scholar] [CrossRef]
- Lu, X.P.; Wu, F.Y.; Zhang, Y.B.; Zhao, C.B.; Guo, C.L. Emplacement age and tectonic setting of the Paleoproterozoic Liaoji Granites in Tonghua area, southern Jilin Province. Acta Petrol. Sin. 2004, 20, 381–392, (In Chinese with English abstract). [Google Scholar]
- Yang, H.; Wang, H.; Liu, J.H. Zircon U-Pb dating and its geological significance of granitic pegmatites from the Kuandian and Sanjiazi area in eastern Liaodong Province. Acta Petrol. Sin. 2017, 33, 2675–2688, (In Chinese with English abstract). [Google Scholar]
- Li, S.Z.; Zhao, G.C. SHRIMP U-Pb zircon geochronology of the Liaoji granitoids: Constraints on the evolution of the Paleoproterozoic Jiao-Liao-Ji belt in the Eastern Block of the North China Craton. Precambrian Res. 2007, 158, 1–16. [Google Scholar] [CrossRef]
- Wu, F.Y.; Li, Q.L.; Yang, J.H.; Kim, J.N.; Han, R.H. Crustal growth and evolution of the Rangnim Massif, northern Korean Peninsula. Acta Petrol. Sin. 2016, 32, 2933–3294, (In Chinese with English abstract). [Google Scholar]
- Li, Z.; Chen, B.; Wang, J.L. Geochronological framework and geodynamic implications of mafic magmatism in the Liaodong Peninsula and adjacent regions, North China Craton. Acta Geol. Sin. 2016, 90, 138–153, (In Chinese with English abstract). [Google Scholar] [CrossRef]
- Li, Z.; Chen, B.; Wei, C.J. Is the Paleoproterozoic Jiao-Liao-Ji Belt (North China Craton) a rift? Int. J. Earth Sci. 2017, 106, 355–375. [Google Scholar] [CrossRef]
- Li, Z.; Li, J.; Chen, B. Early Precambrian tectonic-thermal events: Coupled U-Pb-Hf of detrital zircons from Jiao-Liao-Ji Belt, North China Craton. Arab. J. Geosci. 2018, 11, 424–440. [Google Scholar] [CrossRef]
- Li, Z.; Meng, E.; Wang, C.Y.; Li, Y.G. Early Precambrian tectono-thermal events in Southern Jilin Province, China: Implications for the evolution of Neoarchean to Paleoproterozoic crust in the northeastern North China Craton. Miner. Petrol. 2019, 113, 185–205. [Google Scholar] [CrossRef]
- Xiao, C.H.; Liu, X.C.; Zhao, Y.; Zhang, Q.; Chen, Z.L.; Liu, J.M.; Wei, C.S.; Yao, X.F.; Wang, W.; Xie, L.Q. Structural controls and Re-Os dating of molybdenite of the Wulong gold deposit, NE China. Earth Sci. 2020, 45, 3982–3997, (In Chinese with English abstract). [Google Scholar]
- Zhao, Y.; Lin, S.F.; Zhang, P.; Yang, X.M.; Gu, Y.C.; Bi, Z.W.; Kou, L.L. Geochronology and Geochemical Characteristics of Paleoproterozoic Syn-orogenic Granitoids and Constraints on the Geological Evolution of the Jiao-Liao-Ji Orogenic Belt, North China Craton. Precambrian Res. 2021, 365, 106386. [Google Scholar] [CrossRef]
- Chen, J.S.; Xing, D.H.; Liu, M.; Li, B.; Yang, H.; Tian, D.X.; Yang, F.; Wang, Y. Zircon U-Pb chronology and geological significance of felsic volcanic rocks in the Liaohe Group from the Liaoyang area, Liaoning Province. Acta Petrol. Sin. 2017, 33, 2792–2810, (In Chinese with English abstract). [Google Scholar]
- Rudnick, R.L.; Gao, S. Composition of the continental crust. In The Crust, Treatise in Geochemistry; Rudnick, R.L., Ed.; Elsevier-Pergamon: Oxford, UK, 2003; Volume 3, pp. 1–64. [Google Scholar]
- Liu, Y.S.; Hu, Z.C.; Gao, S.; Guünther, D.; Xu, J.; Gao, C.G.; Chen, H.H. In situ analysis of major and trace elements of anhydrous minerals by LA-ICP-MS without applying an internal standard. Chem. Geol. 2008, 257, 34–43. [Google Scholar] [CrossRef]
- Ludwig, K.R. Isoplot/Ex, Version 3: A Geochronological Toolkit for Microsoft Excel; Berkeley Geochronology Centre: Berkeley, CA, USA, 2003. [Google Scholar]
- Griffin, W.L.; Pearson, N.J.; Belousova, E.; Jackson, S.E.; Van Achterbergh, E.; O’Reilly, S.Y.; Shee, S.R. The Hf–isotope composition of cratonic mantle: LAM-MC-ICPMS analysis of zircon megacrysts in kimberlites. Geochim. Cosmochim. Acta 2000, 64, 133–147. [Google Scholar] [CrossRef]
- Woodhead, J.D.; Hergt, J.M. A preliminary appraisal of seven natural zircon reference materials for in situ Hf-isotope analysis. Geost Geoanalytical Res. 2005, 29, 183–195. [Google Scholar] [CrossRef]
- Streckeisen, A.L. Classification of the common igneous rocks by means of their chemical composition: A provisional attempt. Neues Jahrb. Fur Mineral. 1976, 1, 1–15. [Google Scholar]
- Maniar, P.D.; Piccoli, P.M. Tectonic discrimination of granitoids. Geol. Soc. Am. Bull. 1989, 101, 635–643. [Google Scholar] [CrossRef]
- Sun, S.S.; McDonough, W.F. Chemical and isotopic systematics of oceanic basalts; implications for mantle composition and processes. Geol. Soc. Lond. Spec. Publ. 1989, 42, 313–345. [Google Scholar] [CrossRef]
- Nowell, G.M.; Kempton, P.D.; Noble, S.R.; Fitton, J.G.; Saunders, A.D.; Mahoney, J.J.; Taylor, R.N. High precision Hf isotope measurements of MORB and OIB by thermal ionisation mass spectrometry: Insights into the depleted mantle. Chem. Geol. 1998, 149, 211–233. [Google Scholar] [CrossRef]
- Hoskin, P.O.; Schaltegger, U. The composition of zircon and igneous and metamorphic petrogenesis. Rev. Miner. Geochem. 2003, 53, 27–62. [Google Scholar] [CrossRef]
- Song, Y.H.; Yang, F.C.; Yan, G.L.; Wei, M.H.; Shi, S.S. SHRIMP U-Pb ages and Hf isotopic compositions of Paleoproterozoic granites from the Eastern part of Liaoning Province and their tectonic significance. Acta Geol. Sin. 2016, 90, 2620–2636, (In Chinese with English abstract). [Google Scholar]
- Ren, Y.W.; Wang, H.C.; Kang, J.L.; Chu, H.; Tian, H. Paleoproterozoic magmatic events in the Hupiyu area in Yingkou, Liaoning Province and their geological significance. Acta Geol. Sin. 2017, 91, 2456–2472, (In Chinese with English abstract). [Google Scholar]
- Zhao, Y.; Zhang, P.; Li, Y.; Li, D.T.; Chen, J.; Bi, Z.W. Geochemistry of two types of Paleoproterozoic granites, and zircon U-Pb dating, and Lu-Hf isotopic characteristics in the Kuandian area within the Jiao-Liao-Ji belt: Implications for regional tectonic setting. Geol. J. 2020, 55, 7564–7580. [Google Scholar] [CrossRef]
- Zhang, P.; Zhao, Y.; Yang, H.Z.; Kou, L.L. Discrimination and its significance of the Sizhanggunzi granite in Kuangdonggou area, eastern Liaoning Province. J. Northeast. Univ. (Nat. Sci.) 2016, 37, 1349–1352, (In Chinese with English abstract). [Google Scholar]
- Yang, M.C.; Chen, B.; Yan, C. Petrological, geochronological, geochemical and Sr-Nd-Hf isotopic constraints on the petrogenesis of the Shuangcha Paleoproterozoic metaporphyritic granite in the southern Jilin Province: Tectonic implications. Acta Petrol. Sin. 2015, 31, 1573–1588, (In Chinese with English abstract). [Google Scholar]
- Wang, X.P.; Peng, P.; Wang, C.; Yang, S.Y. Petrogenesis of the 2115 Ma Haicheng mafic sills from the Eastern North China Craton: Implications for an intra-continental rifting. Gondwana Res. 2016, 39, 347–364. [Google Scholar] [CrossRef]
- Bi, J.H.; Ge, W.C.; Xing, D.H.; Yang, H.; Dong, Y.; Tian, D.X.; Chen, H.J. Paleoproterozoic meta-rhyolite and meta-dacite of the Liaohe Group, Jiao-Liao-Ji Belt, North China Craton: Petrogenesis and implications for tectonic setting. Precambrian Res. 2018, 314, 306–324. [Google Scholar] [CrossRef]
- Zhao, Y.; Kou, L.L.; Zhang, P.; Bi, Z.W.; Li, D.T.; Chen, C. Characteristics of Geochemistry and Hf isotope from meta-gabbro in the Longchang area, eastern of North China Craton: Implications on the evolution of the Jiao-Liao-Ji Paleoproterozoic orogeny belt. Earth Sci. 2019, 44, 3333–3345, (In Chinese with English abstract). [Google Scholar]
- Wang, X.P.; Peng, P.; Wang, C.; Yang, S.Y. Nature of three episodes of Paleoproterozoic magmatism (2180 Ma, 2115 Ma and 1890 Ma) in the Liaoji belt, North China with implications for tectonic evolution. Precambrian Res. 2017, 298, 252–267. [Google Scholar] [CrossRef]
- Drummond, M.S.; Defant, M.J. A model for trondhjemite-tonalitedacite genesis and crustal growth via slab melting: Archean to modern comparisons. J. Geophys. Res. Solid Earth 1990, 95, 21503–21521. [Google Scholar] [CrossRef]
- Whalen, J.B.; Currie, K.L.; Chappell, B.W. A-type granite: Geochemical characteristics, discrimination and petrogenesis. Contrib. Miner. Petrol. 1987, 95, 407–419. [Google Scholar] [CrossRef]
- Pearce, J.; Harris, N.B.W.; Tindle, A.G. Trace element discrimination diagrams for the tectonic interpretation of granitic rocks. J. Petrol. 1984, 25, 956–983. [Google Scholar] [CrossRef]
- Pearce, J. Sources and settings of granitic rocks. Epis. J. Int. Geosci. 1996, 19, 120–125. [Google Scholar] [CrossRef]
- Ma, Y.F.; Liu, Y.J.; Qin, T.; Sun, W.; Zang, Y.Q. Carboniferous granites in the Jalaid Banner area, middle Great Xing’an Range, NE China: Petrogenesis, tectonic background and orogeny accretionary implications. Acta Petrol. Sin. 2018, 34, 2931–2955. [Google Scholar]
- Ma, Y.F.; Liu, Y.J.; Qin, T.; Sun, W.; Zang, Y.Q.; Zhang, Y.J. Late Devonian to early Carboniferous magmatism in the western Songliao–Xilinhot block, NE China: Implications for eastward subduction of the Nenjiang oceanic lithosphere. Geol. J. 2020, 55, 2208–2231. [Google Scholar] [CrossRef]
- Ma, Y.F.; Liu, Y.J.; Wang, Y.; Qin, T.; Chen, H.J.; Sun, W.; Zang, Y.Q. Late Carboniferous mafic to felsic intrusive rocks in the central Great Xing’an Range, NE China: Petrogenesis and tectonic implications. Int. J. Earth Sci. 2020, 109, 761–783. [Google Scholar] [CrossRef]
- Zhai, M.G.; Santosh, M. The early Precambrian odyssey of North China Craton: A synoptic overview. Gondwana Res. 2011, 20, 6–25. [Google Scholar] [CrossRef]
- Liu, P.H.; Liu, F.L.; Yang, H.; Wang, F.; Liu, J.H. Protolith ages and timing of peak and retrograde metamorphism of the high pressure granulites in the Shandong Peninsula, eastern North China Craton. Geosci. Front. 2012, 3, 923–943. [Google Scholar] [CrossRef]
- Peng, P.; Wang, X.P.; Windley, B.F.; Guo, J.H.; Zhai, M.G.; Li, Y. Spatial distribution of 1950–1800 Ma metamorphic events in the North China Craton: Implications for tectonic subdivision of the craton. Lithos 2014, 202, 250–266. [Google Scholar] [CrossRef]
- Wu, M.L.; Lin, S.F.; Wan, Y.S.; Gao, J.F. Crustal evolution of the Eastern Block in the North China Craton: Constraints from zircon U–Pb geochronology and Lu–Hf isotopes of the Northern Liaoning Complex. Precambrian Res. 2016, 275, 35–47. [Google Scholar] [CrossRef]
- Zhou, X.W.; Zhao, G.C.; Wei, C.J.; Geng, Y.S.; Sun, M. Metamorphic evolution and Th-U-Pb zircon and monazite geochronology of high-pressure politic granulites in the Jiaobei massif of the North China Craton. Am. J. Sci. 2008, 308, 328–350. [Google Scholar] [CrossRef]
- Luo, Y.; Sun, M.; Zhao, G.C.; Li, S.Z.; Xu, P.; Ye, K.; Xia, X.P. LA-ICP-MS U-Pb zircon ages of the Liaohe Group in the Eastern Block of the North China Craton: Constraints on the evolution of the Jiao-Liao-Ji Belt. Precambrian Res. 2004, 134, 349–371. [Google Scholar] [CrossRef]
- Liou, J.G.; Tsujimori, T.; Chu, W.; Zhang, R.Y.; Wooden, J.L. Protolith and metamorphic ages of the Haiyangsuo Complex, eastern China: A non-UHP exotic tectonic slab in the Sulu ultrahigh-pressure terrane. Miner. Petrol. 2006, 88, 207–226. [Google Scholar] [CrossRef]
- Tam, P.Y.; Zhao, G.C.; Liu, F.L.; Zhou, X.W.; Sun, M.; Li, S.Z. Timing of metamorphism in the Paleoproterozoic Jiao-Liao-Ji Belt: New SHRIMP U–Pb zircon dating of granulites, gneisses and marbles of the Jiaobei massif in the North China Craton. Gondwana Res. 2011, 19, 150–162. [Google Scholar] [CrossRef]
- Liu, J.H.; Liu, F.L.; Ding, Z.J.; Liu, C.H.; Yang, H.; Liu, P.H.; Wang, F.; Meng, E. The growth, reworking and metamorphism of early Precambrian crust in the Jiaobei terrane, the North China Craton: Constraints from U-Th-Pb and Lu-Hf isotopic systematics, and REE concentrations of zircon from Archean granitoid gneisses. Precambrian Res. 2013, 224, 287–303. [Google Scholar] [CrossRef]
- Wan, Y.S.; Song, B.; Liu, D.Y.; Wilde, S.A.; Wu, J.S.; Shi, Y.R.; Yin, X.Y.; Zhou, H.Y. SHRIMP U-Pb zircon geochronology of Paleoproterozoic metasedimentary rocks in the North China Craton: Evidence for a major Late Paleoproterozoic tectonothermal event. Precambrian Res. 2006, 149, 249–271. [Google Scholar] [CrossRef]
- Meng, E.; Wang, C.Y.; Li, Y.G.; Li, Z.; Yang, H.; Cai, J.; Ji, L.; Ji, M.Q. Zircon U-Pb-Hf isotopic and whole–rock geochemical studies of Paleoproterozoic metasedimentary rocks in the northern segment of the Jiao-Liao-Ji Belt, China: Implications for provenance and regional tectonic evolution. Precambrian Res. 2017, 298, 472–489. [Google Scholar] [CrossRef]
- Lu, X.P.; Wu, F.Y.; Guo, J.H.; Wilde, S.A.; Yang, J.H.; Liu, X.M.; Zhang, X.O. Zircon U-Pb geochronological constraints on the Paleoproterozoic crustal evolution of the Eastern Block in the North China Craton. Precambrian Res. 2006, 146, 138–164. [Google Scholar] [CrossRef]
- Liu, J.; Zhang, J.; Liu, Z.H.; Yin, C.Q.; Zhao, C.; Li, Z.; Yang, Z.J.; Dou, S.Y. Geochemical and geochronological study on the Paleoproterozoic rock assemblage of the Xiuyan region: New constraints on an integrated rift-and collision tectonic process involving the evolution of the Jiao-Liao-Ji Belt, North China Craton. Precambrian Res. 2018, 310, 179–197. [Google Scholar] [CrossRef]
- Liu, J.; Zhang, J.; Liu, Z.H.; Yin, C.Q.; Xu, Z.Y.; Cheng, C.Q.; Zhao, C.; Wang, X. Late Paleoproterozoic crustal thickening of the Jiao-Liao-Ji belt, North China Craton: Insights from ca. 1.95–1.88 Ga syn-collisional adakitic granites. Precambrian Res. 2021, 355, 106120. [Google Scholar] [CrossRef]
- Yu, H.C.; Liu, J.; He, Z.H.; Liu, Z.H.; Cheng, C.Q.; Hao, Y.J.; Zhao, C.; Zhang, H.Q.; Dong, Y.C. Geochronology and Zircon Hf isotope of the Paleoproterozoic Gaixian Formation in the Southeastern Liaodong Peninsula: Implication for the tectonic evolution of the Jiao-Liao-Ji Belt. Minerals 2022, 2022, 792. [Google Scholar] [CrossRef]
- Wang, Q.; Mc Dermott, F.; Xu, J.F.; Bellon, H.; Zhu, Y.T. Cenozoic K-rich adakitic volcanic rocks in the Hohxil area, northern T ibet:Lower-crustal m elting in an intracontinental setting. Geology 2005, 33, 465–468. [Google Scholar] [CrossRef]
- Miller, F.H.; McDowell, S.M.; Mapes, R.W. Hot and cold granites? Implications of zircon saturation temperatures and preservation of inheritance. Geology 2003, 31, 529–532. [Google Scholar] [CrossRef]









| Intrusion Location | Location/GPS | Lithology | Methods | Testing Spots | Age/Ma | Interpretation | Reference |
|---|---|---|---|---|---|---|---|
| Sanjiazi | 40°44′22″ N 123°15′32″ E | Pegmatite | LA ICP-MS | 30 | 1814 ± 20 Ma | Crystallization age | [25] |
| Sanjiazi | 40°51′11″ N 123°19′27″ E | Pegmatite | LA ICP-MS | 26 | 1869 ± 22 Ma | Crystallization age | [25] |
| Sanjiazi | 40°42′06″ N 123°13′30″ E | Pegmatite | LA ICP-MS | 37 | 1873 ± 17 Ma | Crystallization age | [25] |
| Yangmugan | 40°38′16″ N 125°07′20″ E | Pegmatite | LA ICP-MS | 41 | 1842 ± 7 Ma | Crystallization age | [25] |
| Yangmugan | 40°38′01″ N 125°07′43″ E | Pegmatite | LA ICP-MS | 30 | 1866 ± 13 Ma | Crystallization age | [25] |
| Xiaomiao Dyke | 40°53′11″ N 125°08′40″ E | Monzogranite | LA ICP-MS | 15 | 1859 ± 33 Ma | Crystallization age | This paper |
| Hongshi Dyke | 40°22′41″ N, 124°43′40″ E | Monzogranite | LA ICP-MS | 30 | 1852 ± 10 Ma | Crystallization age | This paper |
| Hushan Dyke | 40°41′00″ N, 125°9′01″ E | Monzogranite | LA ICP-MS | 29 | 1856 ± 12 Ma | Crystallization age | This paper |
| Dadingzi | Eastern Qingchegnzi Town, Dandong City | Monzogranite | SIMS | 12 | 1869 ± 16 Ma | Crystallization age | [49] |
| Nantaizi | 40°31′42″ N, 122°48′37″ E | Monzogranite | LA ICP-MS | 31 | 1851 ± 11 Ma | Crystallization age | [50] |
| Housongshu | 40°28′12″ N, 122°56′12″ E | Trondhjemite | LA ICP-MS | 16 | 1892 ± 16 Ma | Crystallization age | [50] |
| Taipingshao | 10 km north of Taipingshao Town Dandong City | Granite | LA ICP-MS | 28 | 1892 ± 38 Ma | Crystallization age | [51] |
| Taipingshao | 12 km north of Taipingshao Town Dandong City | Granite | LA ICP-MS | 27 | 1859 ± 36 Ma | Crystallization age | [51] |
| Kuangdonggou | Kuangdonggou Town Gaizhou City | Syenite | LA ICP-MS | 19 | 1879 ± 17 Ma | Crystallization age | [22] |
| Kuangdonggou | Kuangdonggou Town Gaizhou City | Syenite | LA ICP-MS | 17 | 1874 ± 18 Ma | Crystallization age | [22] |
| Kuangdonggou | 5 km west of Kuangdonggou Town Gaizhou City | Diorite | LA ICP-MS | 12 | 1870 ± 18 Ma | Crystallization age | [22] |
| Sizhanggunzi | Sizhanggunzi village Gaizhou City | Granodiorite | LA ICP-MS | 19 | 1871.2 ± 9.3 Ma | Crystallization age | [52] |
| Qinghe | Qianjin Village Qinghe Town Ji’an City | Quartz diorite | SIMS | 12 | 1877 ± 15 Ma | Crystallization age | [21] |
| Shuangcha | Shuangcha Village Ji’an City | Garnet-bearing porphyritic granite | LA ICP-MS | 30 | 1890 ± 21 Ma | Crystallization age | [53] |
| Wuleishan | Northwest of Sanjiazi Town Anshan City | Porphyritic granite | SIMS | 12 | 1830.5 ± 5.9 Ma | Crystallization age | [49] |
| Shuangcha | Huangweizi Village Ji’an City | porphyritic biotite mozogranite | SIMS | 17 | 1872 ± 9 Ma | Crystallization age | [21] |
| Shuangcha | Zhongxing Village Ji’an City | Rapakivi granite | SIMS | 18 | 1867 ± 13 Ma | Crystallization age | [21] |
| Lujiapuzi | Pulepu Town Fushun City | Rapakivi granite | SIMS | 19 | 1847 ± 40 Ma | Crystallization age | [21] |
| 13th Gou | 13th Gou Baishan City Jilin Province | Garnet-bearing porphyritic granite | LA ICP-MS | 20 11 | 1868 ± 9 Ma 1848 ± 13 Ma | Crystallization age, Metamorphic age | [20] |
| 12th Gou | 12th Gou Baishan City Jilin Province | Garnet-bearing porphyritic granite | LA ICP-MS | 42 9 | 1872 ± 6 Ma 1851 ± 14 Ma | Crystallization age, Metamorphic age | [20] |
| Huadian | Huadian Town Ji’an City Jilin Province | Garnet-bearing porphyritic granite | LA ICP-MS | 26 13 | 1871 ± 7 Ma 1850 ± 12 Ma | Crystallization age, Metamorphic age | [20] |
| Huadian | Huadian Town Ji’an City Jilin Province | Garnet-bearing porphyritic granite | LA ICP-MS | 26 10 | 1866 ± 2 Ma 1850 ± 4 Ma | Crystallization age, Metamorphic age | [20] |
| Huadian | Taishang Town Ji’an City Jilin Province | Garnet-bearing porphyritic granite | LA ICP-MS | 35 11 | 1869 ± 2 Ma 1850 ± 4 Ma | Crystallization age, Metamorphic age | [20] |
| Laoheishan | Laoheishan Village Dandong City Liaoning Province | Garnet-bearing porphyritic granite | LA ICP-MS | 25 11 | 1872 ± 8 Ma 1851 ± 12 Ma | Crystallization age, Metamorphic age | [20] |
| Jiguanshan | Jiguanshan Town Dandong City Liaoning Province | Garnet-bearing porphyritic granite | LA ICP-MS | 31 13 | 1870 ± 7 Ma 1850 ± 11 Ma | Crystallization age, Metamorphic age | [20] |
| Laoheishan | Laoheishan Village Dandong City Liaoning Province | Garnet-bearing porphyritic granite | LA ICP-MS | 27 11 | 1868 ± 3 Ma 1846 ± 5 Ma | Crystallization age, Metamorphic age | [20] |
| Jiguanshan | Jiguanshan Town Dandong City Liaoning Province | Garnet-bearing porphyritic granite | LA ICP-MS | 25 12 | 1870 ± 3 Ma 1842 ± 4 Ma | Crystallization age, Metamorphic age | [20] |
| 12th Gou | 12th Gou Baishan City Jilin Province | Biotite-bearing porphyritic granite | LA ICP-MS | 34 8 | 1868 ± 6 Ma 1849 ± 13 Ma | Crystallization age, Metamorphic age | [20] |
| 11th Gou | 11th Gou Baishan City Jilin Province | Biotite-bearing porphyritic granite | LA ICP-MS | 20 14 | 1872 ± 7 Ma 1849 ± 9 Ma | Crystallization age, Metamorphic age | [20] |
| Qinghe | Qinghe Town Ji’an City Jilin Province | Biotite-bearing porphyritic granite | LA ICP-MS | 24 19 | 1865 ± 7 Ma 1849 ± 9 Ma | Crystallization age, Metamorphic age | [20] |
| Sipingxiang | Sipingxiang Fushun City Liaoning Province | Biotite-bearing porphyritic granite | LA ICP-MS | 28 10 | 1872 ± 7 Ma 1850 ± 13 Ma | Crystallization age, Metamorphic age | [20] |
| Taipingshao | West of Taipingshao Town Dandong City Liaoning Province | Biotite-bearing porphyritic granite | LA ICP-MS | 17 11 | 1867 ± 10 Ma 1842 ± 12 Ma | Crystallization age, Metamorphic age | [20] |
| Yahe | East of Yahe Town Dandong City Liaoning Province | Biotite-bearing porphyritic granite | LA ICP-MS | 33 16 | 1865 ± 6 Ma 1849 ± 8 Ma | Crystallization age, Metamorphic age | [20] |
| Gulouzi | North of Gulouzi Town Dandong City Liaoning Province | Biotite-bearing porphyritic granite | LA ICP-MS | 18 14 | 1864 ± 8 Ma 1844 ± 9 Ma | Crystallization age, Metamorphic age | [20] |
| 11th Gou | 11th Gou Baishan City Jilin Province | Biotite-bearing porphyritic granite | LA ICP-MS | 28 11 | 1864 ± 2 Ma 1846 ± 4 Ma | Crystallization age, Metamorphic age | [20] |
| Qinghe | Qinghe Town Ji’an City Jilin Province | Biotite-bearing porphyritic granite | LA ICP-MS | 40 27 | 1867 ± 2 Ma 1847 ± 3 Ma | Crystallization age, Metamorphic age | [20] |
| Taipingshao | West of Taipingshao Town Dandong City Liaoning Province | Biotite-bearing porphyritic granite | LA ICP-MS | 38 14 | 1869 ± 3 Ma 1849 ± 3 Ma | Crystallization age, Metamorphic age | [20] |
| 11th Gou | 11th Gou Baishan City Jilin Province | Flesh-red porphyritic granite | LA ICP-MS | 30 24 | 1868 ± 8 Ma 1849 ± 8 Ma | Crystallization age, Metamorphic age | [20] |
| Taipingshao | West of Taipingshao Town Dandong City Liaoning Province | Flesh-red porphyritic granite | LA ICP-MS | 39 8 | 1866 ± 6 Ma 1846 ± 13 Ma | Crystallization age, Metamorphic age | [20] |
Disclaimer/Publisher’s Note: The statements, opinions and data contained in all publications are solely those of the individual author(s) and contributor(s) and not of MDPI and/or the editor(s). MDPI and/or the editor(s) disclaim responsibility for any injury to people or property resulting from any ideas, methods, instructions or products referred to in the content. |
© 2023 by the authors. Licensee MDPI, Basel, Switzerland. This article is an open access article distributed under the terms and conditions of the Creative Commons Attribution (CC BY) license (https://creativecommons.org/licenses/by/4.0/).
Share and Cite
Zhao, Y.; Lyu, J.; Han, X.; Lin, S.; Zhang, P.; Yang, X.; Chen, C. Geochronology and Geological Implications of Paleoproterozoic Post-Collisional Monzogranitic Dykes in the Ne Jiao-Liao-Ji Belt, North China Craton. Minerals 2023, 13, 928. https://doi.org/10.3390/min13070928
Zhao Y, Lyu J, Han X, Lin S, Zhang P, Yang X, Chen C. Geochronology and Geological Implications of Paleoproterozoic Post-Collisional Monzogranitic Dykes in the Ne Jiao-Liao-Ji Belt, North China Craton. Minerals. 2023; 13(7):928. https://doi.org/10.3390/min13070928
Chicago/Turabian StyleZhao, Yan, Junchao Lyu, Xu Han, Shoufa Lin, Peng Zhang, Xueming Yang, and Cong Chen. 2023. "Geochronology and Geological Implications of Paleoproterozoic Post-Collisional Monzogranitic Dykes in the Ne Jiao-Liao-Ji Belt, North China Craton" Minerals 13, no. 7: 928. https://doi.org/10.3390/min13070928
APA StyleZhao, Y., Lyu, J., Han, X., Lin, S., Zhang, P., Yang, X., & Chen, C. (2023). Geochronology and Geological Implications of Paleoproterozoic Post-Collisional Monzogranitic Dykes in the Ne Jiao-Liao-Ji Belt, North China Craton. Minerals, 13(7), 928. https://doi.org/10.3390/min13070928

