Next Article in Journal
Revealing Juan de Oviedo y de la Bandera’s Artworks: The Case of the Polychrome of a Stone-Carved Sculpture from the Madre de Dios Convent Façade in Seville
Previous Article in Journal
Microdistribution and Mode of Rare Earth Element Occurrence in the Zhijin Rare Earth Element-Bearing Phosphate Deposit, Guizhou, China
 
 
Font Type:
Arial Georgia Verdana
Font Size:
Aa Aa Aa
Line Spacing:
Column Width:
Background:
Article

The Paleoecological Environment during the Ediacaran–Cambrian Transition in Central Guizhou Province, China: Evidence from Zn Isotopes

1
College of Resources and Environmental Engineering, Guizhou University, Guiyang 550025, China
2
Key Laboratory of Karst Georesources and Environment, Ministry of Education, Guizhou University, Guiyang 550025, China
3
Guizhou Research Center for Palaeontology, Guiyang 550025, China
*
Author to whom correspondence should be addressed.
Minerals 2024, 14(3), 224; https://doi.org/10.3390/min14030224
Submission received: 23 January 2024 / Revised: 19 February 2024 / Accepted: 20 February 2024 / Published: 23 February 2024
(This article belongs to the Section Mineral Deposits)

Abstract

During the Ediacaran–Cambrian transition, a series of stratal continuous and well-preserved siliceous rock and phosphorite assemblages developed in Qingzhen, Guizhou Province, China, facilitating research on the biological evolution, marine chemistry, and palaeoecological environment of this period. Therefore, we investigated the paleontology, trace and rare earth elements, total organic carbon, total sulfur content, and Zn isotopes of the phosphorus-bearing rock series in the Taozichong Formation of the Cambrian period in Qingzhen. Geochemical analysis reveals that the sedimentary rocks in this area were formed in the oxygen-rich seawater environment and were not affected by high-temperature hydrothermal activity. The upwelling ocean current provided abundant rare earth elements and other nutrient elements, as well as conditions for the prosperity of biota in Qingzhen. In addition, the δ66Zn value (−0.21‰–0.41‰ range and 0.17‰ mean) in the Qingzhen phosphorous rock series was much lower than that in seawater, indicating a strong level of biological productivity. The variation trend of δ13C, δ18O, and δ66Zn exhibited four stages and three obvious drift events. The results suggest that climate change during this period led to the intermittent flourishing and extinction of organisms, which triggered the negative drift of δ13C and δ18O in the ocean, resulting in a coordinated response of δ66Zn. The unique ecological environment of the Taozichong Formation in Qingzhen also provides favorable conditions for the population continuation of Ediacaran-type benthic soft-bodied metazoon dominated by discoid fossils, Shaanxilithes, worm fossils, and sponge fossils in the Cambrian strata, as well as participation in the global biological explosion events. The study area provides new insights for rebuilding the global Ediacaran–Cambrian ecosystem during the transition period.

1. Introduction

The “deep time” Earth evolution, paleoenvironmental conditions, coupled changes in the geosphere, and the relationship between biological and environmental evolution are the most important issues in current Earth science research [1,2,3,4,5,6,7]. Many unique rock associations and major geological events simultaneously occurred during the Cambrian period [8,9,10], highlighting the significance of the relationship between sedimentary records and paleogeography, paleoocean, paleoclimate, and paleoecology. Ecological studies of the Cambrian period are closely related to the evolutionary radiation during the Ediacaran–Cambrian transition [1,2], which is characterized by drastic changes in the global sedimentary record, ocean properties, and climate. Such changes in the environment led to favorable conditions for the early evolution of Cambrian life [11,12,13]. With the breakup of the Rodinia supercontinent and the convergence of the Gondwana supercontinent, lithologic transformations with different properties, such as dolomite to silicate and phosphorite, widely occurred during the late Ediacaran and early Cambrian transitions [14,15,16,17,18]. The emergence of Cambrian metazoans with stronger ecosystems also strongly replaced the Ediacaran biota, resulting in the “Cambrian explosion” [19,20,21,22]. Environmental and ecological factors are the main causes of these biological mutations [23,24,25], just as the increase in oxygen content in the atmosphere and seawater has a profound effect on biological evolution [19,22,26]. Redox properties and stratification were common in the Ediacaran ocean, but the Cambrian ocean still retained a stratified structure, with significantly increased oxidation levels [27,28,29]. Therefore, exploring the upper Ediacaran and lower Cambrian sediments, ocean properties, and climate changes is of great significance for the study of Earth’s early evolution.
When an important phosphorus-forming event occurred in the early Cambrian period, a large area of phosphorus-rich sequence was formed on the continental shelf [30]. Extensive phosphorus enrichment in the ocean is believed to have resulted from intense continental weathering [31], surface ocean cyanobacterial proliferation [32], and ocean upwelling [6,7,8], which shed light on the biotic–abiotic and continent–ocean interactions during the critical time period in the dawn of the Cambrian explosion. Major events of phosphorite accumulation are associated with disruptions in the biogeochemical cycle of phosphorous over time, which leads to changes in paleogeography, paleoceanography, and biological evolution [33]. Changes in carbon and oxygen isotope composition are closely related to organic evolution, which can record the chemical composition of the ocean and the extinction and recovery process of organisms in the same period, and are good indicators of the changes in the stratigraphic sedimentary environment [10,34,35]. In addition, with the development of non-traditional stable isotope systems, the Zn isotope (δ66Zn) provides a new geochemical tool for understanding the modern oceanic Zn cycle [36,37,38]. Studies of Zn isotopes, focused on black rock series [39,40], phosphates [6], iron formations [41], and carbonates [42,43], contribute to our understanding of ocean chemistry [6,41,42,43], climate change [44,45], and biological evolution [44]. The changes in δ66Zn in sedimentary records such as carbonate rocks can also be used to potentially trace the changes in the paleomarine environment and the productivity level [6,42,46]. In particular, based on the residence time of Zn in the ocean (~50 k.y.; [47]), the pattern of Zn isotope changes recorded in cap carbonates covering marine and glacial sediments worldwide during the Ediacaran–Cambrian period can reflect global characteristics [42,46].
As an important ore resource in Guizhou Province, China, phosphate rocks mainly occur in the Sinian Doushantuo Formation and the Cambrian Meishucun Formation [6,7,8]. The Ediacaran–Cambrian continuous stratigraphic sequence of Qingzhen in central Guizhou Province is an ideal area for studying the sedimentary evolution, as well as the paleoclimate and paleoenvironmental conditions of the early Cambrian period [10,48,49,50,51,52]. Therefore, we selected the phosphorous rock series of the Cambrian Taozichong Formation in Qingzhen as the research object, studied its biological assemblage and geochemical characteristics, and investigated the sedimentary environment and material sources of the diagenetic process during this period. In addition, we used the Zn isotope method to unveil the paleomarine productivity changes in the phosphorous rock series during the deposition process. The study of Zn content and the composition of δ13C, δ18O, and δ66Zn in phosphorous rocks in the lower Cambrian will help us to better define the relationship between δ66Zn and biological productivity in the early diagenetic process and understand the burial process of δ66Zn. It can also help us better interpret the data regarding the Zn isotope composition in important geological sedimentary records of lower Cambrian carbonate rocks. This study can help to compare the differences in stratigraphic evolution in the periphery of the Yangtze Craton as well as different regions of the world, and it has important scientific significance for understanding the fluctuations of marine redox levels, the recombination of biogeochemical cycles, and the evolution of early ecosystems during the Ediacaran–Cambrian transition.

2. Geological Setting

Geotectonically, the central region of Guizhou is located at the southwestern margin of the Yangtze Craton of the South China Block [53,54] (Figure 1a). The Taozichong Formation in Qingzhen, Guizhou Province of China, is located in the southern margin of the “Central Guizhou Uplift” region in the Yangtze Platform [7,10,52], and a large “ancient anticlinal” structure was developed there [55,56,57]. The tectonic movement in the region is complex, mainly dominated by NE-trending folds, and there are also NW-, NNE-, and NE-trending faults (Figure 1b). After the Dongwu Movement, the “Central Guizhou Uplift” and the upper Yangtze region were completely integrated [55,56,57,58]. The sedimentary facies of the lower Cambrian in South China from east to southwest include continental slope deep-water basin, deep-water slope, and littoral tidal flat–shallow water slope, and the phosphorous rock series in this period are the products of upwelling ocean current and transgression process [59,60] (Figure 2). Previous studies have shown that the paleogeographic position of the study area during the early Cambrian Meishucun period was a submerged platform containing phosphorus carbonate on the side of a shallow sea extending toward the ocean, which was dominated by a subtidal closed marine environment [7,10,51,59,60,61] (Figure 2). The strata in the study area mainly developed from the bottom up into the Dengying Formation of the upper Ediacaran, the Taozichong Formation (Cambrian Terreneuvian Fortunian), and the Niutitang Formation (Cambrian Terreneuvian Stage 2) of the lower Cambrian (Figure 1c and Figure 3a) [10,48,49,50,51,52], which is a set of marine strata dominated by carbonate, phosphorus carbonate and clasolite (Figure 3a) [10,51,52,60,61,62].
At the bottom of the profile of the Dengying Formation in the study area, fine-grained dolomite containing chert and horizontal bedding have been developed (Figure 3b). The phosphorous rock series of the Taozichong Formation is notably thick, reaching nearly 50 m in thickness (Figure 3a), and mainly deposited with brecciated bioclastic phosphorite (Figure 3c), silty slate, siliceous phosphorite, and phosphorous siliceous rock (Figure 3d), as well as horizontal lamination and wart structures (Figure 3e). Such phosphorus rock series typically belong to subtidal lagoon environments with weak hydrodynamic forces present [10]. However, in the Taozichong Formation, the series is interspersed with thin layers of siliceous rock (Figure 3f), indicating that a subtidal confined sedimentary environment was dominant, with occasionally hydrodynamically strong tidal flats with tidal channel deposits [10]. The Niutitang Formation at the top of the profile is mainly a set of dense-block black shale with horizontal bedding (Figure 3g).

3. Material and Methods

3.1. Fossil Disposal

All the specimens examined and photographed in this paper were collected from Taozichong Formation in Qingzhen (Figure 3). Discoid fossils, Sphenothallus, and sponge fossils were found in the black siliceous rocks of the lower middle part of the Taozichong Formation, while Shaanxilithes was also found in phosphorous siliceous rocks of the lower section (Figure 3a). Meanwhile, worm fossils are preserved in a silty slate in the middle and lower parts of the Taozichong Formation (Figure 3a). All the samples discussed herein are housed at the Guizhou Research Center for Palaeontology (GRCP), Guiyang City, Guizhou Province, China.
Larger specimens were taken with a Nikon camera (D7000) (Nikon Corporation, Tokyo, Japan), and smaller specimens were taken with a microscope system (Leica-M250C and Leica-DVM6) (Leica Camera, Wetzlar, Germany). The 3D view images of fossils were taken using the Leica-DVM6 3D microscopy system. The micromorphological observations of fossils were recorded with a scanning electron microscope (SEM) with model HITACHI-SU8010 (Hitachi, Ltd.,Tokyo, Japan). The mineralogical composition of rock and fossil samples was analyzed using an X-ray diffractometer (XRD) with the PANalytical Empyrean model (Malvern Panalytical, Worcestershire, UK), and the major mineral phases were identified using Jade 6.0 software. Microscopic imaging, XRD, and SEM were carried out at Guizhou University, Guiyang City, Guizhou Province, China.

3.2. Trace and REE Analysis

The trace and rare earth elements (REEs) of 28 samples were analyzed using a quadrupole inductively coupled plasma–mass spectrometer (Q-ICP-MS, ELAN DRC-e, PerkinElmer) (PerkinElmer Corporation, Waltham, MA, USA) at the Institute of Geochemistry, Chinese Academy of Sciences (Tables S1 and S2). All samples were ground to a powder of less than 200 mesh before preparation and analysis. The analysis method was as follows: After digestion with HClO4, HF, HNO3, and HCl, the samples were dried and dissolved with dilute HCl, and then Q-ICP-MS analysis was performed. The detection limits of trace and rare earth elements were 0.01 ppm for trace elements and 0.01 to 0.05 ppm for Y and REE. In addition, the values of geochemical parameters of some trace and rare earth elements in the samples were calculated and are listed in Table S3. REY concentrations were normalized to the Post-Archean Australian Shale (PAAS) [63], and normalized concentrations are indicated by the subscript “N”. The calculation equations for REY parameters are as follows: δCe = Ce/Ce* = CeN/(0.5 LaN + 0.5 PrN) [64], δEu = Eu/Eu* = EuN/(SmN × GdN)0.5 [63], Pr/Pr* = PrN/(0.5 CeN + 0.5 NdN) [64], and Y/Y* = 2 YN/(DyN + HoN) [65].

3.3. TOC and TS Analysis

The total organic carbon (TOC) and total sulfur content (TS) of 28 samples were analyzed at the ALS Mineral Lab (Guangzhou) (Table S4). An infrared sensor (C-IR17/06, LEC-CS844) (LECO Corporation, Joseph, MI, USA) was used to analyze the TOC in the samples (~200 mesh). After the samples were digested with dilute hydrochloric acid, the organic carbon was separated and filtered out with a porous crucible, and the organic carbon content was quantitatively detected in the infrared induction furnace. The results were reported in the form of carbon percentage. A carbon and sulfur analyzer (S-IR08, LEC-CS844) ) (LECO Corporation, Joseph, MI, USA) and infrared spectrum were used to determine the TS of the samples (~200 mesh). The sample was placed in an induction furnace and burned at a high temperature of 1350 °C. Sulfur was released in the form of sulfur dioxide and entered the infrared detection system with the carrier gas. The detection limits of TOC and TS were 0.02% to 100% for TOC and 0.01% to 50% for TS.

3.4. Zn Isotope Analysis

The Zn isotope of 22 samples was analyzed at the ALS Scandinavia AB (Luleå, Sweden) (Table S4). Sample (~200 mesh) digests were purified using anion exchange chromatography following the procedures of Marechal et al. [66] and Mason et al. [67], with the calibration of the elution profiles for individual columns, as recommended by Borrok et al. [68]. The load and eluent volume used in the separation procedure varied, but an expected minimum of 5μg of Zn was collected separately from the purification process, and two or even three separation procedures may be required in order to provide sufficient purification and ensure quantitative recoveries (>95%). The purified Zn fractions were analyzed by ICP-SFMS (Element2, Thermo Fisher Scientific) (Thermo Fisher Scientific Inc., Waltham, MA, USA) prior to isotope analyses in order to monitor accurate concentrations, and to ensure the absence of interfering elements. The purified fractions were then evaporated until dry and redissolved in 0.7 M HNO3; then, all samples and standards were diluted to 2000 ppb for Zn isotope analysis.
The isotope analyses were carried out using MC-ICP-MS (NEPTUNE PLUS, Thermo Scientific, Waltham, MA, USA) operated in medium-resolution mode. Delta values for Zn (δ66Zn) were calculated against IRMM-3702 CRM, while standard deviation (SD) was calculated from two independent consequent measurements. Mao et al. [10] described in detail the analytical methods, procedures, detection limits, and results of C and O isotopes of 30 samples. Here, we use these data (Table S4) [10] to discuss the C, O, and Zn isotopes of phosphorus-bearing rock series in the Taozichong Formation in Qingzhen and reveal the significance of biological evolution.

4. Results

4.1. Biological Assemblage Characteristics

In this study, we report the discovery of well-formed discoid fossils in the bottom siliceous rocks of the Cambrian Taozichong Formation in Qingzhen, Guizhou Province, China (Figure 4a–h). Discoid fossils were found in the form of a disc shape characterized by a concentric ring, central bulge, and indentation, showing obvious ladder-like ring changes (Figure 4a–h), which is typical of Ediacaran Aspidella fossils [69,70]. Our observation is the first record of Ediacaran biota element discoid fossils in the South China Cambrian strata. This new discovery expands the distribution of classical Ediacaran fossils in time and space. Following in-depth research on the stems and compounds associated with discoid fossils preserved in some parts of the world, the frequently observed disk-like indented structure is now commonly believed to be the holdfast of an Ediacaran benthic foliate [5,69,70,71,72,73,74,75]. The soft-bodied populations of benthic sessile organisms in Ediacaran represented opportunistic organisms, living in a non-anoxic environment that would take advantage of intermittent oxygen conditions to rapidly reproduce and develop, resulting in the emergence of very dense benthic sessile populations [69,75].
Sphenothallus (of the species type Sphenothallus taijiangensis [76]) and Aspidella from Qingzhen, Guizhou, were simultaneously found in the Taozichong Formation siliceous rocks (Figure 4i–k). The theca of the Sphenothallus are slender and gradually tapered, and individuals are relatively straight with a low rate of apertural expansion (Figure 4i–k). The Sphenothallus fossils found at this time are similar in size and morphology to those reported from the Niutitang Formation in Taijiang [76]. Sphenothallus is a globally distributed fossil in the Paleozoic marine strata and is considered to be a basal predator in the early Cambrian period due to its short conical tube [77]. Sphenothallus is also one of the first animals to produce biomineralized skeletons and survive in an anoxic environment [78].
In addition to the discoid fossils, Shaanxilithes is also a potential late Ediacaran indicator, yet its fossil existence is relatively short [5,79,80]. We also found Shaanxilithes (of the species type Shaanxilithes ningqiangensis [62]) in phosphorous siliceous rocks in the lower part of the Taozichong Formation (Figure 4l,m). In general, the individual strip bodies have an essentially stable weight, are densely spread along the layer, are crisscrossed, have different lengths and bending degrees, and are not directional (Figure 4l,m). Individuals overlap each other, yet there are no obvious interpenetration phenomena (Figure 4l,m). Previous studies on Shaanxilithes have ruled out the possibility that Shaanxilithes is a vestigial fossil or a helminthic animal, and through morphological comparison with the existing deep-sea tubular worms, Shaanxilithes is classified into the phyla Annelida polychaetes, the earliest non-mineralized tube shell organism living in muddy or sandy substrates [80].
The worm fossils found in the silty mudstone at the bottom of the Taozichong Formation in Qingzhen (Figure 4n–q) are longer than the Scoleciellus fossils from the Kaili biota [81], with a length generally ranging from 20 to 30 mm. They are significantly different from Maotianshania and other worm fossils in the Chengjiang biota [82] and very similar to the fossils of Sabellidites worm from the Xilingxia biota in China [83], exhibiting elongated tubular bodies with the internal development of transverse lines and an obvious link structure (Figure 4q). Worm fossils are among the oldest animal fossils, characterized by soft bodies and camp-benthic life [84,85].
Moreover, sponges with siliceous axial filaments were also found in the siliceous rocks at the bottom of the Taozichong Formation (Figure 4r–u), which is considered to be the previous differentiation stage of Vasispongia delicata [86], a vase-like sponge fossil from the Liantian Hetang Formation in Anhui Province in the early Cambrian period of South China. Sponges in Qingzhen do not develop siliceous spicules and only have crisscrossed columnar siliceous filaments (Figure 4v,w), which are in the transitional development stage before the spicules of weakly mineralized organisms in Vasispongia delicata. This provides new evidence that sponges evolved into spicules independently in the Sinian–Cambrian transition period.
Mao et al. [10] reported a small shell group in the bioclastic phosphorite at the bottom of the Taozichong Formation in Qingzhen and believed that this is indicative of the first act of the global Cambrian life explosion. This also indicates that the benthic Ediacaran metazoon living at the bottom of the Taozichong Formation in Qingzhen did not respond to the global mass extinction of late Ediacaran organisms [20,22]; rather, it just indicated the “Cambrian explosion”, an important global event [20,87], and continued its population in the Cambrian strata in South China. The Taozichong Formation’s discoid fossils and Shaanxilithes fossils are the first Ediacaran standard fossils recorded in the South China Cambrian stratum. This discovery extends the distribution of classical Ediacaran fossils in time and space.

4.2. Mineralogical Characteristics

The results of XRD analysis show that the lithology significantly changes in the section of the Taozichong Formation. Bioclastic phosphorite is mainly composed of carbonate fluorapatite and a small amount of quartz (Figure 5a). The bottom siliceous rock consists only of quartz (Figure 5b). Silty slate is mainly composed of quartz, muscovite, and dolomite (Figure 5c). The clay layer in the upper middle section is composed of quartz and illite (Figure 5d). The siliceous dolostone containing phosphorus at the top of the profile is composed of quartz and carbonate fluorapatite (Figure 5e). The discoid fossils in the siliceous rocks at the bottom of the profile have a single mineral composition and only show the characteristic peak of SiO2 (Figure 5f), showing the taphonomy characteristics of the holdfast of benthic soft-bodied organisms [70,75].

4.3. Geochemical Characteristics

4.3.1. Trace and REE Characteristics

Most samples of phosphorous rock series of the Taozichong Formation in Qingzhen have a wide range of trace elements, and high concentrations of Zn (13.4–260 ppm, mean: 92.16 ppm), Ba (55.9–4890 ppm, mean: 964.11 ppm), and Pb (2.56–351.88 ppm, mean: 49.57 ppm) (Table S1), while the content of Mo, Ag, As, and other elements varied in a small range. PAAS [63] normalization analysis was performed on trace elements in the samples (Figure 6). Cu, Rb, Ni, and Th elements showed obvious deficit characteristics, and six elements, namely Co, Mo, Pb, U, Sr, and Zn, were relatively enriched in the samples of the Taozichong Formation in Qingzhen.
The content of total rare earth elements (ΣREELa-Lu) in the section of Taozichong Formation in Qingzhen was 28.18–1078.53 ppm (mean: 244.01 ppm) (Table S2), which is much higher than the average abundance of rare earth elements in the crust (178.00 ppm) [7] and typical of sedimentary strata rich in rare earth elements, and La, Nd and Y also showed relative enrichment (Table S2). In addition, MREEs were enriched relative to the LREEs and HREEs in the Qingzhen samples, and the mean values of (MREE/LREE)N and (MREE/HREE)N were 2.65 and 2.08, respectively (Table S3). Meanwhile, the Eu/Eu* and Ce/Ce* values were 0.9–1.73 (mean: 1.05) and 0.24–0.85 (mean: 0.54), respectively (Table S3). The Pr/Pr* and Y/Y* values were 1.03–1.39 (mean: 1.15) and 0.53–1.98 (mean: 1.18), respectively (Table S3). The La/Nd, Y/Ho, and Er/Nd ratios of the samples were 0.31–1.69 (mean: 0.99), 14.47–52.23 (mean: 32.38), and 0.05–0.36 (mean: 0.11), respectively (Table S3).

4.3.2. TOC and TS Characteristics

The TOC content of phosphorus-bearing rock series in Qingzhen was not high on the whole, but the variation range was large (0.09–1.78 wt.%, mean: 0.36 wt.%, median: 0.26 wt.%) (Table S4). The TOC value of the upper part of the profile was significantly higher than that of the lower part, and the TOC value of siliceous dolostone containing phosphorus sample QT-16 was the highest, reaching 1.78 wt.%. The TS content of the samples was also not high on the whole, and the TS value of most samples was less than 0.1, ranging from 0.01 wt.% to 0.35 wt.% (mean: 0.04 wt.%, median: 0.02 wt.%) (Table S4), among which the TS value of silty slate sample QT-12 was the highest, reaching 0.35 wt.%.

4.3.3. Zn Isotope Characteristics

The δ66Zn values in the phosphorus-bearing rocks of the Taozichong Formation in Qingzhen were low on the whole, ranging from −0.21‰ to 0.41‰ (mean: 0.17‰, median: 0.20 ‰) (Table S4), and the δ66Zn values in the middle part of the study section were moderate. The δ66Zn value of the bioclastic phosphorite sample QT-3 was 0.012‰ (Table S4), showing an obvious negative drift. The δ66Zn value of the siliceous dolostone containing the phosphorus sample QT-16 was −0.031‰ (Table S4), which is much lower than the δ66Zn value of samples QT-14 and QT-15, showing the second obvious negative drift. In particular, the δ66Zn values of samples QT-21, QT-23, QT-24, and QT-25 were all negative, which also showed a tendency of negative drift (Table S4).

5. Discussion

5.1. Sedimentary Environment of Phosphorus-Bearing Rock Series

5.1.1. Redox Conditions

Ce anomalies can effectively determine the redox conditions of the depositional environments of sediments and sedimentary rocks [88,89]. Ce anomalies (Ce/Ce*) in the Taozichong Formation samples (Table S3) ranged from 0.24 to 0.85 (mean of 0.54), indicating negative anomalies. Due to the high concentration of La in seawater [64] or artificial calculation problems [90], the Ce anomalies may have been overestimated, and thus it is necessary to discuss the real Ce anomaly values. Since there were no chemical factors that could cause an Nd or Pr anomaly, the presence of a real Ce anomaly would result in a Pr/Pr* value greater than 1 [64]. Therefore, according to Bau and Dulski [64], Pr/Pr* vs. Ce/Ce* bivariate plots [8,64,91,92] were used to assess the degree to which La effected the Ce anomaly values of the Qingzhen phosphorites (Figure 7a). It was found that, except for one sample, most of the Ce anomalies in the phosphorous rock series of the Taozichong Formation in Qingzhen are located in the IIIb domain, which belongs to the real Ce anomaly range (Figure 7a), reflecting that the phosphorites were formed under oxic conditions.
However, many studies have questioned the use of Ce anomalies in phosphorites as a standard for redox, because the Ce anomalies in francolites may also involve REY fractionation during diagenetic uptake and be related to porewater REY chemistry [93,94,95]. If there is a poor correlation between Ce/Ce* values and Y/Ho ratios in phosphorites, this principle also applies to phosphorites [6,7,94,95]. The binary relationship between Ce/Ce* values and the Y/Ho ratio (R = −0.55, p < 0.05) of most samples of phosphorous rock series from the Taozichong Formation in Qingzhen had a negative correlation (Figure 7b), which also indicates that the Ce anomaly of sedimentary rocks in the study area can be used to define the redox conditions during deposition.
Previous studies have suggested that the characteristics of trace elements in marine sedimentary rocks can effectively reflect the redox environment of the ancient ocean [96,97,98,99,100,101]. V exists in the form of vanadate under oxidation conditions and is often adsorbed to the hydroxide of Fe and Mn or kaolinite [96]. Under oxygen-poor conditions, especially when there is considerable humus, V is reduced to VO(OH ) 3 and insoluble VO(OH)2 [96]. Cr exists mainly in the form of soluble chromate (CrO42−) in oxygen-rich seawater and is reduced to hydrating ions such as Cr(OH)2+, Cr(OH)3, and (Cr, Fe)(OH)3 under hypoxia conditions [96]. Therefore, the V/Cr ratio can be used as a parameter to determine the paleomarine redox environment. V/Cr < 2.00 indicates an oxygen-rich environment, 2.00 < V/Cr < 4.25 indicates a sub-oxygen-rich environment, and V/Cr > 4.25 indicates an anoxic environment [97]. In addition, the ratio of U/Th in sediments can also be used as an indicator to determine the redox state [98,99]. In a normal oxidative environment, it is beneficial for soluble U to migrate in sediments [100]. However, in typical anaerobic environments, the bottom layer of water is partially captured and enriched by U due to the reduction environment related to organic matter degradation in the pore water during diagenesis [100]. Generally, U/Th < 0.75 indicates an oxic environment, 0.75 < U/Th < 1.25 indicates a dyoxic environment, and U/Th > 1.25 indicates a suboxic–anoxic environment [99].
The binary diagrams of V/Cr vs. Mo and U/Th vs. Mo of phosphorus-bearing rock series in the Taozichong Formation show (Figure 8) that most of the samples in the profile are in the ranges of V/Cr < 2.00 and U/Th < 1.25 and generally show the characteristics of oxygen-containing seawater. Combined with the Ce-negative anomaly characteristics of the samples, this also shows the consistency of the redox state of seawater in the study area. The U/Th ratio of some samples indicates inconsistent redox conditions, which may be due to the special properties of carbonate rock that limit the expression of trace elements [99,101], or it may be caused by biochemical effects during deposition [7]. This oxygen-rich environment also provided the necessary environmental dynamic conditions for the reproduction of all kinds of organisms in the study area, which was conducive to the flourishing of biodiversity in the early Cambrian period [7,11,12,13,20,21,22].

5.1.2. Post-Diagenesis Weathering and Reworking

The Y anomaly (Y/Y*) and La/Nd ratios indicate positive anomalies in seawater and are not affected by redox changes [65,102], and are valuable indicators for estimating post-depositional changes associated with variations in the circulating fluid composition [65,91,92]. In modern seawater, Y/Y* and La/Nd ratios range from 1.5 to 2.3 and from 0.8 to 1.3, respectively, and in sediments, these anomalies are reduced by enhanced diagenesis [93]. Second, because weathering results in a strong positive correlation between Y anomaly (Y/Y*) and (La/Sm)N ratios, these two parameters are also important geochemical indicators for studying weathering intensity during the evolution of phosphorus blocks [91,93].
The Y/Y* and La/Nd ratios of phosphorus-bearing rock series in the Taozichong Formation in Qingzhen were 0.53–1.98 and 0.31–1.69, respectively (Table S3). The Y/Y* vs. La/Nd bivariate plot (Figure 9a) [65,91,93] shows that most of the two-parameter values of phosphorus-bearing rock series in the study area are in the lower part of the seawater range, and the rest of the samples are within the range of seawater farms. The Y/Y* vs. (La/Sm)N bivariate plot (Figure 9b) indicates that there is no correlation (R2 = 0.03, p > 0.05) among the samples in the phosphorous rock series of the Taozichong Formation in Qingzhen. Meanwhile, laboratory investigations showed that weathering processes are effective agents in the preferential leaching of MREEs relative to the rest of REEs in phosphatic shales [91]. In Qingzhen’s phosphorus-bearing rock series, the (MREE/LREE)N and (MREE/HREE)N values were both greater than 1, indicating that the MREEs were more enriched than the LREEs and HREEs (Table S3), and the MREE depletion phenomenon that should occur in weathered residual sedimentary rocks was not observed [91]. Therefore, combined with the bivariate plot of Y/Y* vs. La/Nd, the lack of correlation between Y/Y* and (La/Sm)N and the enrichment state of MREEs indicate that weathering did not play an important role in REE distribution patterns in the phosphorous rocks of the Taozichong Formation in Qingzhen.
In addition, with the enrichment of REYs in the process of post-diagenetic transformation, the deviation of the REY distribution model between seawater and phosphorites will increase, so that the REY distribution model of phosphorites will not be affected by oxic seawater [93]. The REY contents and δCe, δEu, and (Dy/Sm)N values of phosphorites are well correlated by post-diagenesis reworking, while δCe and REYs of original phosphorites are not correlated [93]. If there is no correlation between the (La/Sm)N ratio and δCe in apatite, and the (La/Sm)N ratio is greater than 0.35, then the Ce anomaly in apatite can represent the original characteristics of seawater [90]. However, we found a weak correlation trend between δCe and ΣREY (Figure 10a) and δCe and (La/Sm)N (Figure 10b) in the phosphorus-bearing rock series samples from Qingzhen’s Taozichong Formation, but most (La/Sm)N values were greater than 0.35 (Figure 10b). Moreover, there was no correlation between δCe and (Dy/Sm)N (Figure 10c). This indicates that the REYs of the phosphorous rock series of the Taozichong Formation in Qingzhen are the original signature of the sedimentary process, and the entire REY series was only slightly affected by post-diagenetic modification.

5.2. Source of Diagenetic Material

5.2.1. Seafloor Hydrothermal Activity

Compared with other REEs, Eu has two different valence states (Eu2+ and Eu3+) and is prone to produce Eu anomalies in the natural environment [103]. Previous studies have shown that there are no obvious Eu anomalies in normal seawater sediments [7], and the occurrence of positive Eu anomalies is related to organic matter during sedimentation [104]. Second, studies of phosphate deposits around the world have shown that positive Eu anomalies may represent reduced and anoxic sedimentary environments [105,106]. These anomalies may be influenced by the high-temperature reduction hydrothermal solution during the deposition process, which is conducive to the stable existence of Eu2+ and leads to positive Eu anomalies [107]. The δEu values of the Qingzhen samples ranged (Table S3) from 0.9 to 1.73, with an average of 1.05 and a median of 1.02, and no obvious positive Eu anomalies were observed (Figure 11a). This indicates that the phosphorous rock series in Qingzhen was hardly affected by submarine hydrothermal activities during sedimentation.
In addition, the average content of As and Sb in seafloor hydrothermal sediments is high, exceeding 100 ppm and 7 ppm, respectively [108]. In contrast, the average concentrations of As and Sb in normal seawater sediments are low, at 10 ppm and 2–3 ppm, respectively [108]. The concentrations of Ag and As in the seafloor hydrothermal sediments of modern Pacific mid-ridge are high, ranging from 5 to 186 ppm (mean of 37 ppm) and from 45 to 1253 ppm (mean of 252 ppm), respectively [109]. Therefore, the contents of Ag, As, and Sb are often used as indicators to distinguish seafloor hydrothermal sedimentary activity from normal sedimentary activity [92,108]. The Ag and As content of all samples of the Taozichong Formation in Qingzhen were less than 5 ppm and less than 100 ppm, all in normal seawater deposition (Figure 11b,c). Meanwhile, the content of Sb in the samples in the study area was mostly less than 3 ppm, which is attributed to the range of normal seawater deposition, and only a few samples were within 3–7 ppm, indicative of the characteristics of submarine hydrothermal deposition (Figure 11d). According to the content of Ag, As, and Sb, the representative elements of hydrothermal activity, and the characteristics of weak positive Eu anomaly, the phosphorus-bearing rock series from the Taozichong Formation in Qingzhen was hardly affected by a high-temperature hydrothermal fluid during normal deposition, and the submarine hydrothermal activity was not the direct replenishment source of ore-forming materials.

5.2.2. Source of Oxic Seawater

The cross plot of Y versus La is an effective discriminant parameter for analyzing the absorption degree of REEs after the deposition of bioapatite [110]. La is a representative of ∑REE, while Y provides additional information on the source of trace elements, because the Y/La ratio of seawater and upper continental crust is different, resulting in different degrees of absorption of La and Y by biological phosphorus blocks after deposition and diagenesis [110]. However, most biological apatite samples, from the strata of any period, have a composition between the Y/La ratio of seawater and the upper crust [110]. By comparing the Y/La ratios of the phosphorous rock series samples of Qingzhen with the results of previous studies [110], it was found that most of the samples in the study area were taken from areas between a seawater source and the upper continental crust features (Figure 12a).
In the modern ocean, Y is trivalent and has similar geochemical properties as the lanthanide elements, and has similar ionic radii to Ho [102]. However, Ho is removed from seawater at about twice the rate of Y [102]. This process results in Y/Ho ratios of about 60 in seawater and 25–30 in terrigenous siliceous clastic rocks [92,110]. Meanwhile, the REE patterns of francolites may be due to the quantitative uptake of REEs by seawater and pore water in marine sedimentary environments, and the adsorption and substitution processes did not lead to the separation of Y and Ho [8]. The bivariate plots of Y/Ho and REY show that the Y/Ho ratio of most samples of phosphorus-bearing rock series in the Taozichong Formation in Qingzhen is outside the terrigenous range (Figure 12b), indicating that terrigenous material is not an important source of recharge, which is similar to the Y/Ho ratios in other bioapatite samples worldwide [6,7].
In addition, we normalized the REY data of each profile of the phosphorous rock series of the Taozichong Formation in Qingzhen to PAAS [63] and obtained REE distribution patterns (Figure 13a) and REY correlation maps (Figure 13b) for the samples in the study area. The study section of the Taozichong Formation has an obvious pattern of negative Ce anomaly and weak positive Eu anomaly, and the REE partitioning curve presents a hat-shaped pattern, which is also considered to be the rare earth partitioning feature of primary sediments [113]. The budge shape of the MREE pattern has been interpreted to mean that MREEs are preferentially incorporated through substitution mechanisms (bulk crystal control) in hydroxyapatite structures that interact with seawater [114]. This enrichment involves a correlated decrease in the (La/Sm)N ratios [114]. However, the overall trend of the samples in the study area showed an increase in the ratio of (La/Sm)N (Figure 10b). The most likely reason is the flourishing of benthic organisms that exhibit biologically altered REE signals in seawater during their metabolic processes [115,116], resulting in a hat-shaped pattern of REEs in the study area, indicating that life activities preferentially clear Nd and transform it to Ho, and this also causes the enrichment factor peaks at Gd [113]. In addition, the correlation diagram of rare earth elements (Figure 13b) shows that there is a strong correlation between rare earth elements in the samples of phosphorus-bearing rock series in the study area, which generally indicates a relatively single source of sedimentary materials with strong homology [7,8,54].
Research on phosphatic deposits around the world has shown that rare earth element patterns of seawater origin are characterized by the enrichment of HREEs and negative Ce anomalies [7,64]. By comparing the distribution pattern of REEs with typical terrigenous samples [117] and oxic seawater samples [117], it is found that the distribution pattern of REEs in Qingzhen phosphorous rock series samples is similar to that of terrestrial materials samples in Er–Lu section, with HREE depletion (Figure 13a). The most obvious is the strong negative Ce anomaly in the La–Ho section, which has the same characteristics as oxic seawater samples (Figure 13a). Since the phosphorous rock series in Qingzhen has not been affected by post-diagenesis weathering and reworking, the original sedimentary characteristics of seawater have been retained, and the hydrothermal activities and terrigenous materials are not the direct sources of diagenetic materials. According to the distribution characteristics of REEs, the diagenetic material mainly comes from oxic seawater. The oxic seawater in the early Cambrian period not only transported oxygen and nutrients to the epigenetic biotes in the Qingzhen area but also promoted the continuation of the Ediacaran biotes in the Cambrian strata and provided an important material basis for the deposition of phosphorous rock series in the study area.

5.3. Biological Evolutionary Significance of the Ediacaran–Cambrian Transition

5.3.1. Biogeochemistry

The enrichment of V and Ni is closely related to biological activities [7]. The enrichment of V is affected by plankton and algae, while the enrichment of Ni is greatly affected by the activities of nearshore organisms [118]. Therefore, the V/Ni ratio can reflect the depth of the seawater in which the sediments were deposited [7,118]. The V/Ni versus Mo binary correlation diagram of phosphorus-bearing rocks in the Taozichong Formation in Qingzhen shows that the V/Ni ratio of all samples is greater than 0.5 (Figure 14a), and the overall content of V is high in the sedimentary process (Table S1). This is also related to the life activities of the prosperous metazoan biota in the Taozichong Formation in Qingzhen.
In general, the presence of TOC in sediments is an important indicator of productivity levels [119]. However, the TOC in sediments not only depends on productivity levels but also on how well it is preserved in the water column and sediments [119]. Enhanced ocean circulation leads to increased oxygen content in the water column, which in turn oxidizes organic matter and has a negative feedback effect on the accumulation and preservation of organic matter [120]. In a study on the phosphorous rocks deposited in an oxidization–suboxidation environment, Zhang et al. [6] found the TOC to generally be low, and the true productivity level in the deposition process could not be tracked. In addition, TOC preservation is also heavily dependent on sedimentation burial efficiency, and higher sedimentation rates can negatively affect the TOC [121]. Meanwhile, the emergence of highly productive diatomaceous organisms can lead to increasing autodilution and limit the TOC of biologenic opals to less than 8% [121]. The TOC values of the Taozichong Formation samples are generally low, and the TOC versus ΣREY binary correlation graph exhibits an extremely poor correlation (Figure 14b). Due to the higher sedimentation rate and the enhanced autodilution of the TOC caused by the flourishing of metazoon in the study area, the TOC is poorly preserved in the Taozichong Formation in Qingzhen and cannot be truly expressed. The role of biological productivity represented by the TOC in REY and Mo enrichment within the phosphorous rock series of the Taozichong Formation is still a controversial topic.
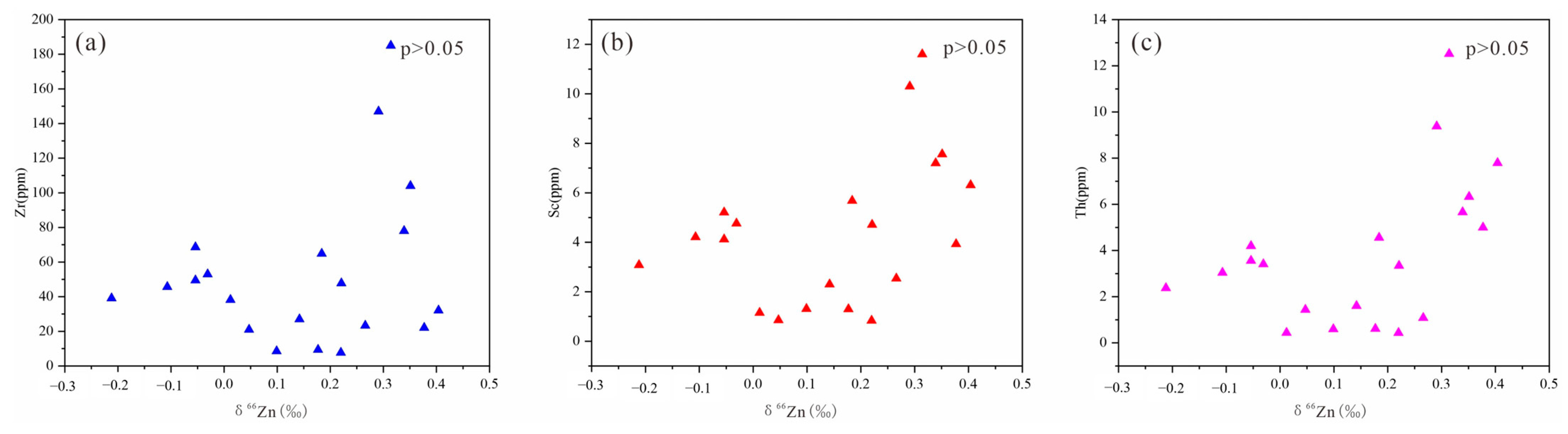
Zn is an essential micronutrient for life, which is of great significance for the metabolism of C and P in organisms [122] and plays an important role in regulating the level of marine productivity, thereby affecting the marine zinc cycle [36,123]. However, oceanic Zn cycling also involves other inorganic processes, mainly including Zn sulfide precipitation and oxide particle removal [124,125]. The TS value (Table S4) of most samples of the phosphorus-bearing rock series in the Taozichong Formation in Qingzhen was less than 0.1 (0.04 wt.% average and 0.02 wt.% median). This does not indicate the development of the sulfide water column, and the Zn sulfide precipitation form is excluded [124,125]. Covariation maps of trace elements such as Zr, Sc, Th, and δ66Zn values were then used to identify the influence of terrigenous detritus [46]. The results (Figure 15) show that there is no obvious correlation between the δ66Zn values and these elements in the study area. The adsorption effect of detrital materials on Zn is negligible [46]. Therefore, Zn combined with organic matter or Fe oxide may be the main form of Zn precipitation in the phosphorous rock series of the Taozichong Formation in Qingzhen [123,124].
In addition, Zn isotopes adsorbed on Fe-Mn oxides are heavier than in the initial solution [126,127], and phosphate is preferentially complexed with heavy Zn isotopes [128,129]. If Zn in the phosphorus-bearing rocks of the Taozichong Formation in Qingzhen is mainly transferred from the water column through Fe-Mn oxides, it is expected that the δ66Zn value will be higher than that of the majority of seawater (~0.50‰) [6,125]. However, the δ66Zn value in the Qingzhen samples was generally low, ranging from −0.21‰ to 0.38‰ (mean: 0.17‰, median: 0.20‰), much lower than the δ66Zn value in seawater (Figure 16) and thus indicating a strong level of biological productivity.
The low δ66Zn values in the phosphorous rock series of the Taozichong Formation in Qingzhen may be related to the organic geochemical cycle of Zn [6]. In general, benthos and plankton preferentially absorb light Zn isotopes. However, certain conditions and species may preferentially absorb heavy Zn isotopes, while isotopic differentiation significantly varies during biological absorption (Δ66Znsolution-phytoplankton = 0.2‰–0.6‰), and the majority are concentrated in a narrow range [130]. The average δ66Zn values (0.17‰) of the Qingzhen samples were similar to those of modern organic-rich shelf sediments (0.0‰–0.2‰) [124], and some δ66Zn values were negative (Figure 16). Considering the positive isotope fractionation of Zn in the apatite absorption process, the Zn isotope composition of the initial deposition flux of the Taozichong Formation profile is likely to be negative, with a very high productivity level [6]. This also indicates that REY enrichment in phosphorus-bearing rock series in the Taozichong Formation in Qingzhen is likely controlled by the productivity level.

5.3.2. Biological Evolutionary Significance of Zn Isotope Indication

The isotopic curves of C, O, and Zn in the phosphorus-bearing rock series in the Taozichong Formation (Figure 17) show that the variation trends of δ66Zn, δ13C, and δ18O can be divided into four stages and three obvious drift events.
Stage a: The first negative drift of δ13C occurred in the siliceous rocks at the bottom of the Taozichong Formation (Figure 17a). At this stage, δ66Zn shows a positive drift, indicating that the marine productivity level was relatively low at this time, which may be related to the biological extinction event of the Sinian system [19,22]. The sharp negative drift of δ13C also reflects the historical extinction process of most Ediacaran biota during the Sinian–Cambrian transition period. Later, the upwelling current brought nutrients such as rich phosphorus, which led to the breeding of small shell organisms at the bottom of the Cambrian period [7]. Organisms preferentially absorbed 12C, increasing the relative content of 13C in seawater [10]. Ca sediments in the water combined and deposited with 13C in seawater to form 13C-rich carbonate sediments. This resulted in the positive drift of δ13C in the phosphate-containing siliceous strata of the Taozichong Formation, which is rich in small shell organisms [10]. At this stage, the negative drift of δ66Zn always responds later than that of δ13C and δ18O (Figure 17a). The first negative drift of δ13C in the Taozichong Formation can also be compared globally with records from Canada [131], Iran [132], and Siberia [133]. This reveals the existence of a significant global δ13C negative drift event during the Ediacaran–Cambrian transition.
Stage b: In the second stage (Figure 17b), Ediacaran-type metazoan biota developed in the siliceous rocks of the Taozichong Formation. Moreover, the profile contents of δ13C, δ18O, and δ66Zn change gently, and the change angles tend to be the same, exhibiting a weak right turning point (Figure 17b). This indicates the stability of the water column environment at this stage, as the δ66Zn value is always in a range characteristic of a high marine productivity level, which is also related to the small-scale Ediacaran-type metazoan biota developed in siliceous rocks (Figure 4).
Stage c: When δ66Zn enters the third stage, it initially presents an obvious right-leaning change, and the negative drift response appears earlier than that of δ13C and δ18O (Figure 17c). Most of the isotope drift events at this stage occurred in bioclastic phosphorite rocks rich in fossils [10]. The negative drift of δ13C was caused by the upwelling of phosphorus-rich and 13C-poor ocean currents during the same period of seawater mixing, which carried nutrients and “depleted” 13C to the shallow platform, and the sedimentary formation of δ13C negative drift phosphorite was observed [10]. We suggest that a brief biological extinction event may have occurred at this stage (Figure 17c), similar to Stage a, resulting in the negative drift of δ13C and δ18O. The decline in ocean productivity leads to a positive drift of δ66Zn.
Stage d: Similar to Stage c (Figure 17c), δ66Zn at the top of the Taozichong Formation first appears to the left deviation, and then the negative drift of δ13C and δ18O corresponds to the positive drift of δ66Zn (Figure 17d). The black shale at the bottom of the Cambrian Niutitang Formation was formed under hypoxic conditions [134,135]. This black carbonaceous shale has a global distribution characteristic and contains almost no living organisms [10,134,135]. The submarine hydrothermal activity was strong during this period, which is the result of the extreme reversal of the marine environment [10]. We suggest that the top of the Taozichong Formation had been affected by these anoxic hydrothermal fluids, and a large number of marine organisms began to die out. This could have resulted in the negative drift of δ13C and δ18O in the ocean, with the changes in marine productivity leading to a corresponding response of δ66Zn.
Drastic climate change is believed to have been an important factor in the extinction and flourishing of organisms in geological history [44,136,137,138]. In particular, climate cooling has a direct effect on the composition of Zn isotopes in seawater [44]. The cooling of the climate strengthens the thermohaline cycle of the ocean and encourages the upwelling of biolimiting nutrients [138]. Primary producers preferentially absorb and remove light δ66Zn, prompting strong biological pumping in the ocean to cause positive shifts in Zn isotopes [45,139,140]. In the early Cambrian period, the cooling of the climate triggered intermittent continental glaciation in the South China Plate, which was dominated by carbonate deposits, resulting in a relative drop in sea level [141,142,143]. This process led to the erosion or exposure of the carbonate platform, and the weathering differential effect increased the proportion of carbonate karst hydrolytic input compared with that of silicate, resulting in the positive drift of δ66Zn value [144,145,146,147]. The multi-stage δ66Zn drift events occurred during the sedimentary process of the Taozichong Formation in Qingzhen, which may be influenced by the transgression and regression events of the South China platform in the early Cambrian period [59,60]. The temperature changes in the water column environment occurred several times, and the cooling of the climate seriously affected the survival of benthic fauna in Qingzhen. Sea level decline reduced the habitat of marine benthos in shelf areas (marginal seas) [144,148], resulting in the intermittent flourishing and extinction of organisms during this period, which is also consistent with the causes of the δ66Zn phase drift event of the Taozichong Formation described above.

6. Conclusions

(1)
Ediacaran-type benthonic soft-bodied metazoon, which is mainly composed of discoid fossils, Shaanxilithes fossils, and worm fossils, was developed in the Cambrian Taozichong Formation in Qingzhen. Fossils of a typical Cambrian organism, Sphenothallus, were also found in siliceous rocks. In addition, the sponges in the Taozichong Formation siliceous rocks only developed an axial filament structure, which was in the differentiation stage of sponges developing into mineral spicules. The complex appearance of the Qingzhen biota also reveals that the biota in the study area did not respond to the global Ediacaran mass extinction event; rather, the population continued in the Cambrian strata in South China. This further provides biological evidence for improving the Ediacaran–Cambrian ecosystem during the transition period.
(2)
The Ce anomaly, V/Cr ratio, and U/Th ratio of phosphorous rock series in the Taozichong Formation in Qingzhen show the characteristics of oxygenated seawater, which provided the necessary environmental dynamic conditions for the reproduction of all organisms in the study area and was conducive to the prosperity of biodiversity in the early Cambrian period.
(3)
The content of Ag, As, and Sb and the weak positive anomaly of Eu indicate that the submarine hydrothermal activity is not the replenishment source of the sediments in the normal deposition process of the phosphorous rock series in the Taozichong Formation in Qingzhen. Furthermore, the partitioning characteristics of REEs also show that the rock-forming materials mainly come from oxic seawater. The oxic seawater in the early Cambrian period not only transported oxygen and nutrients to the metazoan in the Qingzhen area but also promoted the continuation of the Ediacaran organisms in the Cambrian strata and provided an important material basis for the deposition of phosphorous rock series in the study area.
(4)
The δ66Zn composition exhibits a very high productivity level, indicating that REY enrichment in the phosphorous rock series of the Taozichong Formation is probably controlled by the productivity level. This is also consistent with the characteristics of the epigenetic biota enriched in phosphorous rock series in the study area. In addition, the multi-stage δ66Zn drift events in the section of the Taozichong Formation may be related to the short-lived biological extinction caused by climate change and the subsequent biological recovery events.

Supplementary Materials

The following supporting information can be downloaded at: https://www.mdpi.com/article/10.3390/min14030224/s1, Table S1: Concentrations of trace elements (ppm) of the phosphorous rock series in Taozichong Formation, Qingzhen, central Guizhou Province; Table S2: Concentrations of rare earth elements (ppm) of the phosphorous rock series in Taozichong Formation, Qingzhen, central Guizhou Province; Table S3: Calculated values of some geochemical parameters of the phosphorous rock series in Taozichong Formation, Qingzhen, central Guizhou Province; Table S4: Measured data of TOC, TS, δ13C, δ18O, and δ66Zn of the phosphorous rock series in Taozichong Formation, Qingzhen, central Guizhou Province.

Author Contributions

Conceptualization, L.G. and R.Y.; methodology, L.G. and R.Y.; software, J.G. and C.L.; validation, C.L.; investigation, L.G. and L.L.; resources, R.Y. and J.G.; data curation, X.N. and X.L.; writing—original draft preparation, L.G. and R.Y.; writing—review and editing, L.G. and R.Y.; visualization, H.M. and R.P.; supervision, R.Y.; project administration, R.Y.; funding acquisition, R.Y. and J.G. All authors have read and agreed to the published version of the manuscript.

Funding

This work was financially supported by the National Key Research and Development Program of China (2023YFC2906604), the National Natural Science Foundation of China (41890841, 42163006), and the Postgraduate Innovation Fund of Guizhou Province (Guizhou Education Cooperation YJSCXJH [2019]040).

Data Availability Statement

Data are contained within the article and Supplementary Materials.

Conflicts of Interest

The authors declare no conflicts of interest.

References

  1. Bambach, R.K.; Knoll, A.H.; Sepkoski, J.J. Anatomical and Ecological Constraints on Phanerozoic Animal Diversity in Marine Realm. Proc. Natl. Acad. Sci. USA 2007, 99, 6854–6859. [Google Scholar] [CrossRef] [PubMed]
  2. Srivastava, P. Ediacaran Discs from the Jodhpur Sandstone, Marwar Supergroup, India: A Biological Diversification or Taphonomic Interplay? Int. J. Geosci. 2012, 3, 1120–1126. [Google Scholar] [CrossRef]
  3. Ye, Y.T.; Wang, H.J.; Zhai, L.N.; Zhou, W.X.; Wang, X.M.; Zhang, S.C. Geological Events and Their Biological Responses During the Neoproterozoic Era. Acta Sedimentol. Sin. 2017, 35, 203–216, (In Chinese with English Abstract). [Google Scholar]
  4. Zhu, M.Y.; Zhao, F.C.; Yin, Z.J.; Zeng, H.; Li, G.X. The Cambrian explosion: Advances and perspectives from China. Sci. China Earth Sci. 2019, 49, 1455–1490, (In Chinese with English Abstract). [Google Scholar]
  5. Pang, K.; Wu, C.X.; Sun, Y.P.; Ouyang, Q.; Yuan, X.L.; Shen, B.; Lang, X.G.; Wang, R.M.; Chen, Z.; Zhou, C.M. New Ediacara-type fossils and late Ediacaran stratigraphy from the northern Qaidam Basin (China): Paleogeographic implications. Geology 2021, 49, 1160–1164. [Google Scholar] [CrossRef]
  6. Zhang, H.J.; Fan, H.F.; Wen, H.J.; Han, T.; Zhou, T.; Xia, Y. Controls of REY enrichment in the early Cambrian phosphorites. Geochim. Cosmochim. Acta 2022, 324, 117–139. [Google Scholar] [CrossRef]
  7. Gao, L.; Yang, R.D.; Wu, T.; Luo, C.K.; Xu, H.; Ni, X.R. Studies on geochemical characteristics and biomineralization of Cambrian phosphorites, Zhijin, Guizhou Province, China. PLoS ONE 2023, 18, e0281671. [Google Scholar] [CrossRef]
  8. Xing, J.Q.; Jiang, Y.H.; Xian, H.Y.; Yang, W.B.; Yang, Y.P.; Niu, H.C.; He, H.P.; Zhu, J.X. Rare earth element enrichment in sedimentary phosphorites formed during the Precambrian–Cambrian transition, Southwest China. Geosci. Front. 2024, 15, 101766. [Google Scholar] [CrossRef]
  9. Hu, Y. Geochemistry and Paleoenvironment of Black Shales in Mid-Yangtze Region during Cambrian Terreneuvian—Series 2; China University of Geosciences: Beijing, China, 2016; (In Chinese with English Abstract). [Google Scholar]
  10. Mao, T.; Yang, R.D.; Mao, J.R.; Ye, C.; Liu, K.; Gao, J.B. Research on carbon and oxygen isotopes in phosphorus-bearing rock series of the Late Neoproteroic-Early Cambrian Taozichong Formation in Qingzhen City, Guizhou Province, Southwest China. Chin. J. Geochem. 2014, 33, 439–449. [Google Scholar] [CrossRef]
  11. Zhu, M.Y. The Origin of Animals and the Cambrian Explosion: Fossil Evidence from China. Acta Palaeontol. Sina 2010, 49, 269–287, (In Chinese with English Abstract). [Google Scholar]
  12. Debruyne, D.; Hulsbosch, N.; Muchez, P. Unraveling rare earth element signatures in hydrothermal carbonate minerals using a source-sink system. Ore Geol. Rev. 2016, 72, 232–252. [Google Scholar] [CrossRef]
  13. Lan, Z.W.; Sano, Y.J.; Yahagi, T.; Tanaka, k.; Shirai, K.; Papineau, D.; Sawaki, Y.; Ohno, T.; Abe, M.; Yang, H.W.; et al. An integrated chemostratigraphic (δ13C-δ 18O-87Sr/86Sr-δ15N) study of the Doushantuo Formation in western Hubei Province, South China. Precambrian Res. 2019, 320, 232–252. [Google Scholar] [CrossRef]
  14. Ling, H.F.; Chen, X.; Li, D.; Wang, D.; Shields-Zhou, G.A.; Zhu, M.Y. Cerium anomaly variations in Ediacaran-earliest Cambrian carbonates from the Yangtze Gorges area, South China: Implications for oxygenation of coeval shallow seawater. Precambrian Res. 2013, 225, 110–127. [Google Scholar] [CrossRef]
  15. Ma, W.X.; Liu, S.G.; Huang, W.M.; Chen, C.H.; Zhang, C.J. Fabric Characteristics and Formation Mechanism of Chert in Sinian Dengying Formation, Eastern Chongqing. Acta Geol. Sin. 2014, 88, 239–253, (In Chinese with English Abstract). [Google Scholar]
  16. Cawood, P.A.; Strachan, R.A.; Pisarevsky, S.A.; Gladkochub, D.P.; Murphy, B. Linking collisional and accretionary orogens during Rodinia assembly and breakup: Implications for models of supercontinent cycles. Earth Planet. Sci. Lett. 2017, 449, 118–126. [Google Scholar] [CrossRef]
  17. Cawood, P.A.; Zhao, G.C.; Yao, J.L.; Wang, W.; Xu, Y.J.; Wang, Y.J. Reconstructing South China in Phanerozoic and Precambrian Supercontinents. Earth-Sci. Rev. 2018, 186, 173–194. [Google Scholar] [CrossRef]
  18. Zhang, Y.; Qi, F.C.; Chen, W.; Ye, H.S. Factors Influencing the REE Distribution Patterns of Hydrothermal Sedimentary Cherts in the Northwestern Margin of Yangtze Block. Acta Geol. Sin. 2018, 92, 378–394, (In Chinese with English Abstract). [Google Scholar]
  19. Laflamme, M.; Darroch, S.A.F.; Tweedt, S.M.; Peterson, K.J.; Erwin, D.H. The end of the Ediacaran biota: Extinction, biotic replacement, or Cheshire cat? Gondwana Res. 2013, 23, 558–573. [Google Scholar] [CrossRef]
  20. Darroch, S.A.F.; Sperling, E.A.; Boag, T.H.; Racicot, R.A.; Mason, S.J.; Morgan, A.S.; Tweedt, S.; Myrow, P.; Johnston, D.T.; Erwin, D.H.; et al. Biotic replacement and mass extinction of the Ediacaran biota. Proc. R. Soc. B Biol. Sci. 2015, 282, 20151003. [Google Scholar]
  21. Darroch, S.A.F.; Boag, T.H.; Racicot, R.A.; Tweedt, S.; Mason, S.J.; Erwin, D.H.; Laflamme, M. A mixed Ediacaran-metazoan assemblage from the Zaris Sub-basin, Namibia. Palaeogeogr. Palaeoclimatol. Palaeoecol. 2016, 459, 198–208. [Google Scholar] [CrossRef]
  22. Darroch, S.A.F.; Smith, E.F.; Laflamme, M.; Erwin, D.H. Ediacaran Extinction and Cambrian Explosion. Trends Ecol. Evol. 2018, 33, 653–663. [Google Scholar] [CrossRef] [PubMed]
  23. Knoll, A.H.; Carroll, S.B. Early Animal Evolution: Emerging Views from Comparative Biology and Geology. Science 1999, 284, 2129–2137. [Google Scholar] [CrossRef] [PubMed]
  24. Canfield, D.E.; Poulton, S.W.; Narbonne, G.M. Late-Neoproterozoic Deep-Ocean Oxygenation and the Rise of Animal Life. Science 2007, 315, 92–95. [Google Scholar] [CrossRef] [PubMed]
  25. Sahoo, S.K.; Planavsky, N.J.; Kendall, B.; Wang, X.Q.; Shi, X.Y.; Scott, C.; Anbar, A.D.; Lyons, T.W.; Jiang, G.Q. Ocean oxygenation in the wake of the Marinoan glaciation. Nature 2012, 489, 546–549. [Google Scholar] [CrossRef]
  26. Zhu, M.; Zhuravlev, A.Y.; Wood, R.; Zhao, F.; Sukhov, S.S. A deep root for the Cambrian explosion: Implications of new bio-and chemostratigraphy from the Siberian Platform. Geology 2017, 45, 459–462. [Google Scholar] [CrossRef]
  27. Jiang, G.Q.; Kaufman, A.J.; Christie-Blick, N.; Zhang, S.H.; Wu, H.C. Carbon isotope variability across the Ediacaran Yangtze platform in South China: Implications for a large surface-to-deep ocean δ13C gradient. Earth Planet. Sci. Lett. 2007, 261, 303–320. [Google Scholar] [CrossRef]
  28. Li, W.P.; Zheng, Y.F.; Zhao, Y.Y. Geochemical evidence from marine carbonate for enhanced terrigenous input into seawater during the Ediacaran–Cambrian transition in South China. Precambrian Res. 2017, 291, 83–97. [Google Scholar] [CrossRef]
  29. Bao, X.J.; Zhang, S.H.; Jiang, G.Q.; Wu, H.C.; Li, H.Y.; Wang, X.Q.; An, Z.Z.; Yang, T.S. Cyclostratigraphic constraints on the duration of the Datangpo Formation and the onset age of the Nantuo (Marinoan) glaciation in South China. Earth Planet. Sci. Lett. 2018, 483, 52–63. [Google Scholar] [CrossRef]
  30. Cook, P.J.; Shergold, J.H. Phosphate Deposits of the World: Volume 1: Proterozoic and Cambrian Phosphorites; Cambridge University Press: Cambridge, UK, 1986. [Google Scholar]
  31. Shields, G.A. A normalised seawater strontium isotope curve: Possible implications for Neoproterozoic-Cambrian weathering rates and the further oxygenation of the Earth. Earth 2007, 2, 35–42. [Google Scholar] [CrossRef]
  32. Liu, Z.R.; Zhou, M. Meishucun phosphorite succession (SW China) records redox changes of the early Cambrian ocean. GSA Bull. 2017, 129, 1554–1567. [Google Scholar] [CrossRef]
  33. Pufahl, P.K.; Groat, L.A. Sedimentary and igneous phosphate deposits: Formation and exploration: An invited paper. Econ. Geol. 2017, 112, 483–516. [Google Scholar] [CrossRef]
  34. Smith, M.E.; Swart, P.K. The influence of diagenesis on carbon and oxygen isotope values in shallow water carbonates from the Atlantic and Pacific: Implications for the interpretation of the global carbon cycle. Sediment. Geol. 2022, 434, 106147. [Google Scholar] [CrossRef]
  35. Morettini, E.; Santantonio, M.; Bartolini, A.; Cecca, F.; Baumgartner, P.O.; Hunziker, J.C. Carbon isotope stratigraphy and carbonate production during the Early–Middle Jurassic: Examples from the Umbria–Marche–Sabina Apennines (central Italy). Palaeogeogr. Palaeoclimatol. Palaeoecol. 2002, 184, 251–273. [Google Scholar] [CrossRef]
  36. Sieber, M.; Conway, T.M.; de-Souza, G.F.; Hassler, C.S.; Ellwood, M.J.; Vance, D. Cycling of zinc and its isotopes across multiple zones of the Southern Ocean: Insights from the Antarctic Circumnavigation Expedition. Geochim. Cosmochim. Acta 2020, 268, 310–324. [Google Scholar] [CrossRef]
  37. Lemaitre, N.; Souza, G.F.D.; Archer, C.; Wang, R.M.; Planquette, H.; Sarthou, G.; Vance, D. Pervasive sources of isotopically light zinc in the North Atlantic Ocean. Earth Planet. Sci. Lett. 2020, 539, 116216. [Google Scholar] [CrossRef]
  38. Liao, W.H.; Takano, S.; Tian, H.A.; Chen, H.Y.; Sohrin, Y.; Ho, T.Y. Zn elemental and isotopic features in sinking particles of the South China Sea: Implications for its sources and sinks. Geochim. Cosmochim. Acta 2021, 314, 68–84. [Google Scholar] [CrossRef]
  39. Lv, Y.W.; Liu, S.A.; Wu, H.C.; Hohl, S.V.; Chen, S.M.; Li, S.G. Zn-Sr isotope records of the Ediacaran Doushantuo Formation in South China: Diagenesis assessment and implications. Geochim. Cosmochim. Acta 2018, 239, 330–345. [Google Scholar] [CrossRef]
  40. Fan, H.F.; Zhang, H.J.; Xiao, C.Y.; Pašava, J.; Han, T.; Zhou, T.; Wen, H.J. Large Zn isotope variations in the Ni Mo polymetallic sulfide layer in the lower Cambrian, South China. Gondwana Res. 2020, 85, 224–236. [Google Scholar] [CrossRef]
  41. Pons, M.L.; Fujii, T.; Rosing, M.; Quitté, G.; Télouk, P.; Albarède, F. A Zn isotope perspective on the rise of continents. Geobiology 2013, 11, 201–214. [Google Scholar] [CrossRef]
  42. Kunzmann, M.; Halverson, G.P.; Sossi, P.A.; Raub, T.D.; Payne, J.L.; Kirby, J. Zn isotope evidence for immediate resumption of primary productivity after snowball earth. Geology 2013, 41, 27–30. [Google Scholar] [CrossRef]
  43. Sweere, T.C.; Dickson, A.J.; Jenkyns, H.C.; Porcelli, D.; Henderson, G.M. Isotopic evidence for changes in the zinc cycle during Oceanic Anoxic Event 2 (Late Cretaceous). Geology 2018, 46, 463–466. [Google Scholar] [CrossRef]
  44. Wang, X.; Liu, S.A.; Wang, Z.R.; Chen, D.Z.; Zhang, L.Y. Zinc and strontium isotope evidence for climate cooling and constraints on the Frasnian-Famennian (~372 Ma) mass extinction. Palaeogeogr. Palaeoclimatol. Palaeoecol. 2018, 498, 68–82. [Google Scholar] [CrossRef]
  45. Pichat, S.; Douchet, C.; Albarède, F. Zinc isotope variations in deep-sea carbonates from the eastern equatorial Pacific over the last 175 ka. Earth Planet. Sci. Lett. 2003, 210, 167–178. [Google Scholar] [CrossRef]
  46. Yan, B.; Zhu, X.K.; He, X.X.; Tang, S.H. Zn isotopic evolution in early Ediacaran ocean: A global signature. Precambrian Res. 2018, 320, 472–483. [Google Scholar] [CrossRef]
  47. Shiller, A.M.; Boyle, E. Dissolved zinc in rivers. Nature 1985, 317, 49–52. [Google Scholar] [CrossRef]
  48. Wang, Y.G.; Yin, G.Z.; Zheng, S.F.; Qin, S.R.; Zhu, S.C.; Chen, Y.L.; Luo, Q.L.; Zhu, S.G.; Wang, F.X.; Qian, Y. Boundary between the Cambrian and Sinian Systems in Guizhou, Guiyang; Guizhou People’s Publishing House: Guiyang, China, 1984; pp. 1–170, (In Chinese with English Abstract). [Google Scholar]
  49. Xue, Y.S.; Zhou, C.M.; Tang, T.F. New Materials of Late Sinian Animal Fossils from the Yangtze Region. Acta Palaeontol. Sin. 2002, 41, 137–142, (In Chinese with English Abstract). [Google Scholar]
  50. Hua, H.; Chen, Z.; Zhang, L.Y. The Discovery of Shaanxilithes in Guizhou and Its Significance. J. Stratigr. 2004, 3, 649–651, (In Chinese with English Abstract). [Google Scholar]
  51. Mao, T.; Yang, R.D.; Gao, J.B.; Mao, J.R. Study of Sedimentary Feature of Cambrian Phosphorite and Ore-controlling Feature of Old Karst Surface of the Dengying Formation in Zhijin, Guizhou. Acta Geol. Sin. 2015, 89, 2374–2388, (In Chinese with English Abstract). [Google Scholar]
  52. Yang, R.D.; Mao, T.; Chen, J.Y.; Wu, W.M.; Xu, S.L.; Ren, H.L. Sedimentary characteristics of phosphate rocks at the bottom of the Cambrian system in central Guizhou. Acta Miner. Sin. 2017, 37, 448–455, (In Chinese with English Abstract). [Google Scholar]
  53. Gan, T.; Luo, T.; Pang, K.; Zhou, C.; Zhou, G.; Wan, B.; Li, G.; Yi, Q.; Czaja, A.D.; Xiao, S. Cryptic terrestrial fungus-like fossils in the early Ediacaran Period. Nat. Commun. 2021, 12, 641. [Google Scholar] [CrossRef]
  54. Luo, C.K.; Liang, P.; Yang, R.D.; Gao, J.B.; Chen, Q.; Mo, H.C. Mineralogical and Geochemical Constraints on the Occurrence Forms of REEs in Carboniferous Karst Bauxite, Central Guizhou Province, Southwest China: A Case Study of Lindai Bauxite. Minerals 2023, 13, 320. [Google Scholar] [CrossRef]
  55. Niu, X.S.; Feng, C.M.; Liu, J. Discussion on the Formation Time and Mechanism of the Qianzhong Uplift. Mar. Orig. Pet. Geol. 2007, 12, 46–50, (In Chinese with English Abstract). [Google Scholar]
  56. Deng, X.; Yang, K.G.; Liu, Y.L.; Yu, Z.B. The Nature and Tectonic Evolution of the Central Guizhou Uplift. Earth Sci. Front. 2010, 17, 79–89, (In Chinese with English Abstract). [Google Scholar]
  57. Cui, J.D. Sedimentary Response to the Evolution of the Central Guizhou Uplift and Its Surrounding Structures; Central South University: Changsha, China, 2013; (In Chinese with English Abstract). [Google Scholar]
  58. Luo, C.K.; Yang, R.D.; Chen, J.; Gao, L.; Xu, H.; Ni, X.R. Genesis of the Carboniferous karstic bauxites in Qingzhen region, central Guizhou, southwest China. J. Geochem. Explor. J. Assoc. Explor. Geochem. 2022, 235, 106955. [Google Scholar] [CrossRef]
  59. Xing, J.Q.; Jiang, Y.H.; Xian, H.Y.; Zhang, Z.Y.; Yang, Y.P.; Tan, W.; Liang, X.L.; Niu, H.C.; He, H.P. Hydrothermal activity during the formation of REY-rich phosphorites in the early Cambrian Gezhongwu Formation, Zhijin, South China: A micro- and nano-scale mineralogical study. Ore Geol. Rev. 2021, 136, 104224. [Google Scholar] [CrossRef]
  60. Chen, J.Y.; Yang, R.D.; Wei, H.R.; Gao, J.B. Rare earth element geochemistry of Cambrian phosphorites from the Yangtze Region. J. Rare Earths 2013, 31, 101–112. [Google Scholar] [CrossRef]
  61. Zhou, K.L.; Fu, Y.; Ye, Y.M.; Long, K.S.; Zhou, W.X. Characteristics of the Rare Earth Elements’ Accumulation of phosphorus rock series during the Early Cambrian, Guizhou Province. Acta Miner. Sin. 2019, 39, 420–431, (In Chinese with English Abstract). [Google Scholar]
  62. Xing, Y.S.; Ding, Q.X.; Luo, H.Q.; He, T.G.; Wang, G.Y.; Chen, Y.Y.; Zhang, S.S.; Liu, G.Z.; Xiong, X.W.; Chen, P.; et al. The Sinian Cambrian boundary in China. J. Inst. Geol. Chin. Acad. Geol. Sci. 1984, 10, 1–267, (In Chinese with English Abstract). [Google Scholar]
  63. Taylor, S.R.; McLennan, S.M. The Continental Crust: Its Composition and Evolution; Cambridge University Press: Cambridge, UK, 1985; pp. 1–312. [Google Scholar]
  64. Bau, M.; Dulski, P. Distribution of yttrium and rare earth elements in the Penge and Kuruman iron formations, Transvaal supergroup South Africa. Precambrian Res. 1996, 79, 37–55. [Google Scholar] [CrossRef]
  65. Fazio, A.M.; Scasso, R.A.; Castro, L.N.; Carey, S. Geochemistry of rare earth elements in early-diagenetic Miocene phosphatic concretions of Patagonia, Argentina: Phosphogenetic implications. Deep Sea Res. Part II Top. Stud. Oceanogr. 2007, 54, 1414–1432. [Google Scholar] [CrossRef]
  66. Maréchal, C.N.; Télouk, P.; Albarède, F. Precise analysis of copper and zinc isotopic compositions by plasma-source mass spectrometry. Chem. Geol. 1999, 156, 251–273. [Google Scholar] [CrossRef]
  67. Mason, T.F.D.; Weiss, D.J.; Chapman, J.B.; Wilkinson, J.J.; Tessalina, S.G.; Spiro, B.; Horstwood, M.S.A.; Spratt, J.; Coles, B.J. Zn and Cu isotopic variability in the Alexandrinka volcanic-hosted massive sulphide(VHMS) ore deposit, Urals, Russia. Chem. Geol. 2005, 221, 170–187. [Google Scholar] [CrossRef]
  68. Borrok, D.M.; Wanty, R.B.; Ridley, W.I.; Wolf, R.; Lamothe, P.J.; Adams, M. Separation of copper, iron, and zinc from complex aqueous solutions for isotopic measurement. Chem. Geol. 2007, 242, 400–414. [Google Scholar] [CrossRef]
  69. Gehling, J.G.; Narbonne, G.M.; Anderson, M.M. The first named Ediacaran body fossil, Aspidella terranovica. Palaeontology 2000, 43, 427–456. [Google Scholar] [CrossRef]
  70. Tarhan, L.G.; Droser, M.L.; Gehling, J.G.; Dzaugis, M.P. Taphonomy and morphology of the Ediacaran form genus Aspidella. Precambrian Res. 2015, 257, 124–136. [Google Scholar] [CrossRef]
  71. Peterson, K.J.; Waggoner, J.; Hagadorn, J.W. A Fungal Analog for Newfoundland Ediacaran Fossils? Integr. Comp. Biol. 2003, 41, 127–136. [Google Scholar] [CrossRef]
  72. Grazhdankin, D.V.; Balthasar, U.; Nagovitsin, K.E.; Kochnev, B.B. Carbonate-hosted Avalon-type fossils in arctic Siberia. Geology 2008, 36, 803–806. [Google Scholar] [CrossRef]
  73. Tarhan, L.G.; Droser, M.L.; Gehling, J.G. Taphonomic controls on Ediacaran diversity: Uncovering the holdfast origin of morphologically variable enigmatic structures. SEPM Soc. Sediment. Geol. 2020, 25, 823–830. [Google Scholar] [CrossRef]
  74. Moczydlowska, M.; Meng, F.W. The Ediacaran Aspidella-type impressions in the Jinxian successions of Liaoning Province, northeastern China. Lethaia Int. J. Palaeontol. Stratigr. 2016, 49, 617–630. [Google Scholar]
  75. Bykova, N.; Gill, B.C.; Grazhdankin, D.; Rogov, V.; Xiao, S.H. A geochemical study of the Ediacaran discoidal fossil Aspidella preserved in limestones: Implications for its taphonomy and paleoecology. Geobiology 2017, 15, 572–587. [Google Scholar] [CrossRef]
  76. Zhu, M.; Van, I.H.; Cox, R.S.; Zhao, Y.; Erdtmann, B.D. Occurrence of Byronia Matthew and Sphenothallus Hall in the lower Cambrian of China. Paläontologische Z. 2000, 74, 227–238. [Google Scholar] [CrossRef]
  77. Chang, S.; Sébastien, C.; Lei, Z.; Feng, Q.; Michael, S.; Bottjer, D.J.; Zhang, Y.; Shi, M. New probable cnidarian fossils from the lower Cambrian of the Three Gorges area, South China, and their ecological implications. Palaeogeogr. Palaeoclimatol. Palaeoecol. 2018, 505, 150–166. [Google Scholar] [CrossRef]
  78. Fatka, O.; Kraft, P. Sphenothallus Hall, 1847 from Cambrian of Skryje–Týřovice Basin (Barrandian area, Czech Republic). Annales Societatis Geologorum Polonia. 2013, 84, 309–315. [Google Scholar]
  79. Zhou, C.M.; Yuan, X.L.; Xiao, S.H.; Chen, Z.; Hua, H. Ediacaran integrative stratigraphy and timescale of China. Sci. China Earth Sci. 2019, 62, 7–24. [Google Scholar] [CrossRef]
  80. Wang, X.; Zhang, X.L.; Zhang, Y.; Cui, L.H.; Li, L.Y. New materials reveal Shaanxilithes as a Cloudina-like organism of the late Ediacaran. Precambrian Res. 2021, 362, 106277. [Google Scholar] [CrossRef]
  81. Zhao, Y.L.; Huang, Y.Z.; Mao, J.R.; Zhou, Z.; Yuan, J.L.; Zhang, Z.H. Composition and Significance of the Middle Cambrian Kaili Lagerstatte in Taijiang, Guizhou, China: A New Burgess Type Lagerstatte. Guizhou Geol. 1996, 02, 105–114, (In Chinese with English Abstract). [Google Scholar]
  82. Luo, H.L.; Hu, S.X.; Zhang, Z.J.; Deng, Q.J.; Zan, D.Q. The discovery and study of Chengjiang Fauna in Kunming area. Yunnan Geol. 2016, 35, 293–302, (In Chinese with English Abstract). [Google Scholar]
  83. Tang, T.F.; Zhang, J.M.; Jiang, X.J. Discovery and Significance of Late Sinian Strata and Paleontology in Western Hunan and Hubei. J. Stratigr. 1978, 01, 32–47, (In Chinese with English Abstract). [Google Scholar]
  84. Glaessner, M. Discussion about some ‘worm-like fossils’. Precambrian Res. 1987, 36, 353–355. [Google Scholar] [CrossRef]
  85. Smith, M.R.; Harvey, T.H.P.; Butterfield, N.J. The macro-and microfossil record of the Cambrian priapulid Ottoia. Palaeontology 2015, 58, 705–721. [Google Scholar] [CrossRef]
  86. Tang, Q.; Hu, J.; Xie, G.W.; Yuan, X.L.; Wan, B.; Zhou, C.M.; Dong, X.; Cao, G.H.; Lieberman, B.S.; Leys, S.P.; et al. A problematic animal fossil from the early Cambrian Hetang Formation, South China. J. Paleontol. 2019, 93, 1937–2337. [Google Scholar] [CrossRef]
  87. Young, G.M. Environmental upheavals of the Ediacaran period and the Cambrian ‘‘explosion” of animal life. Geosci. Front. 2014, 8, 523–535. [Google Scholar] [CrossRef]
  88. Khan, S.A.; Khan, K.F.; Dar, S.A. REE geochemistry of early Cambrian phosphorites of Masrana and Kimoi blocks, Uttarakhand, India. Arab. J. Geosci. 2016, 9, 456. [Google Scholar] [CrossRef]
  89. Xin, H.; Jiang, S.Y.; Yang, J.H.; Wu, H.P.; Pi, D.H. Rare earth element and Sr–Nd isotope geochemistry of phosphatic rocks in Neoproterozoic Ediacaran Doushantuo Formation in Zhangcunping section from western Hubei Province, South China. Palaeogeogr. Palaeoclimatol. Palaeoecol. 2015, 440, 712–724. [Google Scholar] [CrossRef]
  90. Morad, S.; Felitsyn, S. Identification of primary Ce-Anomaly signatures in fossil biogenic apatite: Implication for the Cambrian oceanic anoxia and phosphogenesis. Sediment. Geol. 2001, 143, 259–264. [Google Scholar] [CrossRef]
  91. Abedini, A.; Calagari, A.A. REEs geochemical characteristics of lower Cambrian phosphatic rocks in the Gorgan-Rasht Zone, northern Iran: Implications for diagenetic effects and depositional conditions. J. Afr. Earth Sci. 2017, 135, 115–124. [Google Scholar] [CrossRef]
  92. Gong, X.X.; Wu, S.W.; Xia, Y.; Zhang, Z.W.; He, S.; Xie, Z.J.; Xiao, J.F.; Yang, H.Y.; Tan, Q.P.; Huang, Y.; et al. Enrichment characteristics and sources of the critical metal yttrium in Zhijin rare earth-containing phosphorites, Guizhou Province, China. Acta Geochim. 2021, 40, 441–465. [Google Scholar] [CrossRef]
  93. Shields, G.; Stille, P. Diagenetic constraints on the use of cerium anomalies as palaeoseawater redox proxies: An isotopic and REE study of Cambrian phosphorites. Chem. Geol. 2001, 175, 29–48. [Google Scholar] [CrossRef]
  94. Herwartz, D.; Tütken, T.; Münker, C.; Jochum, K.P.; Stoll, B.; Sander, P.M. Timescales and mechanisms of REE and Hf uptake in fossil bones. Geochim. Cosmochim. Acta 2011, 75, 82–105. [Google Scholar] [CrossRef]
  95. Liao, J.L.; Sun, X.M.; Li, D.F.; Sa, R.N.; Lu, Y.; Lin, Z.Y.; Xu, L.; Zhan, R.Z.; Pan, Y.G.; Xu, H.F. New insights into nanostructure and geochemistry of bioapatite in REE-rich deep-sea sediments: LA-ICP-MS, TEM, and Z-contrast imaging studies. Chem. Geol. 2019, 512, 58–68. [Google Scholar] [CrossRef]
  96. Piper, D.Z. Seawater as the source of minor elements in black shales, phosphorites and other sedimentary rocks. Chem. Geol. 1994, 114, 95–114. [Google Scholar] [CrossRef]
  97. Jones, B.; Manning, D.A. Comparison of geochemical indices used for the interpretation of palaeoredox conditions in ancient mudstones. Chem. Geol. 1994, 111, 111–129. [Google Scholar] [CrossRef]
  98. Algeo, T.J.; Li, C. Redox classification and calibration of redox thresholds in sedimentary systems. Geochim. Cosmochim. Acta 2020, 287, 8–26. [Google Scholar] [CrossRef]
  99. Algeo, T.J.; Liu, J. A re-assessment of elemental proxies for paleoredox analysis. Chem. Geol. 2020, 540, 119549. [Google Scholar] [CrossRef]
  100. Wignall, P.; Twitchett, R. Oceanic anoxia and the end Permian mass extinction. Science 1996, 272, 1155–1158. [Google Scholar] [CrossRef]
  101. Yano, M.; Yasukawa, K.; Nakamura, K.; Ikehara, M.; Kato, Y. Geochemical Features of Redox-Sensitive Trace Metals in Sediments under Oxygen-Depleted Marine Environments. Minerals 2020, 10, 1021. [Google Scholar] [CrossRef]
  102. Bau, M. Controls on fractionation of isovalent trace elements in magmatic and aqueous systems: Evidence from Y/Ho, Zr/Hf and lanthanide tetrad effect. Contrib. Mineral. Petrol. 1996, 123, 323–333. [Google Scholar] [CrossRef]
  103. De Baar, H.J.W.; Bacon, M.P.; Brewer, P.G. Rare earth elements in Pacific and Atlantic oceans. Geochim. Cosmochim. Acta 1985, 49, 1943–1959. [Google Scholar] [CrossRef]
  104. Kidder, D.; Krishnaswamy, R.; Mapes, R.H. Elemental mobility in phosphatic shales during concretion growth and implication for provenance analysis. Chem. Geol. 2003, 198, 335–353. [Google Scholar] [CrossRef]
  105. Jiang, S.Y.; Zhao, H.X.; Chen, Y.Q.; Yang, T.; Yang, J.H.; Ling, H.F. Trace and rare earth element geochemistry of phosphate nodules from the Lower Cambrian black shale sequence in the Mufu mountain of Nanjing, Jiangsu Province, China. Chem. Geol. 2007, 244, 584–604. [Google Scholar] [CrossRef]
  106. Xin, H.; Jiang, S.Y.; Yang, J.H.; Wu, H.P.; Pi, D.H. Rare earth element geochemistry of phosphatic rocks in Neoproterozoic Ediacaran Doushantuo Formation in hushan section from the Yangtze Gorges area, South China. J. Earth Sci. 2006, 27, 204–210. [Google Scholar] [CrossRef]
  107. Sverjensky, D.A. Europium redox equilibria in aqueous solution. Earth Planet. Sci. Lett. 1984, 67, 70–78. [Google Scholar] [CrossRef]
  108. Marchig, V.; Gundlach, H.; Moller, P.; Schley, F. Some geochemical indicators for discrimination between diagenetic and hydrothermal metalliferous sediments. Mar. Geol. 1982, 50, 241–256. [Google Scholar] [CrossRef]
  109. Hekinian, R.; Fouquet, Y. Volcanism and metallogenesis of axial and off-axial structures on the East Pacific Rise near 13° N. Econ. Geol. 1985, 80, 221–249. [Google Scholar] [CrossRef]
  110. Zhao, L.S.; Chen, Z.Q.; Algeo, T.J.; Chen, J.B.; Chen, Y.L.; Tong, J.N.; Gao, S.; Zhou, L.; Hu, Z.C.; Liu, Y.S. Rare earth element patterns in Conodont Albid Crowns: Evidence for massive inputs of volcanic ash during the latest Permian Biocrisis? Glob. Planet. Change 2013, 105, 135–151. [Google Scholar] [CrossRef]
  111. Nozaki, Y. Rare earth elements and their isotopes. In Encyclopedia of Ocean Sciences, 4; Steele, J.H., Thorpe, S.A., Turekian, K.K., Eds.; Academic Press: Cambridge, MA, USA, 2001; pp. 1–107. [Google Scholar]
  112. McLennan, S.M. Relationships between the trace element composition of sedimentary rocks and upper continental crust. Geochem. Geophys. Geosystems 2001, 2, 200GC000109. [Google Scholar] [CrossRef]
  113. Graul, S.; Kallaste, T.; Pajusaar, S.; Urston, K.; Gregor, A.; Moilanen, M.; Ndiaye, M.; Hints, R. REE + Y distribution in Tremadocian shelly phosphorites (Toolse, Estonia): Multi-stages enrichment in shallow marine sediments during early diagenesis. J. Geochem. Explor. 2023, 254, 107311. [Google Scholar] [CrossRef]
  114. Reynard, B.; L´ecuyer, C.; Grandjean, P. Crystal-chemical controls on rare-earth element concentrations in fossil biogenic apatites and implications for paleoenvironmental reconstructions. Chem. Geol. 1999, 155, 233–241. [Google Scholar] [CrossRef]
  115. Zaky, A.H.; Brand, A.; Azmy, K.; Logan, A.; Hooper, R.G.; Svavarsson, J. Rare earth elements of shallow-water articulated brachiopods: A bathymetric sensor. Palaeogeogr. Palaeoclimatol. Palaeoecol. 2016, 461, 178–194. [Google Scholar] [CrossRef]
  116. Tostevin, R. Cerium Anomalies and Paleoredox; Cambridge University Press: Cape Town, South Africa, 2021; pp. 10–30. [Google Scholar]
  117. McArthur, J.M.; Walsh, J.N. Rare-earth geochemistry of phosphorites. Chem. Geol. 1984, 47, 191–220. [Google Scholar] [CrossRef]
  118. Wu, X.B.; Dai, T.G. Geochemical characteristics of trace elements in Sinian strata in southwest Hunan and their geological implications. Geol. Geochem. 2001, 29, 40–45, (In Chinese with English Abstract). [Google Scholar]
  119. Schoepfer, S.D.; Shen, J.; Wei, H.; Tyson, R.V.; Ingall, E.; Algeo, T.J. Total organic carbon, organic phosphorus, and biogenic barium fluxes as proxies for paleomarine productivity. Earth Sci. Rev. 2015, 149, 23–52. [Google Scholar] [CrossRef]
  120. Mansour, A.; Wagreich, M. Earth system changes during the cooling greenhouse phase of the Late Cretaceous: Coniacian-Santonian OAE3 subevents and fundamental variations in organic carbon deposition. Earth-Sci. Rev. 2022, 229, 104022. [Google Scholar] [CrossRef]
  121. Tyson, R.V. Sedimentation rate, dilution, preservation and total organic carbon: Some results of a modelling study. Org. Geochem. 2001, 32, 333–339. [Google Scholar] [CrossRef]
  122. Sinoir, M.; Butler, E.C.V.; Bowie, A.R.; Mongin, M.; Nesterenko, P.N.; Hassler, C.S. Zinc marine biogeochemistry in seawater: A review. Mar. Freshw. Res. 2012, 63, 644–657. [Google Scholar] [CrossRef]
  123. Weber, T.; John, S.; Tagliabue, A.; DeVries, T. Biological uptake and reversible scavenging of zinc in the global ocean. Science 2018, 361, 73–76. [Google Scholar] [CrossRef]
  124. Little, S.H.; Vance, D.; Walker-Brown, C.; Landing, W.M. The oceanic mass balance of copper and zinc isotopes, investigated by analysis of their inputs, and outputs to ferromanganese oxide sediments. Geochim. Cosmochim. Acta 2014, 125, 673–693. [Google Scholar] [CrossRef]
  125. Vance, D.; Little, S.H.; Archer, C.; Cameron, V.; Andersen, M.B.; Rijkenberg, M.J.A.; Lyons, T.W. The oceanic budgets of nickel and zinc isotopes: The importance of sulfidic environments as illustrated by the Black Sea. Philos. Philos. Trans. R. Soc. 2016, 374, 20150294. [Google Scholar] [CrossRef]
  126. Pokrovsky, O.S.; Viers, J.; Freydier, R. Zinc stable isotope fractionation during its adsorption on oxides and hydroxides. J. Colloid Interface Sci. 2005, 291, 192–200. [Google Scholar] [CrossRef]
  127. Bryan, A.L.; Dong, S.; Wilkes, E.B.; Wasylenki, L.E. Zinc isotope fractionation during adsorption onto Mn oxyhydroxide at low and high ionic strength. Geochim. Cosmochim. Acta 2015, 157, 182–197. [Google Scholar] [CrossRef]
  128. Fujii, T.; Albarède, F. Ab initio calculation of the Zn isotope effect in phosphates, citrates, and malates and applications to plants and soil. PLoS ONE 2012, 7, e30726. [Google Scholar] [CrossRef]
  129. Veeramani, H.; Eagling, J.; Jamieson-Hanes, J.H.; Kong, L.; Ptacek, C.J.; Blowes, D.W. Zinc Isotope Fractionation as an Indicator of Geochemical Attenuation Processes. Environ. Sci. Technol. Lett. 2015, 2, 314–319. [Google Scholar] [CrossRef]
  130. Kobberich, M.; Vance, D. Zn isotope fractionation during uptake into marine phytoplankton: Implications for oceanic zinc isotopes. Chem. Geol. 2019, 523, 154–161. [Google Scholar] [CrossRef]
  131. Narbonne, G.M.; Kaufman, A.J.; Knoll, A.H. Integrated chemostratigraphy and biostratigraphy of the Windermere Supergroup, Northwestern Canada: Implications for Neoproterozoic correlations and the early evolution of animals. Geol. Soc. Am. Bull. 1994, 106, 1281–1291. [Google Scholar] [CrossRef]
  132. Brasier, M.D.; Corfield, R.M.; Derry, L.A.; Rozanov, A.Y.; Zhuraviev, A.Y. Multiple δ13C excursions spanning the Cambrian exploration to the Botomian crisis in Siberia. Geology 1994, 22, 455–458. [Google Scholar] [CrossRef]
  133. Magaritz, M.M.; Holser, W.T.; Kirschvink, J.L. Carbon-isotope events across the Precambrian boundary on the Siberian Platform. Nature 1986, 320, 258–259. [Google Scholar] [CrossRef]
  134. Pi, D.H.; Liu, C.Q.; Shields-Zhou, G.A.; Jiang, S.Y. Trace and rare earth element geochemistry of black shale and kerogen in the early Cambrian Niutitang Formation in Guizhou province, South China: Constraints for redox environments and origin of metal enrichments. Precambrian Res. 2013, 225, 218–229. [Google Scholar] [CrossRef]
  135. Cheng, M.; Li, C.; Zhou, L.; Algeo, T.J.; Zhang, F.F.; Romaniello, S.; Jin, C.S.; Lei, L.D.; Feng, L.J.; Jiang, S.Y. Marine Mo biogeochemistry in the context of dynamically euxinic mid-depth waters: A case study of the lower Cambrian Niutitang shales, South China. Geochim. Cosmochim. Acta J. Geochem. Soc. Meteorit. Soc. 2016, 183, 79–93. [Google Scholar] [CrossRef]
  136. Joachimski, M.M.; Buggisch, W. Conodont apatite δ18O signatures indicate climatic cooling as a trigger of the Late Devonian mass extinction. Geology 2002, 30, 711–714. [Google Scholar] [CrossRef]
  137. Chen, D.Z.; Qing, H.R.; Li, R.W. The Late Devonian Frasnian–Famennian (F/F) biotic crisis: Insights from δ13Ccarb, δ13Corg and 87Sr/86Sr isotopic systematics. Earth Planet. Sci. Lett. 2005, 235, 151–166. [Google Scholar] [CrossRef]
  138. Song, H.Y.; Song, H.J.; Algeo, T.J.; Tong, J.N.; Romaniello, S.; Zhu, Y.Y.; Chu, D.L.; Anbar, A.D. Uranium and carbon isotopes document global-ocean redox-productivity relationships linked to cooling during the Frasnian-Famennian mass extinction. Geology 2017, 45, 887–890. [Google Scholar] [CrossRef]
  139. Marechal, C.N.; Nicolas, E.; Douchet, C.; Albare`de, F. Abundance of zinc isotopes as a marine biogeochemical tracer. Geochem. Geophys. Geosyst. 2000, 1, 1015. [Google Scholar] [CrossRef]
  140. Liu, S.A.; Wu, H.C.; Shen, S.Z.; Jiang, G.Q.; Zhang, S.H.; Lv, Y.W.; Zhagn, H.; Li, S.G. Zinc isotope evidence for intensive magmatism immediately before the end-Permian mass extinction. Geology 2017, 45, 343–346. [Google Scholar] [CrossRef]
  141. Streel, M.; Caputo, M.V.; Loboziak, S.; Melo, J.H.G. Late Frasnian–Famennian climates based on palynomorph analyses and the question of the Late Devonian glaciations. Earth-Sci. Rev. 2000, 52, 121–173. [Google Scholar] [CrossRef]
  142. Isaacson, P.E.; Díaz-Martínez, E.; Grader, G.W.; Kalvoda, J.; Babek, O.; Devuyst, F.X. Late Devonian–earliest Mississippian glaciation in Gondwanaland and its biogeographic consequences. Palaeogeogr. Palaeoclimatol. Palaeoecol. 2008, 268, 126–142. [Google Scholar] [CrossRef]
  143. McGhee, G.R. The Late Devonian (Frasnian/Famenian) mass extinction: A proposed test of the glaciation hypothesis. Geol. Q. 2014, 58, 263–268. [Google Scholar] [CrossRef][Green Version]
  144. Buggisch, W. The global Frasnian-Famennian ‘‘Kellwasser Event”. Geol. Rundsch. 1991, 80, 49–72. [Google Scholar] [CrossRef]
  145. Chen, D.Z.; Tucker, M.E. Palaeokarst and its implication for the extinction event at the Frasnian–Famennian boundary (Guilin, South China). J. Geol. Soc. 2004, 161, 895–898. [Google Scholar] [CrossRef]
  146. Algeo, T.J.; Lyons, T.W.; Blakey, R.C.; Over, D.J. Hydrographic conditions of the Devono–Carboniferous North American Seaway inferred from sedimentary Mo–TOC relationships. Palaeogeogr. Palaeoclimatol. Palaeoecol. 2007, 256, 204–230. [Google Scholar] [CrossRef]
  147. Dopieralska, J.; Belka, Z.; Walczak, A. Nd isotope composition of conodonts: An accurate proxy of sea-level fluctuations. Gondwana Res. 2016, 34, 284–295. [Google Scholar] [CrossRef]
  148. Copper, P. Evaluating the Frasnian-Famennian mass extinction: Comparing brachiopod faunas. Acta Palaeontol. Pol. 1998, 43, 137–154. [Google Scholar]
Figure 1. Location and geological setting of the study area: (a) Map of the South China Block showing the Yangtze Craton and the location of the study area (map of the South China Block modified from [53,54]); (b) tectonic unit map of the Central Guizhou Uplift region and the study area (adapted from [55]); (c) regional geological map of Taozichong Formation in Qingzhen, Guizhou Province, China (adapted from [56]).
Figure 1. Location and geological setting of the study area: (a) Map of the South China Block showing the Yangtze Craton and the location of the study area (map of the South China Block modified from [53,54]); (b) tectonic unit map of the Central Guizhou Uplift region and the study area (adapted from [55]); (c) regional geological map of Taozichong Formation in Qingzhen, Guizhou Province, China (adapted from [56]).
Minerals 14 00224 g001
Figure 2. Lithofacies and paleogeography of the early Cambrian period in Yangtze Platform (modified from [7,60]).
Figure 2. Lithofacies and paleogeography of the early Cambrian period in Yangtze Platform (modified from [7,60]).
Minerals 14 00224 g002
Figure 3. Stratigraphy and lithology association of the Taozichong Formation, Qingzhen, Guizhou Province, China: (a) stratigraphy of the study area showing the location of Qingzhen biota fossils on the section; (b) fine-grained dolomite of the Dengying Formation; (c) bioclastic phosphorite; (d) banded argillaceous, siliceous, and phosphorous dolomite; (e) horizontal stratification and wart structure of siliceous dolomite; (f) thin-layered siliceous rock; (g) black shale of the Niutitang Formation.
Figure 3. Stratigraphy and lithology association of the Taozichong Formation, Qingzhen, Guizhou Province, China: (a) stratigraphy of the study area showing the location of Qingzhen biota fossils on the section; (b) fine-grained dolomite of the Dengying Formation; (c) bioclastic phosphorite; (d) banded argillaceous, siliceous, and phosphorous dolomite; (e) horizontal stratification and wart structure of siliceous dolomite; (f) thin-layered siliceous rock; (g) black shale of the Niutitang Formation.
Minerals 14 00224 g003
Figure 4. The assemblage of biological fossils from Taozichong Formation in Qingzhen: (ad) discoid fossils relief castings are characterized by concentric rings and central bulges (QA-R-02, QA-R-03, QA-R-10, and QA-R-15); (e,f) the release form of discoid fossils is characterized by concentric ring folds and central depressions (QA-I-03 and QA-I-16); (g,h) the 3D morphological structure of discoid fossils (QA-R-02 and QA-I-05); (ik) Sphenothallus fossils in siliceous rocks (QSP-R-01, QSP-R-04, and QSP-R-05). The theca of Sphenothallus are slender and very gradually tapered, and individuals are relatively straight, with a low rate of apertural expansion; (l,m) Shaanxilithes fossils in phosphorous siliceous rocks (QSH-I-01 and QSH-I-02). Individuals can overlap each other, but there is no obvious interpenetration phenomenon; (nq) worm fossils, with slender tubular bodies; internal development has transverse lines, with obvious link structure (QW-03, QW-04, and QW-07); (rt) spongy axial filament development (QS-05, QS-11, and QS-12); (u) spongy fossil of narrow-mouth bottle development (QS-01); (v,w) SEM photo of spongy axis filaments, axial filament bundle structure composed of multiple axial filaments (QS-06).
Figure 4. The assemblage of biological fossils from Taozichong Formation in Qingzhen: (ad) discoid fossils relief castings are characterized by concentric rings and central bulges (QA-R-02, QA-R-03, QA-R-10, and QA-R-15); (e,f) the release form of discoid fossils is characterized by concentric ring folds and central depressions (QA-I-03 and QA-I-16); (g,h) the 3D morphological structure of discoid fossils (QA-R-02 and QA-I-05); (ik) Sphenothallus fossils in siliceous rocks (QSP-R-01, QSP-R-04, and QSP-R-05). The theca of Sphenothallus are slender and very gradually tapered, and individuals are relatively straight, with a low rate of apertural expansion; (l,m) Shaanxilithes fossils in phosphorous siliceous rocks (QSH-I-01 and QSH-I-02). Individuals can overlap each other, but there is no obvious interpenetration phenomenon; (nq) worm fossils, with slender tubular bodies; internal development has transverse lines, with obvious link structure (QW-03, QW-04, and QW-07); (rt) spongy axial filament development (QS-05, QS-11, and QS-12); (u) spongy fossil of narrow-mouth bottle development (QS-01); (v,w) SEM photo of spongy axis filaments, axial filament bundle structure composed of multiple axial filaments (QS-06).
Minerals 14 00224 g004
Figure 5. Powder XRD patterns of the samples from phosphorus-bearing rock series in Taozichong Formation: Qingzhen: F = carbonate fluorapatite, Q = quartz, M = muscovite, D = dolomite, I = illite.
Figure 5. Powder XRD patterns of the samples from phosphorus-bearing rock series in Taozichong Formation: Qingzhen: F = carbonate fluorapatite, Q = quartz, M = muscovite, D = dolomite, I = illite.
Minerals 14 00224 g005
Figure 6. Shale normalized distributions of trace elements of phosphorus-bearing rock series from Taozichong Formation, Qingzhen.
Figure 6. Shale normalized distributions of trace elements of phosphorus-bearing rock series from Taozichong Formation, Qingzhen.
Minerals 14 00224 g006
Figure 7. Position of the data points on the bivariate plot of (a) Pr/Pr* vs. Ce/Ce* [64] and (b) Y/Ho vs. Ce/Ce*. Domain I refers to no Ce anomalies and no La anomalies. Domain IIa indicates positive La anomalies and no Ce anomalies. Domain IIIb indicates negative La anomalies and no Ce anomalies. Domain IIIa refers to positive Ce anomalies. Domain IIIb indicates negative Ce anomalies.
Figure 7. Position of the data points on the bivariate plot of (a) Pr/Pr* vs. Ce/Ce* [64] and (b) Y/Ho vs. Ce/Ce*. Domain I refers to no Ce anomalies and no La anomalies. Domain IIa indicates positive La anomalies and no Ce anomalies. Domain IIIb indicates negative La anomalies and no Ce anomalies. Domain IIIa refers to positive Ce anomalies. Domain IIIb indicates negative Ce anomalies.
Minerals 14 00224 g007
Figure 8. The binary diagrams of (a) V/Cr vs. Mo and (b) U/Th vs. Mo showing the redox conditions of the sedimentary seawater.
Figure 8. The binary diagrams of (a) V/Cr vs. Mo and (b) U/Th vs. Mo showing the redox conditions of the sedimentary seawater.
Minerals 14 00224 g008
Figure 9. Bivariate plots of (a) Y/Y* vs. La/Nd and (b) Y/Y* vs. (La/Sm)N. The seawater field is from [65].
Figure 9. Bivariate plots of (a) Y/Y* vs. La/Nd and (b) Y/Y* vs. (La/Sm)N. The seawater field is from [65].
Minerals 14 00224 g009
Figure 10. Scatter plots of (a) δCe vs. ΣREY, (b) δCe vs. (La/Sm)N, and (c) δCe vs. (Dy/Sm)N.
Figure 10. Scatter plots of (a) δCe vs. ΣREY, (b) δCe vs. (La/Sm)N, and (c) δCe vs. (Dy/Sm)N.
Minerals 14 00224 g010
Figure 11. Bivariate plots of (a) δEu vs. ΣREY, (b) Ag vs. ΣREY, (c) As vs. ΣREY, and (d) Sb vs. ΣREY.
Figure 11. Bivariate plots of (a) δEu vs. ΣREY, (b) Ag vs. ΣREY, (c) As vs. ΣREY, and (d) Sb vs. ΣREY.
Minerals 14 00224 g011
Figure 12. Bivariate plots of (a) Y vs. La (base map adapted from [110], dashed diagonal lines show the weight ratio of Y/La in modern seawater (4.7; [111]) and upper continental crust (0.73; [112])); (b) Y/Ho vs. ΣREY (reference data for seawater, land, and debris come from [91]) for the phosphorus-bearing rock series from the Taozichong Formation in Qingzhen.
Figure 12. Bivariate plots of (a) Y vs. La (base map adapted from [110], dashed diagonal lines show the weight ratio of Y/La in modern seawater (4.7; [111]) and upper continental crust (0.73; [112])); (b) Y/Ho vs. ΣREY (reference data for seawater, land, and debris come from [91]) for the phosphorus-bearing rock series from the Taozichong Formation in Qingzhen.
Minerals 14 00224 g012
Figure 13. (a) PAAS-normalized REE patterns and (b) Spearman correlation analysis of the REYs. Oxic seawater and terrigenous source samples are from [117].
Figure 13. (a) PAAS-normalized REE patterns and (b) Spearman correlation analysis of the REYs. Oxic seawater and terrigenous source samples are from [117].
Minerals 14 00224 g013
Figure 14. Scatter plots of (a) V/Ni vs. Mo and (b) ΣREY vs. TOC.
Figure 14. Scatter plots of (a) V/Ni vs. Mo and (b) ΣREY vs. TOC.
Minerals 14 00224 g014
Figure 15. Covariant relationship diagram of (a) Zr vs. δ66Zn, (b) Sc vs. δ66Zn, and (c) Th vs. δ66Zn.
Figure 15. Covariant relationship diagram of (a) Zr vs. δ66Zn, (b) Sc vs. δ66Zn, and (c) Th vs. δ66Zn.
Minerals 14 00224 g015
Figure 16. Scatter plots of ΣREY vs. δ66Zn of phosphorous rock series in Taozichong Formation, Qingzhen (base map adapted from [6]).
Figure 16. Scatter plots of ΣREY vs. δ66Zn of phosphorous rock series in Taozichong Formation, Qingzhen (base map adapted from [6]).
Minerals 14 00224 g016
Figure 17. Diagram of δ13C, δ18O, and δ66Zn of the phosphorous rock series in Taozichong Formation, Qingzhen (δ13C and δ18O data from [10]): (a) the first negative drift of δ13C occurred in the siliceous rocks at the bottom of the Taozichong Formation, which corresponds to the positive drift of δ66Zn; (b) in the second stage, the profile contents of δ13C, δ18O, and δ66Zn change gently, and the change angles tend to be the same, exhibiting a weak right turning point; (c) when δ66Zn enters the stage, it initially presents an obvious right-leaning change, and the negative drift response appears earlier than that of δ13C and δ18O; (d) δ66Zn at the top of the Taozichong Formation first appears to the left deviation, and then the negative drift of δ13C and δ18O corresponds to the positive drift of δ66Zn.
Figure 17. Diagram of δ13C, δ18O, and δ66Zn of the phosphorous rock series in Taozichong Formation, Qingzhen (δ13C and δ18O data from [10]): (a) the first negative drift of δ13C occurred in the siliceous rocks at the bottom of the Taozichong Formation, which corresponds to the positive drift of δ66Zn; (b) in the second stage, the profile contents of δ13C, δ18O, and δ66Zn change gently, and the change angles tend to be the same, exhibiting a weak right turning point; (c) when δ66Zn enters the stage, it initially presents an obvious right-leaning change, and the negative drift response appears earlier than that of δ13C and δ18O; (d) δ66Zn at the top of the Taozichong Formation first appears to the left deviation, and then the negative drift of δ13C and δ18O corresponds to the positive drift of δ66Zn.
Minerals 14 00224 g017
Disclaimer/Publisher’s Note: The statements, opinions and data contained in all publications are solely those of the individual author(s) and contributor(s) and not of MDPI and/or the editor(s). MDPI and/or the editor(s) disclaim responsibility for any injury to people or property resulting from any ideas, methods, instructions or products referred to in the content.

Share and Cite

MDPI and ACS Style

Gao, L.; Yang, R.; Gao, J.; Luo, C.; Liu, L.; Ni, X.; Li, X.; Mo, H.; Peng, R. The Paleoecological Environment during the Ediacaran–Cambrian Transition in Central Guizhou Province, China: Evidence from Zn Isotopes. Minerals 2024, 14, 224. https://doi.org/10.3390/min14030224

AMA Style

Gao L, Yang R, Gao J, Luo C, Liu L, Ni X, Li X, Mo H, Peng R. The Paleoecological Environment during the Ediacaran–Cambrian Transition in Central Guizhou Province, China: Evidence from Zn Isotopes. Minerals. 2024; 14(3):224. https://doi.org/10.3390/min14030224

Chicago/Turabian Style

Gao, Lei, Ruidong Yang, Junbo Gao, Chaokun Luo, Linlin Liu, Xinran Ni, Xinzheng Li, Hongcheng Mo, and Rou Peng. 2024. "The Paleoecological Environment during the Ediacaran–Cambrian Transition in Central Guizhou Province, China: Evidence from Zn Isotopes" Minerals 14, no. 3: 224. https://doi.org/10.3390/min14030224

APA Style

Gao, L., Yang, R., Gao, J., Luo, C., Liu, L., Ni, X., Li, X., Mo, H., & Peng, R. (2024). The Paleoecological Environment during the Ediacaran–Cambrian Transition in Central Guizhou Province, China: Evidence from Zn Isotopes. Minerals, 14(3), 224. https://doi.org/10.3390/min14030224

Note that from the first issue of 2016, this journal uses article numbers instead of page numbers. See further details here.

Article Metrics

Back to TopTop