Next Article in Journal
Recycling of Au during Serpentinization of Ultramafic Rocks: A Case Study from Neoproterozoic Forearc Ophiolites, Egypt
Next Article in Special Issue
Optimization Model for Mine Backfill Scheduling Under Multi-Resource Constraints
Previous Article in Journal
Numerical Simulation and Experimental Study of a Deep-Sea Polymetallic Nodule Collector Based on the Coanda Effect
Previous Article in Special Issue
Curing Agent for High-Concentration Unclassified Tailings Stockpiling: A Case Study of Tailings from a Gold Mine
 
 
Font Type:
Arial Georgia Verdana
Font Size:
Aa Aa Aa
Line Spacing:
Column Width:
Background:
Article

Mechanical Properties, Failure Modes, and Damage Development of Stratified Cemented Tailings Backfill under Uniaxial Compression

School of Energy and Mining Engineering, China University of Mining & Technology (Beijing), Beijing 100083, China
*
Author to whom correspondence should be addressed.
Minerals 2024, 14(9), 917; https://doi.org/10.3390/min14090917
Submission received: 17 August 2024 / Revised: 3 September 2024 / Accepted: 3 September 2024 / Published: 6 September 2024
(This article belongs to the Special Issue Advances in Mine Backfilling Technology and Materials)

Abstract

Layered cemented filling leads to a layered composite structure of cemented tailings backfill (CTB) composed of high-strength top and bottom layers, as well as a low-strength middle layer. To solve the problem of the low mechanical properties of the middle layer caused by layered filling, this study proposes the concept of an enhance layer, that is, an enhance layer is added to the middle weak layer to improve its overall mechanical properties. To explore the characteristics of strength, failure modes, energy dissipation, and progressive damage of stratified cemented tailings backfill (SCTB) with varying layered structures, the uniaxial compressive tests of SCTB specimens with enhance layers c/t of 1:15, 1:10, and 1:6, as well as height proportions of 0.1, 0.2, and 0.3, are examined. The results show that the elastic modulus and uniaxial compressive strength (UCS) of SCTB samples increase with the height ratio and cement-to-tailings ratio of the enhance layer. The elastic modulus and strength of SCTB specimens is more sensitive to the height ratio of the enhance layer than the c/t ratio. Moreover, the SCTB specimens mainly manifested as tensile failure of the upper layer and lower layer, but they did not penetrate the entire specimen. The propagation of cracks is limited by the addition of the enhance layer. The SCTB specimens have stronger plastic deformation ability, and a large part of the all-strain energy is dissipated in the shape of plastic failure. In addition, a constitutive model for damage in SCTB samples has been developed. The SCTB samples with a reasonable structure can also achieve sufficient strength compared to directly increasing the c/t ratio of CTB specimens while reducing the cost of cemented tailings backfill preparation. This approach reduces the carbon footprint of the mining industry and improved the overall mechanical properties and stability of the stratified cemented tailings backfill. This study provides a new approach for high-stage subsequent stope backfilling. The findings will offer guidance for the design of a layered filling mining method.

1. Introduction

The mining industry boom has fueled an unprecedented economic growth for many countries around the world, but the extraction of minerals, especially metal resources, has brought many problems to human beings, such as solid wastes disposal and underground goafs management [1,2,3]. The filling mining method is favored for its efficacy in stabilizing ground pressure and managing mine waste [4,5]. The cemented tailings backfill is a kind of composite medium with a certain strength, which is prepared by tailings, water, and a binding agent in a certain proportion [6,7]. The strength of the CTB is affected by the amount of binding agent. Blindly increasing the amount of binding agent will indeed enhance the strength of the CTB, but it will significantly increase the material cost. Reducing the amount of cement will reduce the cost of filling, but it will bring instability factors. Therefore, it is very important to determine a reasonable strength of cemented tailings backfill [8,9,10].
At present, in order to simultaneously take into account the cost saving and the strength of the CTB, the layered filling mining method has been adopted by numerous mines, namely, the top layer and bottom layer are filled with a high cement–tailings ratio slurry, and a low cement–tailings ratio slurry is used in the middle layer [11,12,13], as shown in Figure 1. However, this structure entails certain problems in practical application. Due to the relatively weak strength of the CTB in the middle layer, it often breaks down and falls off under the mining disturbance of the neighboring stope, which affects the safety and stability of the stope [14,15,16].
The strength and stability of SCTB are mainly affected by internal and external factors. Xu et al. [17,18] have demonstrated that the strength development of the CTB was inhibited by low temperature, and the strength escalated as the temperature rose. Zheng et al. [19] revealed that the UCS of the sulfur-containing CTB will decrease to a certain extent in the later stage of curing. Moreover, the larger the proportion of fine tailings, the lower the strength of the CTB. Nochaiya and Xu [20,21] investigated the silica fume on the UCS of cemented tailings backfill. The silica fume improves the mechanical property and stability of the cemented tailings backfill. Wang et al. [22] examined the influence of the cement-to-tailings (c/t) ratio and height of the intermediate layer on the mechanical properties of the SCTB. The results show that the strength of the CPB increases with decreases in the height of the intermediate layer and increases with the cement-to-tailings ratio. Zhang et al. [23] obtained that the peak strength and elastic modulus of the SCTB increase with the decrease of the number of layers. Cao et al. [11] reported that the UCS of the layered cemented tailings backfill decreases with the extension of the filling interval time in different layers. Wu et al. [24] experimentally studied the influence of interface angle on CPB–rock deformation characteristics and shear strength. The interface angle is crucial in determining the failure of the specimen.
In the above study, it has been confirmed that the failure mode, damage progression, and strength of the SCTB are mainly affected by the number of layers, cement–tailings ratio, and the proportion of intermediate layers [25,26]. However, no effective measures have been put forward to enhance the mechanical properties of the middle layer. The middle layer in the layered cemented tailings backfill is still the most vulnerable area [27,28].
Therefore, this study proposes the concept of a enhance layer, that is, adding a enhance layer to the middle weak layer to improve its mechanical properties, thereby increasing the mechanical property and stability of the entire SCTB, as shown in Figure 1. To uncover the mechanical characteristics and deformation behavior of the middle layer containing the enhance layer, the effect of the c/t ratio and height ratio of the enhance layer on it were studied using a uniaxial compression test. The height of the enhance layer (h/H) was set as 0.1, 0.2, and 0.3; the position of the enhance layer was set as 1/2 of the middle layer; the cement–tailings ratio of the enhance layer was set as 1:15, 1:10, and 1:6; and the cement–tailings ratio of the middle layer was set as 1/20. The purpose was to clarify the reinforcing effect of enhance layer on the stratified cemented tailings backfill.

2. Materials and Experimental Program

2.1. Materials

The silica tailings (ST), composed of 99.6% silica, were utilized in the fabrication of the stratified cemented tailings backfill (SCTB) specimens. The distribution of grain size for ST is illustrated in Figure 2. The content of fine particles was more than 30%, which was intended to avert the segregation of fresh CTB slurry. The cement used for fresh SCTB preparation was Ordinary Portland Cement (OPC, P.O. 42.5R). The primary chemical constituents of Ordinary Portland Cement are detailed in Table 1. As shown in Table 1, it is mainly composed of Calcium Oxide (64.78%), Silicon Oxide (20.34%), and Aluminium Oxide (5.02%). Its specific gravity is 3.0–3.2. The cement and ST were mixed with tap water.

2.2. Mix Proportions and Specimen Preparation

The SCTB specimens included three layers: upper layer, enhance layer, and lower layer. The c/t ratio for both the lower and upper layers was designed to be 1/20. Meanwhile, the enhance layer was designed with three different height ratios and three distinct c/t ratios. The fresh CTB mixtures concentration of all layers was 70%. In all 11 groups of specimens were prepared, three samples were made for each case. The specific experimental proposal and parameters of SCTB samples are offered in Figure 3 and Table 2. The cement, tailings, and tap water were thoroughly blended using an agitator for over 5 min. After homogeneously mixing, the fresh slurry was poured into the cylindrical molds measuring 50 mm in diameter and 100 mm in height. During the preparation of each layer, the fresh mixtures should be stamped with a stirring rod to eradicate the air bubbles as far as possible. Then, the SCTB samples were cured in a chamber with relative humidity controlled at 95 ± 5% and temperature controlled at 20 ± 5 °C.

2.3. Test Apparatus and Procedure

Unconfined compressive strength tests were conducted on CTB specimens in accordance with ASTM C39 (ASTM C39/C39M-18, 2001) [29]. The uniaxial compressive strength of CTB sample was tested by a computer-controlled press (SLB-1) with a deformation rate of 0.5 mm/min and a loading capacity of 60 kN. The pressing apparatus had a full-scale precision of 1%. The stress–strain curves of the samples were recorded automatically by the computer during the test. A group of four SCTB specimens was utilized for the compressive strength tests, and the mean value of four specimens was acquired for following examination.

3. Result and Discussion

3.1. Mechanical Characteristics of SCTB Specimens

The UCS of SCTB specimens with different height ratios and c/t ratios of the enhance layer are shown in Figure 4. Based on Figure 4, the results shown that the UCS of the SCTB specimens all increased with the height ratio of the enhance layer. For example, for SCTB specimen with a c/t ratio of 1/15, the UCS of the SCTB sample with a height ratio of 0.1 was 321.3 kPa. When the height ratio was increased to 0.2 and 0.3, the UCS of the SCTB specimens increased to 375.5 kPa and 451.1 kPa, and the UCS incremental rate came out to 16.9% and 40.5%, respectively. Likewise, when the cement-to-tailings ratio of the SCTB specimens increased to 1/10, the UCS values were 354.5 kPa, 393.3 kPa, and 562.6 kPa at height ratios of 0.1, 0.2, and 0.3, which increased by 10.9% and 58.7%, respectively. Similar to the law of height ratio, the UCSs of the SCTB specimens all increased with the c/t ratio of the enhance layer. For the SCTB specimen with a height ratio of 0.1, the UCSs were 321.3 kPa, 354.5 kPa, and 432.3 kPa at cement-to-tailings ratios of 1/15, 1/10, and 1/6, which increased by 10.3% and 34.5%, respectively. In summary, the UCS values of the SCTB specimens increased as both the height ratio and the cement-to-tailings ratio were increased.
The above outcomes indicate a strong correlation between the UCS values of the SCTB specimens and the height ratio and cement-to-tailings ratio of the enhance layer. The failure of the SCTB samples resulted from the generation and propagation of cracks. Generally, failure of the SCTB samples initiated in the low-intensity regions and then gradually spread to the enhance layer, culminating in comprehensive failure of the specimens [22]. The ratio of the low-strength region decreased with the increase in the enhance layer height ratio, and the crack was more difficult to expand, leading to the improvement of the whole strength of the SCTB samples. The internal strength difference of the SCTB samples increased with the cement-to-tailings ratio of the enhance layer, which made the overall tensile failure of the specimen less likely to occur.
It is noteworthy that the UCS values of some SCTB specimens were lower than those of complete CTB specimens. The addition of enhance layer divided the CTB specimen into an upper layer, enhance layer, and lower layer, which damaged the overall structure of the CTB specimen. The stratification effect caused by the addition of the enhance layer will reduce the strength of CTB specimens. The reduction in CTB specimen strength caused by the stratification effect was higher than the enhancement effect caused by the addition of the enhance layer, which reduced the strength of the CTB specimens.
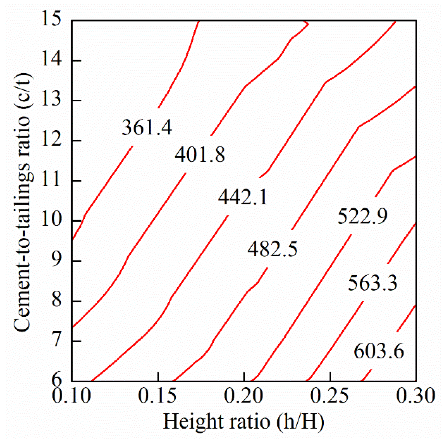
The UCS contour map of the SCTB specimens with different height ratios and cement-to-tailings ratios is shown in Figure 5. The strength contours intersect more with the X axis, indicating a significant range of strength values at different height ratio levels. By adjusting the height ratio, the strength can be more effectively optimized at a specific cement-to tailings ratio. This suggests that the impact of the height ratio of the enhance layer on the UCS of the SCTB specimens is greater than that of the c/t ratio. It can be concluded that the strength of SCTB specimens is more sensitive to the height ratio of the enhance layer.
Figure 6 displays the conventional UCS values of CTB specimens with a c/t ratio of 1/15 and SCTB specimens containing height ratios of 0.1, 0.2, and 0.3; as well as c/t ratios of 1/15, 1/10, and 1/6, respectively. The UCS values of the specimens of SC-0.2-6, SC-0.3-10, and SC-0.3-6 reached UCSs of 517.4 kPa, 562.6 kPa, and 643.8 kPa, while the UCS of CTB-15 reached 483.5 kPa, which is lower compared to the above SCTB samples. Based on the preceding results, it can be deduced that SCTB samples with a reasonable structure can also achieve sufficient strength compared to directly increasing the c/t ratio of the CTB specimens while also reducing the cost of CTB preparation.
Figure 7 shows the elastic modulus of SCTB specimens with various enhance layer c/t ratios and height ratios. The elastic modulus values of the SCTB samples all increased with the height ratio of the enhance layer given a constant c/t ratio. For example, for the SCTB specimen with a cement-to-tailings ratio of 1/15, the elastic modulus of the SCTB sample with a height ratio of 0.1 was 12.4 MPa. As the height ratio was elevated to 0.2 and 0.3, the elastic modulus of the SCTB specimens increased to 17 MPa and 23.7 MPa, and the elastic modulus incremental rate came out to 37.1% and 91.1%, respectively. Similar to the law of height ratio, the elastic modulus values of the SCTB specimens all increased with the c/t ratio of the enhance layer for a given height ratio. For the SCTB specimen with a height ratio of 0.1, the elastic modulus values were 12.4, 14.5, and 17.9 MPa at cement-to-tailings ratios of 1/15, 1:10, and 1:6, which increased by 16.9% and 44.4%, respectively. This phenomenon can be comprehended, as the stiffness of the lower layer and upper layer of the SCTB sample is relatively small, and the stiffness of the enhance layer is relatively large. The section of the high stiffness region escalates as the height ratio and cement-to-tailings ratio of the enhance layer augment, which results in an enhancement in the overall stiffness of the SCTB samples. In summary, the elastic modulus of SCTB specimens escalates as both the height ratio and the cement-to-tailings ratio increase.
However, the elastic modulus values of the SCTB samples were inferior to those of the CTB sample under a certain cement-to-tailings ratio and height ratio of the enhance layer. It is evident that when the height ratio was 0.1, the elastic modulus of the SCTB sample was inferior to that of the CTB specimen regardless of the cement-to-tailings ratio. As the height ratio increased to 0.2, the elastic modulus of the SCTB specimen surpassed that of the CTB sample only as the cement-to-tailings ratio was 1:6. When the height ratio increased to 0.3, the elastic modulus of the SCTB sample was inferior to that of the CTB sample only when the cement-to-tailings ratio was 1:15. Therefore, the elastic modulus values of the SCTB specimens with a height ratio of 0.1 or a cement-to-tailings ratio of 1:15 were both inferior to those of the CTB specimens.
Figure 8 exhibits the contour map depicting the elastic modulus values of SCTB specimens across various h/H ratios and c/t ratios. The elastic modulus is often used to characterize the deformation resistance of a SCTB specimen under varied conditions. An elevated elastic modulus indicates a reduced propensity for the specimens to undergo deformation, which significantly augments the structural stability. It can be seen from Figure 8 that the strength contours intersect more with the X axis. By adjusting the height ratio, the elastic modulus can be more effectively optimized at a specific cement-to tailings ratio. This manifested that the influence of the enhance layer height ratio on the elastic modulus values of the SCTB specimens was more significant than the influence of the cement-to-tailings ratio on the elastic modulus values of the specimens. It can be concluded that the elastic modulus of a stratified cemented tailings backfill specimen is more sensitive to the height ratio of the enhance layer.

3.2. Energy Evolution Characteristics

The failure and instability of SCTB specimens were examined through the perspective of energy progression. It is assumed that in a closed system, the SCTB unit deforms under the action of external load, which is the total input energy U caused by the work of external force that can be calculated by the following [30,31,32]:
U = U e + U d
where U represents the total energy of the SCTB specimen, and Ud and Ue are the dissipated energy and elastic energy during the deformation of SCTB specimen, respectively.
The U and Ue can be calculated by the following:
U = σ 1 d ε 1
U e = σ 1 2 2 E
where σ1 represents the axial stress, ε1 represents the axial strain, and E represents the elastic modulus.
Figure 9 shows the energy evolution and stress–strain curves of SCTB specimens with different cement-to-tailings ratios and height ratios of the enhance layer. In the elastic deformation phase, no new cracks were incubated. The energy absorbed by the work was primarily stored as elastic energy. Meanwhile, the dissipated energy curve almost stayed the same or even decreased. In the plastic deformation stage, the specimen produced irreversible plastic deformation. At this phase, the internal crack of the sample began to expand; meanwhile, the elastic strain energy increased slowly. Correspondingly, the growth rate of the dissipated energy began to increase more quickly, and the proportion of energy dissipated began to increase progressively. After the peak stress, the stored elastic strain energy in the SCTB specimen started to be released, leading to a substantial increase in the dissipated energy of the specimen rupture damage, and the specimen gradually destabilized and destroyed.
The escalation in dissipated energy fosters crack formation and growth inside the SCTB samples. The dissipative energy of SCTB specimens and CTB specimens exhibited different evolution modes. The dissipative energy of the CTB samples began to increase significantly as the specimens approached yield failure. The SCTB specimen with a cement/tailings ratio of 1/15 also showed the same pattern. However, the dissipative energy of other SCTB samples started to increase rapidly during the plastic deformation stage. During the compression process, the propagation of crack first occurred in the CTB with a low c/t ratio of the SCTB samples. However, the addition of the enhance layer restricted the propagation of cracks, and the overall SCTB specimens did not undergo damage, allowing the specimens to continue to be compressed. Therefore, the plastic deformation and peak strain of the SCTB specimens were found to be larger than those of CTB specimens. Since the upper and lower layers of the SCTB sample had been partially destroyed in the plastic deformation phase, the dissipated energy began to increase rapidly in this stage.
The energy distributions of SCTB specimens with different height ratios and c/t ratios of the enhance layer are shown in Figure 10. Through the analysis of energy distribution, the dissipation energy and elastic strain energy of the specimens were found to be closely related to the enhance layer. The ability of SCTB specimens with a cement-to-tailings ratio of 1/15 in the enhance layer and complete CTB specimens to accumulate elastic strain energy was stronger than that of the other SCTB specimens, and the energy accumulation rates reached 60.2 and 55.6, respectively. A significant portion of the total strain energy was transformed into elastic strain energy, which was then stored within the sample. The failure and instability of the samples will be aggravated as the elastic energy is released. The energy dissipation rates of the SCTB samples were between 74.5%~79.8%, which indicates that the SCTB specimens have stronger plastic deformation ability, and a significant portion of the overall strain energy is dissipated through plastic failure.

3.3. Failure Modes

Figure 11 shows the various failure modes of SCTB specimens with different height ratios and cement-to-tailings ratios of the enhance layer. The CTB samples mainly manifested as a shear failure through the whole specimen. Keeping the height ratio of the enhance layer at 0.2, when the cement/tailings ratio was 1/15, such failure primarily appeared as tensile failure of the upper layer, enhance layer, and lower layer. As the cement-to-tailings ratio increased to 1/10 and 1/6, it primarily appeared as tensile failure of the upper layer. As observed in Figure 11b, keeping the c/t ratio of the enhance layer at 1/10, regardless of the height ratio of the enhance layer, it primarily appeared as tensile failure of the upper layer. The difference is that as the height ratio of the enhanced layer increased, the number of cracks gradually decreased.
Generally, the initial signs of failure in SCTB samples appears in the low-intensity regions, and then the extension progresses to the enhanced layer, ultimately resulting in failure of the specimens as a whole. Due to the different volume expansion coefficients of each layer of the SCTB specimen, there is a bonding effect between the layers. The layer with a large coefficient will drive the layer with a small expansion coefficient to expand outward during the stress process. At the same time, the layer with a large expansion coefficient (upper or lower layer) will be limited by the layer with a small expansion coefficient (enhance layer) [33]. The propagation of cracks is limited by the enhance layer, thereby improving the mechanical properties of the SCTB specimens.

3.4. Damage Constitutive Equation

Following the Lemaitre strain equivalence principle [34,35], the damage constitutive model for CTB can be defined as
σ = 1 D d E ε
where Dd and E respectively indicate the loaded damage variable and the elastic modulus of the CTB before loading.
The progression of damage in a CTB can be analyzed by introducing failure criterion. Assuming that the Weibull distribution governs the strength of each micro-element [36,37], the distribution density function is
P l = m ε 0 ε ε 0 m 1 e ε ε 0 m
where ε represents the strain of the CTB, Pl indicates the failure probability of the CTB samples, ε0 represents the holistic influence of the micro-element strength in the Weibull distribution, and m represents the non-uniformity degree of the Weibull distribution.
When the strain of the CTB is ε, the load damage variable Dd is the proportion of the damaged area to the non-destructive material area, which can be expressed as
D d = S S m = 0 ε P l ( x ) d ( x ) = 1 e ( ε ε 0 ) m
It can be found from the results of the above research that the mechanical properties of SCTB samples are directly influenced by the height ratio and the cement-tailings ratio of the enhance layer. Therefore, Equation (14) is no longer suitable for characterizing the constitutive relationship of a SCTB specimen. The SCTB specimen examined consisted of high-strength structures in the middle layer and low-strength structures at both ends. Its structural characteristics resemble those of layered cemented tailings backfill and coal–rock assemblage [22,38,39]. Therefore, the constitutive relationship of the SCTB specimen can be calculated by imitating the constitutive relationship of coal and rock combinations or the SCTB. Therefore, the constitutive relationship of the SCTB specimen can be depicted as a series of intermediate elastomer and damage body at both ends, as shown in Figure 12. The constitutive equation for the elastomer is described by Equation (7).
σ = E ε
The SCTB specimen satisfies the following relationship:
σ = σ 1 = σ 2 = σ 3 ε = ε 1 + ε 2 + ε 3
Combination of Equations (4), (7) and (8) yield the following:
σ = k 1 D d E 1 E 2 1 D d E 1 + 2 E 2 ε
where E1 and E2 are the elastic modulus values of the damage body and elastomer, respectively.
The obtained damage constitutive equation was used to fit the stress–strain curves of SCTB samples with various height ratios and cement-to-tailings ratios of the enhance layer, and the results are shown in Figure 13. When the cement-to-tailings ratio of the enhance layer was constant, as the height ratio of the enhance layer increased from 0.1 to 0.3, the R-square values of the fitting curve came out to 0.9406, 0.9872, and 0.975, respectively. The R-square values of all fitting results are higher than 0.94, and the average value is 0.9676. In addition, when the height ratio of enhance layer was immobile, as the c/t ratio of enhance layer rose from 1/15 to 1/6, the R-square values for the fitting curve came out to 0.9673, 0.9872, and 0.9804. The R-square values of all fitting results exceed 0.96, with an average value of 0.9783. According to the fitting results above, it can be concluded that the damage constitutive equation established in this study effectively characterizes the stress–strain development of SCTB specimens.

4. Discussion

As shown in Figure 14, the total height of the SCTB specimen model was represented by H, the height of the upper layer was Hu, the height of the enhance layer was indicated by Hc, and the height of the lower layer was denoted by Hl. The elastic modulus of the lower layer, the enhance layer, the upper layer, and SCTB samples are expressed as El, Ec, Eu, and Ee, respectively. The axial deformation of the SCTB model under the action of axial stress σ was defined as ΔH. The axial strain of the entire SCTB model and its components can be defined as
ε u = σ u / E u ε c = σ c / E c ε l = σ l / E l ε e = σ e / E e
where the axial strain of the upper layer, the enhance layer, the lower layer, and SCTB samples are expressed as εu, εc, εl, and εe, respectively; the axial stress of the upper layer, the enhance layer, the lower layer, and SCTB samples are expressed as σu, σc, σl, and σe.
The axial deformation of the SCTB model can be defined as
Δ H = ε e H = ε u H u + ε c H c + ε l H l
By combining Equations (10) and (11), the axial deformation of the SCTB can be expressed as
σ E e H = σ u E u H u + σ c E c H c + σ l E l H l
During the loading process, the axial stresses of the three parts of the SCTB model were equal, and the elastic model of the lower layer was the same as that of the upper layer as follows:
σ = σ u = σ c = σ l E u = E l
By combining of Equations (12) and (13), the elastic modulus of the SCTB model can be expressed as
E e = E u E c H H H c E c + H c E u
Equation (14) can also be expressed as
E e = E u H H + E u E c 1 H c
The equivalent elastic modulus of the combined SCTB can be expressed by Equation (15). Based on Equation (15), it is apparent that the elastic modulus of the SCTB sample was affected by the height and the elastic modulus of the enhance layer, and it escalated as both the height and elastic modulus of the enhance layer augmented.
The SCTB composite specimen was composed of CTB with different mechanical properties. Thus, the mechanical properties were influenced by the interface confinement effect and the characteristics of the CTB, as shown in Figure 15. It is assumed that the various components are tightly bonded at the interface without relative slippage, so the thickness of the interface was ignored. In addition, the CTB of each part in the SCTB composite model is treated as a homogeneous isotropic medium. The stress conditions at various positions within the SCTB model were examined. The lateral strains of the upper layer and enhance layer in the elastic stage were defined as follows:
ε 2 u = ε 3 u = μ u σ 1 u E u ε 2 c = ε 3 c = μ c σ 1 c E c
where σ1u and σ1c are the axial stress of the upper layer and enhance layer; μc and μu are the Poisson’s ratio of the enhance layer and upper layer, respectively.
The elastic modulus and Poisson’s ratio of the enhance layer and upper layer in the SCTB model meet the requirements of μc < μu and Eu < Ec, respectively. Then, the lateral strain of the enhance layer and the upper layer under the same axial stress meet the requirements of ε2c = ε3c < ε2u = ε3u. Thus, the lateral cohesive force would arise near the interface for the SCTB model. It can be seen from Equation (16) that under the same stress conditions, the upper layer exhibits greater lateral deformation compared to the enhanced layer. Furthermore, so as to achieve the uniform deformation of the upper layer and the enhance layer, the upper layer near the interface will be exposed to compressive stress, and the enhance layer will be exposed to tensile stress.
Based on the conditions of the continuous deformation and static equilibrium, the following relationship was established:
σ 1 u = σ 1 c = σ 1 σ 2 u = σ 2 c = σ 3 u = σ 3 c ε 2 u = ε 2 c = ε 3 u = ε 3 c
where σ 1 is the axial stress near the interface; σ 1 c and σ 1 u indicate the axial stress of the enhance layer and upper layer near the interface, respectively; σ 2 u and σ 3 u are the stress of the upper layer near the interface in two lateral principal directions, respectively; σ 2 c and σ 3 c are the stress of the enhance layer near the interface in two lateral principal directions, respectively; ε 2 u and ε 3 u indicate the lateral strain of the upper layer near the interface in two lateral principal directions, respectively; ε 2 c and ε 3 c indicate the lateral strain of the enhance layer near the interface in two lateral principal directions, respectively.
The lateral strain of the upper layer and the enhance layer near the interface can be respectively represented as
ε 2 u = σ 2 u + μ u σ 1 u + σ 3 u E u ε 2 c = σ 2 c + μ c σ 1 u σ 3 c E c
By combining of Equations (17) and (18), the following relationship is obtained:
σ 2 u = σ 2 c = σ 3 u = σ 3 c = k u c σ 1 k u c = E c μ u E u μ c E c 1 μ u + E u 1 μ c
where kuc denotes the coefficient representing the cohesive force at the interface between the upper and enhance layers in the SCTB model.
From Equation (19), it can be seen that the magnitude of the cohesive force between the upper and enhance layer is related to their Poisson’s ratio and elastic modulus values. According to the above calculation, it can be seen that the stress state in the upper layer near the interface transitions from being under uniaxial compression to experiencing triaxial compression; moreover, the mechanical properties of the upper layer are enhanced. Therefore, the addition of the enhance layer can expand the mechanical properties of the CTB.

5. Conclusions

It is very crucial to comprehend the mechanical properties of SCTB specimens containing the enhance layer, which are of great significance for the reasonable design of the CTB. In this study, the UCS test was proceeded for SCTB specimens with different height ratios and c/t ratios of the enhance layer. The main results were obtained as follows:
(1)
The stratification effect caused by the addition of the enhance layer will reduce the mechanical properties of CTB samples. However, the mechanical properties of the enhance layer improve the overall strength of the SCTB specimen. The elastic modulus and uniaxial compressive strength of SCTB samples increase with the height ratio and cement-to-tailings ratio of the enhance layer. Moreover, the UCS and elastic modulus of SCTB specimens are more sensitive to the height ratio of the enhance layer than the cement-to-tailings ratio.
(2)
The failure of SCTB samples first appears in the low-intensity regions and then gradually extends to the enhance layer, leading to the overall failure of the specimens. The SCTB specimen mainly manifested as tensile failure of the upper layer and lower layer, but this did not penetrate the entire specimen. The addition of the enhance layer limits the crack propagation, thereby improving the mechanical properties of the SCTB samples.
(3)
The dissipative energy of the CTB samples began to increase significantly as the specimen approaches yield failure. However, the dissipative energy of other SCTB samples started to increase rapidly during the plastic deformation stage. The SCTB specimens had stronger plastic deformation ability, and a large part of the total strain energy was dissipated in the form of plastic failure.
(4)
SCTB samples with a reasonable structure can also achieve sufficient strength compared to directly increasing the c/t ratio of CTB samples while reducing the cost of CTB preparation. Therefore, it is necessary to actively explore the application of the enhance layer in mine filling.

Author Contributions

Conceptualization, W.X.; formal analysis, Y.Z.; data curation, Y.Z., W.C., T.S. and Y.S.; writing—original draft preparation, Y.Z.; writing—review and editing, W.X.; supervision, W.X. All authors have read and agreed to the published version of the manuscript.

Funding

This research was funded by the Fundamental Research Funds for the Central Universities (Grant number: 2023JCCXNY01) and the Key Technologies Research & Development Program (Grant number: 2022AB31022).

Data Availability Statement

Data are contained within the article.

Conflicts of Interest

The authors declare no conflict of interest.

References

  1. Mohammad, H.G.; Christopher, A.B. Sustainable Reuse of Mine Tailings and Waste Rock as Water-Balance Covers. Minerals 2017, 7, 128. [Google Scholar] [CrossRef]
  2. Yang, L.; Xu, W.; Yilmaz, E.; Wang, Q.; Qiu, J. A combined experimental and numerical study on the triaxial and dynamic compression behavior of cemented tailings backfill. Eng. Struct. 2020, 219, 110957. [Google Scholar] [CrossRef]
  3. Wang, Y.; Wang, H.; Zhou, X.; Yi, X.; Xiao, Y.; Wei, X. In Situ X-ray CT Investigations of Meso-Damage Evolution of Cemented Waste Rock-Tailings Backfill (CWRTB) during Triaxial Deformation. Minerals 2019, 9, 52. [Google Scholar] [CrossRef]
  4. Mu, W.; Li, L.; Guo, Z.; Du, Z.; Wang, S. Novel Segmented Roadside Plugging-Filling Mining Method and Overlying Rock Mechanical Mechanism Analyses. Energies 2019, 12, 2073. [Google Scholar] [CrossRef]
  5. Chmykhalova, S.V. Toward a reclamation effort estimation procedure for open pit mines. Eurasian Min. 2023, 1, 83–85. [Google Scholar] [CrossRef]
  6. Fang, K.; Cui, L. Experimental investigation of fiber content and length on curing time-dependent mode-I fracture behavior and properties of cemented paste backfill and implication to engineering design. Fatigue Fract. Eng. Mater. Struct. 2022, 45, 3302–3318. [Google Scholar] [CrossRef]
  7. Nan, X.; Liu, X.; Wu, B.; Zhang, H.; Song, K.; Wang, X. Coupled CFD-DEM simulation and experimental study of particle distribution and accumulation during tailings seepage process. J. Clean. Prod. 2023, 427, 139229. [Google Scholar] [CrossRef]
  8. Zhao, Y.; Soltani, A.; Taheri, A.; Karakus, M.; Deng, A. Application of Slag–Cement and Fly Ash for Strength Development in Cemented Paste Backfills. Minerals 2019, 9, 22. [Google Scholar] [CrossRef]
  9. Liu, L.; Fang, Z.; Qi, C.; Zhang, B.; Guo, L.; Song, K.I.-I.L. Experimental investigation on the relationship between pore characteristics and unconfined compressive strength of cemented paste backfill. Constr. Build. Mater. 2018, 179, 254–264. [Google Scholar] [CrossRef]
  10. Zhang, J.; Deng, H.W.; Taheri, A.; Deng, J.; Ke, B. Effects of Superplasticizer on the Hydration, Consistency, and Strength Development of Cemented Paste Backfill. Minerals 2018, 8, 381. [Google Scholar] [CrossRef]
  11. Cao, S.; Song, W.; Yilmaz, E. Influence of structural factors on uniaxial compressive strength of cemented tailings backfill. Constr. Build. Mater. 2018, 174, 190–201. [Google Scholar] [CrossRef]
  12. Chen, Q.; Zhang, Q.; Qi, C.; Fourie, A.; Xiao, C. Recycling phosphogypsum and construction demolition waste for cemented paste backfill and its environmental impact. Constr. Build. Mater. 2018, 186, 418–429. [Google Scholar] [CrossRef]
  13. Deng, D.Q.; Liu, L.; Yao, Z.L.; Song, K.I.-I.L.; Lao, D.Z. A practice of ultra-fine tailings disposal as filling material in a gold mine. J. Environ. Manag. 2017, 196, 100–109. [Google Scholar] [CrossRef] [PubMed]
  14. Hamberg, R.; Maurice, C.; Alakangas, L. Lowering the water saturation level in cemented paste backfill mixtures-Effect on the release of arsenic. Miner. Eng. 2017, 112, 84–91. [Google Scholar] [CrossRef]
  15. Qin, X.; Wang, P.; Liu, L.; Wang, M.; Xin, J. Sensitivity Analysis of Microstructure Parameters and Mechanical Strength during Consolidation of Cemented Paste Backfill. Math. Probl. Eng. 2018, 112, 84–91. [Google Scholar] [CrossRef]
  16. Alireza, G.; Mamadou, F. Strength evolution and deformation behaviour of cemented paste backfill at early ages: Effect of curing stress, filling strategy and drainage. Int. J. Min. Sci. Technol. 2016, 26, 809–817. [Google Scholar]
  17. Xu, W.; Li, Q.; Zhang, Y. Influence of temperature on compressive strength, microstructure properties and failure pattern of fiber-reinforced cemented tailings backfill. Constr. Build. Mater. 2019, 222, 776–785. [Google Scholar] [CrossRef]
  18. Xu, W.B.; Zhang, Y.L.; Liu, B. Influence of silica fume and low curing temperature on mechanical property of cemented paste backfill. Constr. Build. Mater. 2020, 254, 119305. [Google Scholar] [CrossRef]
  19. Zheng, J.; Guo, L.; Sun, X.; Li, W.; Jia, Q. Study on the strength development of cemented backfill body from lead-zinc mine tailings with sulphide. Adv. Mater. Sci. Eng. 2018, 2018, 7278014. [Google Scholar] [CrossRef]
  20. Nochaiya, T.; Jeenram, T. Microstructure, compressive strength, and permeability of Portland-condensed silica fume cement. Monatshefte Chem.-Chem. Mon. 2017, 148, 1363–1370. [Google Scholar] [CrossRef]
  21. Xu, W.; Zhang, Y.; Zuo, X.; Hong, M. Time-dependent rheological and mechanical properties of silica fume modified cemented tailings backfill in low temperature environment. Constr. Build. Mater. 2020, 114, 103804. [Google Scholar] [CrossRef]
  22. Wang, J.; Fu, J.; Song, W.; Zhang, Y.; Wang, Y. Mechanical behavior, acoustic emission properties and damage evolution of cemented paste backfill considering structural feature. Constr. Build. Mater. 2020, 261, 119958. [Google Scholar] [CrossRef]
  23. Zhang, C.; Fu, J.; Song, W.; Kang, M.; Li, T.; Wang, N. Analysis on mechanical behavior and failure characteristics of layered cemented paste backfill(LCPB) under triaxial compression. Constr. Build. Mater. 2022, 324, 126631. [Google Scholar] [CrossRef]
  24. Wu, W.; Xu, W.; Zuo, J. Effect of inclined interface angle on shear strength and deformation response of cemented paste backfill-rock under triaxial compression. Constr. Build. Mater. 2021, 279, 122478. [Google Scholar]
  25. Qin, H.; Cao, S.; Yilmaz, E. Mechanical, energy evolution, damage and microstructural behavior of cemented tailings-rock fill considering rock content and size effects. Constr. Build. Mater. 2024, 411, 134449. [Google Scholar] [CrossRef]
  26. Koohestani, B.; Darban, A.K.; Mokhtari, P. A comparison between the influence of superplasticizer and organosilanes on different properties of cemented paste backfill. Constr. Build. Mater. 2018, 173, 180–188. [Google Scholar] [CrossRef]
  27. Liu, Z.; Ming, L.A.; Xiao, S.; Guo, H. Damage failure of cemented backfill and its reasonable match with rock mass. Trans. Nonferrous Met. Soc. China 2015, 25, 954–959. [Google Scholar] [CrossRef]
  28. Gao, R.; Zhou, K.; Yang, C. Damage mechanism of composite cemented backfill based on complex defects influence. Mater. Werkst. 2017, 48, 893–904. [Google Scholar] [CrossRef]
  29. ASTM C39/C39M-18; Standard Method for Compressive Strength of Cylindrical Concrete Specimens. ASTM: West Conshohochen, PA, USA, 2001.
  30. Zhao, K.; Zhou, Y.; Yin, S.; Yan, Y.; Wu, J.; Zhao, H.; Wang, S. Effect of initial defects on the microstructure, mechanics, and energy dissipation characteristics of cemented paste backfill. Mater. Today Commun. 2023, 35, 105785. [Google Scholar] [CrossRef]
  31. Gu, Q.; Ma, Q.; Tan, Y.; Jia, Z.; Zhao, Z.; Huang, D. Acoustic emission characteristics and damage model of cement mortar under uniaxial compression. Constr. Build. Mater. 2019, 213, 377–385. [Google Scholar] [CrossRef]
  32. Zhao, K.; Yu, X.; Zhu, S.; Zhou, Y.; Wang, Q.; Wang, J. Acoustic emission investigation of cemented paste backfill prepared with tantalum-niobium tailings. Constr. Build. Mater. 2020, 237, 117523. [Google Scholar] [CrossRef]
  33. Xiu, Z.; Wang, S.; Ji, Y.; Wang, F.; Ren, F. Experimental study on the triaxial mechanical behaviors of the Cemented Paste Backfill: Effect of curing time, drainage conditions and curing temperature. J. Environ. Manag. 2022, 301, 113828. [Google Scholar] [CrossRef] [PubMed]
  34. Zhang, H.; Yang, G. Research on damage model of rock under coupling action of freeze-thaw and load. Chin. J. Rock Mech. Eng. 2010, 29, 471–486. [Google Scholar]
  35. Zhang, H.; Lei, L.; Yang, G. Characteristic and representative model of rock damage process under constant confining stress. China Univ. Min. Technol. 2015, 44, 59–63. [Google Scholar]
  36. Liu, M.; Li, Y.; Xu, F.; Xu, Z.; Cheng, L. Dynamic compressive mechanical properties and a new constitutive model of 2D-C/SiC composites. Mater. Sci. Eng. A 2008, 489, 120–126. [Google Scholar]
  37. Liu, X.; Ning, J.; Tan, Y.; Gu, Q. Damage constitutive model based on energy dissipation for intact rock subjected to cyclic loading. Int. J. Rock Mech. Min. Sci. 2016, 85, 27–32. [Google Scholar] [CrossRef]
  38. Liu, H.; Liu, S.; Xia, Z.; Liu, J.; Guo, H. Study on mechanical properties and damage features of Rock-Coal-Rock combination models with defects and fillings. Geomech. Eng. 2021, 27, 239–251. [Google Scholar]
  39. Dai, L.; Zhang, Z.; Sun, H.; Gao, H. Research on Mechanical Properties and Energy Evolution Law of Coal-Rock Assemblage with Different Gas Pressures. Sustainability 2022, 14, 9904. [Google Scholar] [CrossRef]
Figure 1. Background of layered filling mining method.
Figure 1. Background of layered filling mining method.
Minerals 14 00917 g001
Figure 2. The distribution of grain size for ST.
Figure 2. The distribution of grain size for ST.
Minerals 14 00917 g002
Figure 3. Schematic diagram of SCTB specimen.
Figure 3. Schematic diagram of SCTB specimen.
Minerals 14 00917 g003
Figure 4. The UCSs of SCTB samples.
Figure 4. The UCSs of SCTB samples.
Minerals 14 00917 g004
Figure 5. The UCS contour map of SCTB specimens.
Figure 5. The UCS contour map of SCTB specimens.
Minerals 14 00917 g005
Figure 6. The UCSs of different SCTB samples.
Figure 6. The UCSs of different SCTB samples.
Minerals 14 00917 g006
Figure 7. The elastic modulus values of SCTB samples.
Figure 7. The elastic modulus values of SCTB samples.
Minerals 14 00917 g007
Figure 8. The contour map depicting the elastic modulus values of SCTB samples.
Figure 8. The contour map depicting the elastic modulus values of SCTB samples.
Minerals 14 00917 g008
Figure 9. Stress–strain and energy evolution of SCTB specimens. (a) CTB-20; (b) SC-0.1-10; (c) SC-0.2-10; (d) SC-0.3-10; (e) SC-0.2-15; (f) SC-0.2-6.
Figure 9. Stress–strain and energy evolution of SCTB specimens. (a) CTB-20; (b) SC-0.1-10; (c) SC-0.2-10; (d) SC-0.3-10; (e) SC-0.2-15; (f) SC-0.2-6.
Minerals 14 00917 g009
Figure 10. The energy distribution of the samples as the elastic energy touches the peaks: (a) cement-to-tailings ratio = 1:10; (b) height ratio = 0.2.
Figure 10. The energy distribution of the samples as the elastic energy touches the peaks: (a) cement-to-tailings ratio = 1:10; (b) height ratio = 0.2.
Minerals 14 00917 g010
Figure 11. Failure modes of SCTB samples: (a) height ratio = 0.2 (b); cement-to-tailings ratio = 1:10.
Figure 11. Failure modes of SCTB samples: (a) height ratio = 0.2 (b); cement-to-tailings ratio = 1:10.
Minerals 14 00917 g011aMinerals 14 00917 g011b
Figure 12. Damage constitutive models of SCTB specimens.
Figure 12. Damage constitutive models of SCTB specimens.
Minerals 14 00917 g012
Figure 13. The fitting results of stress-strain: (a) SC-0.1-10; (b) SC-0.2-10; (c) SC-0.3-10; (d) SC-0.2-15; (e) SC-0.2-6.
Figure 13. The fitting results of stress-strain: (a) SC-0.1-10; (b) SC-0.2-10; (c) SC-0.3-10; (d) SC-0.2-15; (e) SC-0.2-6.
Minerals 14 00917 g013aMinerals 14 00917 g013b
Figure 14. Schematic representation of deformation analysis for the SCTB model.
Figure 14. Schematic representation of deformation analysis for the SCTB model.
Minerals 14 00917 g014
Figure 15. Stress distribution characteristics in the SCTB combination model at various position.
Figure 15. Stress distribution characteristics in the SCTB combination model at various position.
Minerals 14 00917 g015
Table 1. The chemical constituents of the cement.
Table 1. The chemical constituents of the cement.
ComponentCaOAl2O3Fe2O3SiO2MgOK2ONa2OSO3TiO2LOI
Content (wt. %)64.785.023.1120.341.090.350.102.200.262.75
Table 2. The mix proportions for SCTB samples.
Table 2. The mix proportions for SCTB samples.
Sample IDCement/Tailings (c/t) Ratio of Middle LayerHeight Ratio (h/H)Cement/Tailings (c/t) Ratio of Enhance LayerCuring Age (d)
CTB-201/20 28
CTB-151/15 28
SC-0.1-151/200.11/1528
SC-0.1-101/200.11/1028
SC-0.1-61/200.11/628
SC-0.2-151/200.21/1528
SC-0.2-101/200.21/1028
SC-0.2-61/200.21/628
SC-0.3-151/200.31/1528
SC-0.3-101/200.31/1028
SC-0.3-61/200.31/628
Disclaimer/Publisher’s Note: The statements, opinions and data contained in all publications are solely those of the individual author(s) and contributor(s) and not of MDPI and/or the editor(s). MDPI and/or the editor(s) disclaim responsibility for any injury to people or property resulting from any ideas, methods, instructions or products referred to in the content.

Share and Cite

MDPI and ACS Style

Xu, W.; Zhang, Y.; Chen, W.; Sun, T.; Sang, Y. Mechanical Properties, Failure Modes, and Damage Development of Stratified Cemented Tailings Backfill under Uniaxial Compression. Minerals 2024, 14, 917. https://doi.org/10.3390/min14090917

AMA Style

Xu W, Zhang Y, Chen W, Sun T, Sang Y. Mechanical Properties, Failure Modes, and Damage Development of Stratified Cemented Tailings Backfill under Uniaxial Compression. Minerals. 2024; 14(9):917. https://doi.org/10.3390/min14090917

Chicago/Turabian Style

Xu, Wenbin, Yalun Zhang, Wei Chen, Tong Sun, and Yilin Sang. 2024. "Mechanical Properties, Failure Modes, and Damage Development of Stratified Cemented Tailings Backfill under Uniaxial Compression" Minerals 14, no. 9: 917. https://doi.org/10.3390/min14090917

APA Style

Xu, W., Zhang, Y., Chen, W., Sun, T., & Sang, Y. (2024). Mechanical Properties, Failure Modes, and Damage Development of Stratified Cemented Tailings Backfill under Uniaxial Compression. Minerals, 14(9), 917. https://doi.org/10.3390/min14090917

Note that from the first issue of 2016, this journal uses article numbers instead of page numbers. See further details here.

Article Metrics

Back to TopTop