Dynamical Analysis of a Predator-Prey Model Incorporating Predator Cannibalism and Refuge
Abstract
:1. Introduction
2. Model Development
3. Preliminaries Results
3.1. Existence and Uniqueness
3.2. Nonnegativity
3.3. Boundedness
4. Existence and Local Stability of Equilibrium Points
4.1. The Existence of Equilibrium Points
- 1.
- The point of extinction of both populations, , that always exists in .
- 2.
- The prey extinction point , where . exists in if . This condition shows that even though prey is extinct, predator still survives as long as the rate of cannibalism is greater than the difference between the birth rate of predator due to cannibalism and the death rate of predator.
- 3.
- The predator extinction point , that always exists in since .
- 4.
- The coexistence point , whereif . in (6) is obtained using Cardanos’s formula [25,26] and exists in if the following conditions are met.If , we have the value of and at the point of coexistence as follows.withThe point exists in if
4.2. Local Stability
- (i)
- Equilibrium point is always unstable (saddle node).
- (ii)
- is locally asymtotically stable if and unstable (saddle node) if .
- (iii)
- is locally asymtotically stable if and unstable if .
- (iv)
- is locally asymtotically stable if .
- (i)
- By substituting to (7),and we get the eigen values and . Since is positive, the equilibrium point of is always unstable. If then is source, while if then is saddle.
- (ii)
- The Jacobian matrix (7) for ,has the eigenvalues and . Based on the conditions of existence of , then is negative. is locally asymptotically stable if . While, if then and is unstable (saddle node).
- (iii)
- The Jacobian matrix for predator extinction point isso that the eigenvalues are and . If , then and causes locally asymptotically stable. Otherwise, if and become unstable (saddle node). Besides, by the existence condition of , it is clear that is unstable if exists.
- (iv)
- By substituting to Jacobian matrix (7), we have the Jacobian matrix for ,The determinant and the trace of the matrix are, respectively, given byandSince , then if , we get and , then the coexistence point is locally asymptotically stable. □
5. Global Stability
5.1. Global Stability of
5.2. Global Stability of
5.3. Global Stability of
6. Existence of Forward Bifurcation
- : is the linearization matrix of system (13) around the equilibrium point with β evaluated at 0. Zero is an eigenvalue of and the real parts of the other eigenvalues are negative
- : Matrix has a non-negative right eigenvector and a non-negative left eigenvector corresponding to the zero eigenvalue. Let be the k-th component of andThe local dynamics of (13) around are totally determined by a and b based on the following 4 cases.
- 1.
- , . When , is locally asymptotically stable, and there exists a positive unstable equilibrium. When , is unstable and there exists a negative and local asymptotically stable equilibrium;
- 2.
- , . When , is unstable. When , is locally asymptotically stable and there exists a positive unstable equilibrium;
- 3.
- , . When , is unstable, and there exists a negative unstable equilibrium. When , is locally asymptotically stable and a positive unstable equilibrium appears;
- 4.
- , . When β changes from negative to positive, changes its stability from stable to unstable. Correspondingly a negative unstable equilibrium becomes positive and locally asymptotically stable.
7. Numerical Simulations
7.1. The Impacts of Prey Predation by Predator
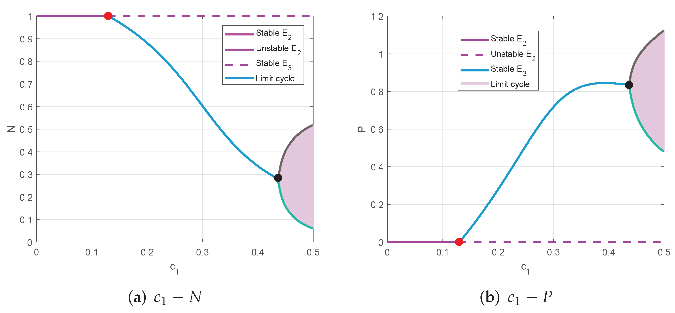
7.2. The Impacts of Conversion Rate of Prey Predation
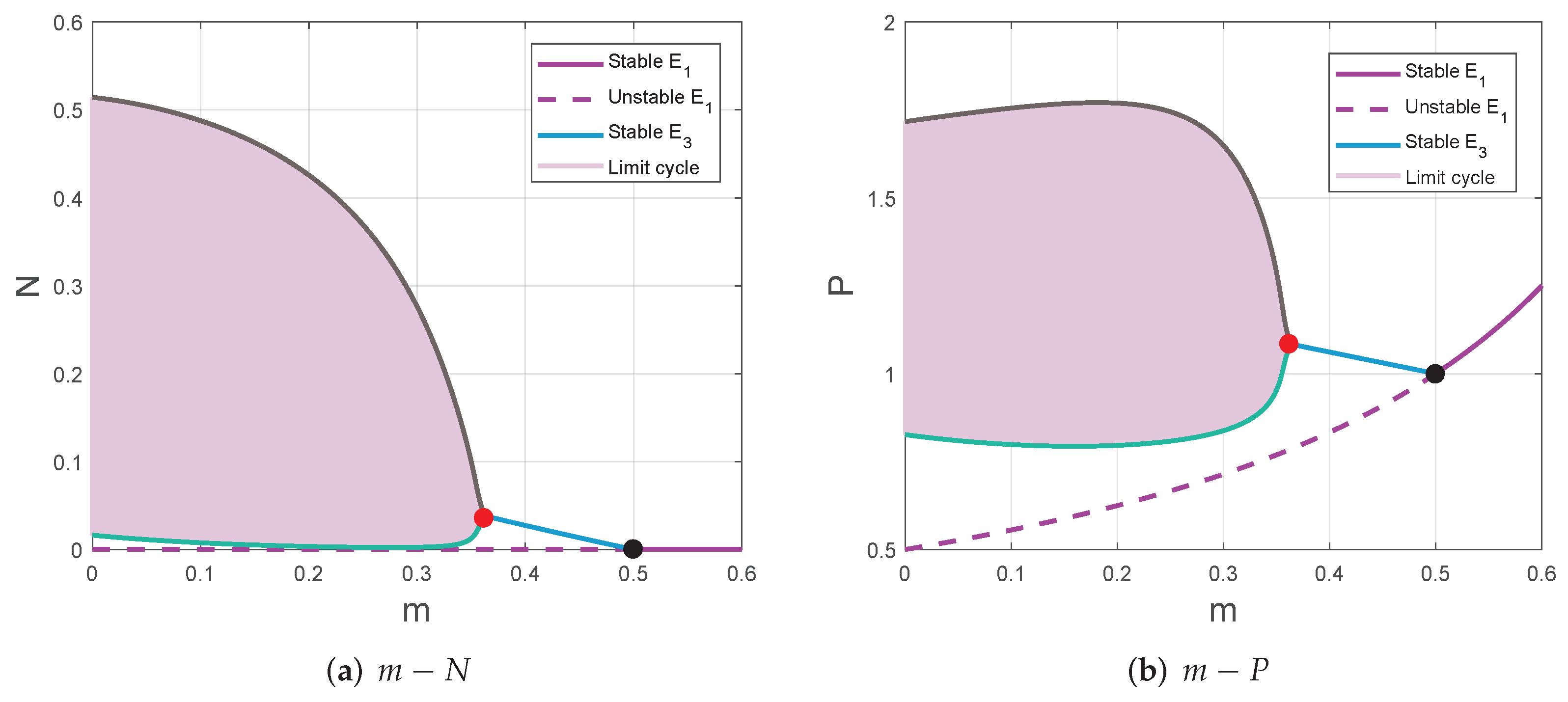
7.3. The Impacts of Predator Cannibalism Rate
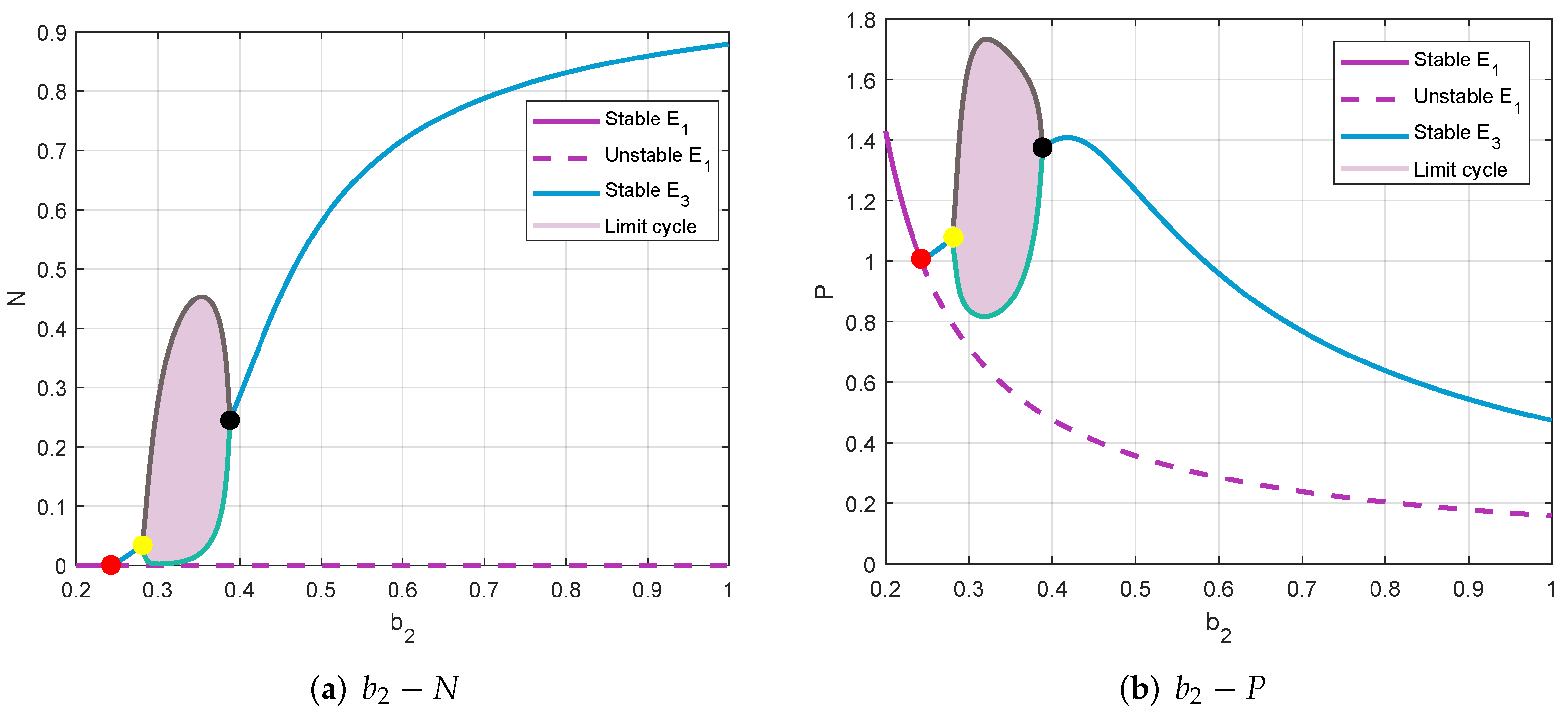
7.4. The Impacts of Predator Refuge from Cannibalism
8. Conclusions
Author Contributions
Funding
Institutional Review Board Statement
Informed Consent Statement
Data Availability Statement
Conflicts of Interest
References
- Fox, L.R. Cannibalism in natural populations. Annu. Rev. Ecol. Evol. Syst. 1975, 6, 87–106. [Google Scholar] [CrossRef]
- Nishikawa, M.; Ferrero, N.; Cheves, S.; Lopez, R.; Kawamura, S.; Fedigan, L.M.; Melin, A.D.; Jack, K.M. Infant cannibalism in wild white-faced capuchin monkeys. Ecol. Evol. 2020, 10, 12679–12684. [Google Scholar] [CrossRef] [PubMed]
- Ye, J.; Li, J. Factors affecting cannibalism by Mallada basalis. Biocontrol Sci. Technol. 2020, 30, 442–450. [Google Scholar] [CrossRef]
- Kang, Y.; Rodriguez-Rodriguez, M.; Evilsizor, S. Ecological and evolutionary dynamics of two-stage models of social insects with egg cannibalism. J. Math. Anal. Appl. 2015, 430, 324–353. [Google Scholar] [CrossRef]
- Zhang, F.; Chen, Y.; Li, J. Dynamical analysis of a stage-structured predator-prey model with cannibalism. Math. Biosci. 2019, 430, 33–41. [Google Scholar] [CrossRef] [PubMed]
- Deng, H.; Chen, F.; Zhu, Z.; Li, Z. Dynamic behaviors of Lotka–Volterra predator–prey model incorporating predator cannibalism. Adv. Differ. Equ. 2019, 1, 1687–1847. [Google Scholar] [CrossRef]
- Richardson, M.L.; Mitchell, R.F.; Reagel, P.F.; Hanks, L.M. Causes and consequences of cannibalism in noncarnivorous insects. Annu. Rev. Entomol. 2010, 55, 39–53. [Google Scholar] [CrossRef] [Green Version]
- Fedurek, P.; Tkaczynski, P.; Asiimwe, C.; Hobaiter, C.; Samuni, L.; Lowe, A.E.; Dijrian, A.G.; Zuberbühler, K.; Wittig, R.M.; Crockford, C. Maternal cannibalism in two populations of wild chimpanzees. Primates 2020, 61, 181–187. [Google Scholar] [CrossRef] [Green Version]
- Muñoz-Saravia, A.; Aguila-Sainz, A.; Zurita-Ugarte, R.; Callapa-Escalera, G.; Janssens, G.P.J. Cannibalism in the high Andean Titicaca Water Frog, Telmatobius culeus Garman, 1875. Amphib. Reptile Conserv. 2020, 14, 156–161. [Google Scholar]
- Frye, M.; Egeland, T.B.; Nordeide, J.T.; Folstad, I. Cannibalism and protective behavior of eggs in Arctic charr (Salvelinus alpinus). Ecol. Evol. 2021, 11, 14383–14391. [Google Scholar] [CrossRef]
- Gonzalvez, M.; Martínez-Carrasco, C.; Sanchez-Zapata, J.A.; Moleon, M. Smart carnivores think twice: Red fox delays scavenging on conspecific carcasses to reduce parasite risk. Appl. Anim. Behav. Sci. 2021, 243, 105462. [Google Scholar] [CrossRef]
- Koltz, A.M.; Wright, J.P. Impacts of female body size on cannibalism and juvenile abundance in a dominant arctic spider. J. Anim. Ecol. 2020, 89, 1788–1798. [Google Scholar] [CrossRef]
- Tavsanoglu, U.N.; Cakiroglu, A.I.; Erdogan, S.; Meerhoff, M.; Jeppesen, E.; Beklioglu, M. Sediments, not plants, offer the preferred refuge for Daphnia against fish predation in Mediterranean shallow lakes: An experimental demonstration. Freshw. Biol. 2012, 57, 795–802. [Google Scholar] [CrossRef]
- Yiu, D.S.; Feehan, C.J. Articulated coralline algae provide a spatial refuge to juvenile sea urchins from predatory crabs. Mar. Biol. 2017, 164, 76. [Google Scholar] [CrossRef]
- Hof, A.R.; Snellenberg, J.; Bright, P.W. Food or fear? Predation risk mediates edge refuging in an insectivorous mammal. Anim. Behav. 2012, 83, 1099–1106. [Google Scholar] [CrossRef]
- Kar, T.K. Stability analysis of a prey–predator model incorporating a prey refuge. Commun. Nonlinear Sci. Numer. Simul. 2005, 10, 681–691. [Google Scholar] [CrossRef]
- Pusawidjayanti, K.; Suryanto, A.; Wibowo, R.B.E. Dynamics of a predator-prey model incorporating prey refuge, predator infection and harvesting. Appl. Math. Sci. 2015, 9, 3751–3760. [Google Scholar] [CrossRef]
- Panigoro, H.S.; Rahmi, E.; Achmad, N.; Mahmud, S.L.; Resmawan, R.; Nuha, A.R. A Discrete-time fractional-order Rosenzweig-MacArthur predator-prey model involving prey refuge. Commun. Math. Biol. Neurosci. 2021, 2021, 77. [Google Scholar]
- Freed, K. Komodo Dragons: Giant Reptiles. Part of Reading A–Z’s “Giants of the Animal World” Series. 2021. Available online: www.readinga-z.com/ (accessed on 20 November 2021).
- Fleming, G.J. Husbandry and medical management of komodo dragons (Varanus komodoensis) at the white oak conservation centre. Proc. Assoc. Reptil. Amphib. Vet. 1997, 1, 15–22. [Google Scholar]
- Syafriansyah, M.G.; Setyawati, T.R.; Yanti, A.H. Karakter morfologi laba-laba yang ditemukan di area hutan Bukit Tanjung Datok Kabupaten Sambas. Protobiont 2016, 5, 19–27. [Google Scholar]
- Eason, R.R. Maternal care as exhibited by wolf spiders. J. Ark. Acad. Sci. 1964, 18, 13–19. [Google Scholar]
- Molla, H.; Sarwardi, S. Dynamics of a predator–prey model with Holling type II functional response incorporating a prey refuge depending on both the species. Int. J. Nonlinear Sci. Numer. Simul. 2019, 20, 89–104. [Google Scholar] [CrossRef]
- Perko, L. Differential Equations and Dynamical Systems, 3rd ed.; Springer: New York, NY, USA, 2001. [Google Scholar]
- Srikanth, G.; Sudheer, G. A note on the solutions of cubic equations of state in low temperature region. J. Mol. Liq. 2020, 315, 113808. [Google Scholar]
- Hafsi, Z. Accurate explicit analytical solution for Colebrook-White equation. Mech. Res. Commun. 2021, 111, 103646. [Google Scholar] [CrossRef]
- Castillo-Chavez, C.; Song, B. Dynamical models of tuberculosis and their applications. Math. Biosci. Eng. 2004, 1, 361–404. [Google Scholar] [CrossRef]








| Parameter | r | K | e | m | ||||||
|---|---|---|---|---|---|---|---|---|---|---|
| Value | 1 | 1 | 0.3/0.4/0.5 | 0.3 | 0.2 | 0.2 | 0.1 | 0.3 | 0.3 | 1 |
| Parameter | r | K | e | m | ||||||
|---|---|---|---|---|---|---|---|---|---|---|
| Value | 1 | 1 | 0.5 | 0.3 | 0.1/0.3/0.5 | 0.2 | 0.3 | 0.3 | 0.3 | 1 |
| Parameter | r | K | e | m | ||||||
|---|---|---|---|---|---|---|---|---|---|---|
| Value | 1 | 1 | 0.3 | 0.3 | 0.2 | 0.12 | 0.02 | 0.2/0.28/0.35/0.5 | 0.3 | 1 |
| Parameter | r | K | e | m | ||||||
|---|---|---|---|---|---|---|---|---|---|---|
| Value | 1 | 1 | 0.3 | 0.3 | 0.2 | 0.2 | 0.1 | 0.3 | 0.2/0.4/0.6 | 1 |
Publisher’s Note: MDPI stays neutral with regard to jurisdictional claims in published maps and institutional affiliations. |
© 2022 by the authors. Licensee MDPI, Basel, Switzerland. This article is an open access article distributed under the terms and conditions of the Creative Commons Attribution (CC BY) license (https://creativecommons.org/licenses/by/4.0/).
Share and Cite
Rayungsari, M.; Suryanto, A.; Kusumawinahyu, W.M.; Darti, I. Dynamical Analysis of a Predator-Prey Model Incorporating Predator Cannibalism and Refuge. Axioms 2022, 11, 116. https://doi.org/10.3390/axioms11030116
Rayungsari M, Suryanto A, Kusumawinahyu WM, Darti I. Dynamical Analysis of a Predator-Prey Model Incorporating Predator Cannibalism and Refuge. Axioms. 2022; 11(3):116. https://doi.org/10.3390/axioms11030116
Chicago/Turabian StyleRayungsari, Maya, Agus Suryanto, Wuryansari Muharini Kusumawinahyu, and Isnani Darti. 2022. "Dynamical Analysis of a Predator-Prey Model Incorporating Predator Cannibalism and Refuge" Axioms 11, no. 3: 116. https://doi.org/10.3390/axioms11030116
APA StyleRayungsari, M., Suryanto, A., Kusumawinahyu, W. M., & Darti, I. (2022). Dynamical Analysis of a Predator-Prey Model Incorporating Predator Cannibalism and Refuge. Axioms, 11(3), 116. https://doi.org/10.3390/axioms11030116

