Investigating the Number of Monte Carlo Simulations for Statistically Stationary Model Outputs
Abstract
1. Introduction
2. Stochastic Model of Unsaturated Soil Slope under Infiltration
3. Random Field Simulation
4. Calculation of Statistical Moments
5. Results and Discussions
5.1. Results of Simulation
5.2. Results of Statistical Moments
6. Conclusions
- It is recommended to use at least 500 samples for Monte Carlo-based probabilistic analysis for geotechnical engineering models, while 1000 samples is a more conservative choice for up to second-moment analysis.
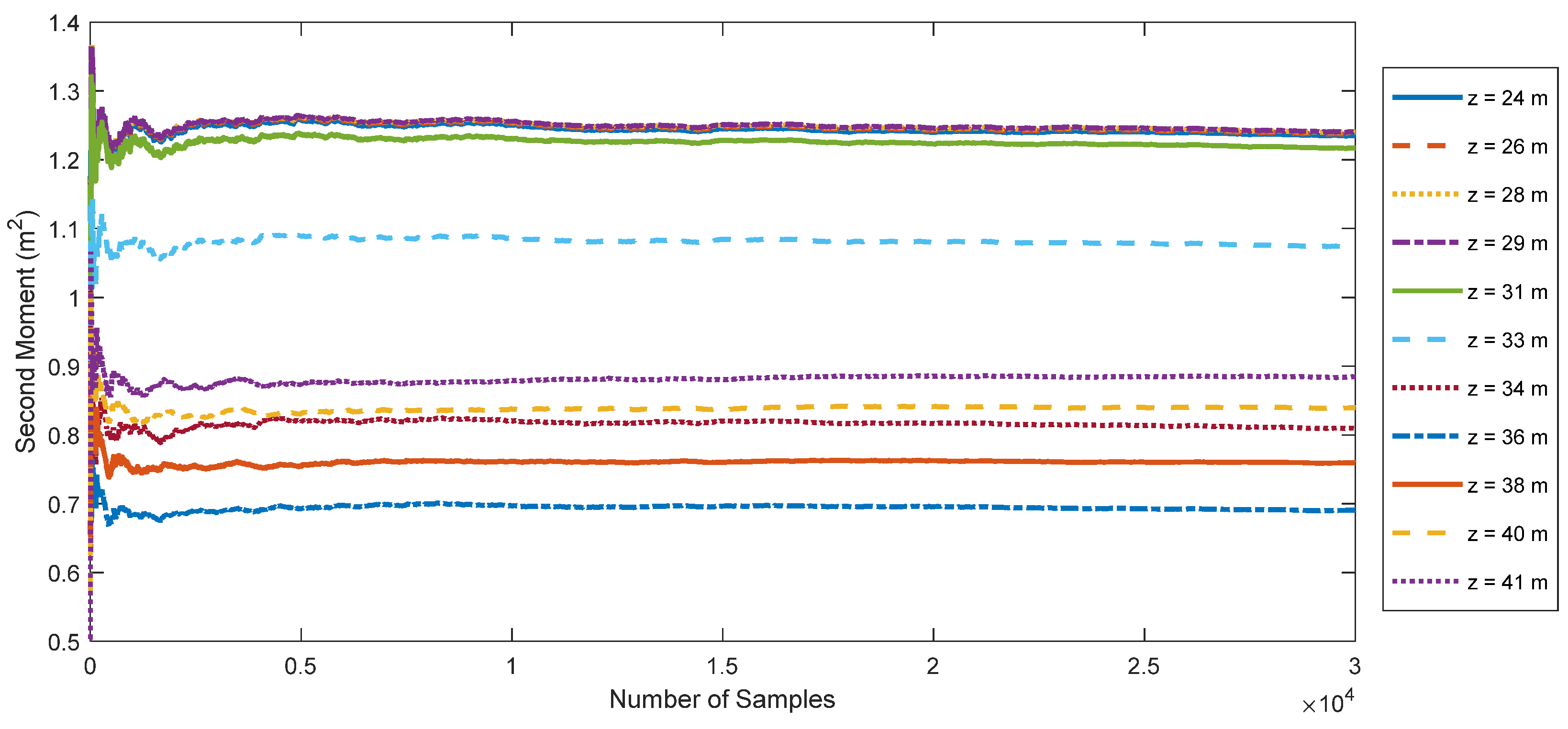
- The pore pressure head in the unsaturated zone experiences less uncertainty, with a variance of around 0.8 m2. The skewness sign is roughly separated by the water table and x = 60 m. The probability density function of the pore pressure head is a leptokurtic distribution.
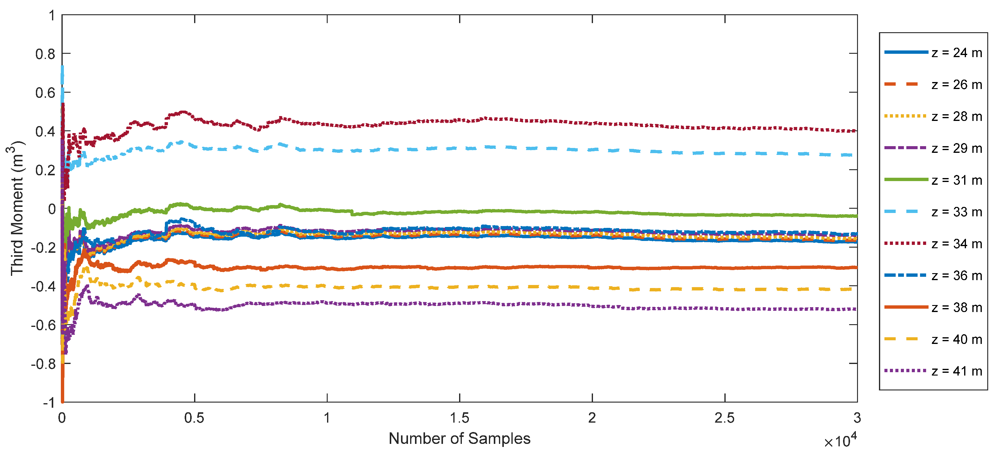
- Significant variations are observed in skewness, which become stationary for all mesh grids when the number of samples exceeds 15,000. It is only when the number of samples reaches 25,000 that the variation in kurtosis stabilizes.
Author Contributions
Funding
Data Availability Statement
Conflicts of Interest
References
- Faes, M.G.; Daub, M.; Marelli, S.; Patelli, E.; Beer, M. Engineering analysis with probability boxes: A review on computational methods. Struct. Saf. 2021, 93, 102092. [Google Scholar] [CrossRef]
- Lee, J.; Park, S.; Lee, J. Estimation of uncertainty for technology evaluation factors via Bayesian neural networks. Axioms 2023, 12, 145. [Google Scholar] [CrossRef]
- Mukhopadhyay, T.; Naskar, S.; Chakraborty, S.; Karsh, P.K.; Choudhury, R.; Dey, S. Stochastic oblique impact on composite laminates: A concise review and characterization of the essence of hybrid machine learning algorithms. Arch. Comput. Methods Eng. 2021, 28, 1731–1760. [Google Scholar] [CrossRef]
- Phoon, K.K.; Kulhawy, F.H. Characterization of geotechnical variability. Can. Geotech. J. 1999, 36, 612–624. [Google Scholar] [CrossRef]
- He, Y.; Hu, K.L.; Huang, Y.F.; Li, B.G.; Chen, D.L. Analysis of the anisotropic spatial variability and three-dimensional computer simulation of agricultural soil bulk density in an alluvial plain of north China. Math. Comput. Model. 2010, 51, 1351–1356. [Google Scholar] [CrossRef]
- Yang, H.Q.; Chen, X.; Zhang, L.; Zhang, J.; Wei, X.; Tang, C. Conditions of hydraulic heterogeneity under which Bayesian estimation is more reliable. Water 2020, 12, 160. [Google Scholar] [CrossRef]
- Jiang, S.H.; Huang, J.; Huang, F.; Yang, J.; Yao, C.; Zhou, C.B. Modelling of spatial variability of soil undrained shear strength by conditional random fields for slope reliability analysis. Appl. Math. Model. 2018, 63, 374–389. [Google Scholar] [CrossRef]
- Moayyeri, N.; Gharehbaghi, S.; Plevris, V. Cost-based optimum design of reinforced concrete retaining walls considering different methods of bearing capacity computation. Mathematics 2019, 7, 1232. [Google Scholar] [CrossRef]
- Du, X.; Chai, J. Stability evaluation of medium soft soil pile slope based on limit equilibrium method and finite element method. Mathematics 2022, 10, 3709. [Google Scholar] [CrossRef]
- Song, L.; Ying, H.; Wang, W.; Fan, N.; Du, X. Reliability modelling of pipeline failure under the impact of submarine slides-copula method. Mathematics 2022, 10, 1382. [Google Scholar] [CrossRef]
- Yang, H.Q.; Yan, Y.; Wei, X.; Shen, Z.; Chen, X. Probabilistic analysis of highly nonlinear models by adaptive sparse polynomial chaos: Transient infiltration in unsaturated soil. Int. J. Comput. Methods 2023, 2350006. [Google Scholar] [CrossRef]
- Xu, H.; He, X.; Sheng, D. Rainfall-induced landslides from initialization to post-failure flows: Stochastic analysis with machine learning. Mathematics 2022, 10, 4426. [Google Scholar] [CrossRef]
- Xu, Y.; Li, H.; Chen, L.; Zhao, J.; Zhang, X. Monte Carlo based isogeometric stochastic finite element method for uncertainty quantization in vibration analysis of piezoelectric materials. Mathematics 2022, 10, 1840. [Google Scholar] [CrossRef]
- Ter-Martirosyan, Z.G.; Ter-Martirosyan, A.Z.; Vanina, Y.V. Mathematical computations of long-term settlement and bearing capacity of soil bases and foundations near vertical excavation pits. Axioms 2022, 11, 679. [Google Scholar] [CrossRef]
- Chwała, M.; Phoon, K.K.; Uzielli, M.; Zhang, J.; Zhang, L.; Ching, J. Time capsule for geotechnical risk and reliability. Georisk Assess. Manag. Risk Eng. Syst. Geohazards 2022, 1–28. [Google Scholar] [CrossRef]
- Fenton, G.A.; Griffiths, D.V. Risk Assessment in Geotechnical Engineering; John Wiley & Sons: New York, NY, USA, 2008. [Google Scholar]
- Zevgolis, I.E.; Bourdeau, P.L. Probabilistic analysis of retaining walls. Comput. Geotech. 2010, 37, 359–373. [Google Scholar] [CrossRef]
- Zhu, H.; Zhang, L.M.; Zhang, L.L.; Zhou, C.B. Two-dimensional probabilistic infiltration analysis with a spatially varying permeability function. Comput. Geotech. 2013, 48, 249–259. [Google Scholar] [CrossRef]
- Peng, X.Y.; Zhang, L.L.; Jeng, D.S.; Chen, L.H.; Liao, C.C.; Yang, H.Q. Effects of cross-correlated multiple spatially random soil properties on wave-induced oscillatory seabed response. Appl. Ocean Res. 2017, 62, 57–69. [Google Scholar] [CrossRef]
- Gong, W.; Juang, C.H.; Martin, J.R., II; Tang, H.; Wang, Q.; Huang, H. Probabilistic analysis of tunnel longitudinal performance based upon conditional random field simulation of soil properties. Tunn. Undergr. Space Technol. 2018, 73, 1–14. [Google Scholar] [CrossRef]
- Liu, Y.; Zhang, W.; Zhang, L.; Zhu, Z.; Hu, J.; Wei, H. Probabilistic stability analyses of undrained slopes by 3D random fields and finite element methods. Geosci. Front. 2018, 9, 1657–1664. [Google Scholar] [CrossRef]
- Chen, X.Y.; Zhang, L.L.; Zhang, L.M.; Yang, H.Q.; Liu, Z.Q.; Lacasse, S.; Li, J.H.; Cao, Z.J. Investigation of impact of submarine landslide on pipelines with large deformation analysis considering spatially varied soil. Ocean Eng. 2020, 216, 107684. [Google Scholar] [CrossRef]
- Shen, Z.; Jin, D.; Pan, Q.; Yang, H.; Chian, S.C. Effect of soil spatial variability on failure mechanisms and undrained capacities of strip foundations under uniaxial loading. Comput. Geotech. 2021, 139, 104387. [Google Scholar] [CrossRef]
- Deng, S.; Yang, H.; Chen, X.; Wei, X. Probabilistic analysis of land subsidence due to pumping by Biot poroelasticity and random field theory. J. Eng. Appl. Sci. 2022, 69, 18. [Google Scholar] [CrossRef]
- Schaffer, J.R.; Kim, M.J. Number of replications required in control chart Monte Carlo simulation studies. Commun. Stat. Simul. Comput. 2007, 36, 1075–1087. [Google Scholar] [CrossRef]
- Koehler, E.; Brown, E.; Haneuse SJ, P. On the assessment of Monte Carlo error in simulation-based statistical analyses. Am. Stat. 2009, 63, 155–162. [Google Scholar] [CrossRef] [PubMed]
- Pokropek, A.; Davidov, E.; Schmidt, P. A Monte Carlo simulation study to assess the appropriateness of traditional and newer approaches to test for measurement invariance. Struct. Equ. Model. A Multidiscip. J. 2019, 26, 724–744. [Google Scholar] [CrossRef]
- Zhang, L.L.; Li, J.; Li, X.; Zhang, J.; Zhu, H. Rainfall-Induced Soil Slope Failure: Stability Analysis and Probabilistic Assessment; CRC Press: Boca Raton, FL, USA, 2018. [Google Scholar]
- Leong, E.C.; Rahardjo, H. Permeability functions for unsaturated soils. J. Geotech. Geoenviron. Eng. 1997, 123, 1118–1126. [Google Scholar] [CrossRef]
- Fredlund, D.G. State of practice for use of the soil-water characteristic curve (SWCC) in geotechnical engineering. Can. Geotech. J. 2019, 56, 1059–1069. [Google Scholar] [CrossRef]
- Yang, H.Q.; Zhang, L.; Li, D.Q. Efficient method for probabilistic estimation of spatially varied hydraulic properties in a soil slope based on field responses: A Bayesian approach. Comput. Geotech. 2018, 102, 262–272. [Google Scholar] [CrossRef]
- Yang, H.Q.; Zhang, L.; Xue, J.; Zhang, J.; Li, X. Unsaturated soil slope characterization with Karhunen–Loève and polynomial chaos via Bayesian approach. Eng. Comput. 2019, 35, 337–350. [Google Scholar] [CrossRef]










| Parameters | Definition | Value | Unit |
|---|---|---|---|
| q | Vertical flux | 2 × 10−7 | m/s |
| θs | Saturated volumetric water content | 0.4 | |
| af | SWCC parameter | 5 | |
| nf | SWCC parameter | 2 | |
| mf | SWCC parameter | 1 | |
| b | Permeability function parameter | 3 | |
| μks | Mean of ks | 2 × 10−5 | m/s |
| σks | Standard deviation of ks | 1.6 × 10−5 | m/s |
| lx | Correlation length in horizontal direction | 50 | m |
| lz | Correlation length in vertical direction | 10 | m |
Disclaimer/Publisher’s Note: The statements, opinions and data contained in all publications are solely those of the individual author(s) and contributor(s) and not of MDPI and/or the editor(s). MDPI and/or the editor(s) disclaim responsibility for any injury to people or property resulting from any ideas, methods, instructions or products referred to in the content. |
© 2023 by the authors. Licensee MDPI, Basel, Switzerland. This article is an open access article distributed under the terms and conditions of the Creative Commons Attribution (CC BY) license (https://creativecommons.org/licenses/by/4.0/).
Share and Cite
Zhang, J.; Cui, S. Investigating the Number of Monte Carlo Simulations for Statistically Stationary Model Outputs. Axioms 2023, 12, 481. https://doi.org/10.3390/axioms12050481
Zhang J, Cui S. Investigating the Number of Monte Carlo Simulations for Statistically Stationary Model Outputs. Axioms. 2023; 12(5):481. https://doi.org/10.3390/axioms12050481
Chicago/Turabian StyleZhang, Jiahang, and Shengai Cui. 2023. "Investigating the Number of Monte Carlo Simulations for Statistically Stationary Model Outputs" Axioms 12, no. 5: 481. https://doi.org/10.3390/axioms12050481
APA StyleZhang, J., & Cui, S. (2023). Investigating the Number of Monte Carlo Simulations for Statistically Stationary Model Outputs. Axioms, 12(5), 481. https://doi.org/10.3390/axioms12050481
