Parameter Estimation of the Lomax Lifetime Distribution Based on Middle-Censored Data: Methodology, Applications, and Comparative Analysis
Abstract
1. Introduction
2. Model Description
2.1. Lomax Distribution
2.2. The Middle-Censoring Model of Lomax
3. Frequentist Estimation
3.1. Maximum Likelihood Estimation
3.2. Expectation–Maximization Algorithm
| Algorithm 1: EM Algorithm for parameter estimation. |
|
3.3. Midpoint Approach Estimation
3.3.1. The Newton–Raphson Iteration Method for Solving Under the MPA Estimation
3.3.2. The Fixed-Point Method for Solving Under the MPA Estimation
3.4. The Estimation of Asymptotic Confidence Interval
4. Bayes Estimation
4.1. The Posterior Distribution of the Parameters of the Lomax Distribution Under Middle-Censoring
4.2. The Bayesian Estimation of the Shape Parameter Based on Gibbs Sampling When the Scale Parameter Is Known
| Algorithm 2: Gibbs sampling method for estimating shape parameter . |
|
5. Simulation Experiments and Real Data Analysis
5.1. Analysis of Simulation Experiments
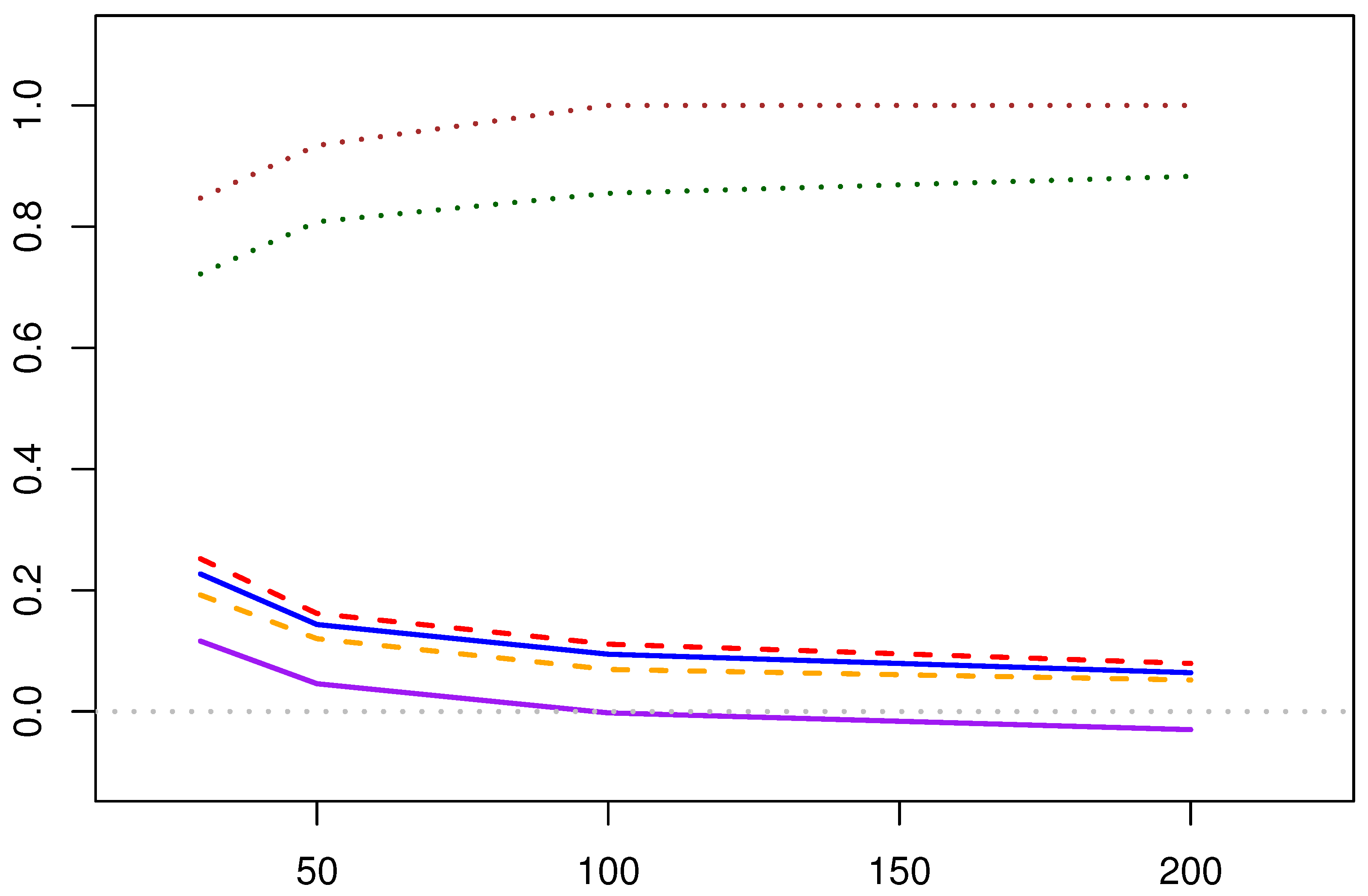
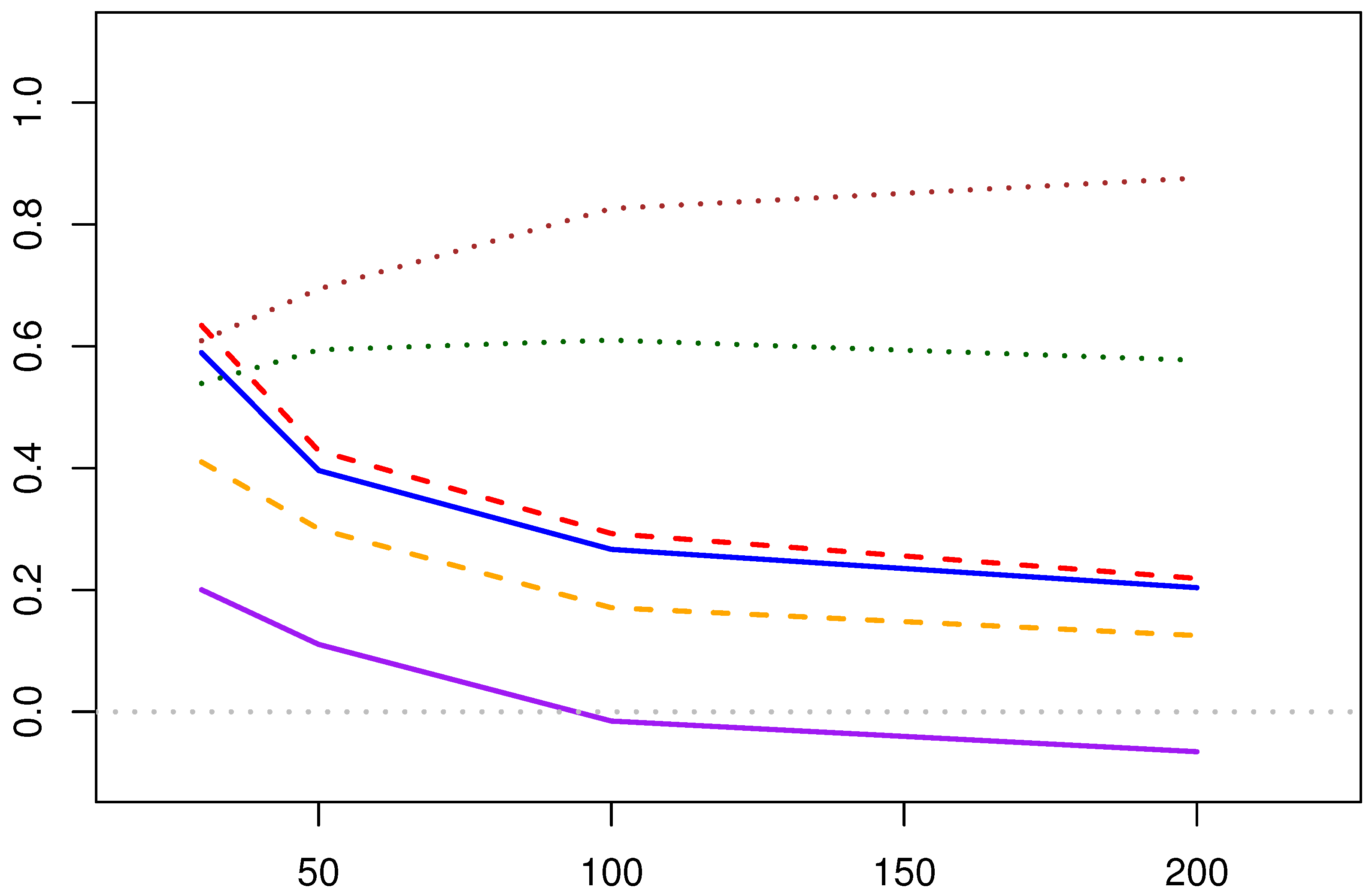
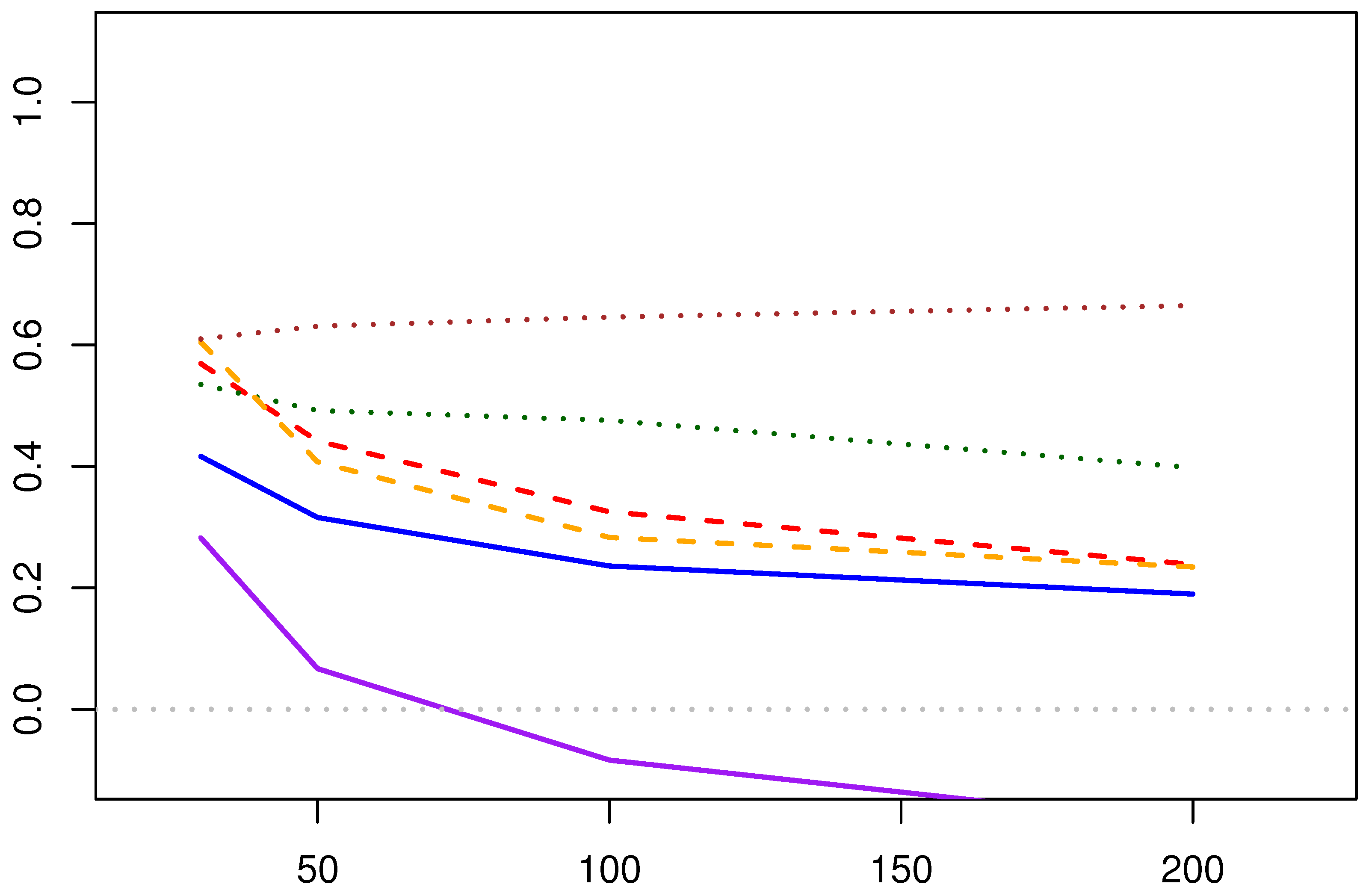
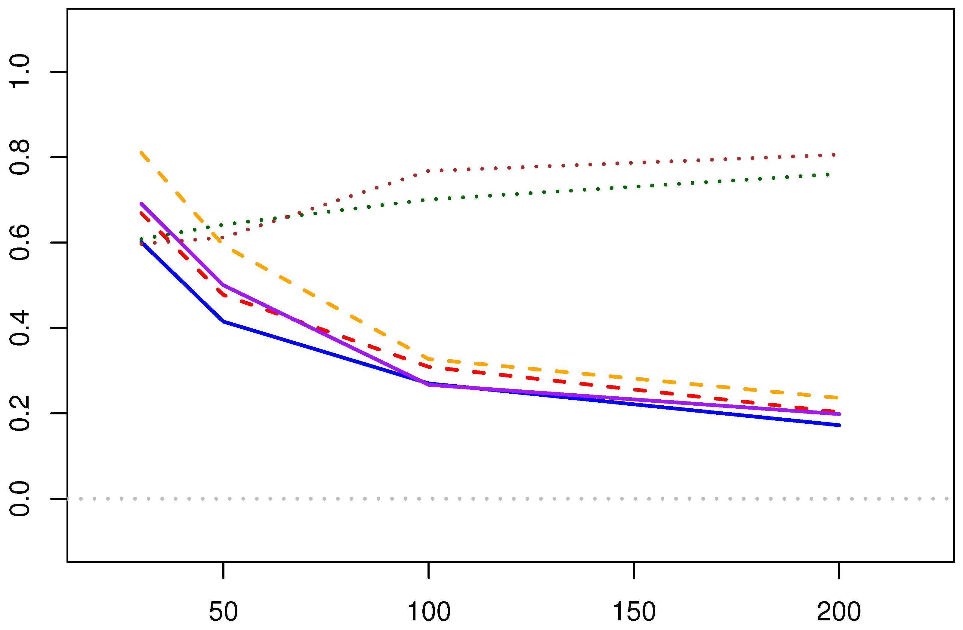
5.1.1. Analysis of the Solution Methods for MPA Estimation
- Computational Efficiency: The Newton–Raphson iteration method optimizes the two parameters by iterating the negative log-likelihood function, yielding the estimation results. The fixed-point estimation method, by incorporating the relationship between the two parameters of the Lomax distribution, simplifies the optimization process. In terms of computational efficiency, the fixed-point method is relatively more efficient.
- Point Estimation Results:
- (1)
- As the sample size increases, the linear and absolute errors of both estimation methods decrease correspondingly (applicable to both the shape and scale parameters). When the sample size reaches a certain level, the trend of error reduction slows down. Therefore, it can be seen that in practical applications, a moderate number of sample points can yield satisfactory estimation results. Sampling too many points increases the workload while providing limited improvement in the accuracy of the estimation results.
- (2)
- Compared with the results of the three sets of parameters, the Newton–Raphson iteration method of the MPA estimation methods overall outperforms the fixed-point solution, especially in the estimation of the shape parameter , where its advantage is more pronounced.
- (3)
- The estimation of scale parameter is not as good as that of shape parameter .
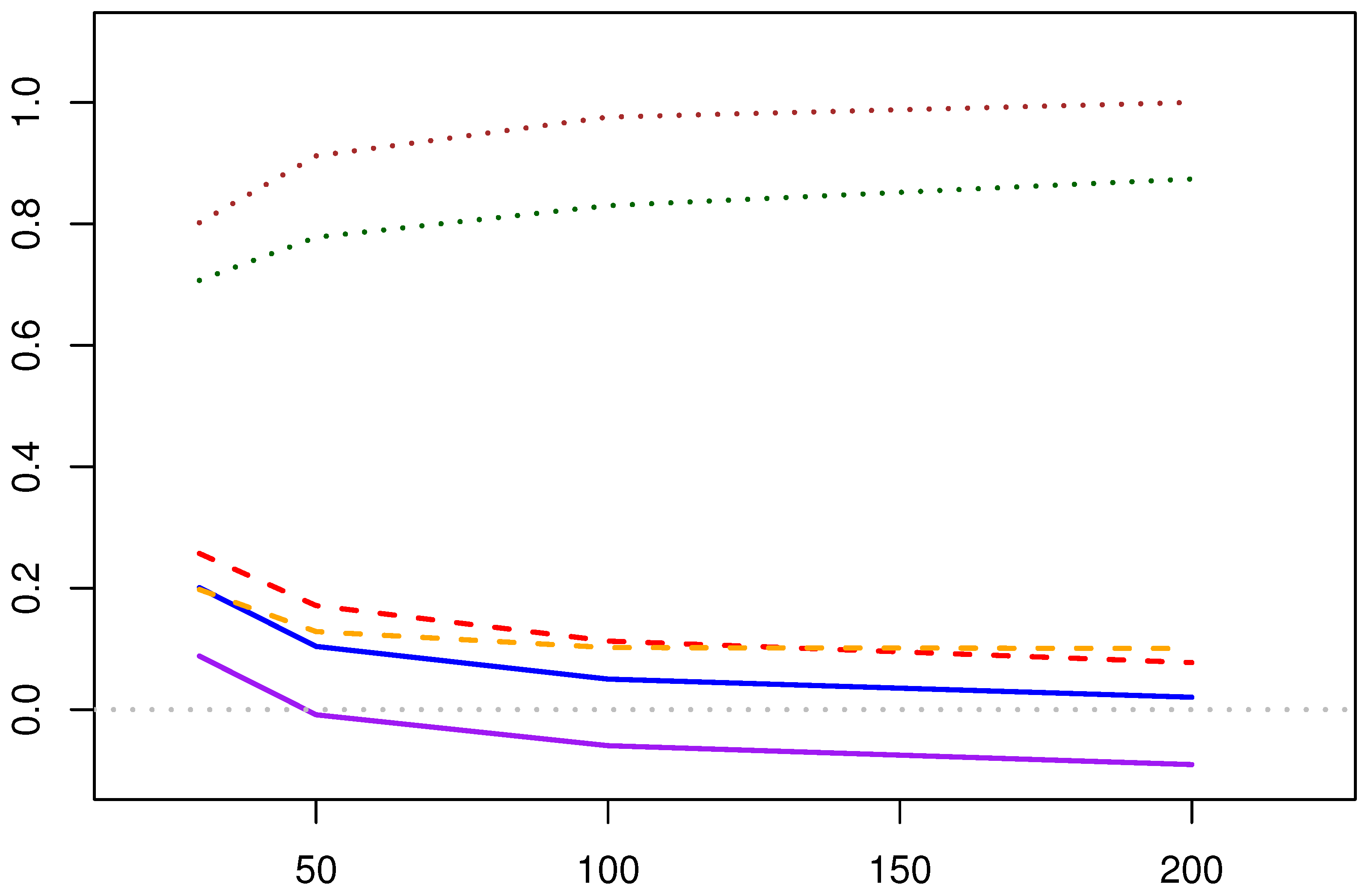
- Interval Estimation Results:
- (1)
- The coverage rate of the confidence intervals for the two parameters in the Newton–Raphson iteration method increases with the increase of the initial sample size. The coverage rate of the confidence interval for the shape parameter is particularly satisfactory. However, for the fixed-point estimation method, there is a situation where the confidence interval coverage rate decreases as the amount of data increases, which is speculated to be due to the interval estimation itself not being suitable for application to the fixed-point estimation method.
- (2)
- The Newton–Raphson iteration method of the MPA estimation methods generally yields better coverage rates for the confidence intervals compared to the fixed-point estimation method.
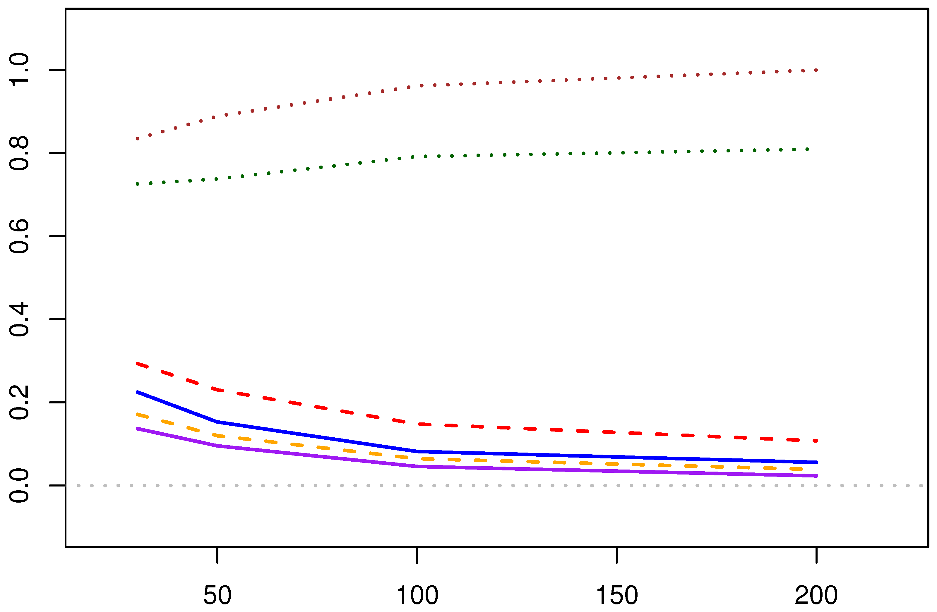
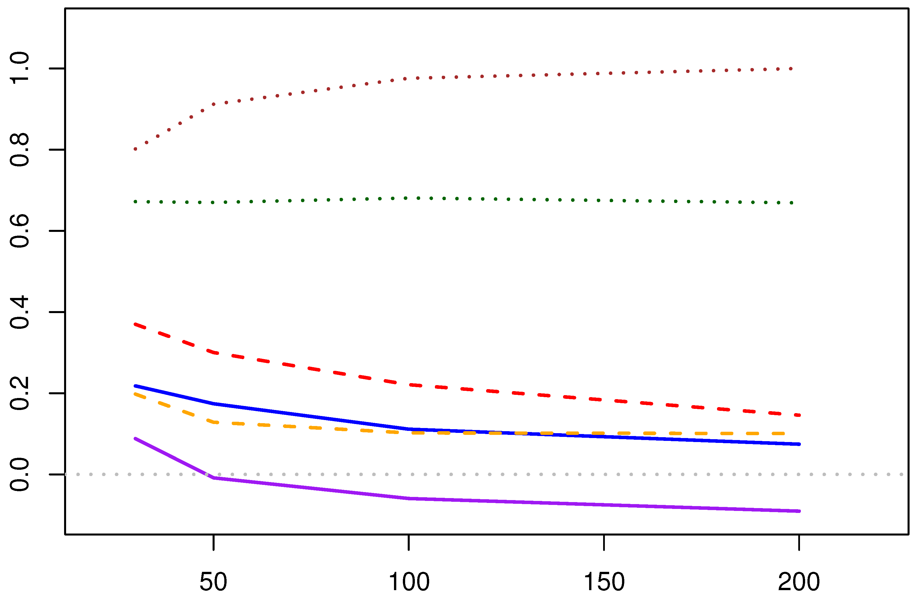
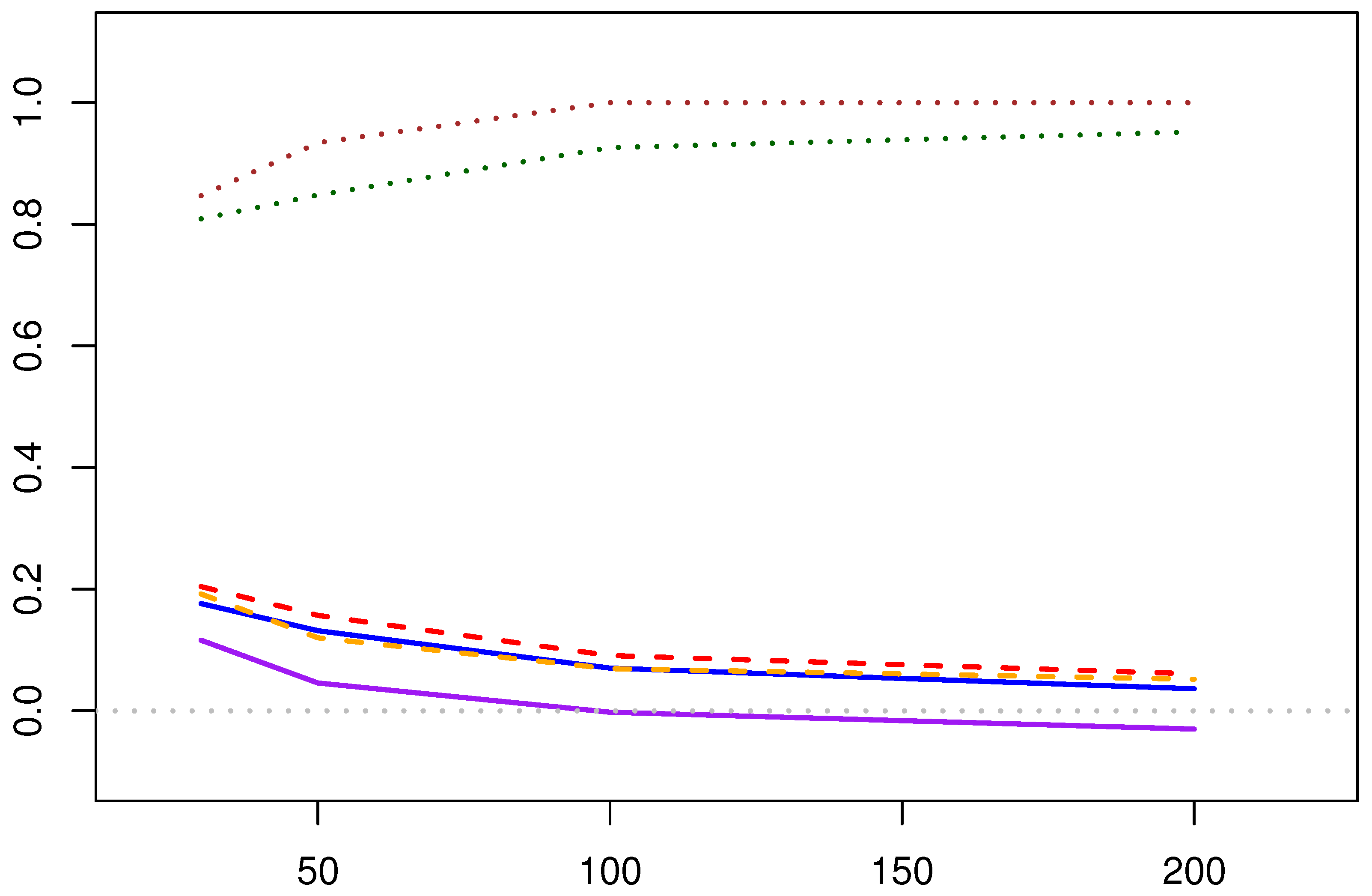
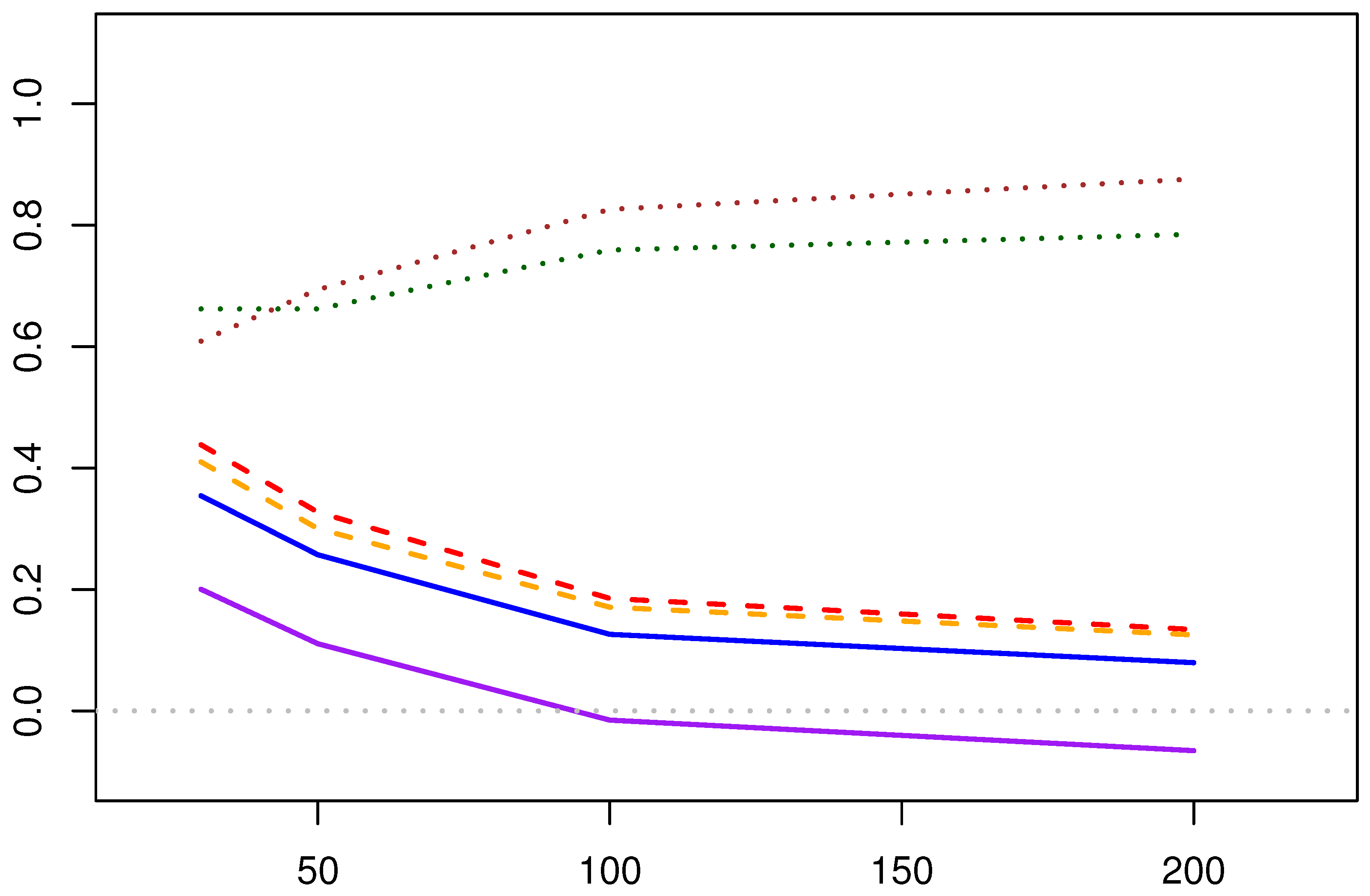
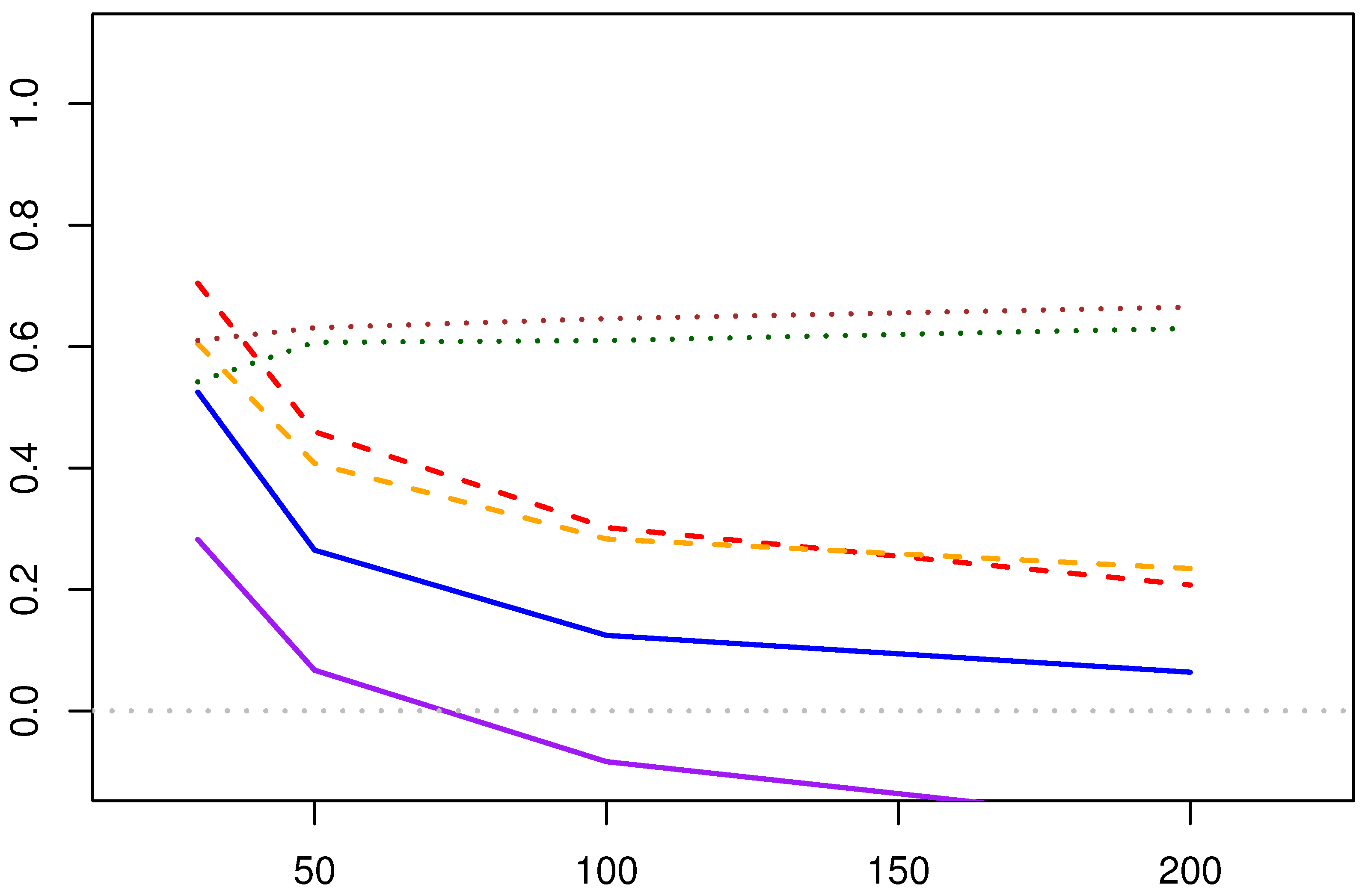
5.1.2. Comparison of the EM Algorithm and MPA Estimation
- Computational Efficiency: As can be seen from Table 6, the Newton–Raphson solution for MPA estimation runs faster than the EM algorithm. This is because MPA does not require iteration over the samples, whereas the EM algorithm needs to perform sample iteration and integration operations.
- Point Estimation Results:
- (1)
- Both the maximum likelihood estimates obtained by the EM algorithm and the MPA estimates obtained by the Newton–Raphson method show significant bias when the sample size is small, but achieve higher accuracy when the sample size is large.
- (2)
- In terms of estimating the shape parameter, the two estimation methods have similar estimation errors overall. However, when estimating the scale parameter, the EM algorithm provides more accurate results with smaller errors.
- Interval Estimation Results:
- (1)
- In terms of confidence interval coverage, the confidence interval coverage of shape parameter by both algorithms is inferior to the confidence interval coverage of shape parameter estimates. It is speculated that the nature of the scale parameter causes this phenomenon.
- (2)
- As the amount of data increases, the confidence interval coverage of the estimated results of both methods increases.
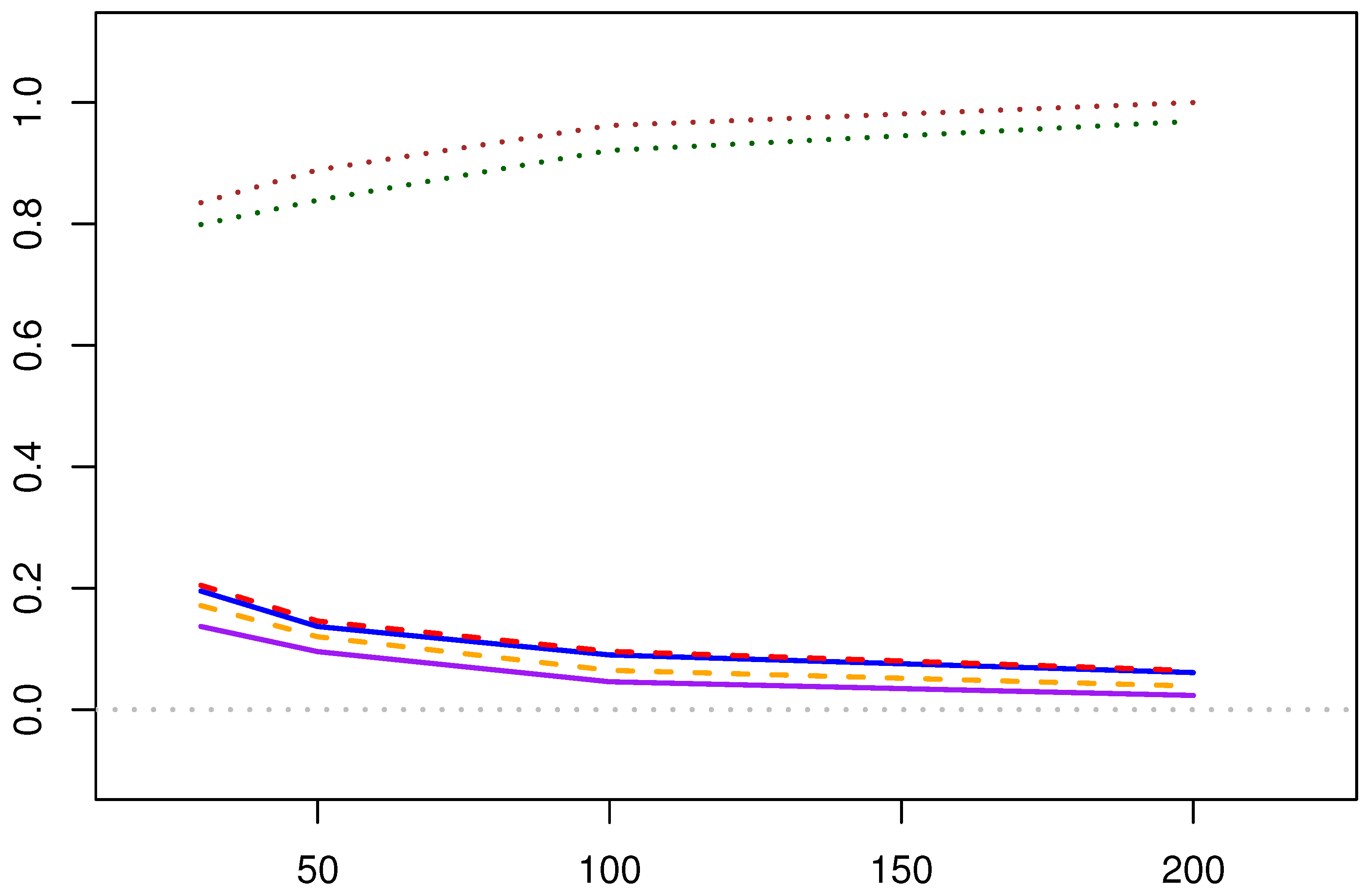
5.1.3. Bayesian Estimation Results for the Shape Parameter
5.2. Real Data Analysis
5.2.1. COVID-19 Datasets
5.2.2. Global Extreme Weather and Climate Disaster Event Loss Datasets
6. Summary and Future Prospects for Parameter Estimation of Lomax Distribution Under Middle-Censoring Data
- In this paper, the details of EM algorithm for estimating two unknown parameters of Lomax distribution in middle-censored data are presented, and the results are verified by simulation experiments.
- We propose two computational methods for parameter estimation after processing data using the Midpoint Approximation Method (MPA): the Newton–Raphson iteration method and the fixed-point method.
- We calculate the ACIs for the two parameters in the middle-censored data, and take the covering probability of the confidence interval as one of the criteria to evaluate the estimation performance. The effectiveness of each estimation method is tested, and the applicability of the asymptotic confidence interval under intermediate censored data is also evaluated.
- In the Bayesian estimation framework, we specifically estimate the shape parameter under middle-censoring using the Gamma prior distribution and the Gibbs sampling method, achieving satisfactory estimation results.
- Through experiments with both simulated and real data, we validate the effectiveness and applicability of the proposed methods.
- (1)
- This paper only experiments with data where the middle-censoring endpoints follow an exponential distribution, without discussing the impact of different distributions of the censoring interval endpoints on estimation, such as the Weibull distribution, uniform distribution, etc. Most of the current research on middle-censoring focuses on endpoints that follow an exponential distribution. Not only for the Lomax distribution, but also for other distributions, the study of different distributions of the endpoints of middle-censoring intervals holds research value.
- (2)
- In Bayesian estimation, we only discuss the estimation of the shape parameter when the scale parameter is known. However, in practice, it is rare to encounter situations where only one parameter needs to be estimated. Therefore, the Bayesian estimation of both parameters is an important issue that needs to be addressed in the future. Additionally, our Bayesian estimation only considers the Gamma distribution as the prior distribution, without discussing other types of prior distributions, such as non-informative priors or Jeffreys priors.
- (3)
- In simulation experiments, the estimation of confidence intervals is affected by the randomness of generating and censoring data, leading to situations where confidence intervals cannot be calculated. Therefore, the calculation of confidence interval coverage is based on the premise of generating middle-censored data for which progressive confidence intervals can be calculated. Another problem is that the asymptotic confidence interval coverage of scale parameters in simulation experiments is not high, which may be related to the nature of the parameters and the insufficient amount of data required for asymptotic confidence interval calculation. To address these interval estimation-related issues, Monte Carlo simulation can be considered to estimate confidence intervals in the future, or modified asymptotic confidence intervals can be adopted.
- (4)
- Regarding the existence and uniqueness of the maximum likelihood estimation solution for the parameters of the Lomax distribution under middle-censored data, this paper does not provide theoretical proof due to the complexity of the formulas. Future research needs to continue exploring the parameter estimation problems for related distributions under middle-censored data to further improve research in this area.
- (5)
- The EM algorithm has achieved good results in parameter estimation for the Lomax distribution under middle-censored data. However, during its operation, the issue of long computational time has arisen. In future research, the EM algorithm can be optimized through methods such as optimizing initial parameters, changing convergence criteria, and parallel computing. This will increase its computational speed while ensuring its accuracy.
Author Contributions
Funding
Data Availability Statement
Conflicts of Interest
Appendix A
References
- Leiderman, P.H.; Babu, B.; Kagia, J.; Kraemer, H.C.; Leiderman, G.F. African Infant Precocity and Some Social Influences during the First Year. Nature 1973, 242, 247–249. [Google Scholar] [CrossRef] [PubMed]
- Groeneboom, P.; Wellner, J.A. Information Bounds and Nonparametric Maximum Likelihood Estimation; Birkhäuser: Basel, Switzerland, 1992; Volume 19. [Google Scholar]
- Schick, A.; Yu, Q. Consistency of the GMLE with Mixed Case Interval-Censored Data. Scand. J. Stat. 2000, 27, 45–55. [Google Scholar] [CrossRef]
- Huang, J. Asymptotic properties of nonparametric estimation based on partly interval-censored data. Stat. Sin. 1999, 9, 501–520. [Google Scholar]
- Jammalamadaka, S.R.; Mangalam, V. Nonparametric estimation for middle-censored data. J. Nonparametr. Stat. 2003, 15, 253–265. [Google Scholar] [CrossRef]
- Jammalamadaka, S.R.; Iyer, S.K. Approximate self-consistency for middle-censored data. J. Stat. Plan. Inference 2004, 124, 75–86. [Google Scholar] [CrossRef]
- Yu, Q.Q.; Wong, G.Y.C.; Li, L.X. Asymptotic properties of self-consistent estimators with mixed interval-censored data. Ann. Inst. Stat. Math. 2001, 53, 469–486. [Google Scholar] [CrossRef]
- Iyer, S.K.; Jammalamadaka, S.R.; Kundu, D. Analysis of middle-censored data with exponential lifetime distributions. J. Stat. Plan. Inference 2008, 138, 3550–3560. [Google Scholar] [CrossRef][Green Version]
- Bennett, N.A. Some Contributions to Middle-Censoring. Ph.D. Thesis, University of California, Santa Barbara, CA, USA, 2011; p. 3473719. Available online: https://www.proquest.com/dissertations-theses/some-contributions-middle-censoring/docview/896352567/se-2 (accessed on 1 June 2011).
- Yan, W.; Yimin, S.; Min, W. Statistical inference for dependence competing risks model under middle censoring. J. Syst. Eng. Electron. 2019, 30, 209–222. [Google Scholar] [CrossRef]
- Jammalamadaka, S.R.; Leong, E. Analysis of discrete lifetime data under middle-censoring and in the presence of covariates. J. Appl. Stat. 2015, 42, 905–913. [Google Scholar] [CrossRef]
- Lomax, K.S. Business failure: Another example of the analysis of the failure data. J. Am. Stat. Assoc. 1954, 49, 847–852. [Google Scholar] [CrossRef]
- Lun, Z.; Khattree, R. An overlooked Lomax-exponential connection. Commun. Stat.–Theory Methods 2022, 51, 26–28. [Google Scholar] [CrossRef]
- Aljohani, H.M. Estimation for the P(X > Y) of Lomax distribution under accelerated life tests. Heliyon 2024, 10, e25802. [Google Scholar] [CrossRef]
- Alsuhabi, H.; Alkhairy, I.; Almetwally, E.M.; Almongy, H.M.; Gemeay, A.M.; Hafez, E.H.; Aldallal, R.A.; Sabry, M. A superior extension for the Lomax distribution with application to COVID-19 infections real data. Alex. Eng. J. 2022, 61, 11077–11090. [Google Scholar] [CrossRef]
- Cramer, E.; Schmiedt, A.B. Progressively Type-II censored competing risks data from Lomax distributions. Comput. Stat. Data Anal. 2011, 55, 1285–1303. [Google Scholar] [CrossRef]
- Alfaer, N.M.; Aljohani, H.M. Balanced joint progressively hybrid Type-I censoring samples in estimating the lifetime Lomax distributions. Complexity 2021, 2021, 9929691. [Google Scholar] [CrossRef]
- El-Sherpieny, E.S.A.; Almetwally, E.M.; Muhammed, H.Z. Progressive Type-II hybrid censored schemes based on maximum product spacing with application to Power Lomax distribution. Phys. A Stat. Mech. Its Appl. 2020, 553, 124251. [Google Scholar] [CrossRef]
- Hasaballah, M.M.; Balogun, O.S.; Bakr, M.E. Non-Bayesian and Bayesian estimation for Lomax distribution under randomly censored with application. AIP Adv. 2024, 14, 025318. [Google Scholar] [CrossRef]
- Davarzani, N.; Parsian, A. Statistical inference for discrete middle-censored data. J. Stat. Plan. Inference 2011, 141, 1455–1462. [Google Scholar] [CrossRef]
- Giles, D.E.A.; Feng, H.; Godwin, R.T. On the Bias of the Maximum Likelihood Estimator for the Two-Parameter Lomax Distribution. Commun.-Stat.–Theory Methods 2013, 42, 1934–1950. [Google Scholar] [CrossRef]
- Dempster, A.P.; Laird, N.M.; Rubin, D.B. Maximum likelihood from incomplete data via the EM algorithm. J. R. Stat. Soc. Ser. B (Methodol.) 1977, 39, 1–22. [Google Scholar] [CrossRef]
- Wu, C.F.J. On the convergence properties of the EM algorithm. Ann. Stat. 1983, 11, 95–103. [Google Scholar] [CrossRef]
- Asl, M.N.; Belaghi, R.A.; Bevrani, H. Classical and Bayesian inferential approaches using Lomax model under progressively Type-I hybrid censoring. J. Comput. Appl. Math. 2018, 343, 397–412. [Google Scholar] [CrossRef]
- Turkson, A.; Ayiah-Mensah, F.; Nimoh, V. Handling censoring and censored data in survival analysis: A standalone systematic literature review. Int. J. Math. Math. Sci. 2021, 2021, 9307475. [Google Scholar] [CrossRef]
- Buzaridah, M.M.; Ramadan, D.A.; El-Desouky, B.S. Estimation of some lifetime parameters of flexible reduced logarithmic-inverse Lomax distribution under progressive Type-II censored data. J. Math. 2022, 2022, 1690458. [Google Scholar] [CrossRef]
- Okasha, H.; Lio, Y.; Albassam, M. On reliability estimation of Lomax distribution under adaptive Type-I progressive hybrid censoring scheme. Mathematics 2021, 9, 2903. [Google Scholar] [CrossRef]
- Kundu, D. Bayesian inference and life testing plan for the Weibull distribution in presence of progressive censoring. Technometrics 2008, 50, 144–154. [Google Scholar] [CrossRef]
- Yang, S.N. Global Extreme Weather and Climate Disaster Loss Dataset (2000–2021). 2023. Available online: https://data.casearth.cn/dataset/65388536819aec0f26f4c93a (accessed on 27 May 2023).



















| n | Fixed-Point Estimation | Newton–Raphson Iteration | |||||||
|---|---|---|---|---|---|---|---|---|---|
| Bias | MAE | OR | Bias | MAE | OR | ||||
| (0.7, 0.7) | 30 | 0.2269 | 0.2520 | 0.722 | 0.060 | 0.1161 | 0.1922 | 0.847 | 0.048 |
| 50 | 0.1435 | 0.1617 | 0.808 | 0.057 | 0.0458 | 0.1201 | 0.934 | 0.044 | |
| 100 | 0.0945 | 0.1111 | 0.855 | 0.037 | −0.0022 | 0.0694 | 1.000 | 0.037 | |
| 200 | 0.0640 | 0.0793 | 0.883 | 0.021 | −0.0300 | 0.0520 | 1.000 | 0.025 | |
| (0.6, 0.9) | 30 | 0.2249 | 0.2935 | 0.726 | 0.076 | 0.1369 | 0.1713 | 0.835 | 0.090 |
| 50 | 0.1530 | 0.2304 | 0.738 | 0.046 | 0.0955 | 0.1200 | 0.889 | 0.056 | |
| 100 | 0.0820 | 0.1481 | 0.792 | 0.039 | 0.0459 | 0.0647 | 0.962 | 0.053 | |
| 200 | 0.0558 | 0.1076 | 0.810 | 0.020 | 0.0234 | 0.0388 | 1.000 | 0.057 | |
| (0.8, 1.1) | 30 | 0.2181 | 0.3698 | 0.672 | 0.083 | 0.0882 | 0.1978 | 0.802 | 0.072 |
| 50 | 0.1741 | 0.3003 | 0.670 | 0.057 | −0.0085 | 0.1285 | 0.912 | 0.061 | |
| 100 | 0.1114 | 0.2210 | 0.681 | 0.037 | −0.0594 | 0.1022 | 0.976 | 0.029 | |
| 200 | 0.0744 | 0.1459 | 0.669 | 0.033 | −0.0905 | 0.1007 | 1.000 | 0.016 | |
| n | Fixed-Point Estimation | Newton–Raphson Iteration | |||||||
|---|---|---|---|---|---|---|---|---|---|
| Bias | MAE | OR | Bias | MAE | OR | ||||
| (0.7, 0.7) | 30 | 0.5895 | 0.6341 | 0.539 | 0.065 | 0.2003 | 0.4101 | 0.609 | 0.080 |
| 50 | 0.3961 | 0.4285 | 0.594 | 0.050 | 0.1106 | 0.3002 | 0.694 | 0.040 | |
| 100 | 0.2666 | 0.2926 | 0.610 | 0.036 | −0.0152 | 0.1708 | 0.826 | 0.033 | |
| 200 | 0.2037 | 0.2189 | 0.577 | 0.026 | −0.0655 | 0.1252 | 0.876 | 0.015 | |
| (0.6, 0.9) | 30 | 0.3997 | 0.4677 | 0.613 | 0.080 | 0.6912 | 0.8105 | 0.597 | 0.086 |
| 50 | 0.2740 | 0.3412 | 0.617 | 0.063 | 0.5002 | 0.5937 | 0.612 | 0.059 | |
| 100 | 0.1974 | 0.2498 | 0.567 | 0.027 | 0.2670 | 0.3272 | 0.768 | 0.049 | |
| 200 | 0.1375 | 0.1704 | 0.567 | 0.028 | 0.1984 | 0.2361 | 0.806 | 0.043 | |
| (0.8, 1.1) | 30 | 0.4165 | 0.5693 | 0.535 | 0.075 | 0.2823 | 0.6048 | 0.610 | 0.076 |
| 50 | 0.3160 | 0.4418 | 0.492 | 0.059 | 0.0670 | 0.4076 | 0.631 | 0.054 | |
| 100 | 0.2361 | 0.3253 | 0.476 | 0.051 | −0.0836 | 0.2831 | 0.646 | 0.030 | |
| 200 | 0.1899 | 0.2386 | 0.398 | 0.037 | −0.1890 | 0.2345 | 0.665 | 0.037 | |
| (0.7, 0.7) | (0.6, 0.9) | (0.8, 1.1) | ||||
|---|---|---|---|---|---|---|
| FP | NR | FP | NR | FP | NR | |
| 30 | 0.00143 | 0.00259 | 0.00264 | 0.00266 | 0.00295 | 0.00235 |
| 50 | 0.00166 | 0.00374 | 0.00168 | 0.00365 | 0.00200 | 0.00267 |
| 100 | 0.00190 | 0.00508 | 0.00183 | 0.00563 | 0.00248 | 0.00396 |
| 200 | 0.00247 | 0.00748 | 0.00272 | 0.00935 | 0.00277 | 0.00713 |
| n | EM Algorithm | Newton–Raphson Iteration | |||||||
|---|---|---|---|---|---|---|---|---|---|
| Bias | MAE | OR | Bias | MAE | OR | ||||
| (0.7, 0.7) | 30 | 0.1764 | 0.2043 | 0.809 | 0.071 | 0.1161 | 0.1922 | 0.847 | 0.048 |
| 50 | 0.1318 | 0.1570 | 0.848 | 0.046 | 0.0458 | 0.1201 | 0.934 | 0.044 | |
| 100 | 0.0703 | 0.0910 | 0.926 | 0.032 | −0.0022 | 0.0694 | 1.000 | 0.037 | |
| 200 | 0.0363 | 0.0609 | 0.952 | 0.022 | −0.0300 | 0.0520 | 1.000 | 0.025 | |
| (0.6, 0.9) | 30 | 0.1953 | 0.2047 | 0.799 | 0.074 | 0.1369 | 0.1713 | 0.835 | 0.090 |
| 50 | 0.1369 | 0.1459 | 0.839 | 0.044 | 0.0955 | 0.1200 | 0.889 | 0.056 | |
| 100 | 0.0901 | 0.0960 | 0.921 | 0.038 | 0.0459 | 0.0647 | 0.962 | 0.053 | |
| 200 | 0.0610 | 0.0642 | 0.969 | 0.026 | 0.0234 | 0.0388 | 1.000 | 0.057 | |
| (0.8, 1.1) | 30 | 0.2008 | 0.2572 | 0.707 | 0.074 | 0.0882 | 0.1978 | 0.802 | 0.072 |
| 50 | 0.1041 | 0.1713 | 0.778 | 0.058 | −0.0085 | 0.1285 | 0.912 | 0.061 | |
| 100 | 0.0503 | 0.1129 | 0.830 | 0.037 | −0.0594 | 0.1022 | 0.976 | 0.029 | |
| 200 | 0.0204 | 0.0775 | 0.874 | 0.025 | −0.0905 | 0.1007 | 1.000 | 0.016 | |
| n | EM Algorithm | Newton–Raphson Iteration | |||||||
|---|---|---|---|---|---|---|---|---|---|
| Bias | MAE | OR | Bias | MAE | OR | ||||
| (0.7, 0.7) | 30 | 0.3543 | 0.4383 | 0.662 | 0.077 | 0.2003 | 0.4101 | 0.609 | 0.080 |
| 50 | 0.2572 | 0.3274 | 0.662 | 0.049 | 0.1106 | 0.3002 | 0.694 | 0.040 | |
| 100 | 0.1261 | 0.1852 | 0.759 | 0.034 | −0.0152 | 0.1708 | 0.826 | 0.033 | |
| 200 | 0.0794 | 0.1340 | 0.785 | 0.013 | −0.0655 | 0.1252 | 0.876 | 0.015 | |
| (0.6, 0.9) | 30 | 0.6013 | 0.6691 | 0.608 | 0.070 | 0.6912 | 0.8105 | 0.597 | 0.086 |
| 50 | 0.4150 | 0.4776 | 0.642 | 0.057 | 0.5002 | 0.5937 | 0.612 | 0.059 | |
| 100 | 0.2701 | 0.3090 | 0.701 | 0.029 | 0.2670 | 0.3272 | 0.768 | 0.049 | |
| 200 | 0.1723 | 0.2028 | 0.761 | 0.027 | 0.1984 | 0.2361 | 0.806 | 0.043 | |
| (0.8, 1.1) | 30 | 0.5249 | 0.7043 | 0.542 | 0.079 | 0.2823 | 0.6048 | 0.610 | 0.076 |
| 50 | 0.2648 | 0.4598 | 0.607 | 0.060 | 0.0670 | 0.4076 | 0.631 | 0.054 | |
| 100 | 0.1244 | 0.3020 | 0.610 | 0.038 | −0.0836 | 0.2831 | 0.646 | 0.030 | |
| 200 | 0.0637 | 0.2073 | 0.630 | 0.020 | −0.1890 | 0.2345 | 0.665 | 0.037 | |
| (0.7, 0.7) | (0.6, 0.9) | (0.8, 1.1) | ||||
|---|---|---|---|---|---|---|
| EM | MPA | EM | MPA | EM | MPA | |
| 30 | 0.05542 | 0.00259 | 0.04147 | 0.00266 | 0.09993 | 0.00235 |
| 50 | 0.06408 | 0.00374 | 0.05607 | 0.00365 | 0.08504 | 0.00267 |
| 100 | 0.12139 | 0.00508 | 0.10925 | 0.00563 | 0.15334 | 0.00396 |
| 200 | 0.20563 | 0.00748 | 0.17732 | 0.00935 | 0.25766 | 0.00713 |
| n | M = 200 | M = 500 | M = 1000 | |||||||
|---|---|---|---|---|---|---|---|---|---|---|
| Bias | MAE | Bias | MAE | Bias | MAE | |||||
| (0.7, 0.7) | 30 | 0.0420 | 0.0860 | 0.996 | 0.0401 | 0.0907 | 0.998 | 0.0372 | 0.0855 | 0.994 |
| 50 | 0.0259 | 0.0699 | 1.000 | 0.0344 | 0.0708 | 0.998 | 0.0269 | 0.0697 | 0.998 | |
| 100 | 0.0155 | 0.0503 | 0.999 | 0.0129 | 0.0489 | 0.998 | 0.0105 | 0.0496 | 1.000 | |
| 200 | 0.0078 | 0.0364 | 1.000 | 0.0072 | 0.0349 | 1.000 | 0.0058 | 0.0355 | 1.000 | |
| (0.6, 0.9) | 30 | 0.0754 | 0.0918 | 0.999 | 0.0659 | 0.0901 | 0.999 | 0.0690 | 0.0888 | 0.996 |
| 50 | 0.0574 | 0.0719 | 0.998 | 0.0558 | 0.0702 | 0.999 | 0.0560 | 0.0724 | 0.996 | |
| 100 | 0.0446 | 0.0548 | 0.999 | 0.0375 | 0.0495 | 0.999 | 0.0417 | 0.0527 | 1.000 | |
| 200 | 0.0290 | 0.0362 | 1.000 | 0.0303 | 0.0361 | 1.000 | 0.0283 | 0.0356 | 1.000 | |
| (0.8, 1.1) | 30 | −0.0050 | 0.1029 | 0.993 | −0.0035 | 0.0954 | 0.997 | 0.0009 | 0.0965 | 0.993 |
| 50 | 0.0085 | 0.0845 | 0.993 | −0.0082 | 0.0808 | 0.998 | 0.0021 | 0.0770 | 0.998 | |
| 100 | −0.0072 | 0.0585 | 0.996 | −0.0079 | 0.0603 | 0.998 | −0.0063 | 0.0606 | 0.996 | |
| 200 | −0.0054 | 0.0441 | 0.999 | −0.0045 | 0.0418 | 0.998 | −0.0054 | 0.0427 | 0.998 | |
| 0.0149 | 0.0096 | 0.0322 | 0.0558 | 0.0636 | 0.0634 | 0.0467 | 0.0541 | |
| 0.0610 | 0.0282 | 0.1021 | 0.0859 | 0.1266 | 0.1718 | 0.1896 | 0.1052 | |
| 0.1886 | 0.1052 | 0.1394 | 0.1653 | 0.1865 | 0.1513 | 0.1607 | 0.1019 | |
| 0.1426 | 0.0835 | 1.0842 | 0.1117 | 0.1192 | 0.0726 | 0.0723 | 0.1573 | |
| 0.0683 | 0.1842 | 0.1524 | 0.1242 | 0.1079 | 0.0590 | 0.1293 | 0.1068 | |
| 0.0745 | 0.2047 | 0.1998 | 0.1340 | 0.3541 | 0.1960 | 0.1919 | 0.0975 | |
| 0.2443 | 0.1311 | 0.0238 | 0.0393 | 0.0352 | 0.0157 | 0.3040 | 0.2362 | |
| 0.0717 | 0.0558 | 0.1155 | 0.2163 | 0.1155 | 0.2163 | 0.0978 | 0.0888 | |
| 0.0953 | 0.0491 | 0.2164 | 0.1310 | 0.1333 | 0.1124 | |||
| (0.0190, 0.1672) | (0.0035, 0.0657) | (0.0193, 0.4777) | (0.0403, 0.3831) | |||||
| (0.0828, 0.6752) | (0.0715, 0.8918) | (0.0029, 0.3830) | (0.1430, 0.5425) | |||||
| (0.0803, 0.7193) | (0.0105, 0.1338) | (0.0315, 0.2710) | (0.0057, 0.2977) | |||||
| (0.0296, 0.1984) | (0.0698, 0.2709) | (0.0391, 0.6342) | (0.0577, 0.2009) | |||||
| (0.0965, 0.3380) | (0.0480, 0.0703) | (0.0692, 0.2260) | (0.0299, 0.1601) | |||||
| (0.0206, 0.4020) | (0.0573, 0.1095) | (0.0243, 0.2168) | (0.0061, 0.3026) | |||||
| (0.0314, 0.1729) | (0.0419, 0.2356) | (0.1373, 0.4450) | (0.0262, 0.2354) | |||||
| (0.0949, 0.2687) | (0.0567, 0.5827) | (0.0516, 0.1286) | (0.0099, 0.3902) | |||||
| (0.0424, 0.2731) | (0.0486, 0.4021) | (0.0976, 0.2715) | (0.0375, 0.3590) | |||||
| (0.0385, 0.3161) | ||||||||
| Estimation Results | Bias | |
|---|---|---|
| EM | (8.4261, 1.1237) | (−0.5340, −0.0317) |
| MPA | (9.5718, 1.2946) | (0.6115, 0.1391) |
| Estimation Results | Bias | |
|---|---|---|
| M = 200 | 9.7846 | 0.8244 |
| M = 500 | 9.6675 | 0.7073 |
| M = 1000 | 9.6198 | 0.6596 |
| 78 | 36 | 3059 | 167 | 184 | 264 | 284 | 514 | |
| 253 | 251 | 88 | 97 | 142 | 212 | 112 | 53 | |
| 182 | 504 | 246 | 84 | 136 | 17 | 143 | 119 | |
| 148 | 53 | 59 | 179 | 300 | 206 | 72 | 5 | |
| 628 | 128 | 400 | 188 | 356 | 1900 | 115 | 99 | |
| 567 | 868 | 3 | 162 | 257 | 212 | 1460 | 22 | |
| 107 | 1922 | 82 | 285 | 410 | 1924 | 2556 | 110 | |
| 400 | 111 | 97 | 21 | 197 | 0 | 116 | 260 | |
| 3 | 352 | 1282 | 201 | 23 | 226 | 87 | 13 | |
| 0 | 0 | 457 | ||||||
| (132.98, 1068.8) | (290.67, 307.32) | (137.82, 600.24) | (838.38, 1264.8) | |||||
| (80.467, 186.90) | (120.93, 640.36) | (2.3398, 1565.2) | (155.36, 907.70) | |||||
| (58.948, 620.32) | (62.411, 803.27) | (295.84, 941.48) | (244.63, 382.45) | |||||
| (67.397, 191.28) | (57.946, 1565.5) | (163.48, 516.84) | (75.673, 241.76) | |||||
| (118.45, 165.72) | (21.115, 298.93) | (74.457, 212.94) | (47.828, 588.44) | |||||
| (696.11, 1202.0) | (184.87, 603.93) | (209.73, 255.58) | (399.54, 752.28) | |||||
| (37.435, 486.19) | ||||||||
| Estimation Results | Bias | |
|---|---|---|
| EM | (2.9602, 688.3042) | (0.0256, 34.7454) |
| MPA | (2.0521, 394.2962) | (−0.8825, −259.8826) |
| Estimation Results | Bias | |
|---|---|---|
| M = 200 | 2.8004 | −0.1342 |
| M = 500 | 2.8081 | −0.1265 |
| M = 1000 | 2.7967 | −0.1379 |
Disclaimer/Publisher’s Note: The statements, opinions and data contained in all publications are solely those of the individual author(s) and contributor(s) and not of MDPI and/or the editor(s). MDPI and/or the editor(s) disclaim responsibility for any injury to people or property resulting from any ideas, methods, instructions or products referred to in the content. |
© 2025 by the authors. Licensee MDPI, Basel, Switzerland. This article is an open access article distributed under the terms and conditions of the Creative Commons Attribution (CC BY) license (https://creativecommons.org/licenses/by/4.0/).
Share and Cite
Ren, P.; Gui, W.; Liang, S. Parameter Estimation of the Lomax Lifetime Distribution Based on Middle-Censored Data: Methodology, Applications, and Comparative Analysis. Axioms 2025, 14, 330. https://doi.org/10.3390/axioms14050330
Ren P, Gui W, Liang S. Parameter Estimation of the Lomax Lifetime Distribution Based on Middle-Censored Data: Methodology, Applications, and Comparative Analysis. Axioms. 2025; 14(5):330. https://doi.org/10.3390/axioms14050330
Chicago/Turabian StyleRen, Peiyao, Wenhao Gui, and Shan Liang. 2025. "Parameter Estimation of the Lomax Lifetime Distribution Based on Middle-Censored Data: Methodology, Applications, and Comparative Analysis" Axioms 14, no. 5: 330. https://doi.org/10.3390/axioms14050330
APA StyleRen, P., Gui, W., & Liang, S. (2025). Parameter Estimation of the Lomax Lifetime Distribution Based on Middle-Censored Data: Methodology, Applications, and Comparative Analysis. Axioms, 14(5), 330. https://doi.org/10.3390/axioms14050330

