Depth and Attitude Coordinated Control for Supercavitating Vehicle Avoiding Planing Force
Abstract
:1. Introduction
2. Supercavitating Vehicle Model
3. Cascade Controller Design
3.1. Outer-Loop Controller
3.2. Inner-Loop Controller
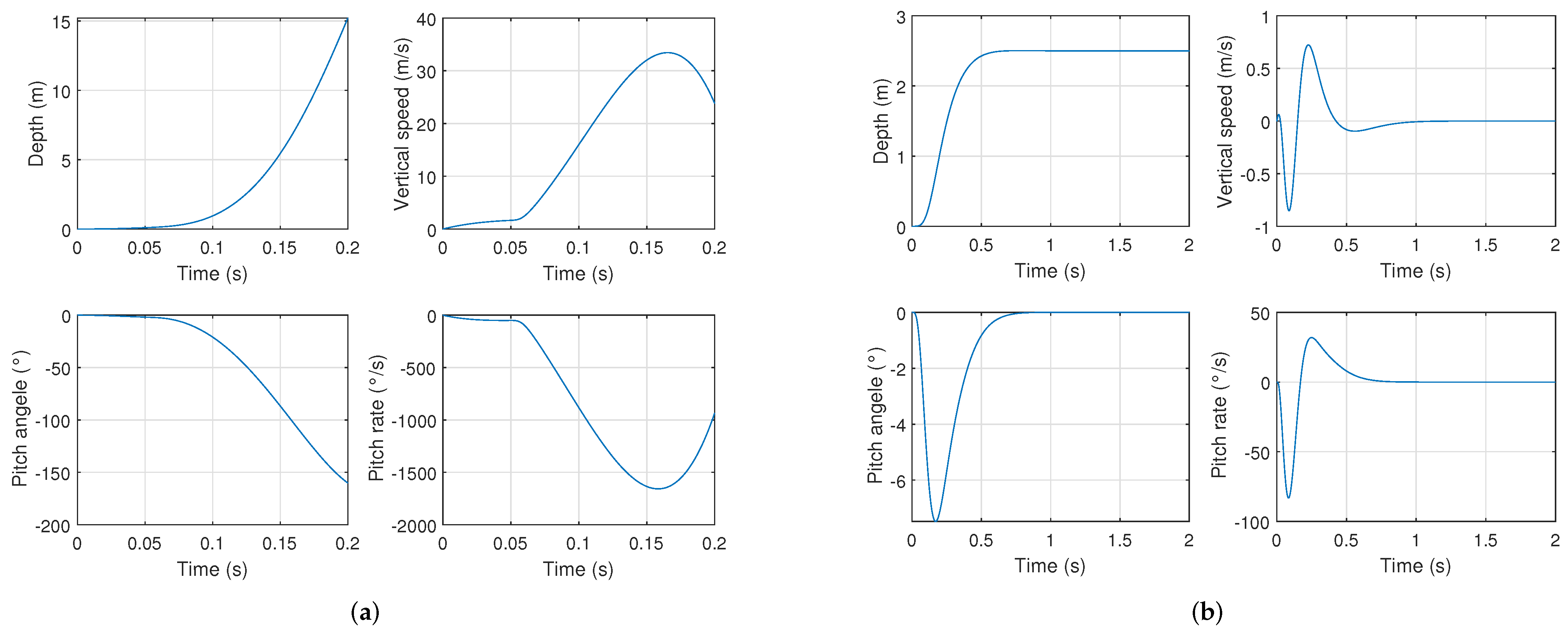
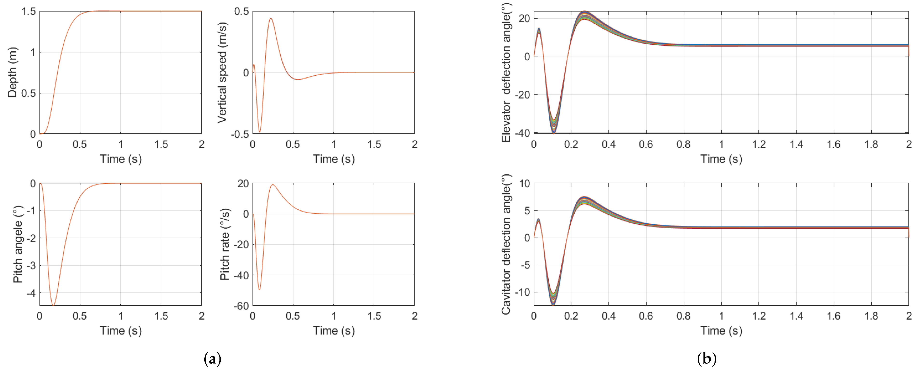
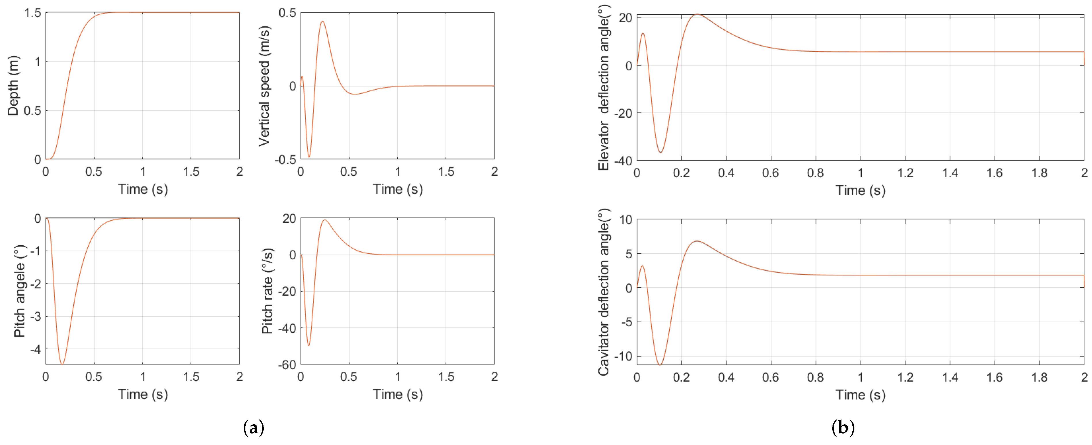
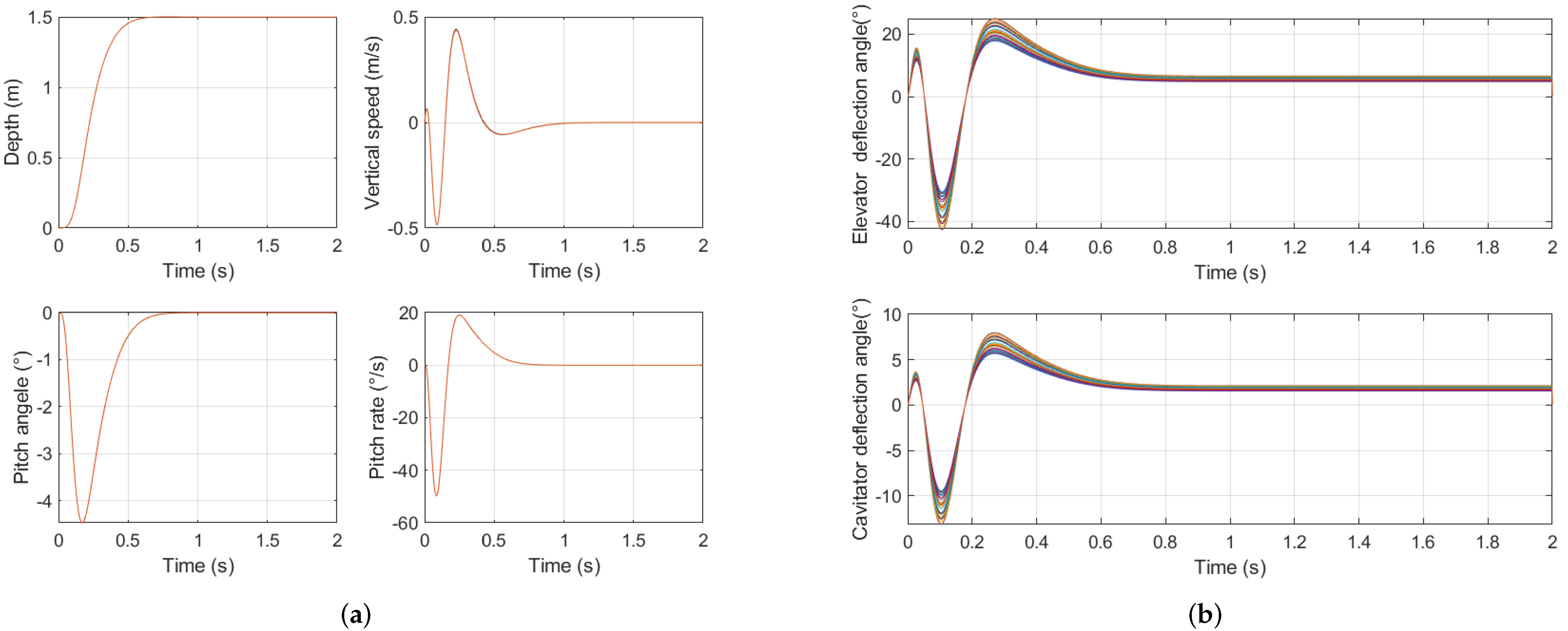
4. Simulation Results and Analysis
4.1. Open-Loop System
4.2. Control Comparison
4.3. The Function of TD in Avoiding Planing Force
4.4. Monte Carlo Simulations
5. Conclusions
Author Contributions
Funding
Institutional Review Board Statement
Informed Consent Statement
Data Availability Statement
Acknowledgments
Conflicts of Interest
Abbreviations
| SV | Supercavitating vehicle |
| DOF | Degrees of freedom |
| RBF | Radial basis function |
| PID | Proportional integral derivative |
| ADRC | Active disturbance rejection control |
| LADRC | Linear active disturbance rejection control |
| DACC | Depth and attitude coordinated control |
| TD | Tracking differentiator |
| LESO | Linear extended state observer |
| FBL-PPC | Feedback linearization and pole placement control |
Appendix A
References
- Da, L.A.; Xla, B. Numerical study on supercavitating flow in free stream with regular waves. Int. J. Naval Archit. Ocean Eng. 2020, 12, 799–809. [Google Scholar]
- Doan, P.T.; Bui, P.D.H.; Vu, M.T.; Thanh, H.L.N.N.; Hossain, S. Stability analysis of a fractional-order high-speed supercavitating vehicle model with delay. Machines 2021, 9, 129. [Google Scholar] [CrossRef]
- Han, Y.; Xu, Z.; Guo, H. Robust predictive control of a supercavitating vehicle based on time-delay characteristics and parameter uncertainty. Ocean Eng. 2021, 237, 109627. [Google Scholar] [CrossRef]
- Xiong, T.; Lv, Y.; Yi, W. Analysis on multistable motion characteristics of supercavitating vehicle. Shock Vib. 2017, 2017, 9712687. [Google Scholar] [CrossRef] [Green Version]
- Yen, T.; Morabito, M.; Imas, L.; Dzielski, J.; Datla, R. Investigation of cylinder planing on a flat free surface. In Proceedings of the 11th International Conference on Fast Sea Transportation (FAST2011), Honolulu, HI, USA, 26–29 September 2011. [Google Scholar]
- Choi, J.K.; Ahn, B.K.; Kim, H.T. A numerical and experimental study on the drag of a cavitating underwater vehicle in cavitation tunnel. Int. J. Naval Archit. Ocean Eng. 2015, 7, 888–905. [Google Scholar] [CrossRef] [Green Version]
- Ishchenko, A.N.; Burkin, V.V.; Kasimov, V.Z.; Afanas’Eva, S.A.; D’yachkovskii, A.S.; Rogaev, K.S. Development of a mathematical model of intraballistic processes for a gun-start of a group of supercavitating strikers. J. Eng. Phys. Thermoph. 2020, 93, 436–442. [Google Scholar] [CrossRef]
- Mansour, M.Y.; Mansour, M.H.; Mostafa, N.H.; Abou Rayan, M. Numerical and experimental investigation of supercavitating flow development over different nose shape projectiles. IEEE J. Oceanic. Eng. 2020, 45, 1370–1385. [Google Scholar] [CrossRef]
- Erfanian, M.R.; Moghiman, M. Experimental investigation of critical air entrainment in ventilated cavitating flow for a forward facing model. Appl. Ocean. Res. 2020, 97, 102089. [Google Scholar] [CrossRef]
- Sanabria, D.E.; Balas, G.; Arndt, R. Modeling, control, and experimental validation of a high-speed supercavitating vehicle. IEEE J. Oceanic. Eng. 2015, 40, 362–373. [Google Scholar] [CrossRef]
- Kirschner, I.N.; Kring, D.C.; Stokes, A.W.; Fine, N.E.; Uhlman, J.S., Jr. Control strategies for supercavitating vehicles. J. Vib. Control. 2002, 8, 219–242. [Google Scholar] [CrossRef]
- Kirschner, I.; Rosenthal, B.J.; Uhlman, J. Simplified dynamical systems analysis of supercavitating high-speed bodies. In Proceedings of the Fifth International Symposium on Cavitation (CAV2003), Osaka, Japan, 1–4 November 2003. [Google Scholar]
- Dzielski, J.; Kurdila, A. A benchmark control problem for supercavitating vehicles and an initial investigation of solutions. J. Vib. Control 2003, 9, 791–804. [Google Scholar] [CrossRef]
- Kim, S.; Kim, N. Neural network-based adaptive control for a supercavitating vehicle in transition phase. J. Mar. Sci. Technol. 2014, 20, 454–466. [Google Scholar] [CrossRef]
- Li, Y.; Liu, M.; Zhang, X.; Peng, X. Global approximation based adaptive RBF neural network control for supercavitating vehicles. J. Syst. Eng. Electron. 2018, 29, 797–804. [Google Scholar]
- Wang, J.; Liu, Y.; Cao, G.; Zhao, Y.; Zhang, J. Design of RBF adaptive sliding mode controller for a supercavitating vehicle. IEEE Access 2021, 9, 39873–39883. [Google Scholar]
- Bui, P.D.H.; You, S.S.; Kim, H.S.; Lee, S.D. Dynamics modeling and motion control for high-speed underwater vehicles using H-infinity synthesis with anti-windup compensator. J. Ocean Eng. Sci. 2021, 7, 84–91. [Google Scholar] [CrossRef]
- Han, Y.; Xu, Z.; Guan, L. Predictive control of a supercavitating vehicle based on time-delay characteristics. IEEE Access 2020, 9, 13499–13512. [Google Scholar] [CrossRef]
- Zou, W.; Wang, B. Longitudinal maneuvering motions of the supercavitating vehicle. Eur. J. Mech. B-Fluids 2020, 81, 105–113. [Google Scholar] [CrossRef]
- Han, J. From PID to active disturbance rejection control. IEEE Trans. Ind. Electron. 2009, 56, 900–906. [Google Scholar] [CrossRef]
- Cao, X.; Wang, Z.; Zhang, X. Precise locating control for a polar crane based on sliding mode active disturbance rejection control and quadratic programming algorithm. Machines 2021, 9, 22. [Google Scholar] [CrossRef]
- Lu, K.; Tian, H.; Zhen, P.; Lu, S.; Chen, R. Conversion flight control for tiltrotor aircraft via active disturbance rejection control. Aerospace 2022, 9, 155. [Google Scholar] [CrossRef]
- Hezzi, A.; Elghali, S.B.; Bensalem, Y.; Zhou, Z.; Benbouzid, M.; Abdelkrim, M.N. ADRC-Based robust and resilient control of a 5-Phase PMSM driven electric vehicle. Machines 2020, 8, 17. [Google Scholar] [CrossRef]
- Gao, Z. Scaling and bandwidth-parameterization based controller tuning. In Proceedings of the 2003 American Control Conference (ACC2003), Denver, CO, USA, 4–6 June 2003. [Google Scholar]
- Kim, S.; Kim, N. Control method for ventilated supercavitating vehicle considering planing avoidance and stability. Proc. Inst. Mech. Eng. Part M 2018, 233, 957–968. [Google Scholar] [CrossRef]
- Sanabria, D.E.; Balas, G.J.; Arndt, R. Planing avoidance control for supercavitating vehicles. In Proceedings of the 2014 American Control Conference (ACC2014), Portland, OR, USA, 4–6 June 2014. [Google Scholar]
- Guo, B.; Han, J. A linear tracking-differentiator and application to the onlineestimation of the frequency of a sinusoidal signal. In Proceedings of the 2000 IEEE International Conference on Control Applications, Anchorage, AK, USA, 25–27 September 2000. [Google Scholar]
- Godbole, A.A.; Kolhe, J.P.; Talole, S.E. Performance analysis of generalized extended state observer in tackling sinusoidal disturbances. IEEE Trans. Control Syst. Technol. 2013, 21, 2212–2223. [Google Scholar] [CrossRef]
- Roy, S.; Baldi, S.; Ioannou, P.A. An adaptive control framework for underactuated Switched Euler-Lagrange Systems. IEEE Trans. Autom. Control 2021, in press. [Google Scholar] [CrossRef]
- Roy, S.; Baldi, S. Towards structure-independent stabilization for uncertain underactuated Euler–Lagrange systems. Automatica 2020, 113, 108775. [Google Scholar] [CrossRef]
- Roy, S.; Baldi, S.; Fridman, L.M. On adaptive sliding mode control without a priori bounded uncertainty. Automatica 2020, 111, 108650. [Google Scholar] [CrossRef]
- Wang, Y.; Chen, Z.; Sun, M.; Sun, Q. Design and stability analysis of a generalized reduced-order active disturbance rejection controller. IEEE Trans. Control Syst. Technol. 2022, 65, 361–374. [Google Scholar] [CrossRef]
- Guo, J.; Balachandran, B.; Abed, E.H. Dynamics and control of supercavitation vehicles. J. Dyn. Syst. Meas. Control 2008, 130, 021003. [Google Scholar]













| Parameter | Description | Value |
|---|---|---|
| V | Velocity | 75 m/s |
| g | Gravitational acceleration | 9.81 |
| m | Density ratio | 2 |
| n | Fin effectiveness | 0.5 |
| L | Length | 1.8 m |
| Cavitation number | 0.03 | |
| R | Vehicle radius | 0.0508 m |
| Cavitator radius | 0.0191 m | |
| Lift coefficient | 0.82 |
| Section | Control Parameters | Value |
|---|---|---|
| Tracking-Differentiator | r | 10 |
| Extended State Observer | 15 | |
| Depth Loop | 15 | |
| Depth Loop | 45 | |
| Attitude Loop | 100 |
Publisher’s Note: MDPI stays neutral with regard to jurisdictional claims in published maps and institutional affiliations. |
© 2022 by the authors. Licensee MDPI, Basel, Switzerland. This article is an open access article distributed under the terms and conditions of the Creative Commons Attribution (CC BY) license (https://creativecommons.org/licenses/by/4.0/).
Share and Cite
Zhou, Y.; Sun, M.; Zhang, J.; Chen, Z. Depth and Attitude Coordinated Control for Supercavitating Vehicle Avoiding Planing Force. Machines 2022, 10, 433. https://doi.org/10.3390/machines10060433
Zhou Y, Sun M, Zhang J, Chen Z. Depth and Attitude Coordinated Control for Supercavitating Vehicle Avoiding Planing Force. Machines. 2022; 10(6):433. https://doi.org/10.3390/machines10060433
Chicago/Turabian StyleZhou, Yu, Mingwei Sun, Jianhong Zhang, and Zengqiang Chen. 2022. "Depth and Attitude Coordinated Control for Supercavitating Vehicle Avoiding Planing Force" Machines 10, no. 6: 433. https://doi.org/10.3390/machines10060433
APA StyleZhou, Y., Sun, M., Zhang, J., & Chen, Z. (2022). Depth and Attitude Coordinated Control for Supercavitating Vehicle Avoiding Planing Force. Machines, 10(6), 433. https://doi.org/10.3390/machines10060433

