Coupling Study on Quasi-Static and Mixed Thermal Elastohydrodynamic Lubrication Behavior of Precision High-Speed Machine Spindle Bearing with Spinning
Abstract
1. Introduction
- (1)
- This work develops a mixed lubrication model that encompasses boundary lubrication to full-film lubrication, expanding the calculation application to the presence of non-full-film lubrication in actual operating conditions.
- (2)
- The lubrication process of a bearing under high-speed rotation exhibits a pronounced non-Newtonian fluid feature due to the lubricant’s thermal and rheological effects. Therefore, the temperature field and non-Newtonian fluid shearing thinning model are included in the numerical framework.
- (3)
- Bearings frequently experience insufficient lubrication in actual operating conditions. Thus, the impact of surface roughness topography on oil film thickness must be considered. In this study, we extend the non-Gaussian surface roughness into the mixed TEHL model.
- (4)
- When compared to dry friction, the stiffness between the ball and the raceway is altered by the presence of a lubricant. The geometric deformations of the contact pair are scrutinized both under dry friction and under lubrication. A modified function correlation between load and elastic deformation under EHL is determined by the derivative definition method, which can enhance the precision of analyzing the mechanical characteristics and lubrication states of bearings.
2. Mathematical Model
2.1. The Quasi-Static Model
2.2. The Mixed Thermal Elastohydrodynamic Lubrication Model
3. Numerical Approach
4. Results and Discussion
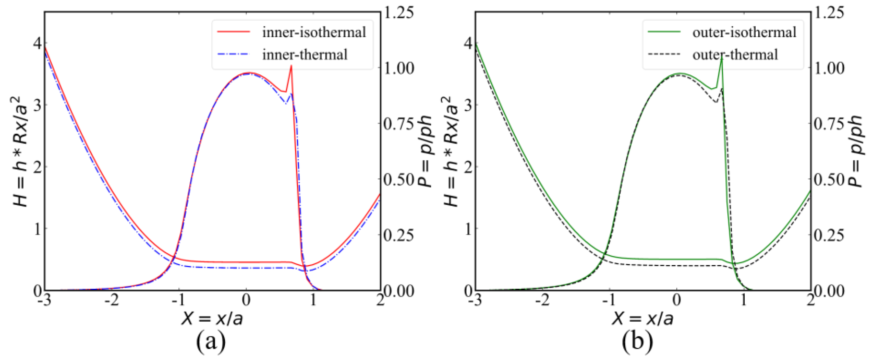
4.1. Model Validation
4.2. Thermal Effects on Mechanical Properties and Lubrication Performance
4.3. Non-Newtonian Effects on Mechanical Proeprties and Lubrication Performance
4.4. Effects of Roughness on Mechanical Properties and Lubrication Performance
4.4.1. Effects of RMS
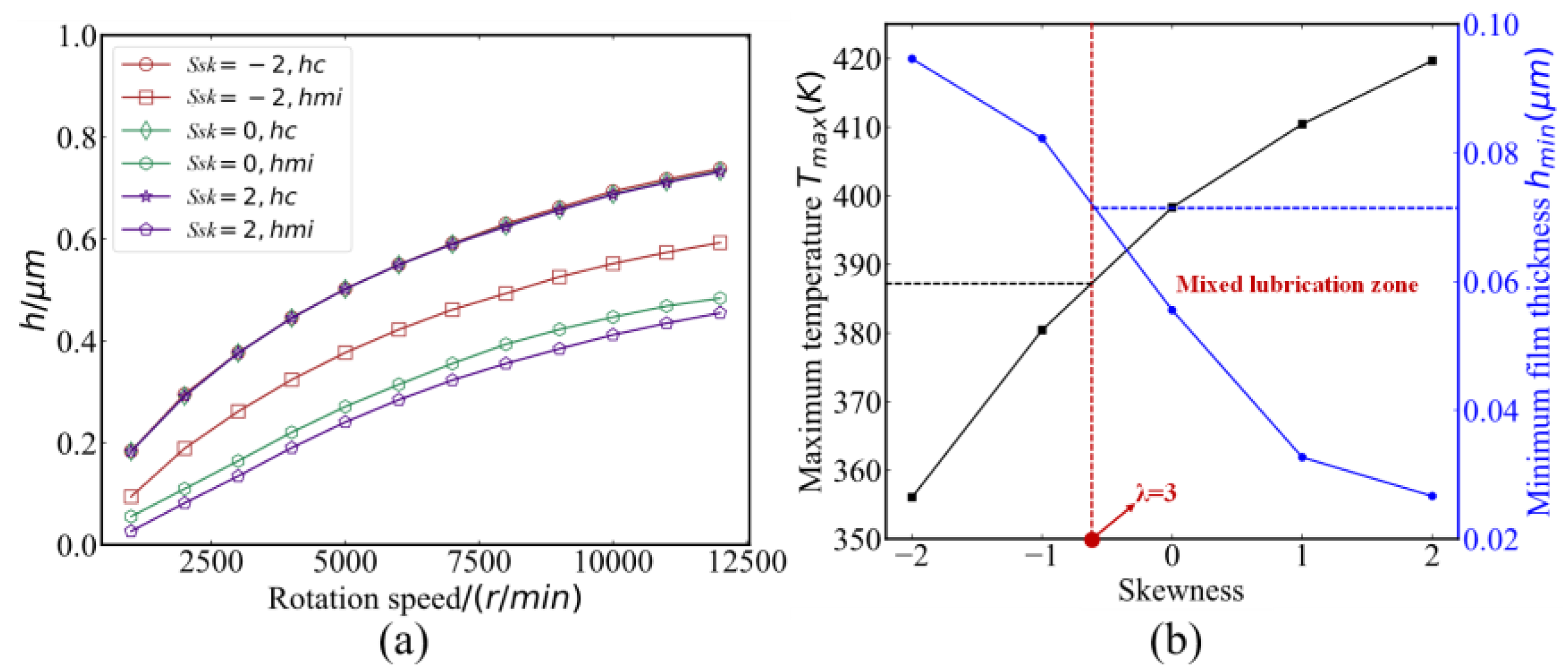
4.4.2. Effects of Skewness
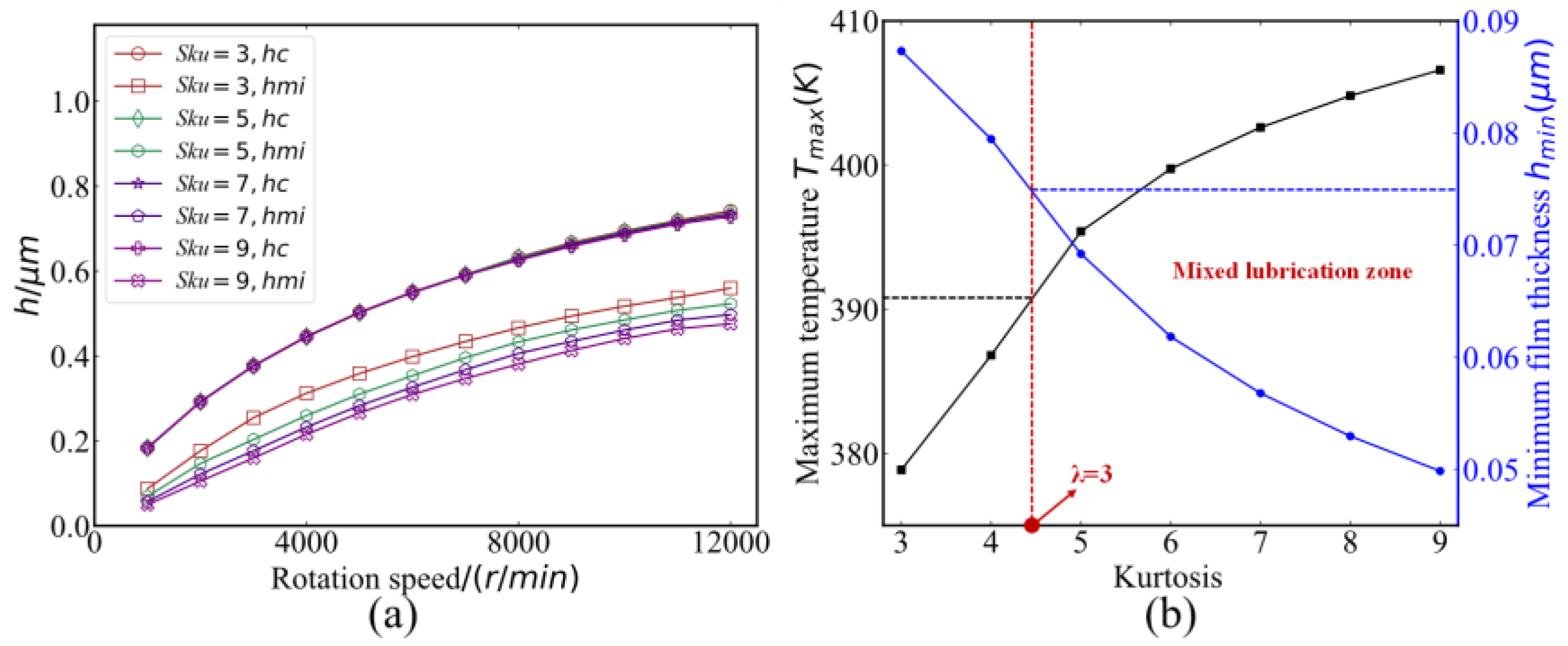
4.4.3. Effects of Kurtosis
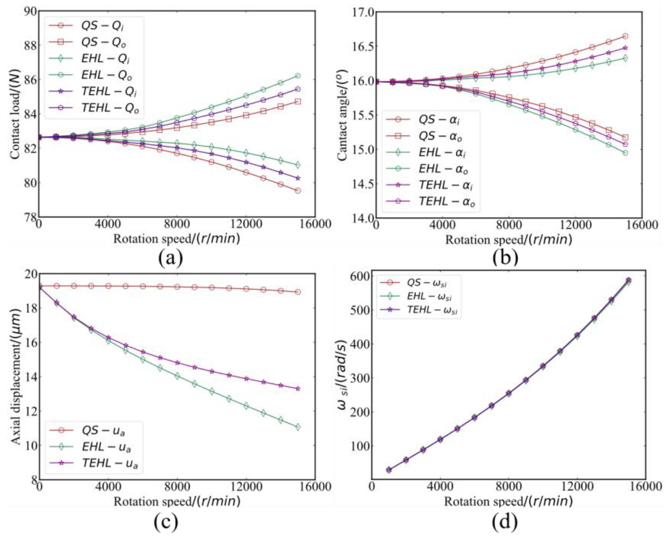
4.5. Effects of Operating Parameters on Mechanical Properties and Lubrication Performance
5. Conclusions
- (1)
- Thermal effect decreases the viscosity of the lubricating oil, resulting in a thinner oil film and a reduction in lubrication performance. Therefore, the thermal effect diminishes the EHL effect, leading to a lower contact load and a larger contact angle than the isothermal condition. The oil film temperature between the contact areas of the balls and rings progressively increases as the bearing rotation speed goes up. Under the influence of spinning motion, the y-direction temperature distribution is asymmetrical.
- (2)
- The calculations of the effect of non-Newtonian lubricant flow on the bearing performance demonstrate that the oil film thickness increases gradually with the increase in . Because the equivalent viscosity of the lubricating oil increases with the increase in , which improves the oil-film-forming capacity. Furthermore, due to the minor variation of oil film thickness under the influence of , the influence of non-Newtonian fluid characteristics on the mechanical properties of bearings is negligible.
- (3)
- Examinations of the non-Gaussian parameters on bearing performance indicate that the lubrication state deteriorates as RMS, skewness, and kurtosis increase, i.e., the oil film thickness becomes thinner, and the oil film temperature rises. In addition, as the RMS increases, the bearing contact load increases slightly, the inner ring axial displacement decreases somewhat, and the effect of skewness and kurtosis on the mechanical characteristics of the bearing is negligible.
- (4)
- The impact of operating settings on bearing performance is explored. When the rotation speed increases and the axial force decreases, the minimum oil film thickness alongside the inner and outer rings becomes thicker, and the oil film thickness of the outer ring is higher than 10% of the inner ring. With the increase in speed and load, which intensifies the frictional heat generation in the contact area, the oil film temperature gradually rises, while the temperature of the outer ring is lower than that of the inner ring. Furthermore, as the speed increases, the outer ring contact load increases while the inner ring contact load drops. All of the aforementioned information demonstrates that the operating state is the most detrimental factor at the contact area between the ball and the inner ring, where the majority of machine tool spindle bearing incidents occur in practice.
Author Contributions
Funding
Data Availability Statement
Conflicts of Interest
Nomenclature
| Symbol | Definition | Unit | 
| Azimuth of the ball | ||
| Pitch diameter of bearing | m | |
| D | Diameter of ball | m | 
| , | Contact angles between the ball and the inner and outer rings | |
| , | Semimajor and semiminor axes of the contact ellipse | m | 
| Angular velocity of the inner ring | rad/s | |
| Angular velocity of the ball | rad/s | |
| Rotation angular velocity of the ball | rad/s | |
| Normal contact load between the ball and the ring | N | |
| Approaching displacement between the ball and the ring | m | |
| , | Central oil film thickness and minimum oil film thickness | m | 
| , | Elastic deformation of inner ring and outer ring | m | 
| , | Axial and radial elastic deformation | m | 
| , | Verical-horizontal distance between inner and outer raceway grove center | m | 
| , | Verical-horizontal distance between ball and outer raceway grove center | m | 
| , | Pitch angle and yaw angle | |
| Hertzian contact radius | m | |
| , | Inner and outer rings’ groove curvature coefficient | - | 
| BD | Distance between center of groove curvature of inner ring and outer ring | m | 
| , , | Fixed coordinate system | - | 
| Oil film pressure | Pa | |
| Oil film thickness | m | |
| Dynamic viscosity of the lubricant | Pa·s | |
| , , | Density of the lubricant, balls and raceways | Kg/m3 | 
| , | Film temperature and ambient temperature | K | 
| , , | Specific heat of the lubricant, balls and raceways | J/(Kg·K) | 
| , , | Thermal conductivity of the lubricant, balls and raceways | W/(m·K) | 
| , | Flow velocity along and axes | m/s | 
| Characteristics shear stress | MPa | |
| RMS/ | Root-Mean-Square of roughness | |
| , | Autocorrelation length in and axes of roughness | |
| Skewness of roughness | - | |
| Kurtosis of roughness | - | 
References
- Zhao, J.J.; Lin, M.X.; Song, X.C.; Wei, N. Coupling analysis of the fatigue life and the TEHL contact behavior of ball screw under the multidirectional load. Ind. Lubr. Tribol. 2020, 72, 1285–1293. [Google Scholar] [CrossRef]
- Xie, Z.; Wang, Y.; Wu, R.; Yin, J.; Yu, D.; Liu, J.; Cheng, T. A high-speed and long-life triboelectric sensor with charge supplement for monitoring the speed and skidding of rolling bearing. Nano Energy 2021, 92, 106747. [Google Scholar] [CrossRef]
- Ardah, S.; Profito, F.J.; Dini, D. An integrated finite volume framework for thermal elasto-hydrodynamic lubrication. Tribol. Int. 2023, 177, 107935. [Google Scholar] [CrossRef]
- Kaneta, M.; Matsuda, K.; Wang, J.; Yang, P. Numerical study on effect of dimples on Tribo-characteristics in non-Newtonian thermal elastohydrodynamic lubrication point contacts with different mechanical and thermal properties. J. Tribol. 2020, 142, 041601. [Google Scholar] [CrossRef]
- Dormois, H.; Fillot, N.; Vergne, P.; Dalmaz, G.; Querry, M.; Ioannides, E.; Morales-Espejel, G.E. First traction results of high spinning large-Size circular EHD contacts from a new test rig: Tribogyr. Tribol. Trans. 2009, 52, 171–179. [Google Scholar] [CrossRef]
- Doki-Thonon, T.; Fillot, N.; Vergne, P.; Espejel, G.E.M. Numerical insight into heat transfer and power losses in spinning EHD non-Newtonian point contacts. Proc. Inst. Mech. Eng. Part J J. Eng. Tribol. 2011, 226, 23–35. [Google Scholar] [CrossRef]
- Pu, W.; Wang, J.; Zhu, D. Friction and flash temperature prediction of mixed lubrication in elliptical contacts with arbitrary velocity vector. Tribol. Int. 2016, 99, 38–46. [Google Scholar] [CrossRef]
- Yan, X.-L.; Wang, X.-L.; Zhang, Y.-Y. A numerical study of fatigue life in non-Newtonian thermal EHL rolling–sliding contacts with spinning. Tribol. Int. 2014, 80, 156–165. [Google Scholar] [CrossRef]
- Yan, X.; Zhang, Y.; Xie, G.; Qin, F.; Zhang, X. Effects of spinning on the mixed thermal elastohydrodynamic lubrication and fatigue life in point contacts. Proc. Inst. Mech. Eng. Part J J. Eng. Tribol. 2019, 233, 1820–1832. [Google Scholar] [CrossRef]
- Doki-Thonon, T.; Fillot, N.; Espejel, G.E.M.; Querry, M.; Philippon, D.; Devaux, N.; Vergne, P. A dual experimental/numerical approach for film thickness analysis in TEHL spinning skewing circular contacts. Tribol. Lett. 2013, 50, 115–126. [Google Scholar] [CrossRef]
- Amine, G.; Fillot, N.; Philippon, D.; Devaux, N.; Dufils, J.; Macron, E. Dual experimental-numerical study of oil film thickness and friction in a wide elliptical TEHL contact: From pure rolling to opposite sliding. Tribol. Int. 2023, 184, 108466. [Google Scholar] [CrossRef]
- Nonato, F.; Cavalca, K.L. An approach for including the stiffness and damping of elastohydrodynamic point contacts in deep groove ball bearing equilibrium models. J. Sound Vib. 2014, 333, 6960–6978. [Google Scholar] [CrossRef]
- Questa, H.; Mohammadpour, M.; Theodossiades, S.; Garner, C.; Bewsher, S.; Offner, G. Tribo-dynamic analysis of high-speed roller bearings for electrified vehicle powertrains. Tribol. Int. 2020, 154, 106675. [Google Scholar] [CrossRef]
- Jones, A.B. A General theory for elastically constrained ball and radial roller bearings under arbitrary load and speed conditions. J. Basic Eng. 1960, 82, 309–320. [Google Scholar] [CrossRef]
- Shi, X.-J.; Wang, L.-Q.; Mao, Y.-Z.; Qin, F.-Q. Coupling study on dynamics and TEHL behavior of high-speed and heavy-load angular contact ball bearing with spinning. Tribol. Int. 2015, 88, 76–84. [Google Scholar] [CrossRef]
- Li, Y.L.; Wang, W.Z.; Zhao, Z.Q.; Kong, L.J. Calculation on EHL temperature field based on moving point heat source integration method. Lubr. Eng. 2014, 39, 43–47. [Google Scholar]
- Bal, H.; Aktürk, N. Vibration modeling of wind turbine shaft as rigid shaft supported by EHL contact ball bearings with overhung disc system. Tribol. Int. 2020, 151, 106481. [Google Scholar] [CrossRef]
- Hamrock, B.J.; Dowson, D. Isothermal elastohydrodynamic lubrication of point contacts: Part 1—Theoretical Formulation. J. Lubr. Technol. 1976, 98, 223–228. [Google Scholar] [CrossRef]
- Sun, H.Y.; Zhang, Y.P.; Guan, D.Z.; Zhang, P.G. Study on the suitability for the Hamrock-Dowson formula under heavy load and high-speed working conditions. J. Qingdao Univ. Eng. Technol. Ed. 2011, 26, 82–85. [Google Scholar]
- Guo, K.; Yuan, S.H.; Zhang, Y.Y.; Wang, X.L. Study on the calculation method of ball bearing mechanical characteristics considering elastohydrodynamic lubrication with spinning. J. Mech. Eng. 2013, 49, 62–67. [Google Scholar] [CrossRef]
- Tian, J.; Zhang, C.; Liang, H.; Guo, D. Simulation of the load reduction process of high-speed angular contact ball bearing with coupling model of dynamics and thermo-elastohydrodynamic lubrication. Tribol. Int. 2021, 165, 107292. [Google Scholar] [CrossRef]
- Wu, J.; Wang, L.; He, T.; Gu, L.; Zhang, C.; Lu, Y. Investigation on the angular contact ball bearings under low speed and heavy load with coupled mixed lubrication and quasi-dynamic analysis. Lubr. Sci. 2020, 32, 108–120. [Google Scholar] [CrossRef]
- Gao, S.; Chatterton, S.; Pennacchi, P.; Han, Q.; Chu, F. Skidding and cage whirling of angular contact ball bearings: Kinematic-hertzian contact-thermal-elasto-hydrodynamic model with thermal expansion and experimental validation. Mech. Syst. Signal Process. 2021, 166, 108427. [Google Scholar] [CrossRef]
- Shuai, Q.Q.; Chen, X.Y.; Chen, S.J.; Zhang, Y. Influences of preload methods on internal mechanical characteristics of angular contact ball bearings under elastohydrodynamic lubrication. Tribology 2022, 42, 85–94. [Google Scholar]
- Peta, K.; Bartkowiak, T.; Rybicki, M.; Galek, P.; Mendak, M.; Wieczorowski, M.; Brown, C.A. Scale-dependent wetting behavior of bioinspired lubricants on electrical discharge machined Ti6Al4V surfaces. Tribol. Int. 2024, 194, 109562. [Google Scholar] [CrossRef]
- Zmarzły, P. Influence of bearing raceway surface topography on the level of generated vibration as an example of operational heredity. Indian J. Eng. Mater. Sci. 2020, 27, 356–364. [Google Scholar] [CrossRef]
- Hu, Y.-Z.; Zhu, D. A Full Numerical Solution to the Mixed Lubrication in Point Contacts. J. Tribol. 1999, 122, 1–9. [Google Scholar] [CrossRef]
- Guo, F.; Yang, P.; Qu, S. On the theory of thermal elastohydrodynamic lubrication at high slide-roll ratios—Circular glass-steel contact solution at opposite sliding. J. Tribol. 2000, 123, 816–821. [Google Scholar] [CrossRef]
- Liu, X.; Jiang, M.; Yang, P.; Kaneta, M. Non-Newtonian thermal analyses of point EHL contacts using the Eyring model. J. Tribol. 2005, 127, 70–81. [Google Scholar] [CrossRef]
- Hu, Y.; Tonder, K. Simulation of 3-D random rough surface by 2-D digital filter and fourier analysis. Int. J. Mach. Tools Manuf. 1992, 32, 83–90. [Google Scholar] [CrossRef]
- Ai, X.; Cheng, H.S.; Zheng, L. A transient model for micro-elastohydrodynamic lubrication with three-dimensional irregularities. J. Tribol. 1993, 115, 102–110. [Google Scholar] [CrossRef]
- Liu, S.B.; Wang, Q.; Liu, G. A versatile method of discrete convolution and FFT (DC-FFT) for contact analysis. Wear 2000, 243, 101–111. [Google Scholar] [CrossRef]
- Zhang, P.S.; Zhai, W.J.; Zhan, M.X.; Shao, J.X.; Wang, H.Q.; Xiao, B.Q. Test study on elstohydrodynamic oil film state of three typical mainshaft bearings of aero-engine. Synth. Lubr. 1994, 1, 1–4. [Google Scholar]
- Shi, X.J.; Wang, L.Q.; Gu, L.; Zheng, D.Z.; Zhao, X.L. Thermal elstohydrodynamic lubrication analysis of aero-engine mainshaft ball bearing based on quasi-dynamic. J. Aerosp. Power 2016, 31, 233–240. [Google Scholar]























| Material Parameters | Value | Geometry Parameters | Value | 
|---|---|---|---|
| Elastic modulus of ball/race E1/E2 (GPa) | 320/207 | Ball diameter D (mm) | 6.35 | 
| Poisson’s ratios of ball/race v1/v2 | 0.26/0.3 | Ball number N | 22 | 
| Density of ball/race / (Kg/m3) | 3120/7850 | Initial contact angle (o) | 15 | 
| Specific heat capacity of ball/race c1/c2 (J/Kg·K) | 710/460 | Inner/outer race curve coefficient fi/fo | 0.575/0.565 | 
| Thermal conductivity of ball/race k1/k2 (W/m·K) | 30/48 | Pitch diameter dm (mm) | 53.32 | 
| Parameters | Value | 
|---|---|
| Environmental viscosity (Pa·s) | 0.033 | 
| Environmental viscosity (Kg/m3) | 970 | 
| Specific heat capacity c (J/Kg·K) | 1910 | 
| Thermal conductivity k (W/m·K) | 0.0966 | 
| Viscosity-pressure coefficient (GPa−1) | 18.5 | 
| Viscosity-temperature coefficient (K−1) | 0.032 | 
| Thermal expansion coefficient | 6.5 × 10−4 | 
| Characteristic shear stress (MPa) | 18 | 
| Material Parameters | Value | Geometry Parameters | Value | 
|---|---|---|---|
| Elastic modulus of ball/race E1/E2 (GPa) | 218/218 | Ball diameter D (mm) | 15.4 | 
| Poisson’s ratios of ball/race v1/v2 | 0.3/0.3 | Ball number N | 18 | 
| Density of ball/race / (Kg/m3) | 7870/7870 | Initial contact angle (o) | 26 | 
| Specific heat capacity of ball/race c1/c2 (J/Kg·K) | 460/460 | Inner/outer race curve coefficient fi/fo | 0.515/0.525 | 
| Thermal conductivity of ball/race k1/k2 (W/m·K) | 48/48 | Pitch diameter dm (mm) | 182.5 | 
| Operation Condition Number | Axial Load/N | Radial Load/N | Rotation Speed/rpm | Ambient Temperature | 
|---|---|---|---|---|
| #1 | 15,000 | 2000 | 10,000 | 80 | 
| #2 | 15,000 | 0 | 7000 | 70 | 
| #3 | 15,000 | 0 | 10,000 | 79 | 
| Disclaimer/Publisher’s Note: The statements, opinions and data contained in all publications are solely those of the individual author(s) and contributor(s) and not of MDPI and/or the editor(s). MDPI and/or the editor(s) disclaim responsibility for any injury to people or property resulting from any ideas, methods, instructions or products referred to in the content. | 
© 2024 by the authors. Licensee MDPI, Basel, Switzerland. This article is an open access article distributed under the terms and conditions of the Creative Commons Attribution (CC BY) license (https://creativecommons.org/licenses/by/4.0/).
Share and Cite
Liu, H.; Chen, Y.; Guo, Y.; Shi, Y.; Li, D.; Chen, X.-Q. Coupling Study on Quasi-Static and Mixed Thermal Elastohydrodynamic Lubrication Behavior of Precision High-Speed Machine Spindle Bearing with Spinning. Machines 2024, 12, 325. https://doi.org/10.3390/machines12050325
Liu H, Chen Y, Guo Y, Shi Y, Li D, Chen X-Q. Coupling Study on Quasi-Static and Mixed Thermal Elastohydrodynamic Lubrication Behavior of Precision High-Speed Machine Spindle Bearing with Spinning. Machines. 2024; 12(5):325. https://doi.org/10.3390/machines12050325
Chicago/Turabian StyleLiu, Hao, Yun Chen, Yi Guo, Yongpeng Shi, Dianzhong Li, and Xing-Qiu Chen. 2024. "Coupling Study on Quasi-Static and Mixed Thermal Elastohydrodynamic Lubrication Behavior of Precision High-Speed Machine Spindle Bearing with Spinning" Machines 12, no. 5: 325. https://doi.org/10.3390/machines12050325
APA StyleLiu, H., Chen, Y., Guo, Y., Shi, Y., Li, D., & Chen, X.-Q. (2024). Coupling Study on Quasi-Static and Mixed Thermal Elastohydrodynamic Lubrication Behavior of Precision High-Speed Machine Spindle Bearing with Spinning. Machines, 12(5), 325. https://doi.org/10.3390/machines12050325
 
         
                                                
 
       