Analyzing Higher-Order Curvature of Four-Bar Linkages with Derivatives of Screws
Abstract
1. Introduction
2. Methods
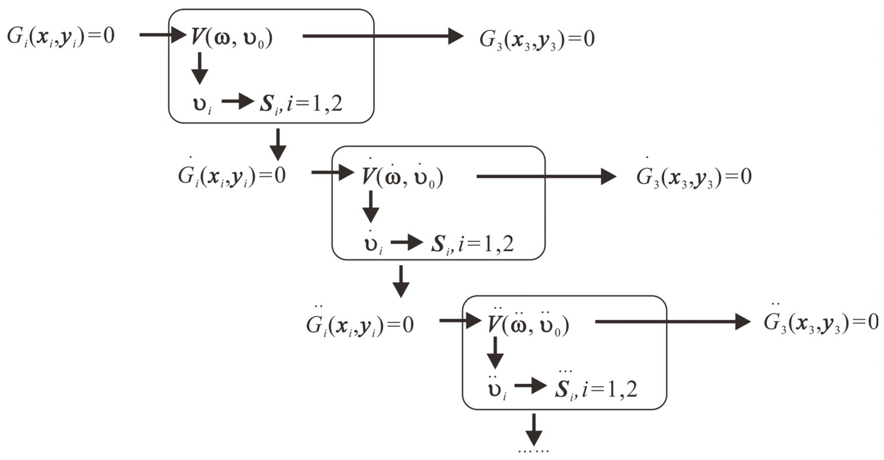
2.1. Higher-Order Kinematics of Platform Mechanisms in Screws
2.2. Loci of Higher Order Curvature
2.3. Transformation between Two Coordinate Systems
2.3.1. Rotational Position
2.3.2. Translational Position
3. Results
3.1. Formulae for Rotational Position
3.1.1. New Euler–Savary Equation
3.1.2. Cubic of Stationary Curvature
3.1.3. Classification of the Degenerate Cubics
- or
- ii.
- or
- iii.
- iv.
- v.
- vi.
- and
3.1.4. An Example of Straight-Line Mechanisms
3.2. Formulae for Translational Position
3.2.1. Euler–Savary Equations
3.2.2. Cubic of Stationary Curvature
3.2.3. Burmester’s Points
3.2.4. The Highest Order of Burmester’s Points with Excess
3.2.5. Canonical Coordinates at Infinity for the Parallelogram
4. Discussion and Conclusions
Author Contributions
Funding
Data Availability Statement
Conflicts of Interest
References
- Bottema, O.; Roth, B. Theoretical Kinematics; Dover Publications: New York, NY, USA, 1990. [Google Scholar]
- Veldkamp, G.R. Curvature Theory in Plane Kinematics. Ph.D. Thesis, Delft University of Technology Groningen, Delft, The Netherlands, 1963. [Google Scholar]
- Veldkamp, G.R. The instantaneous motion of a line in a t-position. Mech. Mach. Theory 1983, 18, 439–444. [Google Scholar] [CrossRef]
- Ting, K.L.; Wang, S.C. Fourth and fifth order double Burmester points and the highest attainable order of straight lines. J. Mech. Des. 1991, 113, 213–219. [Google Scholar] [CrossRef]
- Hunt, K.H. Kinematic Geometry of Mechanisms; Oxford University Press: Oxford, UK, 1978. [Google Scholar]
- Dijksman, E.A. Motion Geometry of Mechanisms; Cambridge University Press: Cambridge, UK, 1976. [Google Scholar]
- Roth, B. On the advantages of instantaneous invariants and geometric kinematics. Mech. Mach. Theory 2015, 89, 5–13. [Google Scholar] [CrossRef]
- Gupta, K.K. A direct method for the evaluation of instantaneous invariants of a given motion. Mech. Mach. Theory 1978, 13, 567–576. [Google Scholar] [CrossRef]
- Woo, L.S.; Freudenstein, F. On the curves of synthesis in plane, instantaneous kinematics. In Applied Mechanics; Hetényi, M., Vincenti, W.G., Eds.; Springer: Berlin/Heidelberg, Germany, 1969; pp. 400–414. [Google Scholar]
- Roth, B.; Yang, A.T. Application of instantaneous invariants to the analysis and synthesis of mechanisms. J. Manuf. Sci. Eng. 1977, 99, 97–103. [Google Scholar] [CrossRef]
- Sancibrian, R.; Sarabia, E.G.; Sedano, A.; Blanco, J.M. A general method for the optimal synthesis of mechanisms using prescribed instant center positions. Appl. Math. Model. 2016, 40, 2206–2222. [Google Scholar] [CrossRef]
- Cera, M.; Cirelli, M.; Pennestrì, E.; Valentini, P.P.; Shanmukhasundaram, V.R. Path Curvature Theory: A Classic and Effective Design Tool. In Advances in Industrial Machines and Mechanisms; Rao, Y.V.D., Amarnath, C., Regalla, S.P., Javed, A., Singh, K.K., Eds.; Springer: Singapore, 2021; pp. 15–25. [Google Scholar]
- Cera, M.; Pennestrì, E. Generalized Burmester points computation by means of Bottema’s instantaneous invariants and intrinsic geometry. Mech. Mach. Theory 2018, 129, 316–335. [Google Scholar] [CrossRef]
- Wang, W.; Huang, L.; Liao, D. Kinematics of coupler curves for spherical four-bar linkages based on new spherical adjoint approach. Appl. Math. Model. 2020, 82, 91–107. [Google Scholar] [CrossRef]
- Shirazi, K.H. Computer modelling and geometric construction for four-point synthesis of 4R spherical linkages. Appl. Math. Model. 2007, 31, 1874–1888. [Google Scholar] [CrossRef]
- Wunderlich, W. Approximate optimization of Watt’s straight-line mechanism. Mech. Mach. Theory 1978, 13, 155–160. [Google Scholar] [CrossRef]
- Yang, S.; Li, Y. Classification and analysis of constraint singularities for parallel mechanisms using differential manifolds. Appl. Math. Model. 2020, 77, 469–477. [Google Scholar] [CrossRef]
- Li, Z.; Müller, A. Mechanism singularities and shakiness from an algebraic viewpoint. Mech. Mach. Theory 2024, 191, 105510. [Google Scholar] [CrossRef]
- Wu, L.; Mueller, A.; Dai, J.S. A matrix method to determine infinitesimally mobile linkages with only first-order infinitesimal mobility. Mech. Mach. Theory 2020, 148, 103776. [Google Scholar] [CrossRef]
- Wohlhart, K. Degrees of shakiness. Mech. Mach. Theory 1999, 34, 1103–1126. [Google Scholar] [CrossRef]
- Wohlhart, K. From higher degrees of shakiness to mobility. Mech. Mach. Theory 2010, 45, 467–476. [Google Scholar] [CrossRef]
- Müller, A. Higher derivatives of the kinematic mapping and some applications. Mech. Mach. Theory 2014, 76, 70–85. [Google Scholar] [CrossRef]
- Dai, J.S.; Huang, Z.; Lipkin, H. Mobility of overconstrained parallel mechanisms. J. Mech. Des. 2006, 128, 220–229. [Google Scholar] [CrossRef]
- Dai, J.S.; Holland, N.; Kerr, D.R. Finite Twist Mapping and its Application to Planar Serial Manipulators with Revolute Joints. Proc. Inst. Mech. Eng. Part C J. Mech. Eng. Sci. 1995, 209, 263–271. [Google Scholar] [CrossRef]
- Kong, X. Motion/structure mode analysis and classification of n-RR planar parallelogram mechanisms. Mech. Mach. Theory 2022, 169, 104623. [Google Scholar] [CrossRef]






Disclaimer/Publisher’s Note: The statements, opinions and data contained in all publications are solely those of the individual author(s) and contributor(s) and not of MDPI and/or the editor(s). MDPI and/or the editor(s) disclaim responsibility for any injury to people or property resulting from any ideas, methods, instructions or products referred to in the content. |
© 2024 by the authors. Licensee MDPI, Basel, Switzerland. This article is an open access article distributed under the terms and conditions of the Creative Commons Attribution (CC BY) license (https://creativecommons.org/licenses/by/4.0/).
Share and Cite
Wu, L.; Cai, J.; Dai, J.S. Analyzing Higher-Order Curvature of Four-Bar Linkages with Derivatives of Screws. Machines 2024, 12, 576. https://doi.org/10.3390/machines12080576
Wu L, Cai J, Dai JS. Analyzing Higher-Order Curvature of Four-Bar Linkages with Derivatives of Screws. Machines. 2024; 12(8):576. https://doi.org/10.3390/machines12080576
Chicago/Turabian StyleWu, Liheng, Jianguo Cai, and Jian S. Dai. 2024. "Analyzing Higher-Order Curvature of Four-Bar Linkages with Derivatives of Screws" Machines 12, no. 8: 576. https://doi.org/10.3390/machines12080576
APA StyleWu, L., Cai, J., & Dai, J. S. (2024). Analyzing Higher-Order Curvature of Four-Bar Linkages with Derivatives of Screws. Machines, 12(8), 576. https://doi.org/10.3390/machines12080576
