Research on the Dynamic Characteristics of a Gas Purification Pipeline Robot in Goafs
Abstract
1. Introduction
2. Structural Design of the Gas Purification Pipeline Robot
2.1. Overall Assembly Drawing
2.2. Drive Unit Design
2.3. Sealing and Extraction Unit Design
2.4. Dust Removal Unit Design
3. Wet Dust Removal Process Analysis
3.1. Study on Wet Droplet Dust Removal Mechanism
3.1.1. Inertial Impaction
3.1.2. Interception
3.1.3. Brownian Motion
3.2. Study on the Dust Filtration Efficiency of the Grid Structure
4. Robot Simulation Analysis
4.1. Traction Force Simulation of the Robot
4.2. Dust Removal Simulation of the Robot
4.2.1. Influence of Inlet Flow Velocity on Dust Removal Efficiency
4.2.2. Influence of Water Mist Jet Pressure on Dust Removal Efficiency
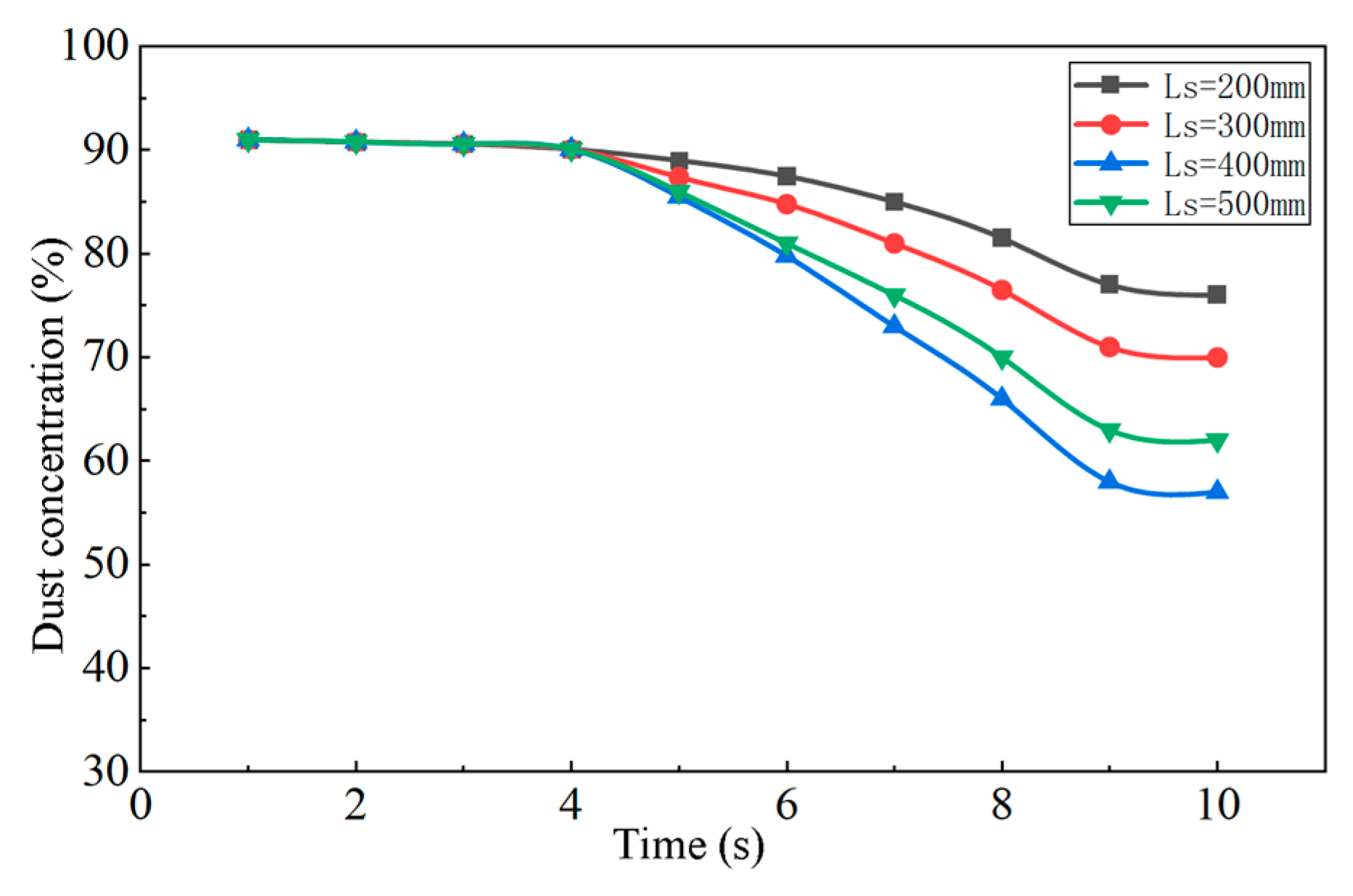
4.2.3. Influence of Double-Layer String Grid Spacing on Dust Removal Efficiency
5. Robot Experimental Testing
5.1. Construction of the Robot Experimental Platform
5.2. Robot Traction Force Experiment
5.3. Robot Dust Removal Experiment
5.3.1. Experimental Analysis of Inlet Flow Velocity in the Flow Field
5.3.2. Experimental Analysis of Water Mist Jet Pressure
5.3.3. Experimental Analysis of Double-Layer Grid Spacing
6. Conclusions
- (1)
- A gas purification pipeline robot combining helical drive and wet dust removal was designed. Through a modular design, the coordinated operation of the driving, sealing–extraction, and dust removal units was achieved, enabling adaptive operation in pipelines with diameters ranging from DN180 to DN220. The robot is enclosed in a flame-retardant and explosion-proof shell, ensuring operational safety while effectively removing dust from gas mixtures, thereby enhancing the safety and data reliability of subsequent underground gas monitoring.
- (2)
- The robot’s motion characteristics were analyzed, including its performance in straight pipelines and traction capability. A dynamic model for straight-pipe motion was established to derive the relationship between the drive wheel deflection angle and the robot’s velocity, as well as the trajectory equation. The traction force experienced during movement was investigated, revealing that the force increases with the drive wheel deflection angle and then stabilizes. Additionally, three dust removal mechanisms—inertial impaction, interception, and Brownian diffusion—were analyzed, and the influence of key parameters, namely the inlet flow velocity, water mist jet pressure, and double-layer grid spacing, on the dust removal efficiency was explored.
- (3)
- The robot’s motion process was simulated using Adams virtual prototyping technology. The results showed that the traction force increases with the deflection angle of the drive wheels. A numerical simulation of the wet dust removal process was conducted using Fluent, demonstrating that variations in the inlet flow velocity, water mist jet pressure, and double-layer grid spacing significantly influence the inertial collision rate, interception efficiency, and dust concentration. Each of these parameters has an optimal value that maximizes the dust removal efficiency.
- (4)
- A physical prototype was developed and its performance tested. The measured traction force ranged from 30 N to 65 N when the drive wheel deflection angle was between 30° and 90°. An experimental platform for dust removal was constructed, and dust removal experiments confirmed that the optimal operating condition is achieved at an inlet flow velocity of 5 m/s, a jet pressure of 0.6 MPa, and a double-layer grid spacing of 400 mm. These experimental results are consistent with the simulation analysis, verifying the accuracy and reliability of the simulation conclusions.
7. Future Work
Author Contributions
Funding
Data Availability Statement
Acknowledgments
Conflicts of Interest
Correction Statement
References
- Deng, J.; Li, X.; Wang, K.; Wang, W.; Yan, J.; Tang, Z.; Kang, F.; Ren, S. Intelligent Monitoring and Early Warning Technology for Mine Fires: Research Progress and Prospects Over the Past 20 Years. Coal Sci. Technol. 2024, 52, 154–177. [Google Scholar]
- Yin, W.H. Current Situation, Trends, and Countermeasures in China’s Energy Industry. China Price 2024, 2, 15–20. [Google Scholar]
- Wang, K.; Ding, C.; Jiang, S.; Wu, Z.; Shao, H.; Zhang, W. Application of the Addition of Ionic Liquids Using a Complex Wetting Agent to Enhance Dust Control Efficiency During Coal Mining. Process Saf. Environ. Prot. 2018, 122, 13–22. [Google Scholar] [CrossRef]
- Zhou, G.; Jing, B.; Meng, Q.; Liu, Y.; Yang, W.; Sun, B. Study on Coupling Diffusion of Composite Dust and Cloud-Mist Dedust Technology in Fully Mechanized Driving Face of Mixed Coal-Rock Roadway. Adv. Powder Technol. 2023, 34, 103911. [Google Scholar] [CrossRef]
- Peng, H.; Nie, W.; Zhang, X.; Xu, C.; Meng, X.; Cheng, W.; Liu, Q.; Hua, Y. Research on the Blowing-Spraying Synergistic Dust Removal Technology for Clean Environment in Large-Scale Mechanization Coal Mine. Fuel 2022, 324, 124508. [Google Scholar] [CrossRef]
- Wang, Y.; Jiang, Z.; Zhang, F.; Lu, Y.; Bao, Y. Study on Dust Diffusion Characteristics of Continuous Dust Sources and Spray Dust Control Technology in Fully Mechanized Working Face. Powder Technol. 2022, 396, 718–730. [Google Scholar] [CrossRef]
- Lin, B.Q.; Li, Q.Z.; Zhou, Y. Research Progress on Multi-Field Evolution of Gas and Coal Spontaneous Combustion Composite Thermodynamic Hazards in Goaf of Coal Mines. J. China Coal Soc. 2021, 46, 1695–1705. [Google Scholar]
- Si, R.J.; Huang, Z.C. Key Technologies and Development Trends in Coal Dust Explosion Disaster Prevention and Control. Min. Saf. Environ. Prot. 2024, 51, 45–50. [Google Scholar]
- Guo, J. Research and Application of Nitrogen Injection Technology in Goaf of Fully Mechanized Working Face. Tongmei Sci. Technol. 2021, 179, 56–58. [Google Scholar]
- Zhao, J.B.; Chen, Y.P. Application of the Novel JSG6 Tube Bundle Monitoring System in Fire Prevention and Extinguishing at Shangwan Coal Mine. Coal Eng. 2022, 54, 95–98. [Google Scholar]
- Kwon, Y.-S.; Yi, B.-J. Design and Motion Planning of a Two-Module Collaborative Indoor Pipeline Inspection Robot. IEEE Trans. Robot. 2012, 28, 681–696. [Google Scholar] [CrossRef]
- Kakogawa, A.; Sekiya, K.; Nakazawa, R.; Ikuno, Y. A V-Shaped In-Pipe Robot to Travel Through Complex Winding Pathways in Three Dimensions. J. Field Robot. 2024, 41, 123–135. [Google Scholar] [CrossRef]
- Jeon, K.W.; Jung, E.J. Development of an In-Pipe Inspection Robot for Large-Diameter Water Pipes. Sensors 2024, 24, 3470. [Google Scholar] [CrossRef] [PubMed]
- Thung-Od, K.; Kanjanawanishkul, K.; Boonyaprapasorn, A. An In-Pipe Inspection Robot with Permanent Magnets and Omnidirectional Wheels: Design and Implementation. Appl. Sci. 2022, 12, 1226. [Google Scholar] [CrossRef]
- Roh, S.-G.; Choi, H.R. Differential-Drive In-Pipe Robot for Moving Inside Urban Gas Pipelines. IEEE Trans. Robot. 2005, 21, 1–17. [Google Scholar]
- Shi, N.; Li, H.; Xu, T.; Hua, H.; Ye, J.; Chen, Z. Design, Analysis, and Optimization Testing of a Novel Modular Walking Device for Pipeline Robots. Machines 2024, 12, 718. [Google Scholar] [CrossRef]
- Li, J.; Huang, F.; Tu, C.; Tian, M.; Wang, X. Elastic Obstacle-Surmounting Pipeline-Climbing Robot with Composite Wheels. Machines 2022, 10, 874. [Google Scholar] [CrossRef]
- Yan, H.W.; Niu, H.L.; Chang, Q.; Zhao, P.; He, B. Study on Dynamic Characteristics of Pipeline Jet Cleaning Robot. Actuators 2024, 13, 49. [Google Scholar] [CrossRef]
- Chang, Q.; Yan, H.W.; Niu, H.L.; Zhao, P.Y.; He, B.L. Motion Analysis of Pipeline Inspection and Cleaning Robot Inside Pipes. J. Mech. Transm. 2024, 48, 155–163. [Google Scholar]
- Yan, H.W.; Zhao, P.Y.; Xiao, C.J.; Zhang, D.; Jiao, S.; Pan, H.; Wu, X. Design and Kinematic Characteristic Analysis of a Spiral Robot for Oil and Gas Pipeline Inspections. Actuators 2023, 12, 240. [Google Scholar] [CrossRef]
- Guo, S.W.; Liu, Y.Z.; Zhang, C.; Zhang, C.; Wang, S.; Li, Y.; Cheng, S. Computational Fluid Dynamics Analysis of Wet Dust Removal in High-Gravity Countercurrent Rotating Packed Bed. Atmosphere 2024, 15, 157. [Google Scholar] [CrossRef]
- Wu, Z.R.; Wang, H.Q.; Guo, H.; Gu, M.; Jiang, J.; Chen, S.; Huang, J.; Fan, S. Experimental Investigation and Application of Mine Airflow Purification and Reuse Technology. Environ. Technol. Innov. 2021, 24, 101845. [Google Scholar] [CrossRef]
- Cao, Y.; Xiao, Y.; Wang, Z.P.; Li, Q.W.; Shu, C.M.; Jiang, X.R.; Wu, S.L. Recent Progress and Perspectives on Coal Dust Sources, Transport, Hazards, and Controls in Underground Mines. Process Saf. Environ. Prot. 2024, 187, 159–194. [Google Scholar] [CrossRef]
- Zhu, N.T.; Chen, W.S.; Huang, D.P.; Fan, Y.F. Performance Study of Porous Media Wet Scrubbers for Collecting Fine Particulate Matter. Met. Mine 2021, 10, 204–208. [Google Scholar]
- Li, S. Design and Experimental Study of a Three-Stage Composite Wet Scrubber. Ph.D. Thesis, Qingdao University of Science and Technology, Qingdao, China, 2019. [Google Scholar]
- Li, H.Y.; Dong, G.L.; Zhang, J.Y.; Wang, S.X.; Zhang, Y.C. Research Progress on Dust Suppression Technology Based on Wet Dust Removal. Energy Conserv. 2022, 41, 77–80. [Google Scholar]
- Wang, J.J. Research on Dust Detection and Spray Dust Suppression Technology in Coal Mining Operations. Master’s Thesis, Xi’an University of Science and Technology, Xi’an, China, 2018. [Google Scholar]
- Urbanowicz, K.; Bergant, A.; Stosiak, M.; Deptuła, A.; Karpenko, M. Navier-Stokes Solutions for Accelerating Pipe Flow—A Review of Analytical Models. Energies 2023, 16, 1407. [Google Scholar] [CrossRef]
- Karpenko, M.; Stosiak, M.; Šukevičius, Š.; Skačkauskas, P.; Urbanowicz, K.; Deptuła, A. Hydrodynamic Processes in Angular Fitting Connections of a Transport Machine’s Hydraulic Drive. Machines 2023, 11, 355. [Google Scholar] [CrossRef]


































| No. | Main Performance Parameters of the Gas Purification Pipeline Robot | |
|---|---|---|
| 1 | Pipeline inner diameter range | DN180~DN220 |
| 2 | Air pump flow rate | 5 L/min |
| 3 | Operating speed | 4 m/min |
| 4 | Traction force of driving mechanism | FT ≥ 30 N |
| 5 | Obstacle-crossing height | 5 mm |
| 6 | Endurance time | >8 h |
| 7 | Dust removal efficiency | ≥80% |
| Particle Diameter | D (cm2/s) |
|---|---|
| 10 | 2.42 × 10−8 |
| 1 | 2.73 × 10−7 |
| 0.1 | 6.11 × 10−6 |
| 0.01 | 4.02 × 10−4 |
| 0.001 | 3.81 × 10−2 |
| No. | Parameter | Value | Unit |
|---|---|---|---|
| 1 | Mass of drive unit | 5 | kg |
| 2 | Length of drive unit | 490 | mm |
| 3 | Radius of drive wheel | 25 | mm |
| 4 | Torque of drive wheel | 2 | N·m |
| 5 | Contact damping coefficient | 2.3 | |
| 6 | Static friction coefficient | 0.4 | |
| 7 | Dynamic friction coefficient | 0.2 |
| Inflow Velocity (m/s) | Maximum Inlet Velocity (m/s) | Velocity in Tail Region (m/s) | Velocity Gradient | Turbulent Kinetic Energy k |
|---|---|---|---|---|
| 1 | 1.12 | 0.82 | 0.30 | 0.040 |
| 2 | 2.14 | 1.83 | 0.31 | 0.041 |
| 3 | 3.15 | 2.85 | 0.30 | 0.040 |
| 4 | 4.02 | 3.68 | 0.34 | 0.043 |
| 5 | 5.11 | 4.75 | 0.36 | 0.050 |
| 6 | 6.05 | 5.01 | 1.04 | 0.220 |
| Parameter | Density (kg/m3) | Dynamic Viscosity (Pa·s) | Specific Heat Capacity (J/kg/K) | Thermal Conductivity (W/m/K) |
|---|---|---|---|---|
| Air | 1.205 | 1.79 × 10−5 | 1006.43 | 0.024 |
| Water | 998.0 | 1.00 × 10−3 | 4186.00 | 0.606 |
| Test No. | Experimental Condition | Comparative Study | Influencing Factors | Experimental Value |
|---|---|---|---|---|
| Condition 1 | Water mist jet pressure: 0.6 MPa | Grid spacing: 200, 300, 400, 500 mm | Inlet flow velocities: 1, 2, 3, 4, 5, 6 m/s | Dust removal efficiency (%) |
| Condition 2 | Grid spacing: 400 mm | Inlet flow velocities: 1, 2, 3, 4, 5, 6 m/s | Water mist jet pressures: 0.3, 0.45, 0.6, 0.75 MPa | Dust removal efficiency (%) |
| Condition 3 | Inlet flow velocity: 5 m/s | Water mist jet pressures: 0.3, 0.45, 0.6, 0.75 MPa | Grid spacing: 200, 300, 400, 500 mm | Dust removal efficiency (%) |
| Inlet Flow Velocity (m/s) | Grid Spacing (mm) | |||
|---|---|---|---|---|
| Dust Removal Efficiency (%) | ||||
| 200 | 300 | 400 | 500 | |
| 1 | 82.4 | 83.2 | 85.6 | 83.1 |
| 2 | 83.1 | 84.7 | 86.5 | 84.2 |
| 3 | 84.5 | 85.4 | 87.3 | 85.0 |
| 4 | 85.3 | 86.2 | 88.2 | 85.9 |
| 5 | 86.6 | 87.8 | 89.5 | 87.2 |
| 6 | 86.1 | 86.7 | 88.7 | 86.5 |
| Water Mist Jet Pressure (MPa) | Inlet Flow Velocity (m/s) | |||||
|---|---|---|---|---|---|---|
| Dust Removal Efficiency (%) | ||||||
| 1 | 2 | 3 | 4 | 5 | 6 | |
| 0.3 | 82.4 | 83.1 | 84.5 | 85.3 | 87.6 | 86.7 |
| 0.45 | 83.3 | 83.9 | 85.1 | 86.2 | 88.4 | 87.7 |
| 0.6 | 85.1 | 86.0 | 86.9 | 87.8 | 90.0 | 87.3 |
| 0.75 | 86.4 | 86.1 | 86.7 | 86.9 | 88.1 | 87.5 |
| Grid Spacing (mm) | Water Mist Jet Pressure (MPa) | |||
|---|---|---|---|---|
| Dust Removal Efficiency (%) | ||||
| 0.3 | 0.45 | 0.6 | 0.75 | |
| 200 | 83.1 | 83.9 | 86.0 | 86.1 |
| 300 | 84.4 | 85.3 | 86.8 | 86.1 |
| 400 | 86.5 | 87.7 | 88.6 | 86.9 |
| 500 | 84.9 | 85.8. | 87.2 | 86.5 |
Disclaimer/Publisher’s Note: The statements, opinions and data contained in all publications are solely those of the individual author(s) and contributor(s) and not of MDPI and/or the editor(s). MDPI and/or the editor(s) disclaim responsibility for any injury to people or property resulting from any ideas, methods, instructions or products referred to in the content. |
© 2025 by the authors. Licensee MDPI, Basel, Switzerland. This article is an open access article distributed under the terms and conditions of the Creative Commons Attribution (CC BY) license (https://creativecommons.org/licenses/by/4.0/).
Share and Cite
Yan, H.; Ma, Y.; Wei, H.; Kou, Z.; Ren, H.; Wang, G. Research on the Dynamic Characteristics of a Gas Purification Pipeline Robot in Goafs. Machines 2025, 13, 889. https://doi.org/10.3390/machines13100889
Yan H, Ma Y, Wei H, Kou Z, Ren H, Wang G. Research on the Dynamic Characteristics of a Gas Purification Pipeline Robot in Goafs. Machines. 2025; 13(10):889. https://doi.org/10.3390/machines13100889
Chicago/Turabian StyleYan, Hongwei, Yaohui Ma, Hongmei Wei, Ziming Kou, Haojie Ren, and Guorui Wang. 2025. "Research on the Dynamic Characteristics of a Gas Purification Pipeline Robot in Goafs" Machines 13, no. 10: 889. https://doi.org/10.3390/machines13100889
APA StyleYan, H., Ma, Y., Wei, H., Kou, Z., Ren, H., & Wang, G. (2025). Research on the Dynamic Characteristics of a Gas Purification Pipeline Robot in Goafs. Machines, 13(10), 889. https://doi.org/10.3390/machines13100889

