Tractography-Enhanced Biopsy of Central Core Motor Eloquent Tumours: A Simulation-Based Study
Abstract
1. Introduction
2. Methods
3. Results
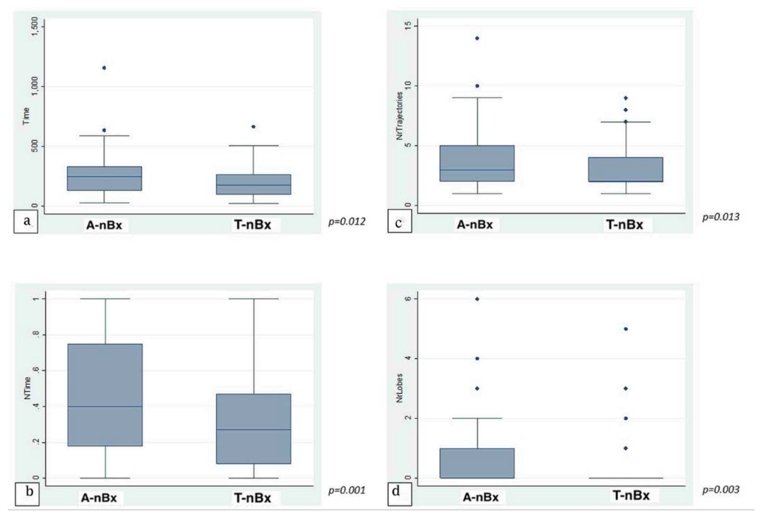
3.1. Trajectory Planning Time
3.2. Trajectory/Lobe Changes
3.3. Trajectory Safety Index
3.4. Graph-Based Clustering
4. Discussion
4.1. Tractography-Enhanced Planning Reduces Trajectory Planning Time
4.2. Tractography-Enhanced Planning and Changes in the Trajectories/Lobes
4.3. Tractography-Enhanced Planning Aids in Safe Trajectory Planning
4.4. Tractography—Reliability Limitation
4.5. Limitations and Future Work
5. Conclusions
Author Contributions
Funding
Institutional Review Board Statement
Informed Consent Statement
Data Availability Statement
Acknowledgments
Conflicts of Interest
References
- Krieg, S.M.; Sabih, J.; Bulubasova, L.; Obermueller, T.; Negwer, C.; Janssen, I.; Shiban, E.; Meyer, B.; Ringel, F. Preoperative motor mapping by navigated transcranial magnetic brain stimulation improves outcome for motor eloquent lesions. Neuro-Oncology 2014, 16, 1274–1282. [Google Scholar] [CrossRef] [PubMed]
- Frey, D.; Schilt, S.; Strack, V.; Zdunczyk, A.; Rösler, J.; Niraula, B.; Vajkoczy, P.; Picht, T. Navigated transcranial magnetic stimulation improves the treatment outcome in patients with brain tumors in motor eloquent locations. Neuro Oncol. 2014, 16, 1365–1372. [Google Scholar] [CrossRef] [PubMed]
- Raabe, A.; Beck, J.; Schucht, P.; Seidel, K. Continuous dynamic mapping of the corticospinal tract during surgery of motor eloquent brain tumors: Evaluation of a new method: Clinical article. J. Neurosurg. 2014, 120, 1015–1024. [Google Scholar] [CrossRef] [PubMed]
- Zhang, J.-S.; Qu, L.; Wang, Q.; Jin, W.; Hou, Y.-Z.; Sun, G.-C.; Li, F.-Y.; Yu, X.-G.; Xu, B.-N.; Chen, X.-L. Intraoperative visualisation of functional structures facilitates safe frameless stereotactic biopsy in the motor eloquent regions of the brain. Br. J. Neurosurg. 2018, 32, 372–380. [Google Scholar] [CrossRef]
- McGirt, M.J.; Woodworth, G.; Frazier, J.; Coon, A.; Garonzik, I.; Olivi, A.; Weingart, J. Independent predictors of morbidity after image-guided stereotactic brain biopsy: A risk assessment of 270 cases. J. Neurosurg. 2005, 102, 897–901. [Google Scholar] [CrossRef]
- Chambless, L.B.; Kistka, H.M.; Parker, S.L.; Hassam-Malani, L.; McGirt, M.J.; Thompson, R.C. The relative value of postoperative versus preoperative Karnofsky Performance Scale scores as a predictor of survival after surgical resection of glioblastoma multiforme. J. Neurooncol. 2015, 121, 359–364. [Google Scholar] [CrossRef]
- Elder, J.B.; Chiocca, E.A. Low karnofsky performance scale score and glioblastoma multiforme. J. Neurosurg. 2011, 115, 217–218. [Google Scholar] [CrossRef]
- Zrinzo, L.; Foltynie, T.; Limousin, P.; Hariz, M.I. Reducing hemorrhagic complications in functional neurosurgery: A large case series and systematic literature review—Clinical article. J. Neurosurg. 2012, 116, 84–94. [Google Scholar] [CrossRef]
- Jellison, B.J.; Field, A.S.; Medow, J.; Lazar, M.; Salamat, M.S.; Alexander, A.L. Diffusion Tensor Imaging of Cerebral White Matter: A Pictorial Review of Physics, Fiber Tract Anatomy, and Tumor Imaging Patterns. Am. J. Neuroradiol. 2004, 25, 356–369. [Google Scholar]
- Nimsky, C.; Ganslandt, O.; Merhof, D.; Sorensen, A.G.; Fahlbusch, R. Intraoperative visualization of the pyramidal tract by diffusion-tensor-imaging-based fiber tracking. Neuroimage 2006, 30, 1219–1229. [Google Scholar] [CrossRef]
- Coenen, V.A.; Krings, T.; Mayfrank, L.; Polin, R.S.; Reinges, M.H.; Thron, A.; Gilsbach, J.M. Three-dimensional visualization of the pyramidal tract in a neuronavigation system during brain tumor surgery: First experiences and technical note. Neurosurgery 2001, 49, 86–93. [Google Scholar]
- Potgieser, A.R.E.; Wagemakers, M.; Van Hulzen, A.L.J.; De Jong, B.M.; Hoving, E.W.; Groen, R.J.M. The role of diffusion tensor imaging in brain tumor surgery: A review of the literature. Clin. Neurol. Neurosurg. 2014, 124, 51–58. [Google Scholar] [CrossRef]
- Bertuccio, A.; Elia, A.; Robba, C.; Scaglione, G.; Longo, G.P.; Sgubin, D.; Vitali, M.; Barbanera, A. Frameless Stereotactic Biopsy with DTI-Based Tractography Integration: How to Adjust the Trajectory—A Case Series. World Neurosurg. 2020, 143, 346–352. [Google Scholar] [CrossRef]
- Dell’Acqua, F.; Tournier, J.D. Modelling white matter with spherical deconvolution: How and why? NMR Biomed. 2019, 32, e3945. [Google Scholar] [CrossRef]
- Jones, D.K.; Cercignani, M. Twenty-five pitfalls in the analysis of diffusion MRI data. NMR Biomed. 2010, 23, 803–820. [Google Scholar] [CrossRef]
- Bernardo, A. Virtual Reality and Simulation in Neurosurgical Training. World Neurosurg. 2017, 106, 1015–1029. [Google Scholar] [CrossRef]
- Mishra, R.; Narayanan, K.; Umana, G.E.; Montemurro, N.; Chaurasia, B.; Deora, H. Virtual Reality in Neurosurgery: Beyond Neurosurgical Planning. Int. J. Environ. Res. Public Health 2022, 19, 1719. [Google Scholar] [CrossRef]
- Ribas, E.C.; Yagmurlu, K.; De Oliveira, E.; Ribas, G.C.; Rhoton, A. Microsurgical anatomy of the central core of the brain. J. Neurosurg. 2018, 129, 752–769. [Google Scholar] [CrossRef]
- Sparks, R.; Vakharia, V.; Rodionov, R.; Vos, S.B.; Diehl, B.; Wehner, T.; Miserocchi, A.; McEvoy, A.W.; Duncan, J.S.; Ourselin, S. Anatomy-driven multiple trajectory planning (ADMTP) of intracranial electrodes for epilepsy surgery. Int. J. Comput. Assist. Radiol. Surg. 2017, 12, 1245–1255. [Google Scholar] [CrossRef]
- Vakharia, V.N.; Sparks, R.; Rodionov, R.; Vos, S.B.; Dorfer, C.; Miller, J.; Nilsson, D.; Tisdall, M.; Wolfsberger, S.; McEvoy, A.W.; et al. Computer-assisted planning for the insertion of stereoelectroencephalography electrodes for the investigation of drug-resistant focal epilepsy: An external validation study. J. Neurosurg. 2019, 130, 601–610. [Google Scholar] [CrossRef]
- Elias, W.J.; Sansur, C.A.; Frysinger, R.C. Sulcal and ventricular trajectories in stereotactic surgery. J. Neurosurg. 2009, 110, 201–207. [Google Scholar] [CrossRef] [PubMed]
- Allaoui, M.; Kherfi, M.L.; Cheriet, A. Considerably Improving Clustering Algorithms Using UMAP Dimensionality Reduction Technique: A Comparative Study. In Lecture Notes in Computer Science; Including subseries Lecture Notes in Artificial Intelligence and Lecture Notes in Bioinformatics; Springer: Berlin/Heidelberg, Germany, 2020; Volume 12119, pp. 317–325. [Google Scholar]
- Wise, J. How to become a neurosurgeon. BMJ 2020, 368, m317. [Google Scholar] [CrossRef] [PubMed]
- Duffau, H. The dangers of magnetic resonance imaging diffusion tensor tractography in brain surgery. World Neurosurg. 2014, 81, 56–58. [Google Scholar] [CrossRef] [PubMed]
- Marcus, H.J.; Vakharia, V.N.; Sparks, R.; Rodionov, R.; Kitchen, N.; McEvoy, A.W.; Miserocchi, A.; Thorne, L.; Ourselin, S.; Duncan, J.S. Computer-Assisted Versus Manual Planning for Stereotactic Brain Biopsy: A Retrospective Comparative Pilot Study. Oper. Neurosurg. 2020, 18, 417–422. [Google Scholar] [CrossRef]
- Schilling, K.G.; Daducci, A.; Maier-Hein, K.; Poupon, C.; Houde, J.C.; Nath, V.; Anderson, A.W.; Landman, B.A.; Descoteaux, M. Challenges in diffusion MRI tractography—Lessons learned from international benchmark competitions. Magn. Reason. Imaging 2019, 57, 194–209. [Google Scholar] [CrossRef]
- Vakharia, V.N.; Sparks, R.E.; Granados, A.; Miserocchi, A.; McEvoy, A.W.; Ourselin, S.; Duncan, J.S. Refining Planning for Stereoelectroencephalography: A Prospective Validation of Spatial Priors for Computer-Assisted Planning with Application of Dynamic Learning. Front. Neurol. 2020, 11, 706. [Google Scholar] [CrossRef]
- Kirkman, M.A.; Ahmed, M.; Albert, A.F.; Wilson, M.H.; Nandi, D.; Sevdalis, N. The use of simulation in neurosurgical education and training: A systematic review. J. Neurosurg. 2014, 121, 228–246. [Google Scholar] [CrossRef]






| Whole Cohort (n-190) | T-nBx Group (n-95) | A-nBx Group (n-95) | p Value | p Value (after Adjusting for Neurosurgical Experience) | |
|---|---|---|---|---|---|
| Trajectory Planning Time (s) Absolute Values | 225.1 ± 21.97 | 197.5 ± 12.9 | 252.8 ± 16.8 | 0.012 | 0.012 | 
| Trajectory Planning Time (s) Normalization | 0.40 ± 0.02 | 0.33 ± 0.03 | 0.48 ± 0.03 | 0.001 | 0.001 | 
| Trajectory Changes | 3.28 ± 0.29 | 2.89 ± 0.17 | 3.66 ± 0.24 | 0.013 | 0.013 | 
| Lobe Changes | 0.45 ± 0.08 | 0.23 ± 0.08 | 0.66 ± 0.11 | 0.003 | 0.003 | 
| Safety Parameter | Overall Incidence n-190 (%) | T-nBx Group (n-95) | A-nBx Group (n-95) | p Value | p Value (after Adjusting for Neurosurgical Experience) | 
|---|---|---|---|---|---|
| Vessel | 106 (55.79) | 51 | 55 | 0.559 | 0.558 | 
| Sulcus | 93 (48.95) | 42 | 51 | 0.192 | 0.190 | 
| Eloquent cortex | 64 (33.86) | 23 | 41 | 0.007 | 0.007 | 
| Ventricle | 1 (0.53) | 0 | 1 | - | - | 
| Midline | 26 (13.76) | 14 | 12 | 0.652 | 0.655 | 
| CST (only T-nBx group; n-95) | 14 (14.74) | 14 | 0 | - | - | 
| Length of trajectory (mm) | 59.24 ± 8.3 | 54.54 ± 8.3 | 62.37 ± 5.87 | <0.001 | <0.001 | 
| Disclaimer/Publisher’s Note: The statements, opinions and data contained in all publications are solely those of the individual author(s) and contributor(s) and not of MDPI and/or the editor(s). MDPI and/or the editor(s) disclaim responsibility for any injury to people or property resulting from any ideas, methods, instructions or products referred to in the content. | 
© 2023 by the authors. Licensee MDPI, Basel, Switzerland. This article is an open access article distributed under the terms and conditions of the Creative Commons Attribution (CC BY) license (https://creativecommons.org/licenses/by/4.0/).
Share and Cite
Lalgudi Srinivasan, H.; Pedro Lavrador, J.; Tambirajoo, K.; Pang, G.; Patel, S.; Gullan, R.; Vergani, F.; Bhangoo, R.; Shapey, J.; Vasan, A.K.; et al. Tractography-Enhanced Biopsy of Central Core Motor Eloquent Tumours: A Simulation-Based Study. J. Pers. Med. 2023, 13, 467. https://doi.org/10.3390/jpm13030467
Lalgudi Srinivasan H, Pedro Lavrador J, Tambirajoo K, Pang G, Patel S, Gullan R, Vergani F, Bhangoo R, Shapey J, Vasan AK, et al. Tractography-Enhanced Biopsy of Central Core Motor Eloquent Tumours: A Simulation-Based Study. Journal of Personalized Medicine. 2023; 13(3):467. https://doi.org/10.3390/jpm13030467
Chicago/Turabian StyleLalgudi Srinivasan, Harishchandra, Jose Pedro Lavrador, Kantharuby Tambirajoo, Graeme Pang, Sabina Patel, Richard Gullan, Francesco Vergani, Ranjeev Bhangoo, Jonathan Shapey, Ahilan Kailaya Vasan, and et al. 2023. "Tractography-Enhanced Biopsy of Central Core Motor Eloquent Tumours: A Simulation-Based Study" Journal of Personalized Medicine 13, no. 3: 467. https://doi.org/10.3390/jpm13030467
APA StyleLalgudi Srinivasan, H., Pedro Lavrador, J., Tambirajoo, K., Pang, G., Patel, S., Gullan, R., Vergani, F., Bhangoo, R., Shapey, J., Vasan, A. K., & Ashkan, K. (2023). Tractography-Enhanced Biopsy of Central Core Motor Eloquent Tumours: A Simulation-Based Study. Journal of Personalized Medicine, 13(3), 467. https://doi.org/10.3390/jpm13030467
 
        





 
       