Baseline Variability Affects N-of-1 Intervention Effect: Simulation and Field Studies
Abstract
1. Introduction
2. Material and Methods
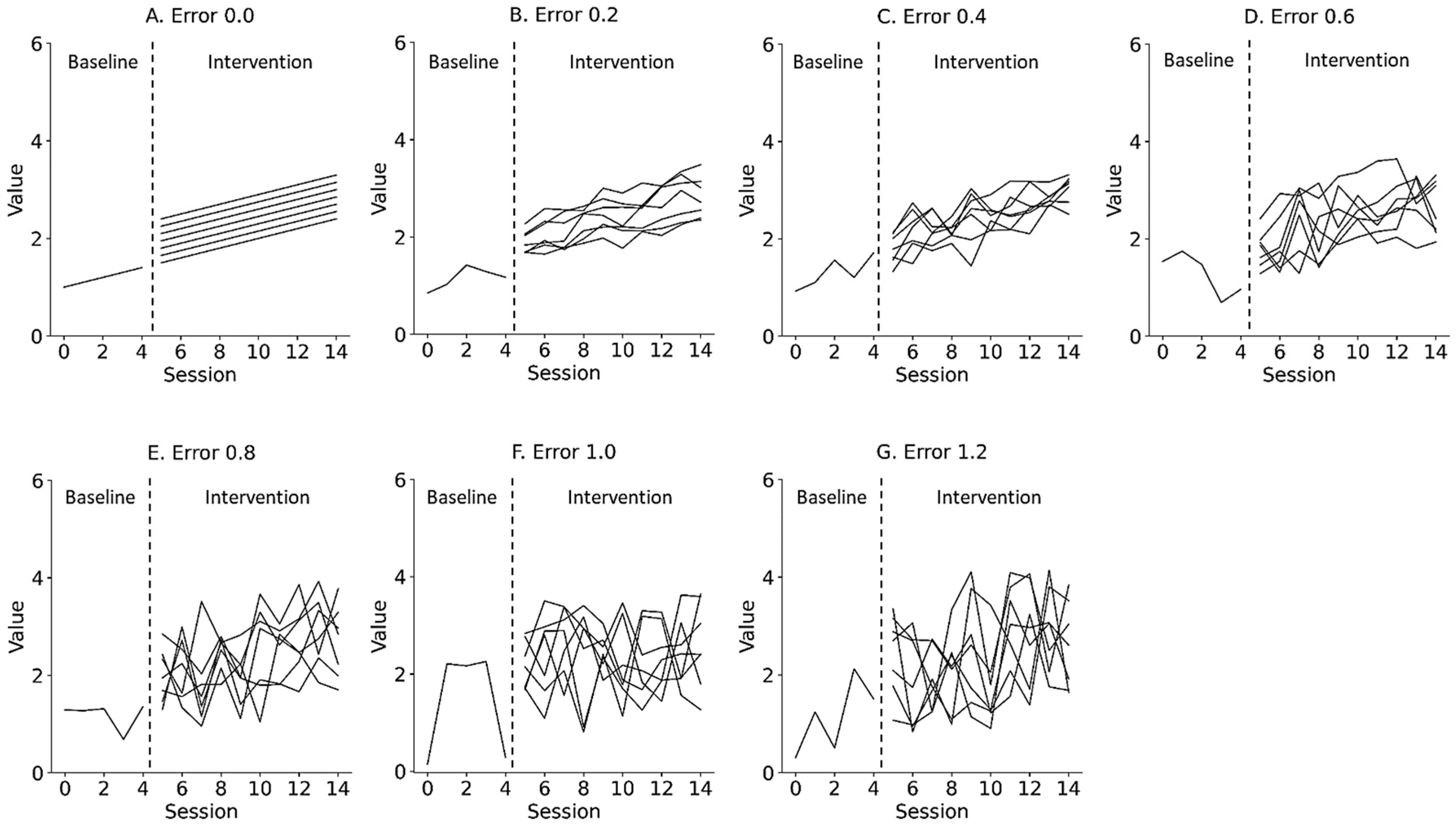
2.1. Simulation Study
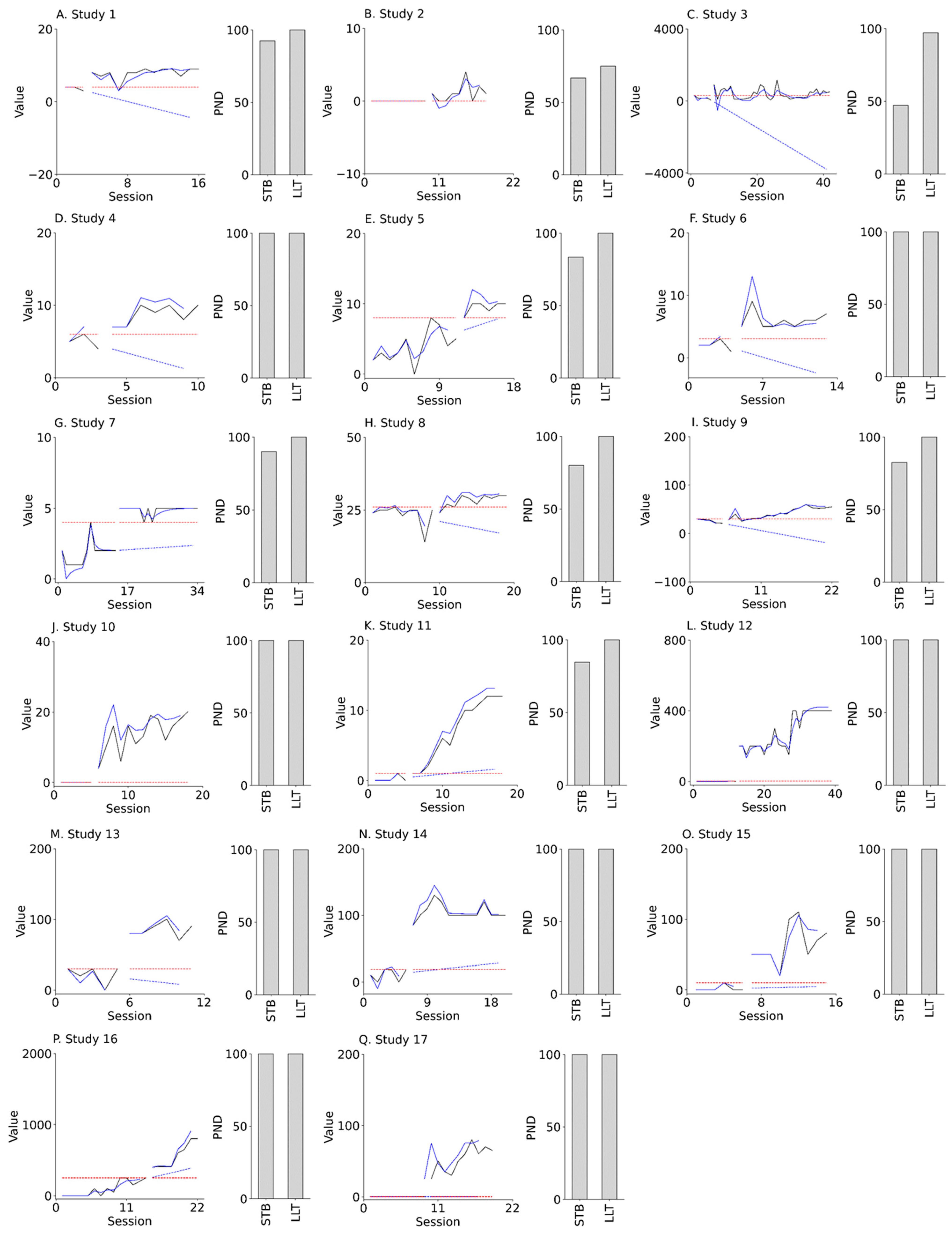
2.2. Field Study
3. Results
3.1. Simulation Study
3.2. Field Study
4. Discussion
5. Conclusions
Author Contributions
Funding
Institutional Review Board Statement
Informed Consent Statement
Data Availability Statement
Conflicts of Interest
References
- Nikles, J.; Evans, K.; Hams, A.; Sterling, M. A systematic review of N-of-1 trials and single case experimental designs in physiotherapy for musculoskeletal conditions. Musculoskelet. Sci. Pract. 2022, 62, 102639. [Google Scholar] [CrossRef]
- Lagerlund, H.; Thunborg, C.; Sandborgh, M. Behaviour-directed interventions for problematic person transfer situations in two dementia care dyads: A single-case design study. BMC Geriatr. 2022, 22, 261. [Google Scholar] [CrossRef]
- Vassallo, S.; Douglas, J. Visual scanpath training to emotional faces following severe traumatic brain injury: A single case design. J. Eye Mov. Res. 2021, 14. [Google Scholar] [CrossRef]
- Hedges, L.V.; Shadish, W.R.; Batley, P.N. Power analysis for single-case designs: Computations for (AB)k designs. Behav. Res. Methods 2022, 1–10. [Google Scholar] [CrossRef]
- Mische Lawson, L.; Foster, L.; Hodges, M.; Murphy, M.; O’neal, M.; Peters, L. Effects of Sensory Garments on Sleep of Children with Autism Spectrum Disorder. Occup. Ther. Int. 2022, 2022, 2941655. [Google Scholar] [CrossRef]
- Slocum, T.A.; Pinkelman, S.E.; Joslyn, P.R.; Nichols, B. Threats to Internal Validity in Multiple-Baseline Design Variations. Perspect. Behav. Sci. 2022, 45, 619–638. [Google Scholar] [CrossRef] [PubMed]
- Andelin, L.; Reynolds, S.; Schoen, S. Effectiveness of Occupational Therapy Using a Sensory Integration Approach: A Multiple-Baseline Design Study. Am. J. Occup. Ther. 2021, 75, 7506205030. [Google Scholar] [CrossRef] [PubMed]
- Munro, A.; Shakeshaft, A.; Breen, C.; Jones, M.; Oldmeadow, C.; Allan, J.; Snijder, M. The impact of Indigenous-led programs on alcohol-related criminal incidents: A multiple baseline design evaluation. Aust. N. Z. J. Public Health 2022, 46, 581–587. [Google Scholar] [CrossRef] [PubMed]
- Tur, C.; Campos, D.; Suso-Ribera, C.; Kazlauskas, E.; Castilla, D.; Zaragoza, I.; García-Palacios, A.; Quero, S. An Internet-delivered Cognitive-Behavioral Therapy (iCBT) for Prolonged Grief Disorder (PGD) in adults: A multiple-baseline single-case experimental design study. Internet Interv. 2022, 29, 100558. [Google Scholar] [CrossRef]
- Babb, S.; Jung, S.; Ousley, C.; McNaughton, D.; Light, J. Personalized AAC Intervention to Increase Participation and Communication for a Young Adult with Down Syndrome. Top. Lang. Disord. 2021, 41, 232–248. [Google Scholar] [CrossRef]
- Guyatt, G.H.; Haynes, R.B.; Jaeschke, R.Z.; Cook, D.J.; Green, L.; Naylor, C.D.; Wilson, M.C.; Richardson, W.S. Users’ Guides to the Medical Literature: XXV. Evidence-based medicine: Principles for applying the Users’ Guides to patient care. Evidence-Based Medicine Working Group. JAMA 2000, 284, 1290–1296. [Google Scholar] [CrossRef] [PubMed]
- Gujjar, K.R.; van Wijk, A.; Sharma, R.; de Jongh, A. Virtual Reality Exposure Therapy for the Treatment of Dental Phobia: A Controlled Feasibility Study. Behav. Cogn. Psychother. 2018, 46, 367–373. [Google Scholar] [CrossRef] [PubMed]
- Manolov, R. Does the choice of a linear trend-assessment technique matter in the context of single-case data? Behav. Res. Methods 2023, in press. [Google Scholar] [CrossRef]
- Leplow, B.; Pohl, J.; Wöllner, J.; Weise, D. Individual Response to Botulinum Toxin Therapy in Movement Disorders: A Time Series Analysis Approach. Toxins 2022, 14, 508. [Google Scholar] [CrossRef]
- Matko, K.; Sedlmeier, P.; Bringmann, H.C. Embodied Cognition in Meditation, Yoga, and Ethics-An Experimental Single-Case Study on the Differential Effects of Four Mind-Body Treatments. Int. J. Environ. Res. Public Health 2022, 19, 11734. [Google Scholar] [CrossRef]
- Suzuki, M.; Sugimura, Y.; Yamada, S.; Omori, Y.; Miyamoto, M.; Yamamoto, J.-I. Predicting Recovery of Cognitive Function Soon after Stroke: Differential Modeling of Logarithmic and Linear Regression. PLoS ONE 2013, 8, e53488. [Google Scholar] [CrossRef]
- Suzuki, M.; Omori, Y.; Sugimura, S.; Miyamoto, M.; Kirimoto, H.; Yamada, S. Predicting recovery of Bilateral upper extremity muscle strength after stroke. J. Rehabil. Med. 2011, 43, 935–943. [Google Scholar] [CrossRef]
- Suzuki, M.; Tanaka, S.; Gomez-Tames, J.; Okabe, T.; Cho, K.; Iso, N.; Hirata, A. Nonequivalent After-Effects of Alternating Current Stimulation on Motor Cortex Oscillation and Inhibition: Simulation and Experimental Study. Brain Sci. 2022, 12, 195. [Google Scholar] [CrossRef]
- Iwata, K.; Doi, A.; Miyakoshi, C. Was school closure effective in mitigating coronavirus disease 2019 (COVID-19)? Time series analysis using Bayesian inference. Int. J. Infect. Dis. 2020, 99, 57–61. [Google Scholar] [CrossRef]
- Logan, L.R.; Hickman, R.R.; Harris, S.R.; Heriza, C.B. Single-subject research design: Recommendations for levels of evidence and quality rating. Dev. Med. Child Neurol. 2008, 50, 99–103. [Google Scholar] [CrossRef]
- Byiers, B.J.; Reichle, J.; Symons, F.J. Single-Subject Experimental Design for Evidence-Based Practice. Am. J. Speech-Lang. Pathol. 2012, 21, 397–414. [Google Scholar] [CrossRef] [PubMed]
- Scruggs, T.E.; Mastropieri, M.A. Summarizing single-subject research. Issues and applications. Behav. Modif. 1998, 22, 221–242. [Google Scholar] [CrossRef]
- Suzuki, M.; Teramoto, M.; Yamasaki, Y.; Amimoto, K.; Uzura, M. Eeffect of the training on disability of dressing activity owing to pacing disoprder: An approach based on the token system. Sagyoryoho 2001, 20, 563–569. (In Japanese) [Google Scholar]
- Suzuki, M.; Yamasaki, Y.; Omori, Y.; Hatakeyama, M.; Sasa, M. The effectiveness of physical guidance for chopsticks operation. Sogo Rehabil. 2006, 34, 585–591. (In Japanese) [Google Scholar]
- Shimoda, S.; Omori, Y.; Suzuki, M. Ninchisho Kanjya No Shintai Katsudoryo Niokeru Gurafu Niyoru Mokuhyoteiji No Kokoromi. Rigakuryoho Gijyutsu Kenkyu 2007, 35, 38–40. (In Japanese) [Google Scholar]
- Miyamoto, M.; Nagamitsu, M.; Suzuki, M.; Morishita, F. Examination of bathing activities exercise method based on applied behavior analysis. J. Phys. Ther. 2007, 41, 941–945. (In Japanese) [Google Scholar]
- Suzuki, M.; Omori, Y.; Sugimura, S.; Uzura, M.; Yamamoto, J. Effectiveness of route training on topographic disorientation. Jpn. J. Behav. Anal. 2008, 22, 68–79. (In Japanese) [Google Scholar]
- Suzuki, M.; Omori, Y.; Sugimura, S.; Hatakeyama, M.; Matsushita, K.; Iijima, S. Effectiveness of training on activities of daily living for a patient with a severe cognitive disorder and severe right hemiplegia. Jpn. J. Behav. Anal. 2009, 24, 2–12. (In Japanese) [Google Scholar]
- Uemura, K.; Katsurashita, N.; Taninaga, A.; Endo, T.; Sakaguchi, T. Practice for standing action of prompt fading: Study of cognitive impairment. J. Rehabil. Appl. Behav. Anal. 2010, 1, 8–11. (In Japanese) [Google Scholar]
- Nagai, M.; Chiba, N.; Katsurashita, N.; Tsuri, Y.; Sakaguchi, T.; Endo, T. Exercise for sitting-up movement using a variety of reinforcing stimulus. J. Rehabil. Appl. Behav. Anal. 2012, 3, 14–18. (In Japanese) [Google Scholar]
- Endo, A.; Suzuki, M.; Chiba, N. Shinkosei Kakujyosei Mahi Kanjya Nitaisuru Gyakuhoukorensahou Wo Mochiita Okiagari Dosa Renshu. Behav. Rehabil. 2013, 2, 23–29. (In Japanese) [Google Scholar]
- Endo, A.; Chiba, N.; Tsuri, Y.; Tanabe, N.; Suzuki, M.; Endo, T. Intervention effect on the patients with severe dementia are difficult natural language understanding: Experienced a case that acquired the wheelchair driving. J. Rehabil. Appl. Behav. Anal. 2015, 5, 22–26. (In Japanese) [Google Scholar]
- Okada, K.; Yamasaki, Y.; Yamazaki, R.; Saeki, S.; Omori, T.; Tomioka, S. Gyakuhokorensaka No Giho Wo Mochiita Kikyodousarensyu No Koka: Ninchisyo Wo Gappei Shita Jyudo Henmahisya Niokeru Kento. Behav. Rehabil. 2014, 3, 37–42. (In Japanese) [Google Scholar]
- Matsui, G.; Kato, M.; Shin, H. Kyohiteki Na Kanjya Nitaisuru Kiritsu Hokou Kunren: Kitsuen Wo Kyoka Shigeki Toshita Kainyu. Behav. Rehabil. 2014, 3, 43–48. (In Japanese) [Google Scholar]
- Yasaku, M. Ijiki No SItsugosyo Kanjya Nitaisuru Ondoku Kunren. Behav. Rehabil. 2014, 3, 58–61. (In Japanese) [Google Scholar]
- Okaniwa, C.; Kato, M.; Shin, H. Kiritsu-Hoko Renshu No Konpuraiansu Ga Ichijirushiku Teikashiteita Ninchisyo Kanjya Nitaisuru Kainyu. Behav. Rehabil. 2014, 3, 67–73. (In Japanese) [Google Scholar]
- Matsui, G.; Kato, M. Kyohiteki Na Ninchisyokanjya Nitaisuru Kainyu: Kyokashigeki Toshiteno Shintai Sessyoku No Yukosei. Behav. Rehabil. 2015, 4, 2–7. (In Japanese) [Google Scholar]
- Uemura, T.; Matsui, G.; Kato, M. Rigakuryoho Kyohi Wo Tsuzuketeita Kanjya Ni Taisuru Kainyu: Kankyo Chosei No Eikyo. Behav. Rehabil. 2015, 4, 14–20. (In Japanese) [Google Scholar]
- Io, I.; Kato, M.; Shin, H. Eka-do Kosyo Rensyu Niokeru Mojikyoji To syosan No Koka: Jyudo No Undosei Shitsugosyo Kanjya Wo Taisyo Toshite. Behav. Rehabil. 2015, 4, 32–37. (In Japanese) [Google Scholar]
- Carlin, M.T.; Costello, M.S. Statistical Decision-Making Accuracies for Some Overlap- and Distance-based Measures for Single-Case Experimental Designs. Perspect. Behav. Sci. 2022, 45, 187–207. [Google Scholar] [CrossRef]
- Azizi, E.; Fielding, J.; Abel, L. Video game training in traumatic brain injury patients: An exploratory case report study using eye tracking. J. Eye Mov. Res. 2022, 15, 6. [Google Scholar] [CrossRef] [PubMed]
- Lanovaz, M.J.; Hranchuk, K. Machine learning to analyze single-case graphs: A comparison to visual inspection. J. Appl. Behav. Anal. 2021, 54, 1541–1552. [Google Scholar] [CrossRef] [PubMed]
- ArunKumar, K.; Kalaga, D.V.; Kumar, C.M.S.; Chilkoor, G.; Kawaji, M.; Brenza, T.M. Forecasting the dynamics of cumulative COVID-19 cases (confirmed, recovered and deaths) for top-16 countries using statistical machine learning models: Auto-Regressive Integrated Moving Average (ARIMA) and Seasonal Auto-Regressive Integrated Moving Average (SARIMA). Appl. Soft Comput. 2021, 103, 107161. [Google Scholar] [CrossRef] [PubMed]







| Study | Diagnosis | Age | Target Behavior | Intervention | Design | Analysis |
|---|---|---|---|---|---|---|
| 1 | Brain injury | 43 | Dressing | Token economy | AB | SML |
| 2 | Stroke | 44 | Using chopsticks | Shaping | ABAB | SML |
| 3 | Dementia | 71 | Walking | Reinforcement | AB | SML |
| 4 | Stroke | 55 | Bathing | Shaping | AB | SML |
| 5 | Stroke | 64 | Walking | Token economy | ABAB | SML |
| 6 | Stroke | 70 | Selfcare | Shaping | ABAB | SML |
| 7 | Dementia | 82 | Standing up | Shaping | AB | VI |
| 8 | Cervical myelopathy | 66 | Getting up | Shaping | ABAB | VI |
| 9 | Supranuclear palsy | 80 | Getting up | Shaping | AB | SML |
| 10 | Dementia | 80 | Wheelchair operation | Shaping | AB | VI |
| 11 | Stroke | 78 | Getting up | Shaping | AB | VI |
| 12 | Stroke | 60 | Standing up | Reinforcement | AB | VI |
| 13 | Stroke | 80 | Talking | Reinforcement | ABAB | VI |
| 14 | Spinal cord injury | 80 | Walking | Reinforcement | AB | VI |
| 15 | Dementia | 80 | Training adherence | Reinforcement | AB | VI |
| 16 | Stroke | 70 | Training adherence | Reinforcement | AB | VI |
| 17 | Stroke | 71 | Talking | Reinforcement | ABAB | VI |
| A. Change in Level | |||||||
| Random Variation in Baseline Phase | |||||||
| 0.0 | 0.2 | 0.4 | 0.6 | 0.8 | 1.0 | 1.2 | |
| CV | 0.13 ± 0.00 | 0.17 ± 0.01 | 0.26 ± 0.01 | 0.36 ± 0.01 | 0.48 ± 0.02 | 0.58 ± 0.02 | 0.80 ± 0.04 |
| B. Change in Slope | |||||||
| Random Variation in Baseline Phase | |||||||
| 0.0 | 0.2 | 0.4 | 0.6 | 0.8 | 1.0 | 1.2 | |
| CV | 0.13 ± 0.00 | 0.17 ± 0.01 | 0.25 ± 0.01 | 0.36 ± 0.01 | 0.48 ± 0.02 | 0.59 ± 0.02 | 0.73 ± 0.04 |
| Error in Baseline Phase | ||||||||
|---|---|---|---|---|---|---|---|---|
| 0.0 | 0.2 | 0.4 | 0.6 | 0.8 | 1.0 | 1.2 | ||
| Change in level | 1.0 | 0 ± 0 | 43 ± 4 | 45 ± 4 | 45 ± 4 | 54 ± 4 | 52 ± 4 | 48 ± 4 |
| 1.1 | 89 ± 0 * | 51 ± 4 | 53 ± 4 | 49 ± 4 | 55 ± 4 | 53 ± 4 | 52 ± 4 | |
| 1.2 | 100 ± 0 * | 60 ± 4 | 57 ± 4 | 52 ± 4 | 59 ± 4 | 54 ± 4 | 53 ± 4 | |
| 1.3 | 100 ± 0 * | 71 ± 4 * | 65 ± 4 | 58 ± 4 | 61 ± 4 | 58 ± 4 | 54 ± 4 | |
| 1.4 | 100 ± 0 * | 78 ± 3 * | 68 ± 4 | 58 ± 4 | 64 ± 4 | 61 ± 4 | 56 ± 4 | |
| 1.5 | 100 ± 0 * | 85 ± 3 * | 74 ± 4 * | 63 ± 4 | 65 ± 4 | 60 ± 4 | 57 ± 4 | |
| 1.6 | 100 ± 0 * | 88 ± 3 * | 78 ± 3 * | 63 ± 4 | 68 ± 4 | 64 ± 4 | 59 ± 4 | |
| Change in slope | 1.0 | 0 ± 0 | 42 ± 4 | 47 ± 4 | 50 ± 4 | 52 ± 4 | 52 ± 4 | 55 ± 4 |
| 1.2 | 78 ± 0 * | 48 ± 4 | 49 ± 4 | 48 ± 4 | 52 ± 4 | 51 ± 4 | 53 ± 4 | |
| 1.4 | 89 ± 0 * | 56 ± 4 | 53 ± 4 | 54 ± 4 | 52 ± 4 | 53 ± 4 | 55 ± 4 | |
| 1.6 | 89 ± 0 * | 65 ± 4 | 55 ± 4 | 56 ± 4 | 55 ± 4 | 54 ± 4 | 57 ± 4 | |
| 1.8 | 89 ± 0 * | 66 ± 4 | 59 ± 4 | 59 ± 4 | 54 ± 4 | 56 ± 4 | 57 ± 4 | |
| 2.0 | 89 ± 0 * | 72 ± 3 * | 63 ± 4 | 60 ± 4 | 60 ± 4 | 56 ± 4 | 58 ± 4 | |
| 2.2 | 89 ± 0 * | 75 ± 3 * | 66 ± 4 | 62 ± 4 | 58 ± 4 | 59 ± 4 | 59 ± 4 | |
| Error in Baseline Phase | ||||||||
|---|---|---|---|---|---|---|---|---|
| 0.0 | 0.2 | 0.4 | 0.6 | 0.8 | 1.0 | 1.2 | ||
| Change in level | 1.0 | 100 ± 0 | 92 ± 1 | 76 ± 2 | 64 ± 2 | 54 ± 2 | 48 ± 2 | 42 ± 2 |
| 1.1 | 100 ± 0 * | 98 ± 0 * | 87 ± 1 * | 73 ± 2 * | 61 ± 2 | 54 ± 2 | 46 ± 2 | |
| 1.2 | 100 ± 0 * | 100 ± 0 * | 92 ± 1 * | 79 ± 2 * | 66 ± 2 | 58 ± 2 | 53 ± 2 | |
| 1.3 | 100 ± 0 * | 100 ± 0 * | 98 ± 1 * | 88 ± 1 * | 75 ± 2 * | 67 ± 2 | 55 ± 2 | |
| 1.4 | 100 ± 0 * | 100 ± 0 * | 100 ± 0 * | 94 ± 1 * | 77 ± 2 * | 73 ± 2 * | 61 ± 2 | |
| 1.5 | 100 ± 0 * | 100 ± 0 * | 100 ± 0 * | 96 ± 1 * | 86 ± 1 * | 77 ± 2 * | 65 ± 2 | |
| 1.6 | 100 ± 0 * | 100 ± 0 * | 100 ± 0 * | 99 ± 0 * | 93 ± 1 * | 83 ± 2 * | 71 ± 2 * | |
| Change in slope | 1.0 | 100 ± 0 | 93 ± 1 | 80 ± 1 | 67 ± 2 | 57 ± 2 | 50 ± 2 | 43 ± 2 |
| 1.2 | 100 ± 0 * | 94 ± 1 * | 81 ± 1 * | 70 ± 2 * | 60 ± 2 | 48 ± 2 | 44 ± 2 | |
| 1.4 | 100 ± 0 * | 94 ± 1 * | 84 ± 1 * | 73 ± 2 * | 66 ± 2 | 52 ± 2 | 48 ± 2 | |
| 1.6 | 100 ± 0 * | 94 ± 1 * | 86 ± 1 * | 79 ± 1 * | 70 ± 2 * | 58 ± 2 | 50 ± 2 | |
| 1.8 | 100 ± 0 * | 95 ± 1 * | 85 ± 1 * | 79 ± 1 * | 71 ± 2 * | 62 ± 2 | 53 ± 2 | |
| 2.0 | 100 ± 0 * | 96 ± 1 * | 88 ± 1 * | 80 ± 1 * | 74 ± 1 * | 63 ± 2 | 58 ± 2 | |
| 2.2 | 100 ± 0 * | 95 ± 1 * | 88 ± 1 * | 82 ± 1 * | 74 ± 2 * | 68 ± 2 | 61 ± 2 | |
Disclaimer/Publisher’s Note: The statements, opinions and data contained in all publications are solely those of the individual author(s) and contributor(s) and not of MDPI and/or the editor(s). MDPI and/or the editor(s) disclaim responsibility for any injury to people or property resulting from any ideas, methods, instructions or products referred to in the content. |
© 2023 by the authors. Licensee MDPI, Basel, Switzerland. This article is an open access article distributed under the terms and conditions of the Creative Commons Attribution (CC BY) license (https://creativecommons.org/licenses/by/4.0/).
Share and Cite
Suzuki, M.; Tanaka, S.; Saito, K.; Cho, K.; Iso, N.; Okabe, T.; Suzuki, T.; Yamamoto, J. Baseline Variability Affects N-of-1 Intervention Effect: Simulation and Field Studies. J. Pers. Med. 2023, 13, 720. https://doi.org/10.3390/jpm13050720
Suzuki M, Tanaka S, Saito K, Cho K, Iso N, Okabe T, Suzuki T, Yamamoto J. Baseline Variability Affects N-of-1 Intervention Effect: Simulation and Field Studies. Journal of Personalized Medicine. 2023; 13(5):720. https://doi.org/10.3390/jpm13050720
Chicago/Turabian StyleSuzuki, Makoto, Satoshi Tanaka, Kazuo Saito, Kilchoon Cho, Naoki Iso, Takuhiro Okabe, Takako Suzuki, and Junichi Yamamoto. 2023. "Baseline Variability Affects N-of-1 Intervention Effect: Simulation and Field Studies" Journal of Personalized Medicine 13, no. 5: 720. https://doi.org/10.3390/jpm13050720
APA StyleSuzuki, M., Tanaka, S., Saito, K., Cho, K., Iso, N., Okabe, T., Suzuki, T., & Yamamoto, J. (2023). Baseline Variability Affects N-of-1 Intervention Effect: Simulation and Field Studies. Journal of Personalized Medicine, 13(5), 720. https://doi.org/10.3390/jpm13050720

