Infrared Spectroscopy of Be Stars: Influence of the Envelope Parameters on Brackett-Series Behaviour
Abstract
1. Introduction
2. Methods
3. Results
3.1. Brackett-Series Behaviour According to n and
- For (Figure 4 and Figure A3), the slope of the increase is also steeper for the lowest densities, but not as remarkable as for . The higher increase for lower densities means that, even though the higher-order lines are more intense for the highest densities, the first members of the series present similar intensities for intermediate densities.
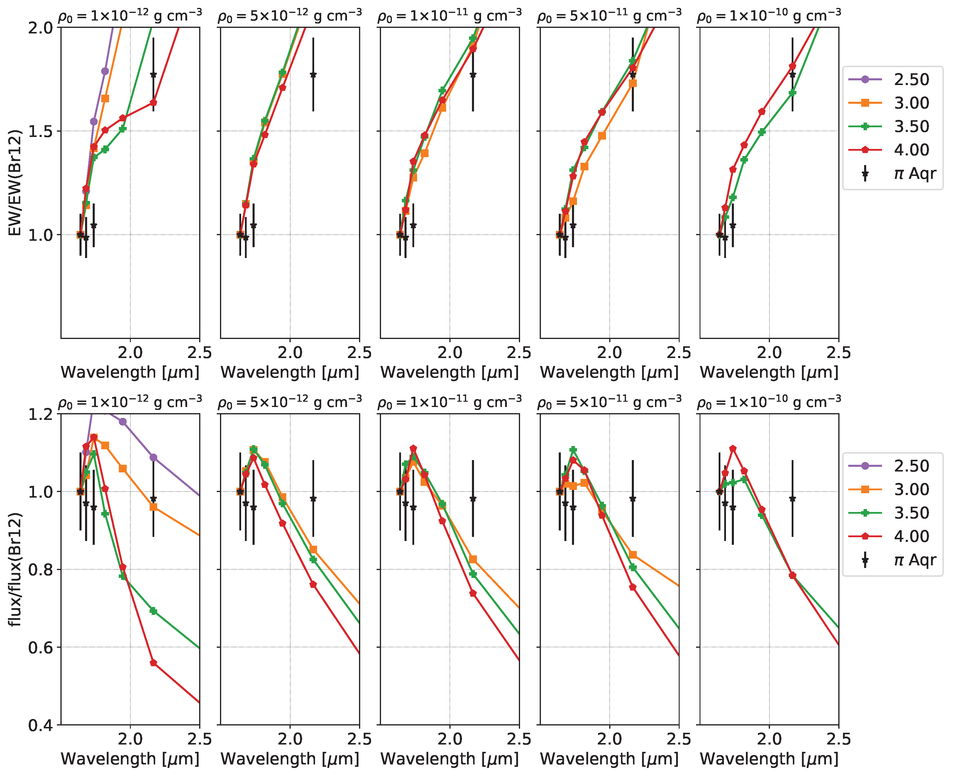
3.2. EW and Flux Ratios Relative to Br12
4. Discussion
4.1. MX Pup (HD 68980)
4.2. Aqr (HD 212571)
5. Conclusions
Author Contributions
Funding
Data Availability Statement
Acknowledgments
Conflicts of Interest
Abbreviations
| EW | Equivalent width |
| IR | Infrared |
| LTE | Local thermodynamic equilibrium |
| SED | Spectral energy distribution |
Appendix A
Appendix A.1. Synthetic Brackett Line Profiles Obtained for i = 30° and i = 60°




Appendix A.2. EW and Flux Ratios for i = 30° and i = 60°


| 1 | The code actually uses , the density in numerical units per cm. Both parameters are related via the expression , where is the mean molecular weight, and g is the mass of the hydrogen atom. Then, g. |
| 2 | Apart from the models that we present in Table 1, we computed additional models for each to account for the disc’s outer radius. We computed around 50 models, which took approximately 150 hours of calculation in CITECCA’s cluster (see Acknowledgments for more information). |
| 3 | PyHdust provides analysis tools for multi-technique astronomical data and HDUST models. |
| 4 | Specutils is a Python package for representing, loading, manipulating, and analysing astronomical spectroscopic data [30]. |
| 5 | http://www.astropy.org, accessed on 15 August 2023. |
References
- Jaschek, M.; Slettebak, A.; Jaschek, C. Be star terminology. Be Star Newsl. 1981, 4, 9–11. [Google Scholar]
- Collins, G.W. The Use of Terms and Definitions in the Study of Be Stars (Review Paper). In Proceedings of the 92nd Colloquium of the International Astronomical Union, Boulder, CO, USA, 18–22 August 1986; Cambridge University Press: Cambridge, UK, 1987; p. 3. [Google Scholar] [CrossRef]
- Rivinius, T.; Carciofi, A.C.; Martayan, C. Classical Be stars. Rapidly rotating B stars with viscous Keplerian decretion disks. Astron. Astrophys. Rev. 2013, 21, 69. [Google Scholar] [CrossRef]
- Lee, U.; Osaki, Y.; Saio, H. Viscous excretion discs around Be stars. Mon. Not. R. Astron. Soc. 1991, 250, 432–437. [Google Scholar] [CrossRef]
- Carciofi, A.C. The circumstellar discs of Be stars. In Proceedings of the Active OB Stars: Structure, Evolution, Mass Loss, and Critical Limits; Neiner, C., Wade, G., Meynet, G., Peters, G., Eds.; Cambridge University Press: Cambridge, UK, 2011; Volume 272, pp. 325–336. [Google Scholar] [CrossRef]
- Hony, S.; Waters, L.B.F.M.; Zaal, P.A.; de Koter, A.; Marlborough, J.M.; Millar, C.E.; Trams, N.R.; Morris, P.W.; de Graauw, T. The infrared spectrum of the Be star gamma Cassiopeiae. Astron. Astrophys. 2000, 355, 187–193. [Google Scholar]
- Lenorzer, A.; de Koter, A.; Waters, L.B.F.M. Hydrogen infrared recombination lines as a diagnostic tool for the geometry of the circumstellar material of hot stars. Astron. Astrophys. 2002, 386, L5–L8. [Google Scholar] [CrossRef]
- Mennickent, R.E.; Sabogal, B.; Granada, A.; Cidale, L. L-Band Spectra of 13 Outbursting Be Stars. Publ. Astron. Soc. Pac. 2009, 121, 125. [Google Scholar] [CrossRef]
- Granada, A.; Arias, M.L.; Cidale, L.S. Simultaneous K- and L-band Spectroscopy of Be Stars: Circumstellar Envelope Properties from Hydrogen Emission Lines. Astron. J. 2010, 139, 1983–1992. [Google Scholar] [CrossRef]
- Sabogal, B.E.; Ubaque, K.Y.; García-Varela, A.; Álvarez, M.; Salas, L. Evidence of Dissipation of Circumstellar Disks from L-band Spectra of Bright Galactic Be Stars. Publ. Astron. Soc. Pac. 2017, 129, 014203. [Google Scholar] [CrossRef][Green Version]
- Lenorzer, A.; Vandenbussche, B.; Morris, P.; de Koter, A.; Geballe, T.R.; Waters, L.B.F.M.; Hony, S.; Kaper, L. An atlas of 2.4 to 4.1 μm ISO/SWS spectra of early-type stars. Astron. Astrophys. 2002, 384, 473–490. [Google Scholar] [CrossRef]
- Cochetti, Y.R.; Arias, M.L.; Cidale, L.S.; Granada, A.; Torres, A.F. Simultaneous J-, H-, K- and L-band spectroscopic observations of galactic Be stars. I. IR atlas. Astron. Astrophys. 2022, 665, A115. [Google Scholar] [CrossRef]
- Okazaki, A.T.; Bate, M.R.; Ogilvie, G.I.; Pringle, J.E. Viscous effects on the interaction between the coplanar decretion disc and the neutron star in Be/X-ray binaries. Mon. Not. R. Astron. Soc. 2002, 337, 967–980. [Google Scholar] [CrossRef]
- Carciofi, A.C.; Bjorkman, J.E. Non-LTE Monte Carlo Radiative Transfer. I. The Thermal Properties of Keplerian Disks around Classical Be Stars. Astrophys. J. 2006, 639, 1081–1094. [Google Scholar] [CrossRef]
- Sigut, T.A.A.; Jones, C.E. The Thermal Structure of the Circumstellar Disk Surrounding the Classical Be Star γ Cassiopeiae. Astrophys. J. 2007, 668, 481–491. [Google Scholar] [CrossRef]
- Sigut, T.A.A. Spectral synthesis for Be stars. In Proceedings of the Active OB Stars: Structure, Evolution, Mass Loss, and Critical Limits; Neiner, C., Wade, G., Meynet, G., Peters, G., Eds.; Cambridge University Press: Cambridge, UK, 2011; Volume 6, pp. 426–427. [Google Scholar] [CrossRef]
- Miroshnichenko, A.S.; Bjorkman, K.S.; Morrison, N.D.; Wisniewski, J.P.; Manset, N.; Levato, H.; Grosso, M.; Pollmann, E.; Buil, C.; Knauth, D.C. Spectroscopy of the growing circumstellar disk in the delta Scorpii Be binary. Astron. Astrophys. 2003, 408, 305–311. [Google Scholar] [CrossRef]
- Arcos, C.; Jones, C.E.; Sigut, T.A.A.; Kanaan, S.; Curé, M. Evidence for Different Disk Mass Distributions between Early- and Late-type Be Stars in the BeSOS Survey. Astrophys. J. 2017, 842, 48. [Google Scholar] [CrossRef]
- Cochetti, Y.R.; Arcos, C.; Kanaan, S.; Meilland, A.; Cidale, L.S.; Curé, M. Spectro-interferometric observations of a sample of Be stars. Setting limits to the geometry and kinematics of stable Be disks. Astron. Astrophys. 2019, 621, A123. [Google Scholar] [CrossRef]
- Chojnowski, S.D.; Whelan, D.G.; Wisniewski, J.P.; Majewski, S.R.; Hall, M.; Shetrone, M.; Beaton, R.; Burton, A.; Damke, G.; Eikenberry, S.; et al. High-Resolution H-Band Spectroscopy of Be Stars With SDSS-III/Apogee: I. New Be Stars, Line Identifications, and Line Profiles. Astron. J. 2015, 149, 7. [Google Scholar] [CrossRef]
- Carciofi, A.C.; Bjorkman, J.E. Non-LTE Monte Carlo Radiative Transfer. II. Nonisothermal Solutions for Viscous Keplerian Disks. Astrophys. J. 2008, 684, 1374–1383. [Google Scholar] [CrossRef]
- Klement, R.; Carciofi, A.C.; Rivinius, T.; Matthews, L.D.; Vieira, R.G.; Ignace, R.; Bjorkman, J.E.; Mota, B.C.; Faes, D.M.; Bratcher, A.D.; et al. Revealing the structure of the outer disks of Be stars. Astron. Astrophys. 2017, 601, A74. [Google Scholar] [CrossRef]
- Vieira, R.G.; Carciofi, A.C.; Bjorkman, J.E.; Rivinius, T.; Baade, D.; Rímulo, L.R. The life cycles of Be viscous decretion discs: Time-dependent modelling of infrared continuum observations. Mon. Not. R. Astron. Soc. 2017, 464, 3071–3089. [Google Scholar] [CrossRef]
- Richardson, N.D.; Thizy, O.; Bjorkman, J.E.; Carciofi, A.; Rubio, A.C.; Thomas, J.D.; Bjorkman, K.S.; Labadie-Bartz, J.; Genaro, M.; Wisniewski, J.P.; et al. Outbursts and stellar properties of the classical Be star HD 6226. Mon. Not. R. Astron. Soc. 2021, 508, 2002–2018. [Google Scholar] [CrossRef]
- Marr, K.C.; Jones, C.E.; Carciofi, A.C.; Rubio, A.C.; Mota, B.C.; Ghoreyshi, M.R.; Hatfield, D.W.; Rímulo, L.R. The Be Star 66 Ophiuchi: 60 Years of Disk Evolution. Astrophys. J. 2021, 912, 76. [Google Scholar] [CrossRef]
- Zorec, J.; Rieutord, M.; Espinosa Lara, F.; Frémat, Y.; Domiciano de Souza, A.; Royer, F. Gravity darkening in stars with surface differential rotation. Astron. Astrophys. 2017, 606, A32. [Google Scholar] [CrossRef]
- Shakura, N.I.; Sunyaev, R.A. Black holes in binary systems. Observational appearance. Astron. Astrophys. 1973, 24, 337–355. [Google Scholar]
- Silaj, J.; Jones, C.E.; Sigut, T.A.A.; Tycner, C. The Hα Profiles of Be Shell Stars. Astrophys. J. 2014, 795, 82. [Google Scholar] [CrossRef]
- Espinosa Lara, F.; Rieutord, M. Gravity darkening in rotating stars. Astron. Astrophys. 2011, 533, A43. [Google Scholar] [CrossRef]
- Earl, N.; Tollerud, E.; O’Steen, R.; Brechmos; Kerzendorf, W.; Busko, I.; Shaileshahuja; D’Avella, D.; Robitaille, T.; Ginsburg, A.; et al. astropy/specutils: v1.10.0. Zenodo 2023. [Google Scholar] [CrossRef]
- Steele, I.A.; Clark, J.S. A representative sample of Be stars III: H band spectroscopy. Astron. Astrophys. 2001, 371, 643–651. [Google Scholar] [CrossRef][Green Version]
- Frémat, Y.; Zorec, J.; Hubert, A.M.; Floquet, M. Effects of gravitational darkening on the determination of fundamental parameters in fast-rotating B-type stars. Astron. Astrophys. 2005, 440, 305–320. [Google Scholar] [CrossRef]
- Silaj, J.; Jones, C.E.; Tycner, C.; Sigut, T.A.A.; Smith, A.D. A Systematic Study of Hα Profiles of Be Stars. Astrophys. J. Suppl. 2010, 187, 228–250. [Google Scholar] [CrossRef]
- Hummel, W.; Dachs, J. Non-coherent scattering in vertically extended Be star disks: Winebottle-type emission-line profiles. Astron. Astrophys. 1992, 262, L17. [Google Scholar]
- Marr, K.C.; Jones, C.E.; Tycner, C.; Carciofi, A.C.; Silva, A.C.F. The Role of Disk Tearing and Precession in the Observed Variability of Pleione. Astrophys. J. 2022, 928, 145. [Google Scholar] [CrossRef]
- Sigut, T.A.A.; Tycner, C.; Jansen, B.; Zavala, R.T. The Circumstellar Disk of the Be Star o Aquarii as Constrained by Simultaneous Spectroscopy and Optical Interferometry. Astrophys. J. 2015, 814, 159. [Google Scholar] [CrossRef]
- Zorec, J.; Frémat, Y.; Domiciano de Souza, A.; Royer, F.; Cidale, L.; Hubert, A.M.; Semaan, T.; Martayan, C.; Cochetti, Y.R.; Arias, M.L.; et al. Critical study of the distribution of rotational velocities of Be stars. I. Deconvolution methods, effects due to gravity darkening, macroturbulence, and binarity. Astron. Astrophys. 2016, 595, A132. [Google Scholar] [CrossRef]
- Astropy Collaboration; Robitaille, T.P.; Tollerud, E.J.; Greenfield, P.; Droettboom, M.; Bray, E.; Aldcroft, T.; Davis, M.; Ginsburg, A.; Price-Whelan, A.M.; et al. Astropy: A community Python package for astronomy. Astron. Astrophys. 2013, 558, A33. [Google Scholar] [CrossRef]
- Astropy Collaboration; Price-Whelan, A.M.; Sipőcz, B.M.; Günther, H.M.; Lim, P.L.; Crawford, S.M.; Conseil, S.; Shupe, D.L.; Craig, M.W.; Dencheva, N.; et al. The Astropy Project: Building an Open-science Project and Status of the v2.0 Core Package. Astron. J. 2018, 156, 123. [Google Scholar] [CrossRef]
- Astropy Collaboration; Price-Whelan, A.M.; Lim, P.L.; Earl, N.; Starkman, N.; Bradley, L.; Shupe, D.L.; Patil, A.A.; Corrales, L.; Brasseur, C.E.; et al. The Astropy Project: Sustaining and Growing a Community-oriented Open-source Project and the Latest Major Release (v5.0) of the Core Package. Astrophys. J. 2022, 935, 167. [Google Scholar] [CrossRef]















| n | |||||
|---|---|---|---|---|---|
| (g cm) | (g cm) | (g cm) | (g cm) | (g cm) | |
| 30 | × | × | × | × | |
| 20 | 20 | 30 | 50 | × | |
| 20 | 20 | 20 | 30 | 30 | |
| 20 | 20 | 20 | 20 | 20 |
Disclaimer/Publisher’s Note: The statements, opinions and data contained in all publications are solely those of the individual author(s) and contributor(s) and not of MDPI and/or the editor(s). MDPI and/or the editor(s) disclaim responsibility for any injury to people or property resulting from any ideas, methods, instructions or products referred to in the content. |
© 2023 by the authors. Licensee MDPI, Basel, Switzerland. This article is an open access article distributed under the terms and conditions of the Creative Commons Attribution (CC BY) license (https://creativecommons.org/licenses/by/4.0/).
Share and Cite
Cochetti, Y.R.; Granada, A.; Arias, M.L.; Torres, A.F.; Arcos, C. Infrared Spectroscopy of Be Stars: Influence of the Envelope Parameters on Brackett-Series Behaviour. Galaxies 2023, 11, 90. https://doi.org/10.3390/galaxies11040090
Cochetti YR, Granada A, Arias ML, Torres AF, Arcos C. Infrared Spectroscopy of Be Stars: Influence of the Envelope Parameters on Brackett-Series Behaviour. Galaxies. 2023; 11(4):90. https://doi.org/10.3390/galaxies11040090
Chicago/Turabian StyleCochetti, Yanina Roxana, Anahi Granada, María Laura Arias, Andrea Fabiana Torres, and Catalina Arcos. 2023. "Infrared Spectroscopy of Be Stars: Influence of the Envelope Parameters on Brackett-Series Behaviour" Galaxies 11, no. 4: 90. https://doi.org/10.3390/galaxies11040090
APA StyleCochetti, Y. R., Granada, A., Arias, M. L., Torres, A. F., & Arcos, C. (2023). Infrared Spectroscopy of Be Stars: Influence of the Envelope Parameters on Brackett-Series Behaviour. Galaxies, 11(4), 90. https://doi.org/10.3390/galaxies11040090

