Gamma-Ray Bursts: The Energy Monsters of the Universe
Abstract
1. Introduction
2. Where Do GRBs Come from?
2.1. Origin of GRBs in the Solar System
2.2. Origin of GRBs in the Milky Way
2.3. Origin of GRBs at Cosmological Distances
3. The Long Road to Unraveling the Physics of GRBs
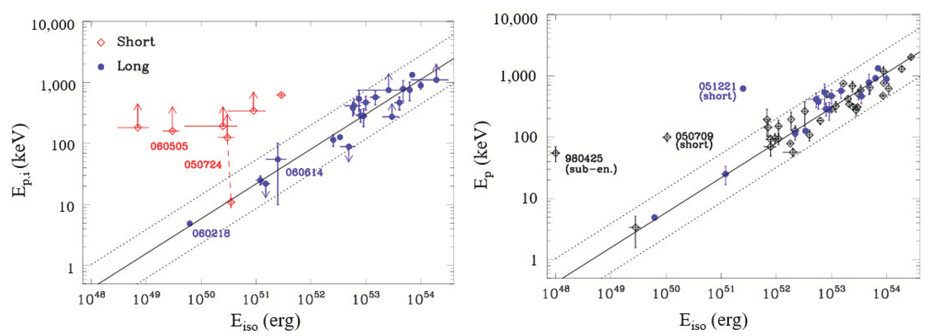
3.1. Correlations Among Physical Parameters of GRBs
- The central engines of GRBs release energies that are comparable to ordinary supernovae;
 - The broad distribution in fluence and luminosity for GRBs is largely the result of a wide variation of opening angles;
 - Only a small fraction of GRBs are visible to a given observer, and the true GRB rate is several hundred times larger than the observed rate.
 
3.2. On the Physics Governing GRBs-Models
- Gamma-ray bursts and the fireball model [95];
 - Theories of Gamma-Ray Bursts [96];
 - The Physics of Gamma-Ray Bursts [97];
 - Gamma-Ray Bursts: progress, problems, and prospects [98];
 - Gamma-Ray Bursts and New Physics [99];
 - Gamma-Ray Bursts [100];
 - The Supernova-Gamma-Ray Burst Connection [101];
 - Gamma-Ray Bursts in the Swift Era [102];
 - Short-hard gamma-ray bursts [103];
 - The Structure and Dynamics of GRB Jets [104];
 - GRB Theory in the Fermi Era [105];
 - Gamma-Ray Bursts in the Swift Era [106];
 - Jets and Gamma-Ray Burst Unification Schemes [107];
 - Open questions in GRB physics [108];
 - Gamma-ray Busts [6];
 - Gamma-ray bursts in the swift-Fermi era [109];
 - Gamma-Ray Burst Science in the Era of the Cherenkov Telescope Array [110];
 - Short-Duration Gamma-Ray Bursts [111]);
 - Short gamma-ray bursts: A review [112];
 - The physics of gamma-ray bursts and relativistic jets [113];
 - Gamma-ray bursts and magnetars: Observational signatures and predictions [114];
 - Gamma-ray bursts at high and very high energies [115];
 - On the Gamma-Ray Bursts Origin [116];
 - Gamma-Ray Burst Prompt Correlations [89];
 - The Physics of Gamma-Ray Bursts [8];
 - Gamma-Ray Bursts: theoretical issues and developments [117];
 - Gamma-Ray Bursts within Fireshell Model [118];
 - A Study of Detection of Supernovae and Gamma Ray Bursts [119];
 - A Roadmap to Gamma-Ray Bursts: New Developments and Applications to Cosmology [120];
 - Gamma-Ray Bursts at TeV Energies: Observational Status [121];
 - Gamma-Ray Bursts [122];
 - The Structure of Gamma Ray Burst Jets [123];
 - Multiwavelength Observations of Gamma Ray Bursts [45];
 - A Study of the Spectral Properties of Gamma-Ray Bursts with the Precursors and Main Bursts [124];
 - Gamma-ray Bursts: 50 Years and Counting! [5];
 - Gamma Ray Bursts: Fundamentals, Challenges and Insights from Recent Observations [125];
 - High-redshift Cosmology by Gamma-Ray Bursts: an overview [91];
 - A Short History of the First 50 Years: From the GRB Prompt Emission and Afterglow Discoveries to the Multimessenger Era [126];
 - Future Perspectives for Gamma-ray Burst Detection from Space [127].
 
- Unsteady Outflow Models for Cosmological Gamma-Ray Bursts (Rees and Mészáros [137]). They started their discussion with the fact that the ’event’ that triggers a GRB cannot last for more than a few seconds. This is, however, long compared with the dynamical timescale of a compact stellar-mass object (∼ s). Energy is assumed to be released as an outflow with high mean Lorentz factor . But a compact stellar-mass collapse or merger is, realistically, likely to generate a mass (or energy) flux that is unsteady on some timescales in the range –10 s. If fluctuates by a factor of ∼2 around its mean value, relative motions within the outflowing material will themselves (in the comoving frame) be relativistic, and can give rise to internal shocks. For ∼ , the resultant dissipation occurs outside the ’photosphere’ and can convert a substantial fraction of the overall outflow energy into non-thermal radiation. This suggests a mechanism for cosmological bursts that demands less extreme assumptions (in respect with -values, freedom from baryonic contamination, etc.) than earlier proposals.
 - Optical and Long-Wavelength Afterglow from Gamma-Ray Bursts (Mészáros and Rees [138]). They discussed the evolution of cosmological GRB remnants, consisting of the cooling and expanding fireball ejecta together with any swept-up external matter, after the gamma-ray event. They showed that significant optical emission is predicted, which should be measurable for timescales of hours after the event, and in some cases, radio emission may be expected days to weeks after the event. The flux at optical, X-ray, and other long wavelengths decays as a power of time, and the initial value of the flux or magnitude, as well as the value of the time-decay exponent, should help distinguish between possible types of dissipative fireball models.
 - Spectra and Light Curves of Gamma-Ray Burst Afterglows (Sari, Piran, and Narayan [139]). They started from the discovery of GRB afterglow in X-ray, optical, and radio wavelengths [34,51,140]. The afterglow is believed to be described reasonably well by synchrotron emission from a decelerating relativistic shell that collides with an external medium. To compare the theoretical models with afterglow observations, Sari, Piran, and Narayan [139] calculated the broadband spectrum and corresponding light curve of synchrotron radiation from a power–law distribution of electrons in an expanding relativistic shock. Both the spectrum and the light curve consist of several power–law segments with related indices. The light curve is constructed under the following two limiting models for the hydrodynamic evolution of the shock: fully adiabatic and fully radiative. They deduced explicit relations between the spectral index and the temporal power–law index. Future observations should be able to distinguish between the possible behavior and determine the type of solution.
 - Jets in Gamma-Ray Bursts (Sari, Piran, and Halpern [72]). In the afterglows of several GRBs, rapid temporal decay, which is inconsistent with spherical (isotropic) blast-wave models, is observed. They showed that such temporal decay is more consistent with the evolution of a jet after it slows down and spreads laterally. After analyzing several GRB, they concluded that jetlike behavior is common in GRBs. The range of possible beaming angles is from ≤ 0.1 for GRB 980519, to ∼ 0.1 for GRB 990123, and ≥ 1 for GRB 970228 and GRB 970508. These beaming angles are consistent with the limits set by searches for “orphan” radio [141] and X-ray [142] afterglows.
 - Steep Slopes and Preferred Breaks in Gamma−Ray Burst Spectra: The Role of Photospheres and Comptonization (Mészáros and Rees [143]). They examined the role of a photospheric component and of pair breakdown in the internal shock model of GRBs. They discussed some of the mechanisms by which GRBs would produce anomalously steep low-energy slopes, X-ray excesses and preferred energy breaks. Subrelativistic comptonization should dominate in high comoving luminosity bursts with a high baryon load, while synchrotron radiation dominates the power–law component in bursts which have lower comoving luminosity or have moderate to low baryon loads. A photosphere leading to steep low-energy spectral slopes should be prominent in the lowest baryon load cases.
 - Physical Processes Shaping Gamma-Ray Burst X-Ray Afterglow Light Curves: Theoretical Implications from the Swift X-Ray Telescope Observations (Zhang et al. [58]). They started from the successful launch of the Swift Gamma-Ray Burst Explorer that collected a rich trove of early X-ray afterglow data by its onboard X-ray Telescope (XRT). Some interesting features emerged, including a distinct rapidly decaying component preceding the conventional afterglow component in many sources, a shallow decay component before the more “normal” decay component observed in a good fraction of GRBs, and X-ray flares in nearly half of the afterglows. They systematically analyzed the possible physical processes that shape the properties of the early X-ray afterglow light curves and used the data to constrain various models. They suggested that the steep decay component is consistent with the tail emission of the prompt GRBs and/or the X-ray flares. This provides strong evidence that the prompt emission and afterglow emission are likely two distinct components, supporting the internal origin of the GRB prompt emission. The shallow decay segment observed in a group of GRBs suggests that very likely the forward shock keeps being refreshed for some time. This might be caused by either a long-lived central engine, or a wide distribution of the shell Lorentz factors, or else possibly the deceleration of the Poynting flux−dominated flow. X-ray flares suggest that the GRB central engine is very likely still active after the prompt gamma−ray emission is over, but with a reduced activity at later times. In some cases, the central engine activity even extends to days after the burst triggers. Analyses of early X-ray afterglow data reveal that GRBs are indeed highly relativistic events and that early afterglow data of many bursts, starting from the beginning of the XRT observations, are consistent with the afterglow emission from an ISM environment.
 
- Afterglow light curves, viewing angle, and the jet structure of−ray bursts (Rossi, Lazzati & Rees [203]). They considered the jet having a beam pattern where the luminosity per unit solid angle (and perhaps also the initial Lorentz factor) decreases smoothly away from the axis, rather than having a well-defined cone angle within which the flow is uniform. They showed that the break in the afterglow light curve occurs at a time that depends on the viewing angle. Instead of implying a range of intrinsically different jets—some very narrow, and others with a similar power spread over a wider cone—the data on afterglow breaks could be consistent with a standardized jet, as viewed from different angles.
 - Gamma−Ray Burst Beaming: A Universal Configuration with a Standard Energy Reservoir? (Zhang & Mészáros [204]). They considered a model of GRBs based on an anisotropic fireball with an axisymmetric energy distribution of the form () ∝ and allowed for the observer’s viewing direction being at an arbitrary angle with respect to the jet axis. This model can reproduce the key features expected from the conventional on-axis uniform jet models, with the novelty being that the achromatic break time in the broadband afterglow light curves corresponds to the epoch during which the relativistic beaming angle is equal to the viewing angle, , rather than to the jet half-opening angle, . If all the GRB fireballs have such a similar energy distribution form with 1.5 < k ≤ 2, then GRBs may be modeled by a quasi-universal beaming configuration and an approximately standard energy reservoir.
 - The Evolution of a Structured Relativistic Jet and Gamma−Ray Burst Afterglow Light Curves (Kumar & Granot [205]). They carried out numerical hydrodynamical modeling for the evolution of a relativistic collimated outflow as it interacts with the surrounding medium and calculated the light curve resulting from the synchrotron emission of the shocked fluid. Their result suggests that the dynamics of relativistic structured jets may be reasonably described by a simple analytic model in which the energy per unit solid angle, , is independent of time, as long as the Lorentz factor along the jet axis is larger than a few.
 
3.3. Statistical Studies of GRBs
3.4. Hunting for the Progenitors of GRBs
3.5. GRBs as Trigger for Mass Extinction on Earth
4. Conclusions
Funding
Acknowledgments
Conflicts of Interest
References
- Klebesadel, R.W.; Strong, I.B.; Olson, R.A. Observations of Gamma-Ray Bursts of Cosmic Origin. Astrophys. J. 1973, 182, L85–L88. [Google Scholar] [CrossRef]
 - Mazets, E.P.; Golenetskii, S.V.; Ilinskii, V.N. Burst of cosmic gamma-emission from observations on Cosmos 461. Pisma v Zhurnal Eksperimentalnoi i Teoreticheskoi Fiziki 1974, 19, 126–128. [Google Scholar]
 - Mazets, E.P.; Golenetskii, S.V.; Ilinskii, V.N.; Gurian, I.A.; Kharitonova, T.V. Investigations of diffuse cosmic gamma radiation in the range 28 keV-4-.1 MeV. JETP Lett. 1974, 20, 32–34. [Google Scholar]
 - Mazets, E.P.; Golenetskii, S.V.; Ilinskii, V.N.; Gurian, I.A.; Kharitonova, T.V. Diffuse Cosmic Gamma-Ray Background in the 28 keV–4.1 MeV Range from Kosmos 461 Observations. Astrophys. Space Sci. 1975, 33, 347–357. [Google Scholar] [CrossRef]
 - Vigliano, A.A.; Longo, F. Gamma-ray Bursts: 50 Years and Counting! Universe 2024, 10, 57. [Google Scholar] [CrossRef]
 - Kouveliotou, C.; Wijers, R.A.M.J.; Woosley, S. Gamma-Ray Bursts; Cambridge University Press: Cambridge, UK, 2012. [Google Scholar]
 - Katz, J.I. The Biggest Bangs: The Mystery of Gamma-Ray Bursts, the Most Violent Explosions in the Universe; Oxford University Press: Oxford, UK, 2002; ISBN 0195145704. [Google Scholar]
 - Zhang, B. The Physics of Gamma-Ray Bursts; Cambridge University Press: Cambridge, UK, 2018; ISBN 978-1-139-22653-0. [Google Scholar]
 - Feroci, M. Observation of gamma-ray bursts by BeppoSAX. Mem. Soc. Astron. Ital. 1999, 70, 905–931. [Google Scholar]
 - Oort, J.H. The structure of the cloud of comets surrounding the Solar System and a hypothesis concerning its origin. Bull. Astron. Institutes Neth. 1950, 11, 91–110. [Google Scholar]
 - White, R.S. Some Requirements of a Colliding Comet Source of Gamma-Ray Bursts. Astrophys. Space Sci. 1993, 208, 301–311. [Google Scholar] [CrossRef]
 - Luchkov, B.I. A cometary model for cosmic gamma-bursts. Astron. Lett. 1994, 20, 308–310. [Google Scholar]
 - Maoz, E. Do Observations Exclude Gamma-Ray Bursts Originating in the Oort Cloud of Comets? Astrophys. J. 1993, 414, 877–882. [Google Scholar] [CrossRef][Green Version]
 - Horack, J.M.; Koshut, T.M.; Mallozzi, R.S.; Storey, S.D.; Emslie, A.G. Implications of the BATSE Data for a Heliocentric Origin of Gamma-Ray Bursts. Astrophys. J. 1994, 429, 319–324. [Google Scholar] [CrossRef]
 - Clarke, T.E.; Blaes, O.; Tremaine, S. Do Gamma-Ray Bursts Come From The Oort Cloud. Astron. J. 1994, 107, 1873–1878. [Google Scholar] [CrossRef]
 - Hakkila, J.; Meegan, C.A.; Pendleton, G.N.; Fishman, G.J.; Wilson, R.B.; Paciesas, W.S.; Brock, M.N.; Horack, J.M. Constraints on Galactic Distributions of Gamma-Ray Burst Sources from BATSE Observations. Astrophys. J. 1994, 422, 659–670. [Google Scholar] [CrossRef]
 - Higdon, J.C.; Lingenfelter, R.E. Gamma-ray bursts. Annu. Rev. Astron. Astrophys. 1990, 28, 401–436. [Google Scholar] [CrossRef]
 - Harding, A.K. The physics of gamma-ray bursts. Phys. Rep. 1991, 206, 327–391. [Google Scholar] [CrossRef]
 - Kundt, W.; Chang, H.-K. Gamma-ray bursts from nearby neutron stars: (Letter to the Editor). Astrophys. Space Sci. 1993, 200, 151–162. [Google Scholar] [CrossRef]
 - Kundt, W. Gamma-ray bursts: A critical analysis. In Proceedings of the Vulcano Workshop 1998 on Frontier Objects in Astrophysics and Particle Physics, Vulcano, Italy, 25–30 May 1998; Giovannelli, F., Mannocchi, G., Eds.; SIF: Bologna, Italy, 1999; Volume 65, pp. 303–309. [Google Scholar]
 - Tkaczyk, W.; Giovannelli, F. Correlation between GRB arriving directions and CV positions. Mem. Soc. Astron. Ital. 1999, 70, 951–956. [Google Scholar]
 - Meegan, C.A.; Pendleton, G.N.; Briggs, M.S.; Kouveliotou, C.; Koshut, T.M.; Lestrade, J.P.; Paciesas, W.S.; McCollough, M.L.; Brainerd, J.J.; Horack, J.M.; et al. The Third BATSE Gamma-Ray Burst Catalog. Astrophys. J. Suppl. Ser. 1996, 106, 65–110. [Google Scholar] [CrossRef]
 - Ritter, H. Catalogue of cataclysmic binaries, low-mass X-ray binaries and related objects (fifth edition). Astron. Astrophys. Suppl. Ser. 1990, 85, 1179–1256. [Google Scholar]
 - Kouveliotou, C.; Meegan, C.A.; Fishman, G.J.; Bhat, N.P.; Briggs, M.S.; Koshut, T.M.; Paciesas, W.S.; Pendleton, G.N. Identification of Two Classes of Gamma-Ray Bursts. Astrophys. J. 1993, 413, L101–L104. [Google Scholar] [CrossRef]
 - Fishman, G.J.; Meegan, C.A.; Wilson, R.B.; Brock, M.N.; Horack, J.M.; Kouveliotou, C.; Howard, S.; Paciesas, W.S.; Briggs, M.S.; Pendleton, G.N.; et al. The First BATSE Gamma-Ray Burst Catalog. Astrophys. J. Suppl. Ser. 1994, 92, 229–283. [Google Scholar] [CrossRef]
 - Belli, B.M. Evidence for the Galactic Origin of Gamma-Ray Bursts. Astrophys. J. 1997, 479, L31–L34. [Google Scholar] [CrossRef]
 - Norris, J.P.; Nemiroff, R.J.; Scargle, J.D.; Kouveliotou, C.; Fishman, G.J.; Meegan, C.A.; Paciesas, W.S.; Bonnell, J.T. Detection of Signature Consistent with Cosmological Time Dilation in Gamma-Ray Bursts. Astrophys. J. 1994, 424, 540–545. [Google Scholar] [CrossRef]
 - Paczyński, B. Gamma-ray bursters at cosmological distances. Astrophys. J. 1986, 30, L43–L46. [Google Scholar] [CrossRef]
 - Woosley, S.E. Gamma-Ray Bursts from Stellar Mass Accretion Disks around Black Holes. Astrophys. J. 1993, 405, 273–277. [Google Scholar] [CrossRef]
 - Paczyński, B. Are Gamma-Ray Bursts in Star-Forming Regions? Astrophys. J. 1998, 494, L45–L48. [Google Scholar] [CrossRef]
 - Fishman, G.J.; Meegan, C.A. Gamma-Ray Bursts. Annu. Rev. Astron. Astrophys. 1995, 33, 415–458. [Google Scholar] [CrossRef]
 - Paczyński, B. How Far Away Are Gamma-Ray Bursters? Publ. Astron. Soc. Pac. 1995, 107, 1167–1175. [Google Scholar] [CrossRef][Green Version]
 - Lamb, D.Q. The Distance Scale to Gamma-Ray Bursts. Publ. Astron. Soc. Pac. 1995, 107, 1152–1166. [Google Scholar] [CrossRef][Green Version]
 - Costa, E.; Frontera, F.; Heise, J.; Feroci, M.; in’t Zand, J.; Fiore, F.; Cinti, M.N.; Dal Fiume, D.; Nicastro, L.; Orlandini, M.; et al. Discovery of an X-ray afterglow associated with the γ-ray burst of 28 February 1997. Nature 1997, 387, 783–785. [Google Scholar] [CrossRef]
 - Prilutskii, O.F.; Usov, V.V. On the Nature of γ-ray Bursts. Astrophys. Space Sci. 1975, 34, 395–401. [Google Scholar] [CrossRef]
 - Golenetskij, S.V.; Mazets, E.P.; Ilinskij, V.N.; Guryan, Y.A. Recurrent gamma-ray bursts from the flaring source FXP 0520-66. Sov. Astron. Lett. 1979, 5, 340–342. [Google Scholar]
 - Hurley, K. Soft Gamma Repeaters: New Results and Surprises from Swift, INTEGRAL, and the Interplanetary Network. Chin. J. Astron. Astrophys. 2008, 8, 202–212. [Google Scholar]
 - Hurley, K. Soft Gamma Repeaters. In Proceedings of the Frascati Workshop 2007 on Multifrequency Behaviour of High Energy Cosmic Sources—VII, Vulcano, Italy, 28 May–2 June 2007. [Google Scholar]
 - Giovannelli, F.; Sabau-Graziati, L. Multifrequency Astrophysics Today. Chin. J. Astron. Astrophys. 2003, 3, 1–29. [Google Scholar] [CrossRef]
 - Giovannelli, F.; Sabau-Graziati, L. Hot Points in Multifrequency Astrophysics Today. Chin. J. Astron. Astrophys. 2006, 6, 1–28. [Google Scholar] [CrossRef]
 - Giovannelli, F.; Sabau-Graziati, L. Frontier Research in Astrophysics—A Review from a personal point of view. In Proceedings of the Frontier Research in Astrophysics—III, Palermo, Italy, 28 May–2 June 2018; Available online: https://pos.sissa.it/cgi-bin/reader/conf.cgi?confid=331 (accessed on 3 October 2024).
 - Giovannelli, F. Multifrequency Behaviour of High Energy Cosmic Sources in the GW Era. In Proceedings of the Multifrequency Behaviour of High Energy Cosmic Sources—XIII, Palermo, Italy, 3–8 June 2019; Available online: https://pos.sissa.it/cgi-bin/reader/conf.cgi?confid=362 (accessed on 3 October 2024).
 - Mazets, E.P.; Golenetskii, S.V. Observations of cosmic gamma-ray bursts. Sov. Sci. Rev. Sect. E 1988, 6, 281–311. [Google Scholar]
 - Giovannelli, F.; Sabau-Graziati, L. The Impact of Space Experiments on our Knowledge of the Physics of the Universe. Space Sci. Rev. 2004, 112, 1–443. [Google Scholar] [CrossRef]
 - Gupta, R. Multiwavelength Observations of Gamma Ray Bursts. Ph.D. Thesis, Department of Physics, Deen Dayal Upadhyaya Gorakhpur University, Gorakhpur, India, 2 December 2023. [Google Scholar]
 - von Kienlin, A.; Meegan, C.A.; Paciesas, W.S.; Bhat, P.N.; Bissaldi, E.; Briggs, M.S.; Burns, E.; Cleveland, W.H.; Gibby, M.H.; Giles, M.M.; et al. The Fourth Fermi-GBM Gamma-Ray Burst Catalog: A Decade of Data. Astrophys. J. 2020, 893, 46. [Google Scholar] [CrossRef]
 - Guarnieri, A.; Bartolini, C.; Masetti, N.; Piccioni, A.; Costa, E.; Feroci, M.; Frontera, F.; dal Fiume, D.; Nicastro, L.; Palazzi, E.; et al. Early detection of the Optical Transient following the Gamma-Ray Burst GRB 970228. Astron. Astrophys. 1997, 328, L13–L16. [Google Scholar]
 - van Paradijs, J.; Groot, P.J.; Galama, T.; Kouveliotou, C.; Strom, R.G.; Telting, J.; Rutten, R.G.M.; Fishman, G.J.; Meegan, C.A.; Pettini, M.; et al. Transient optical emission from the error box of the γ-ray burst of 28 February 1997. Nature 1997, 386, 686–689. [Google Scholar] [CrossRef]
 - Djorgovski, S.G.; Metzger, M.R.; Kulkarni, S.R.; Odewahn, S.C.; Gal, R.R. The optical counterpart to the γ-ray burst GRB970508. Nature 1997, 387, 876–878. [Google Scholar] [CrossRef]
 - Bremer, M.; Krichbaum, T.P.; Galama, T.J.; Castro-Tirado, A.J.; Frontera, F.; van Paradijs, J.; Mirabel, I.F.; Costa, E. Millimetre detection of GRB 970508. Astron. Astrophys. 1998, 332, L13–L16. [Google Scholar]
 - Frail, D.A.; Kulkarni, S.R.; Nicastro, L.; Feroci, M.; Taylor, G.B. The radio afterglow from the γ-ray burst of 8 May 1997. Nature 1997, 389, 261–263. [Google Scholar] [CrossRef]
 - Metzger, M.R.; Djorgovski, S.G.; Kulkarni, S.R.; Steidel, C.C.; Adelberger, K.L.; Frail, D.A.; Costa, E.; Frontera, F. Spectral constraints on the redshift of the optical counterpart to the γ-ray burst of 8 May 1997. Nature 1997, 387, 878–880. [Google Scholar] [CrossRef]
 - Barbiellini, G.; Longo, F. Gamma-Ray Bursts prospects and conflicts. To the experiment the last word. In Proceedings of Frontier Objects in Astrophysics and Particle Physics; Giovannelli, F., Mannocchi, G., Eds.; SIF: Bologna, Italy, 2003; Volume 85, pp. 281–289. [Google Scholar]
 - Amati, L. The Ep,j–Eiso Correlation and Fermi GRBs. In Proceedings of the 9th Frascati Workshop 2011 on Multifrequency Behaviour of High Energy Cosmic Sorces—IX, Vulcano, Italy, 23–28 May 2011. [Google Scholar]
 - Kann, D.A.; Klose, S.; Zhang, B.; Malesani, D.; Nakar, E.; Pozanenko, A.; Wilson, A.C.; Butler, N.R.; Jakobsson, P.; Schulze, S.; et al. The Afterglows of Swift-era Gamma-ray Bursts. I. Comparing pre-Swift and Swift-era Long/Soft (Type II) GRB Optical Afterglows. Astrophys. J. 2010, 720, 1513–1558. [Google Scholar] [CrossRef]
 - Perley, D.A.; Cenko, S.B.; Corsi, A.; Tanvir, N.R.; Levan, A.J.; Kann, D.A.; Sonbas, E.; Wiersema, K.; Zheng, W.; Zhao, X.-H.; et al. The Afterglow of GRB 130427A from 1 to 1016 GHz. Astrophys. J. 2014, 781, 37. [Google Scholar] [CrossRef]
 - Costa, E. X–ray afterglow of gamma–ray bursts with BeppoSAX. Astron. Astrophys. Suppl. Ser. 1999, 138, 425–429. [Google Scholar] [CrossRef]
 - Zhang, B.; Fan, Y.Z.; Dyks, J.; Kobayashi, S.; Mészáros, P.; Burrows, D.N.; Nousek, J.A.; Gehrels, N. Physical Processes Shaping Gamma-Ray Burst X-Ray Afterglow Light Curves: Theoretical Implications from the Swift X-Ray Telescope Observations. Astrophys. J. 2006, 642, 354–370. [Google Scholar] [CrossRef]
 - Amati, L.; Frontera, F.; Tavani, M.; in ’t Zand, J.J.M.; Antonelli, A.; Costa, E.; Feroci, M.; Guidorzi, C.; Heise, J.; Masetti, N.; et al. Intrinsic spectra and energetics of BeppoSAX Gamma-Ray Bursts with known redshifts. Astron. Astrophys. 2002, 390, 81–89. [Google Scholar] [CrossRef]
 - Amati, L. Intrinsic spectra and energetics of cosmological Gamma-Ray Bursts. Chin. J. Astron. Astrophys. 2003, 3, 455–460. [Google Scholar] [CrossRef]
 - Lamb, D.Q.; Donaghy, T.Q.; Graziani, C. A Unified Jet Model of X-Ray Flashes and Gamma-Ray Bursts. In Gamma-Ray Bursts: 30 Years of Discovery: Gamma-Ray Burst Symposium; AIP Conference Proceedings 727; The University of Adelaide: Santa Fe, NM, USA, 2004; pp. 19–24. [Google Scholar]
 - Sakamoto, T.; Lamb, D.Q.; Graziani, C.; Donaghy, T.Q.; Suzuki, M.; Ricker, G.; Atteia, J.-L.; Kawai, N.; Yoshida, A.; Shirasaki, Y.; et al. High Energy Transient Explorer 2 Observations of the Extremely Soft X-Ray Flash XRF 020903. Astrophys. J. 2004, 602, 875–885. [Google Scholar] [CrossRef]
 - Sakamoto, T.; Lamb, D.Q.; Kawai, N.; Yoshida, A.; Graziani, C.; Fenimore, E.E.; Donaghy, T.Q.; Matsuoka, M.; Suzuki, M.; Ricker, G.; et al. Global characteristics of X-ray flashes and X-ray-rich gamma-ray bursts observed by HETE-2. Astrophys. J. 2005, 629, 311–327. [Google Scholar] [CrossRef]
 - Amati, L. The Ep,i-Eiso correlation in gamma-ray bursts: Updated observational status, re-analysis and main implications. Mon. Not. R. Astron. Soc. 2006, 372, 233–245. [Google Scholar] [CrossRef]
 - Amati, L. Swift GRBs and the Ep,i-Eiso correlation. Il Nuovo C. B 2006, 121, 1081–1086. [Google Scholar]
 - Azzam, W.J.; Jaber, F.S.; Ahmed, G.M. The Eiso-Liso Plane for Gamma-Ray Bursts. J. Appl. Math. Phys. 2022, 10, 1083–1088. [Google Scholar] [CrossRef]
 - Han, Y.; Gao, J.; Liu, G.; Xu, L. Detection of gamma-ray burst Amati relation based on Hubble data set and Pantheon+ samples. Eur. Phys. J. C 2024, 84, 934. [Google Scholar] [CrossRef]
 - Yonetoku, D.; Murakami, T.; Nakamura, T.; Yamazaki, R.; Inoue, A.K.; Ioka, K. Gamma-Ray Burst Formation Rate Inferred from the Spectral Peak Energy-Peak Luminosity Relation. Astrophys. J. 2004, 609, 935–951. [Google Scholar] [CrossRef]
 - Waxman, E.; Kulkarni, S.R.; Frail, D.A. Implications of the Radio Afterglow from the Gamma-Ray Burst of 1997 May 8. Astrophys. J. 1998, 497, 288–293. [Google Scholar] [CrossRef][Green Version]
 - Fruchter, A.S.; Thorsett, S.E.; Metzger, M.R.; Sahu, K.C.; Petro, L.; Livio, M.; Ferguson, H.; Pian, E.; Hogg, D.W.; Galama, T.; et al. Hubble Space Telescope and Palomar Imaging of GRB 990123: Implications for the Nature of Gamma-Ray Bursts and Their Hosts. Astrophys. J. 1999, 519, L13–L16. [Google Scholar] [CrossRef]
 - Rhoads, J.E. How to Tell a Jet from a Balloon: A Proposed Test for Beaming in Gamma-Ray Bursts. Astrophys. J. 1997, 487, L1–L4. [Google Scholar] [CrossRef]
 - Sari, R.; Piran, T.; Halpern, J.P. Jets in Gamma-Ray Bursts. Astrophys. J. 1999, 519, L17–L20. [Google Scholar] [CrossRef]
 - Ghirlanda, G.; Ghisellini, G.; Lazzati, D. The Collimation-corrected Gamma-Ray Burst Energies Correlate with the Peak Energy of Their νFν Spectrum. Astrophys. J. 2004, 616, 331–338. [Google Scholar] [CrossRef]
 - Dainotti, M.G.; Cardone, V.F.; Capozziello, S. A time-luminosity correlation for γ-ray bursts in the X-rays. Mon. Not. R. Astron. Soc. 2008, 391, L79–L83. [Google Scholar] [CrossRef]
 - Dainotti, M.G.; Cardone, V.F.; Capozziello, S.; Ostrowski, M.; Willingale, R. Study of Possible Systematics in the - Correlation of Gamma-ray Bursts. Astrophys. J. 2011, 730, 135. [Google Scholar] [CrossRef]
 - Frail, D.A.; Kulkarni, S.R.; Sari, R.; Djorgovski, S.G.; Bloom, J.S.; Galama, T.J.; Reichart, D.E.; Berger, E.; Harrison, F.A.; Price, P.A.; et al. Beaming in Gamma-Ray Bursts: Evidence for a Standard Energy Reservoir. Astrophys. J. 2001, 562, L55–L58. [Google Scholar] [CrossRef]
 - Liang, E.-W.; Zhang, B. Model-independent Multivariable Gamma-Ray Burst Luminosity Indicator and Its Possible Cosmological Implications. Astrophys. J. 2005, 633, 611–623. [Google Scholar] [CrossRef]
 - Dainotti, M.; Petrosian, V.; Willingale, R.; O’Brien, P.; Ostrowski, M.; Nagataki, S. Luminosity-time and luminosity-luminosity correlations for GRB prompt and afterglow plateau emissions. Mon. Not. R. Astron. Soc. 2015, 451, 3898–3908. [Google Scholar] [CrossRef]
 - Dainotti, M.G.; Postnikov, S.; Hernandez, X.; Ostrowski, M. A Fundamental Plane for Long Gamma-Ray Bursts with X-Ray Plateaus. Astrophys. J. 2016, 825, L20. [Google Scholar] [CrossRef]
 - Dainotti, M.G.; Hernandez, X.; Postnikov, S.; Nagataki, S.; O’brien, P.; Willingale, R.; Striegel, S. A Study of the Gamma-Ray Burst Fundamental Plane. Astrophys. J. 2017, 848, 88. [Google Scholar] [CrossRef]
 - Xu, M.; Huang, Y.-F. New three-parameter correlation for gamma-ray bursts with a plateau phase in the afterglow. Astron. Astrophys. 2012, 538, A134. [Google Scholar] [CrossRef]
 - Dainotti, M.G.; Petrosian, V.; Singal, J.; Ostrowski, M. Determination of the Intrinsic Luminosity Time Correlation in the X-Ray Afterglows of Gamma-Ray Bursts. Astrophys. J. 2013, 774, 157. [Google Scholar] [CrossRef]
 - Si, S.-K.; Qi, Y.-Q.; Xue, F.-X.; Liu, Y.-J.; Wu, X.; Yi, S.-X.; Tang, Q.-W.; Zou, Y.-C.; Wang, F.-F.; Wang, X.-G. The Three-parameter Correlations About the Optical Plateaus of Gamma-Ray Bursts. Astrophys. J. 2018, 863, 50. [Google Scholar] [CrossRef]
 - Tang, C.-H.; Huang, Y.-F.; Geng, J.-J.; Zhang, Z.-B. Statistical Study of Gamma-Ray Bursts with a Plateau Phase in the X-Ray Afterglow. Astrophys. J. Suppl. Ser. 2019, 245, 1. [Google Scholar] [CrossRef]
 - Campana, S.; Guidorzi, C.; Tagliaferri, G.; Chincarini, G.; Moretti, A.; Rizzuto, D.; Romano, P. Are Swift gamma-ray bursts consistent with the Ghirlanda relation? Astron. Astrophys. 2007, 472, 395–401. [Google Scholar] [CrossRef][Green Version]
 - Zhang, Z.-B.; Zhang, C.-T.; Zhao, Y.X.; Luo, J.J.; Jiang, L.Y.; Wang, X.L.; Han, X.L.; Terheide, R.K. Spectrum-energy Correlations in GRBs: Update, Reliability, and the Long/Short Dichotomy. Publ. Astron. Soc. Pac. 2018, 130, 054202. [Google Scholar] [CrossRef]
 - Zhao, W.; Zhang, J.-C.; Zhang, Q.-X.; Liang, J.-T.; Luan, X.-H.; Zhou, Q.-Q.; Yi, S.-X.; Wang, F.-F.; Zhang, S.-T. Statistical Study of Gamma-Ray Bursts with Jet Break Features in Multiwavelength Afterglow Emissions. Astrophys. J. 2020, 900, 112. [Google Scholar] [CrossRef]
 - Wang, F.Y.; Dai, Z.G.; Liang, E.W. Gamma-ray Burst Cosmology. New Astron. Rev. 2015, 67, 1–17. [Google Scholar] [CrossRef]
 - Dainotti, M.G.; Del Vecchio, R.; Tarnopolski, M. Gamma-Ray Burst Prompt Correlations. Adv. Astron. 2018, 2018, 4969503. [Google Scholar] [CrossRef]
 - Dainotti, M. Gamma-Ray Burst Correlations; Current Status and Open Questions; IOP Ebooks; IOP Publishing: Bristol, UK, 2019. [Google Scholar]
 - Bargiacchi, G.; Dainotti, M.G.; Capozziello, S. High-redshift cosmology by Gamma-Ray Bursts: An overview. New Astron. Rev. 2025, 100, 101712. [Google Scholar] [CrossRef]
 - Wang, F.Y.; Hu, J.P.; Zhang, G.Q.; Dai, Z.G. Standardized Long Gamma-Ray Bursts as a Cosmic Distance Indicator. Astrophys. J. 2022, 924, 97. [Google Scholar] [CrossRef]
 - Giovannelli, F. Hot points in astroparticle physics today. In Proceedings of the Frontier Objects in Astrophysics and Particle Physics, Vulcano Workshop 2002, Vulcano, Italy, 20–25 May 2002; Giovannelli, F., Mannocchi, G., Eds.; SIF: Bologna, Italy, 2003; Volume 85, pp. 3–46. [Google Scholar]
 - Giovannelli, F.; Sabau-Graziati, L. The Impact of Multifrequency Observations on Our Knowledge of the Physics of the Universe. Chin. J. Astron. Astrophys. 2008, 8, 1–32. [Google Scholar]
 - Piran, T. Gamma-ray bursts and the fireball model. Phy. Rep. 1999, 314, 575–667. [Google Scholar] [CrossRef]
 - Mészáros, P. Theories of Gamma-Ray Bursts. Annu. Rev. Astron. Astrophys. 2002, 40, 137–169. [Google Scholar] [CrossRef]
 - Piran, T. The physics of gamma-ray bursts. Rev. Mod. Phys. 2004, 76, 1143–1210. [Google Scholar] [CrossRef]
 - Zhang, B.; Mészáros, P. Gamma-Ray Bursts: Progress, problems & prospects. Int. J. Mod. Phys. A 2004, 19, 2385–2472. [Google Scholar]
 - Piran, T.; Guetta, D.; Rodriguez-Martinez, M. Gamma-Ray Bursts and New Physics. Prog. Theor. Phys. Suppl. 2006, 163, 23–37. [Google Scholar] [CrossRef]
 - Mészáros, P. Gamma-ray bursts. Rep. Prog. Phys 2006, 69, 2259–2321. [Google Scholar] [CrossRef]
 - Woosley, S.E.; Bloom, J.S. The Supernova Gamma-Ray Burst Connection. Annu. Rev. Astron. Astrophys. 2006, 44, 507–556. [Google Scholar] [CrossRef]
 - Zhang, B. Gamma-Ray Bursts in the Swift Era. Chin. J. Astron. Astrophys. 2007, 7, 1–50. [Google Scholar] [CrossRef]
 - Nakar, E. Short-hard gamma-ray bursts. Phy. Rep. 2007, 442, 166–236. [Google Scholar] [CrossRef]
 - Granot, J. The Structure and Dynamics of GRB Jets. Rev. Mex. Astron. Astrofis. Conf. Ser. 2007, 27, 140–165. [Google Scholar]
 - Granot, J. GRB Theory in the Fermi Era. arXiv 2009, arXiv:0905.2206. [Google Scholar]
 - Gehrels, N.; Ramirez-Ruiz, E.; Fox, D.B. Gamma-Ray Bursts in the Swift Era. Annu. Rev. Astron. Astrophys. 2009, 47, 567–617. [Google Scholar] [CrossRef]
 - Granot, J.; Ramirez-Ruiz, E. Jets and Gamma-Ray Burst Unification Schemes. arXiv 2010, arXiv:1012.5101. [Google Scholar]
 - Zhang, B. Open questions in GRB physics. C. R. Phys. 2011, 12, 206–225. [Google Scholar] [CrossRef]
 - Gehrels, N.; Razzaque, S. Gamma-ray bursts in the swift-Fermi era. Front. Phys. 2013, 8, 661–678. [Google Scholar] [CrossRef]
 - Inoue, S.; Granot, J.; O’Brien, P.T.; Asano, K.; Bouvier, A.; Carosi, A.; Connaughton, V.; Garczarczyk, M.; Gilmore, R.; Hinton, J.; et al. Gamma-ray burst science in the era of the Cherenkov Telescope Array. Astropart. Phys. 2013, 43, 252–275. [Google Scholar] [CrossRef]
 - Berger, E. Short-Duration Gamma-Ray Bursts. Annu. Rev. Astron. Astrophys. 2014, 52, 43–105. [Google Scholar] [CrossRef]
 - D’Avanzo, P. Short gamma-ray bursts: A review. J. High Energy Astrophys. 2015, 7, 73–80. [Google Scholar] [CrossRef]
 - Kumar, P.; Zhang, B. The physics of gamma-ray bursts & relativistic jets. Phys. Rep. 2015, 561, 1–109. [Google Scholar]
 - Bernardini, M.G. Gamma-ray bursts and magnetars: Observational signatures and predictions. J. High Energy Astrophys. 2015, 7, 64–72. [Google Scholar] [CrossRef]
 - Piron, F. Gamma-ray bursts at high and very high energies. C. R. Phys. 2016, 17, 617–631. [Google Scholar] [CrossRef]
 - Syromyatnikov, A.G. On the Gamma-Ray Bursts Origin. Int. J. Astron. Astrophys. 2016, 6, 425–434. [Google Scholar] [CrossRef][Green Version]
 - Mészáros, P. Gamma-Ray Bursts: Theoretical issues and developments. Mem. Soc. Astron. Ital. 2019, 90, 57–66. [Google Scholar]
 - Aimuratov, Y. Gamma-Ray Bursts Within Fireshell Model. Ph.D. Thesis, Sapienza University, Roma, Italy, 25 February 2020. [Google Scholar]
 - Kshirsagar, K.; Kiran, C.A.S.S.; Irfaan, M.; Rathod, B.A.; Amonkar, S.; Hameed, S. Anuroop, C.K.; Chidambaram, M.; Solanki, D.; Farooq, W.; Kumar Ray, P. A Study of Detection of Supernovae and Gamma Ray Bursts. Preprint 2021. [Google Scholar] [CrossRef]
 - Luongo, O.; Muccino, M.A. A Roadmap to Gamma-Ray Bursts: New Developments and Applications to Cosmology. Galaxies 2021, 9, 77. [Google Scholar] [CrossRef]
 - Noda, K.; Parsons, R.D. Gamma-Ray Bursts at TeV Energies: Observational Status. Galaxies 2022, 10, 7. [Google Scholar] [CrossRef]
 - Yu, Y.-W.; Gao, H.; Wang, F.-Y.; Zhang, B.-B. Gamma-Ray Bursts. In Handbook of X-ray and Gamma-Ray Astrophysics; Bambi, C., Santangelo, A., Eds.; Springer: Berlin/Heidelberg, Germany, 2022; ISBN 978-981-16-4544-0. [Google Scholar]
 - Salafia, O.S.; Ghirlanda, G. The Structure of Gamma Ray Burst Jets. Galaxies 2022, 10, 93. [Google Scholar] [CrossRef]
 - Deng, H.-Y.; Peng, Z.-Y.; Chen, J.-M.; Yin, Y.; Li, T. A Study of the Spectral Properties of Gamma-Ray Bursts with the Precursors and Main Bursts. Astrophys. J. 2024, 970, 67. [Google Scholar] [CrossRef]
 - Pradhan, A.; Boruah, A.J.; Devi, L.; Sarkar, B. Gamma Ray Bursts: Fundamentals, Challenges and Insights from Recent Observations. Mapana J. Sci. 2024, 23, 1–33. [Google Scholar]
 - Frontera, F. A Short History of the First 50 Years: From the GRB Prompt Emission and Afterglow Discoveries to the Multimessenger Era. Universe 2024, 10, 260. [Google Scholar] [CrossRef]
 - Bozzo, E.; Amati, L.; Baumgartner, W.; Chang, T.-C.; Cordier, B.; De Angelis, N.; Doi, A.; Feroci, M.; Froning, C.; Gaskin, J.; et al. Future Perspectives for Gamma-ray Burst Detection from Space. Universe 2024, 10, 187. [Google Scholar] [CrossRef]
 - Wang, F.Y.; Dai, Z.G. High-redshift star formation rate up to z∼8.3 derived from gamma-ray bursts and influence of background cosmology. Mon. Not. R. Astron. Soc. 2009, 400, L10–L14. [Google Scholar] [CrossRef]
 - Hopkins, A.M.; Beacom, J.F. On the Normalization of the Cosmic Star Formation History. Astrophys. J. 2006, 651, 142–154. [Google Scholar] [CrossRef]
 - Sacahui, J.R.; Penacchioni, A.V.; Braga, J.; Castro, M.A.; D’Amico, F. MIRAX sensitivity for Gamma Ray Bursts. J. High Energy Astrophys. 2016, 9–10, 16–24. [Google Scholar] [CrossRef]
 - Tsvetkova, A.; Svinkin, D.; Karpov, S.; Frederiks, D. Key Space and Ground Facilities in GRB Science. Universe 2022, 8, 373. [Google Scholar] [CrossRef]
 - Gao, H.; Lei, W.-H.; Zou, Y.-C.; Wu, X.-F.; Zhang, B. A complete reference of the analytical synchrotron external shock models of gamma-ray bursts. New Astron. Rev. 2013, 57, 141–190. [Google Scholar] [CrossRef]
 - Zhang, B. GRB afterglow. In Proceedings of the Gamma-Ray Bursts: 15 Years of GRB Afterglows; Castro-Tirado, A.J., Gorosabel, J., Park, I.H., Eds.; EAS Publications Series 61; Harvard University: Cambridge, UK, 2013; pp. 285–293. [Google Scholar]
 - Cavallo, G.; Rees, M.J. A qualitative study of cosmic fireballs and gamma -ray bursts. Mon. Not. R. Astron. Soc. 1978, 183, 359–365. [Google Scholar] [CrossRef]
 - Goodman, J. Are gamma-ray bursts optically thick? Astrophys. J. 1986, 308, L47–L50. [Google Scholar] [CrossRef]
 - Guidorzi, C. Cosmic Gamma-Ray Bursts and Other Fast Transients Detected with the BeppoSAX Gamma-Ray Burst Monitor. Ph.D. Thesis, Ferrara University, Ferrara, Italy, 2003. [Google Scholar]
 - Rees, M.J.; Mészáros, P. Unsteady Outflow Models for Cosmological Gamma-Ray Bursts. Astrophys. J. 1994, 430, L93–L96. [Google Scholar] [CrossRef]
 - Mészáros, P.; Rees, M.J. Optical and Long-Wavelength Afterglow from Gamma-Ray Bursts. Astrophys. J. 1997, 476, 232–237. [Google Scholar] [CrossRef]
 - Sari, R.; Piran, T.; Narayan, R. Spectra and Light Curves of Gamma-Ray Burst Afterglows. Astrophys. J. 1998, 497, L17–L20. [Google Scholar] [CrossRef]
 - Groot, P.J.; Galama, T.J.; van Paradijs, J.; Kouveliotou, C. Optical afterglow of a gamma-ray burst: GRB 970228. Spectrum 1997, 14, 8–11. [Google Scholar]
 - Perna, R.; Loeb, A. Constraining the Beaming of Gamma-Ray Bursts with Radio Surveys. Astrophys. J. 1998, 509, L85–L88. [Google Scholar] [CrossRef]
 - Grindlay, J.E. Fast X-Ray Transients and Gamma-Ray Bursts: Constraints on Beaming. Astrophys. J. 1999, 510, 710–714. [Google Scholar] [CrossRef][Green Version]
 - Mészáros, P.; Rees, M.J. Steep Slopes and Preferred Breaks in Gamma-Ray Burst Spectra: The Role of Photospheres and Comptonization. Astrophys. J. 2000, 530, 292–298. [Google Scholar] [CrossRef]
 - Giovannelli, F.; Sabau-Graziati, L. Frontier Research in Astrophysics: A Review. In Proceedings of the Frontier Research in Astrophysics II, Palermo, Italy, 23–28 May 2016; Available online: https://pos.sissa.it/cgi-bin/reader/conf.cgi?confid=269 (accessed on 3 October 2024).
 - MacFadyen, A.I.; Woosley, S.E. Collapsars: Gamma-Ray Bursts and Explosions in ‘Failed Supernovae’. Astrophys. J. 1999, 524, 262–289. [Google Scholar] [CrossRef]
 - MacFadyen, A.I.; Woosley, S.E.; Heger, A. Supernovae, Jets, and Collapsars. Astrophys. J. 2001, 550, 410–425. [Google Scholar] [CrossRef]
 - Bromberg, O.; Nakar, E.; Piran, T.; Sari, R. An Observational Imprint of the Collapsar Model of Long Gamma-Ray Bursts. Astrophys. J. 2012, 749, 110. [Google Scholar] [CrossRef]
 - Bromberg, O.; Nakar, E.; Piran, T.; Sari, R. Short versus Long and Collapsars versus Non-collapsars: A Quantitative Classification of Gamma-Ray Bursts. Astrophys. J. 2013, 764, 179. [Google Scholar] [CrossRef]
 - Paczyński, B. Cosmological gamma-ray bursts. Acta Astron. 1991, 41, 257–267. [Google Scholar]
 - Eichler, D.; Livio, M.; Piran, T.; Schramm, D.N. Nucleosynthesis, neutrino bursts and γ-rays from coalescing neutron stars. Nature 1989, 340, 126–128. [Google Scholar] [CrossRef]
 - Narayan, R.; Paczyński, B.; Piran, T. Gamma-Ray Bursts as the Death Throes of Massive Binary Stars. Astrophys. J. 1992, 395, L83–L86. [Google Scholar] [CrossRef]
 - Gehrels, N.; Sarazin, C.L.; O’Brien, P.T.; Zhang, B.; Barbier, L.; Barthelmy, S.D.; Blustin, A.; Burrows, D.N.; Cannizzo, J.; Cummings, J.R.; et al. A short γ-ray burst apparently associated with an elliptical galaxy at redshift z = 0.225. Nature 2005, 437, 851–854. [Google Scholar] [CrossRef]
 - Greiner, J.; Krühler, T.; Fynbo, J.P.U.; Rossi, A.; Schwarz, R.; Klose, S.; Savaglio, S.; Tanvir, N.R.; McBreen, S.; Totani, T.; et al. GRB 080913 at Redshift 6.7. Astrophys. J. 2009, 693, 1610–1620. [Google Scholar] [CrossRef]
 - Tanvir, N.R.; Fox, D.B.; Levan, A.J.; Berger, E.; Wiersema, K.; Fynbo, J.P.U.; Cucchiara, A.; Krühler, T.; Gehrels, N.; Bloom, J.S.; et al. A γ-ray burst at a redshift of z∼8.2. Nature 2009, 461, 1254–1257. [Google Scholar] [CrossRef] [PubMed]
 - Cucchiara, A.; Levan, A.J.; Fox, D.B.; Tanvir, N.R.; Ukwatta, T.N.; Berger, E.; Krühler, T.; Küpcü Yoldaş, A.; Wu, X.F.; Toma, K.; et al. A Photometric Redshift of z∼9.4 for GRB 090429B. Astrophys. J. 2011, 736, 7. [Google Scholar] [CrossRef]
 - Izzo, L.; Bernardini, M.G.; Bianco, L.C.; Caito, L.; Patricelli, B.; Ruffini, R. GRB 090423 at Redshift 8.1: A Theoretical Interpretation. J. Korean Phys. Soc. 2010, 57, 551–556. [Google Scholar] [CrossRef]
 - Patricelli, B.; Bernardini, M.G.; Bianco, C.L.; Caito, L.; de Barros, G.; Izzo, L.; Ruffini, R.; Vereshchagin, G.V. Analysis of GRB 080319B and GRB 050904 within the Fireshell Model: Evidence for a Broader Spectral Energy Distribution. Astrophys. J. 2012, 756, 16. [Google Scholar] [CrossRef]
 - Golenetskii, S.; Aptekar, R.; Mazets, E.; Pal’Shin, V.; Frederiks, D.; Cline, T. Konus-wind observation of GRB 080319B. GRB Coord. Netw. 2008, 7482, 1. [Google Scholar]
 - Sugita, S.; Yamaoka, K.; Ohno, M.; Tashiro, M.S.; Nakagawa, Y.E.; Urata, Y.; Pal’Shin, V.; Golenetskii, S.; Sakamoto, T.; Cummings, J.; et al. Suzaku-WAM, Konus-Wind, and Swift-BAT Observations of Prompt Emission of the High-Redshift GRB 050904. Publ. Astron. Soc. Jpn. 2009, 61, 521–527. [Google Scholar] [CrossRef]
 - Lipunov, V.M.; Nazin, S.N.; Panchenko, I.E.; Postnov, K.A.; Prokhorov, M.E. The gravitational wave sky. Astron. Astrophys. 1995, 298, 677–687. [Google Scholar] [CrossRef]
 - Abbott, B.P.; Abbott, R.; Abbott, T.D.; Acernese, F.; Ackley, K.; Adams, C.; Adams, T.; Addesso, P.; Adhikari, R.X.; Adya, V.B.; et al. Multi-messenger Observations of a Binary Neutron Star Merger. Astrophys. J. 2017, 848, L12. [Google Scholar]
 - Abbott, B.P.; Abbott, R.; Abbott, T.D.; Acernese, F.; Ackley, K.; Adams, C.; Adams, T.; Addesso, P.; Adhikari, R.X.; Adya, V.B.; et al. GW170817: Observation of Gravitational Waves from a Binary Neutron Star Inspiral. Phys. Rev. Lett. 2017, 119, 161101. [Google Scholar]
 - Lipunov, V.M. The Ecology of Rotators. Astrophys. Space Sci. 1987, 132, 1–51. [Google Scholar] [CrossRef]
 - Lipunov, V.M.; Postnov, K.A. The Joint Evolution of Normal and Compact Magnetized Stars in Close Binaries—Analytical Description and Statistical Simulation. Astrophys. Space Sci. 1988, 145, 1–45. [Google Scholar] [CrossRef]
 - Giovannelli, F. X-Ray Binary Systems—A Cauldron of Physical Processes. In Proceedings of the 4th Annual Conference on High Energy Astrophysics in Southern Africa (HEASA 2016), Cape Town, South Africa, 25–27 August 2016; Available online: http://pos.sissa.it/cgi-bin/reader/conf.cgi?confid=275 (accessed on 26 September 2024).
 - Tanvir, N.R.; Levan, A.J.; Fruchter, A.S.; Hjorth, J.; Hounsell, R.A.; Wiersema, K.; Tunnicliffe, R.L. A ‘kilonova’ associated with the short-duration γ-ray burst GRB 130603B. Nature 2013, 500, 547–549. [Google Scholar] [CrossRef] [PubMed]
 - Berger, E.; Fong, W.; Chornock, R. An r-process Kilonova Associated with the Short-hard GRB 130603B. Astrophys. J. 2013, 774, L23–L27. [Google Scholar] [CrossRef]
 - Burrows, D.N.; Hill, J.E.; Nousek, J.A.; Kennea, J.A.; Wells, A.; Osborne, J.P.; Abbey, A.F.; Beardmore, A.; Mukerjee, K.; Short, A.D.T.; et al. The Swift X-Ray Telescope. Space Sci. Rev. 2005, 120, 165–195. [Google Scholar] [CrossRef]
 - Nousek, J.A.; Kouveliotou, C.; Grupe, D.; Page, K.L.; Granot, J.; Ramirez-Ruiz, E.; Patel, S.K.; Burrows, D.N.; Mangano, V.; Barthelmy, S.; et al. Evidence for a Canonical Gamma-Ray Burst Afterglow Light Curve in the Swift XRT Data. Astrophys. J. 2006, 642, 389–400. [Google Scholar] [CrossRef]
 - O’Brien, P.T.; Willingale, R.; Osborne, J.; Goad, M.R.; Page, K.L.; Vaughan, S.; Rol, E.; Beardmore, A.; Godet, O.; Hurkett, C.P.; et al. The Early X-Ray Emission from GRBs. Astrophys. J. 2006, 647, 1213–1237. [Google Scholar] [CrossRef]
 - Chincarini, G.; Moretti, A.; Romano, P.; Falcone, A.D.; Morris, D.; Racusin, J.; Campana, S.; Covino, S.; Guidorzi, C.; Tagliaferri, G.; et al. The First Survey of X-Ray Flares from Gamma-Ray Bursts Observed by Swift: Temporal Properties and Morphology. Astrophys. J. 2007, 671, 1903–1920. [Google Scholar] [CrossRef]
 - Gehrels, N.; Cannizzo, J.K. How Swift is redefining time domain astronomy. J. High Energy Astrophys. 2015, 7, 2–11. [Google Scholar] [CrossRef]
 - Usov, V.V. Millisecond pulsars with extremely strong magnetic fields as a cosmological source of γ-ray bursts. Nature 1992, 357, 472–474. [Google Scholar] [CrossRef]
 - Thompson, C. A model of gamma-ray bursts. Mon. Not. R. Astron. Soc. 1994, 270, 480–498. [Google Scholar] [CrossRef]
 - Zhang, B.; Mészáros, P. Gamma-Ray Burst Afterglow with Continuous Energy Injection: Signature of a Highly Magnetized Millisecond Pulsar. Astrophys. J. 2001, 552, L35–L38. [Google Scholar] [CrossRef]
 - Metzger, B.D.; Giannios, D.; Thompson, T.A.; Bucciantini, N.; Quataert, E. The protomagnetar model for gamma-ray bursts. Mon. Not. R. Astron. Soc. 2011, 413, 2031–2056. [Google Scholar] [CrossRef]
 - Ghirlanda, G.; Bernardini, M.G.; Calderone, G.; D’Avanzo, P. Are short Gamma Ray Bursts similar to long ones? J. High Energy Astrophys. 2015, 7, 81–89. [Google Scholar] [CrossRef][Green Version]
 - Sakamoto, T.; Barthelmy, S.D.; Baumgartner, W.H.; Cummings, J.R.; Fenimore, E.E.; Gehrels, N.; Krimm, H.A.; Markwardt, C.B.; Palmer, D.M.; Parsons, A.M.; et al. The Second Swift Burst Alert Telescope Gamma-Ray Burst Catalog. Astrophys. J. Suppl. Ser. 2011, 195, 2. [Google Scholar] [CrossRef]
 - Berti, A.; Carosi, A. The Detection of GRBs at VHE: A Challenge Lasting for More than Two Decades, What Is Next? Galaxies 2022, 10, 67. [Google Scholar] [CrossRef]
 - Guarini, E.; Tamborra, I.; Bégué, D.; Rudolph, A. Probing gamma-ray bursts observed at very high energies through their afterglow. Mon. Not. R. Astron. Soc. 2023, 523, 149–162. [Google Scholar] [CrossRef]
 - Dar, A. Critical Tests of GRB Theories. In Proceedings of the Multifrequency Behaviour of High Energy Cosmic Sources—XII Workshop, Palermo, Italy, 12–17 June 2017. [Google Scholar]
 - Shaviv, N.J.; Dar, A. Fireballs in dense stellar regions as an explanation of gamma-ray bursts. Mon. Not. R. Astron. Soc. 1995, 277, 287–296. [Google Scholar]
 - Dar, A. The Afterglow of GRBs. In Proceedings of the Very High Energy Phenomena in the Universe (Moriond Workshop), Les Arcs, France, 18–25 January 1997; Giraud-Heraud, Y., Tran Thanh Van, J., Eds.; Editions Frontieres: Paris, France, 1997; pp. 69–74, ISBN 2-86332-217-6. [Google Scholar]
 - Dar, A.; De Rújula, A. A cannonball model of gamma-ray bursts: Superluminal signatures. arXiv 2000, arXiv:astro-ph/0008474. [Google Scholar]
 - Dado, S.; Dar, A. On the Recently Discovered Correlations between Gamma-Ray and X-Ray Properties of Gamma-Ray Bursts. Astrophys. J. 2013, 775, 16. [Google Scholar] [CrossRef]
 - Dado, S.; Dar, A.; De Rújula, A. The Diverse Broadband Light Curves of Swift Gamma-Ray Bursts Reproduced with the Cannonball Model. Astrophys. J. 2009, 696, 994–1020. [Google Scholar] [CrossRef]
 - Dado, S.; Dar, A. Conical fireballs, cannonballs, and jet breaks in the afterglows of gamma ray bursts. Astron. Astrophys. 2013, 558, A115. [Google Scholar] [CrossRef][Green Version]
 - Dado, S.; Dar, A. Critical test of gamma-ray burst theories. Phys. Rev. D 2016, 94, 063007. [Google Scholar] [CrossRef]
 - Evans, P.A.; Beardmore, A.P.; Page, K.L.; Osborne, J.P.; O’Brien, P.T.; Willingale, R.; Starling, R.L.C.; Burrows, D.N.; Godet, O.; Vetere, L.; et al. Methods and results of an automatic analysis of a complete sample of Swift-XRT observations of GRBs. Mon. Not. R. Astron. Soc. 2009, 397, 1177–1201. [Google Scholar] [CrossRef]
 - De Pasquale, M.; Page, M.J.; Kann, D.A.; Oates, S.R.; Schulze, S.; Zhang, B.; Cano, Z.; Gendre, B.; Malesani, D.; Rossi, A.; et al. The 80 Ms follow-up of the X-ray afterglow of GRB 130427A challenges the standard forward shock model. Mon. Not. R. Astron. Soc. 2016, 462, 1111–1122. [Google Scholar] [CrossRef]
 - Maselli, A.; Melandri, A.; Nava, L.; Mundell, C.G.; Kawai, N.; Campana, S.; Covino, S.; Cummings, J.R.; Cusumano, G.; Evans, P.A.; et al. GRB 130427A: A Nearby Ordinary Monster. Science 2014, 343, 48–51. [Google Scholar] [CrossRef] [PubMed]
 - Dado, S.; Dar, A. The Cannonball Model Of Long GRBs-Overview. AIP Conf. Proc. 2009, 1111, 333–343. [Google Scholar]
 - Dar, A.; De Rújula, A. Towards a complete theory of gamma-ray bursts. Phy. Rep. 2004, 405, 203–278. [Google Scholar] [CrossRef]
 - Clark, J.P.A.; Eardley, D.M. Evolution of close neutron star binaries. Astrophys. J. 1977, 215, 311–322. [Google Scholar] [CrossRef]
 - Blinnikov, S.I.; Novikov, I.D.; Perevodchikova, T.V.; Polnarev, A.G. Exploding Neutron Stars in Close Binaries. Sov. Astron. Lett. 1984, 10, 177–179. [Google Scholar]
 - Blinnikov, S.; Yudin, A.; Kramarev, N.; Potashov, M. Stripping Model for Short Gamma-Ray Bursts in Neutron Star Mergers. Particles 2022, 5, 198–209. [Google Scholar] [CrossRef]
 - Salafia, O.S.; Ghisellini, G.; Pescalli, A.; Ghirlanda, G.; Nappo, F. Structure of gamma-ray burst jets: Intrinsic versus apparent properties. Mon. Not. R. Astron. Soc. 2015, 450, 3549–3558. [Google Scholar] [CrossRef]
 - Salafia, O.S.; Barbieri, C.; Ascenzi, S.; Toffano, M. Gamma-ray burst jet propagation, development of angular structure, and the luminosity function. Astron. Astrophys. 2020, 636, A105. [Google Scholar] [CrossRef]
 - He, X.-B.; Tam, P.-H.T.; Shen, R.-F. GRB 170817A: A short GRB seen off-axis. Res. Astron. Astrophys. 2018, 18, 043. [Google Scholar] [CrossRef]
 - Farinelli, R.; Basak, R.; Amati, L.; Guidorzi, C.; Frontera, F. A numerical jet model for the prompt emission of gamma-ray bursts. Mon. Not. R. Astron. Soc. 2021, 501, 5723–5732. [Google Scholar] [CrossRef]
 - Pang, S.-L.; Dai, Z.-G. Reverse shock emission in an off-axis top-hat jet model for gamma-ray bursts. Mon. Not. R. Astron. Soc. 2024, 528, 2066–2077. [Google Scholar] [CrossRef]
 - Granot, J.; Kumar, P. Constraining the Structure of Gamma-Ray Burst Jets through the Afterglow Light Curves. Astrophys. J. 2003, 591, 1086–1096. [Google Scholar] [CrossRef]
 - Rossi, E.; Lazzati, D.; Rees, M.J. Afterglow light curves, viewing angle and the jet structure of γ-ray bursts. Mon. Not. R. Astron. Soc. 2002, 332, 945–950. [Google Scholar] [CrossRef]
 - Zhang, B.; Mészáros, P. Gamma-Ray Burst Beaming: A Universal Configuration with a Standard Energy Reservoir? Astrophys. J. 2002, 571, 876–879. [Google Scholar] [CrossRef]
 - Kumar, P.; Granot, J. The Evolution of a Structured Relativistic Jet and Gamma-Ray Burst Afterglow Light Curves. Astrophys. J. 2003, 591, 1075–1085. [Google Scholar] [CrossRef]
 - Liang, E.-W.; Zhang, B.-B.; Zhang, B. A Comprehensive Analysis of Swift XRT Data. II. Diverse Physical Origins of the Shallow Decay Segment. Astrophys. J. 2007, 670, 565–583. [Google Scholar] [CrossRef]
 - Wang, F.; Zou, Y.-C.; Liu, F.; Liao, B.; Liu, Y.; Chai, Y.; Xia, L. A Comprehensive Statistical Study of Gamma-Ray Bursts. Astrophys. J. 2020, 893, 77. [Google Scholar] [CrossRef]
 - Mehta, N.; Iyyani, S. Exploring Gamma-Ray Burst Diversity: Clustering Analysis of the Emission Characteristics of Fermi- and BATSE-detected Gamma-Ray Bursts. Astrophys. J. 2024, 969, 88. [Google Scholar] [CrossRef]
 - Nuessle, P.; Racusin, J.L.; White, N.E. GRB Progenitor Classification from Gamma-Ray Burst Prompt and Afterglow Observations. Astrophys. J. 2024, 974, 120. [Google Scholar] [CrossRef]
 - Garcia-Cifuentes, K.; Becerra, R.L.; De Colle, F. ClassiPyGRB: Machine Learning-Based Classification and Visualization of Gamma Ray Bursts using t-SNE. J. Open Source Softw. 2024, 9, 5923. [Google Scholar] [CrossRef]
 - Zhu, S.-Y.; Sun, W.-P.; Ma, D.-L.; Zhang, F.-W. Classification of Fermi gamma-ray bursts based on machine learning. Mon. Not. R. Astron. Soc. 2024, 532, 1434–1443. [Google Scholar] [CrossRef]
 - Evangelista, Y.; Fiore, F.; Campana, R.; Baroni, G.; Ceraudo, F.; Della Casa, G.; Demenev, E.; Dilillo, G.; Fiorini, M.; Ghirlanda, G.; et al. The HERMES (High Energy Rapid Modular Ensemble of Satellites) Pathfinder mission. SPIE 2024, 13093, 130931Z. [Google Scholar]
 - Ghirlanda, G.; Nava, L.; Salafia, O.; Fiore, F.; Campana, R.; Salvaterra, R.; Sanna, A.; Leone, W.; Evangelista, Y.; Dilillo, G.; et al. HERMES: Gamma-ray burst and gravitational wave counterpart hunter. Astron. Astrophys. 2024, 689, A175. [Google Scholar] [CrossRef]
 - Werner, N.; Řípa, J.; Thöne, C.; Münz, F.; Kurfürst, P.; Jelínek, M.; Hroch, F.; Benáček, J.; Topinka, M.; Lukes-Gerakopoulos, G.; et al. Science with a Small Two-Band UV-Photometry Mission I: Mission Description and Follow-up Observations of Stellar Transients. Space Sci. Rev. 2024, 220, 11. [Google Scholar] [CrossRef]
 - Bednarek, W.; Giovannelli, F.; Karakuła, S.; Tkaczyk, W. The photon spectra from beam interactions with matter and radiation. Astron. Astrophys. 1990, 236, 268–274. [Google Scholar]
 - Ghirlanda, G.; Nava, L.; Ghisellini1, G.; Celotti, A.; Firmani, C. Short versus long gamma-ray bursts: Spectra, energetics, and luminosities. Astron. Astrophys. 2009, 496, 585–595. [Google Scholar] [CrossRef]
 - Galama, T.J.; Briggs, M.S.; Wijers, R.A.M.J.; Vreeswijk, P.M.; Rol, E.; Band, D.; van Paradijs, J.; Kouveliotou, C.; Preece, R.D.; Bremer, M.; et al. The effect of magnetic fields on γ-ray bursts inferred from multi-wavelength observations of the burst of 23 January 1999. Nature 1999, 398, 394–399. [Google Scholar] [CrossRef]
 - Fox, D.B.; Frail, D.A.; Price, P.A.; Kulkarni, S.R.; Berger, E.; Piran, T.; Soderberg, A.M.; Cenko, S.B.; Cameron, P.B.; Gal-Yam, A.; et al. The afterglow of GRB 050709 and the nature of the short-hard γ-ray bursts. Nature 2005, 437, 845–850. [Google Scholar] [CrossRef] [PubMed]
 - Hjorth, J.; Sollerman, J.; Gorosabel, J.; Granot, J.; Klose, S.; Kouveliotou, C.; Melinder, J.; Ramirez-Ruiz, E.; Starling, R.; Thomsen, B.; et al. GRB 050509B: Constraints on Short Gamma-Ray Burst Models. Astrophys. J. 2005, 630, L117–L120. [Google Scholar] [CrossRef]
 - Hjorth, J.; Watson, D.; Fynbo, J.P.U.; Price, P.A.; Jensen, B.L.; Jørgensen, U.G.; Kubas, D.; Gorosabel, J.; Jakobsson, P.; Sollerman, J.; et al. The optical afterglow of the short γ-ray burst GRB 050709. Nature 2005, 437, 859–861. [Google Scholar] [CrossRef] [PubMed]
 - Kann, D.A.; Klose, S.; Zhang, B.; Covino, S.; Butler, N.R.; Malesani, D.; Nakar, E.; Wilson, A.C.; Antonelli, L.A.; Chincarini, G.; et al. The Afterglows of Swift-era Gamma-Ray Bursts. II. Type I GRB versus Type II GRB Optical Afterglows. Astrophys. J. 2011, 734, 96. [Google Scholar] [CrossRef]
 - Zhang, B. Astrophysics: A burst of new ideas. Nature 2006, 444, 1010–1011. [Google Scholar] [CrossRef] [PubMed]
 - Zhang, B.; Zhang, B.-B.; Virgili, F.J.; Liang, E.-W.; Kann, D.A.; Wu, X.-F.; Proga, D.; Lv, H.-J.; Toma, K.; Mészáros, P.; et al. Discerning the Physical Origins of Cosmological Gamma-ray Bursts Based on Multiple Observational Criteria: The Cases of z = 6.7 GRB 080913, z = 8.2 GRB 090423, and Some Short/Hard GRBs. Astrophys. J. 2009, 703, 1696–1724. [Google Scholar] [CrossRef]
 - Li, Y.; Zhang, B.; Lü, H.-J. A Comparative Study of Long and Short GRBs. I. Overlapping Properties. Astrophys. J. Suppl. Ser. 2016, 227, 7. [Google Scholar] [CrossRef]
 - Hjorth, J. The supernova-gamma-ray burst-jet connection. Philos. Trans. R. Soc. A Math. Phys. Eng. Sci. 2013, 371, 11. [Google Scholar] [CrossRef] [PubMed]
 - Galama, T.J.; Vreeswijk, P.M.; van Paradijs, J.; Kouveliotou, C.; Augusteijn, T.; Böhnhardt, H.; Brewer, J.P.; Doublier, V.; Gonzalez, J.-F.; Leibundgut, B.; et al. An unusual supernova in the error box of the γ-ray burst of 25 April 1998. Nature 1998, 395, 670–672. [Google Scholar] [CrossRef]
 - Hjorth, J.; Sollerman, J.; Møller, P.; Fynbo, J.P.U.; Woosley, S.E.; Kouveliotou, C.; Tanvir, N.R.; Greiner, J.; Andersen, M.I.; Castro-Tirado, A.J.; et al. A very energetic supernova associated with the γ-ray burst of 29 March 2003. Nature 2003, 423, 847–850. [Google Scholar] [CrossRef]
 - Yuan, C.; Murase, K.; Guetta, D.; Pe’er, A.; Bartos, I.; Mészáros, P. GeV Signatures of Short Gamma-Ray Bursts in Active Galactic Nuclei. Astrophys. J. 2022, 932, 80. [Google Scholar] [CrossRef]
 - de Sá, L.M.; Rocha, L.S.; Bernardo, A.; Bachega, R.R.A.; Horvath, J.E. Compact object populations over cosmic time II. Compact object merger rates and masses over redshift from varying initial conditions. Mon. Not. R. Astron. Soc. 2024, 535, 2041–2067. [Google Scholar] [CrossRef]
 - Boesky, A.P.; Broekgaarden, F.S.; Berger, E. Investigating the Cosmological Rate of Compact Object Mergers from Isolated Massive Binary Stars. Astrophys. J. 2024, 976, 24. [Google Scholar] [CrossRef]
 - Wang, Y.; Jiang, L.-Y.; Ren, J. GRB 201104A: A “Repetitive” Short Gamma-Ray Burst? Astrophys. J. 2022, 935, 179. [Google Scholar] [CrossRef]
 - Zhang, B.-B.; Zhang, B.; Castro-Tirado, A.J. Central Engine Memory of Gamma-Ray Bursts and Soft Gamma-Ray Repeaters. Astrophys. J. 2016, 820, L32. [Google Scholar] [CrossRef]
 - Li, L.-X.; Paczyński, B. Transient Events from Neutron Star Mergers. Astrophys. J. 1998, 507, L59–L62. [Google Scholar] [CrossRef]
 - Yang, B.; Jin, Z.-P.; Li, X.; Covino, S.; Zheng, X.-Z.; Hotokezaka, K.; Fan, Y.-Z.; Piran, T.; Wei, D.-M. A possible macronova in the late afterglow of the long-short burst GRB 060614. Nat. Commun. 2015, 6, 7323. [Google Scholar] [CrossRef]
 - Jin, Z.-P.; Li, X.; Cano, Z.; Covino, S.; Fan, Y.-Z.; Wei, D.-M. The Light Curve of the Macronova Associated with the Long-Short Burst GRB 060614. Astrophys. J. 2015, 811, L22. [Google Scholar] [CrossRef]
 - Wang, J.; Xin, L.P.; Qiu, Y.L.; Lan, L.; Xie, W.J.; Jin, Z.P.; Wei, J.Y. Capability of Searching for Kilonova Associated with a Short Gamma-Ray Burst by SVOM. RAA 2024, 24, 115006. [Google Scholar] [CrossRef]
 - Atteia, J.-L.; Cordier, B.; Wei, J. The SVOM mission. Int. J. Mod. Phy. D 2022, 31, 230008. [Google Scholar] [CrossRef]
 - Wei, J.; Cordier, B.; Antier, S.; Antilogus, P.; Atteia, J.-L.; Bajat, A.; Basa, S.; Beckmann, V.; Bernardini, M.G.; Boissier, S.; et al. The Deep and Transient Universe in the SVOM Era: New Challenges and Opportunities—Scientific prospects of the SVOM mission. arXiv 2016, arXiv:1610.06892. [Google Scholar]
 - Jordana-Mitjans, N.; Mundell, C.G.; Guidorzi, C.; Smith, R.J.; Ramírez-Ruiz, E.; Metzger, B.D.; Kobayashi, S.; Gomboc, A.; Steele, I.A.; Shrestha, M.; et al. A Short Gamma-Ray Burst from a Protomagnetar Remnant. Astrophys. J. 2022, 939, 106. [Google Scholar] [CrossRef]
 - Rastinejad, J.C.; Gompertz, B.P.; Levan, A.J.; Fong, W.-F.; Nicholl, M.; Lamb, G.P.; Malesani, D.B.; Nugent, A.E.; Oates, S.R.; Tanvir, N.R.; et al. A kilonova following a long-duration gamma-ray burst at 350 Mpc. Nature 2022, 612, 223–227. [Google Scholar] [CrossRef]
 - Yang, J.; Ai, S.; Zhang, B.-B.; Zhang, B.; Liu, Z.-K.; Wang, X.I.; Yang, Y.-H.; Yin, Y.-H.; Li, Y.; Lü, H.-J. A long-duration gamma-ray burst with a peculiar origin. Nature 2022, 612, 232–235. [Google Scholar] [CrossRef] [PubMed]
 - Troja, E.; Fryer, C.L.; O’Connor, B.; Ryan, G.; Dichiara, S. A nearby long gamma-ray burst from a merger of compact objects. Nature 2022, 612, 228–243. [Google Scholar] [CrossRef] [PubMed]
 - Levan, A.J.; Gompertz, B.P.; Salafia, O.S.; Bulla, M.; Burns, E.; Hotokezaka, K.; Izzo, L.; Lamb, G.P.; Malesani, D.B.; Oates, S.R.; et al. Heavy-element production in a compact object merger observed by JWST. Nature 2024, 626, 737–741. [Google Scholar] [CrossRef] [PubMed]
 - Yang, Y.-H.; Troja, E.; O’Connor, B.; Fryer, C.L.; Im, M.; Durbak, J.; Paek, G.S.H.; Ricci, R.; Bom, C.R.; Gillanders, J.H.; et al. A lanthanide-rich kilonova in the aftermath of a long gamma-ray burst. Nature 2024, 626, 742–745. [Google Scholar] [CrossRef]
 - Wang, X.I.; Yu, Y.-W.; Ren, J.; Yang, J.; Zou, Z.-C.; Zhu, J.-P. What Powered the Kilonova-like Emission after GRB 230307A in the Framework of a Neutron Star–White Dwarf Merger? Astrophys. J. 2024, 964, L9. [Google Scholar] [CrossRef]
 - Sun, H.; Wang, C.-W.; Yang, J.; Zhang, B.-B.; Xiong, S.-L.; Yin, Y.-H.I.; Liu, Y.; Li, Y.; Xue, W.-C.; Yan, Z.; et al. Magnetar emergence in a peculiar gamma-ray burst from a compact star merger. arXiv 2024, arXiv:2307.05689. [Google Scholar] [CrossRef]
 - Gillanders, J.H.; Smartt, S.J. Analysis of the JWST spectra of the kilonova accompanying GRB 230307A. arXiv 2024, arXiv:2408.11093. [Google Scholar] [CrossRef]
 - Sarin, N.; Lasky, P.D.; Hernandez Vivanco, F.; Stevenson, S.P.; Chattopadhyay, D.; Smith, R.; Thrane, E. Linking the rates of neutron star binaries and short gamma-ray bursts. Phys. Rev. D 2022, 105, 083004. [Google Scholar] [CrossRef]
 - Bavera, S.S.; Fragos, T.; Zapartas, E.; Enrico Ramirez-Ruiz, E.; Marchant, P.; Kelley, L.Z.; Zevin, M.; Andrews, J.J.; Coughlin, S.; Dotter, A.; et al. Probing the progenitors of spinning binary black-hole mergers with long gamma-ray bursts. Astron. Astrophys. 2022, 657, L8. [Google Scholar] [CrossRef]
 - Petrosian, V.; Dainotti, M.G. Progenitors of Low-redshift Gamma-Ray Bursts. Astrophys. J. 2024, 963, L12. [Google Scholar] [CrossRef]
 - Hurtado, V.U.; Lloyd-Ronning, N.M.; Miller, J.M. The Dependence of Gamma-Ray Burst Jet Collimation on Black Hole Spin. Astrophys. J. 2024, 967, L4. [Google Scholar] [CrossRef]
 - Miller, J.M.; Ryan, B.R.; Dolence, J.C. ν bhlight: Radiation GRMHD for Neutrino-driven Accretion Flows. Astrophys. J. Suppl. Ser. 2019, 241, 30. [Google Scholar] [CrossRef]
 - Lloyd-Ronning, N.; Hurtado, V.U.; Aykutalp, A.; Johnson, J.; Ceccobello, C. The evolution of gamma-ray burst jet opening angle through cosmic time. Mon. Not. R. Astron. Soc. 2020, 494, 4371–4381. [Google Scholar] [CrossRef]
 - Masson, M. Search for orphan gamma-ray bursts afterglows in Rubin LSST data with the alert broker fink. In Proceedings of the 58th Very High Energy Phenomena in the Universe, La Thuile, Italy, 24–31 March 2024. [Google Scholar]
 - Ghirlanda, G.; Salvaterra, R.; Campana, S.; Vergani, S.D.; Japelj, J.; Bernardini, M.G.; Burlon, D.; D’Avanzo, P.; Melandri, A.; Gomboc, A.; et al. Unveiling the population of orphan γ-ray bursts. Astron. Astrophys. 2015, 578, A71. [Google Scholar] [CrossRef]
 - Freeburn, J.; Cooke, J.; Möller, A.; Dobie, D.; Zhang, J.; Salafia, O.S.; Siellez, K.; Auchettl, K.; Goode, S.; Abbott, T.M.C.; et al. A fast-cadenced search for gamma-ray burst orphan afterglows with the Deeper, Wider, Faster programme. Mon. Not. R. Astron. Soc. 2024, 531, 4836–4851. [Google Scholar] [CrossRef]
 - Elewa, A.M.T. The History, Origins, and Causes of Mass Extinctions. J. Cosmol. 2009, 2, 201–220. [Google Scholar]
 - Melott, A.L.; Thomas, B.C.; Hogan, D.P.; Ejzak, L.M.; Jackman, C.H. Climatic and biogeochemical effects of a galactic gamma ray burst. GeoRL 2005, 32, L14808. [Google Scholar] [CrossRef]
 - Piran, T.; Jimenez, R. Possible Role of Gamma Ray Bursts on Life Extinction in the Universe. Phys. Rev. Lett. 2014, 113, 231102. [Google Scholar] [CrossRef] [PubMed]
 - Ghirlanda, G.; Salvaterra, R. The Cosmic History of Long Gamma-Ray Bursts. Astrophys. J. 2022, 932, 10. [Google Scholar] [CrossRef]
 - Thomas, B.C.; Jackman, C.H.; Melott, A.L.; Laird, C.M.; Stolarski, R.S.; Gehrels, N.; Cannizzo, J.K.; Hogan, D.P. Terrestrial Ozone Depletion due to a Milky Way Gamma-Ray Burst. Astrophys. J. 2005, 622, L153–L156. [Google Scholar] [CrossRef]
 - Thomas, B.C.; Melott, A.L.; Jackman, C.H.; Laird, C.M.; Medvedev, M.V.; Stolarski, R.S.; Gehrels, N.; Cannizzo, J.K.; Hogan, D.P.; Ejzak, L.M. Gamma-Ray Bursts and the Earth: Exploration of Atmospheric, Biological, Climatic, and Biogeochemical Effects. Astrophys. J. 2005, 634, 509–533. [Google Scholar] [CrossRef]
 - Finke, J.D.; Razzaque, S. Is Gamma-Ray Burst 221009A Really a Once-in-10,000 yr Event? Astrophys. J. 2024, 975, 70. [Google Scholar] [CrossRef]
 - Li, Y.; Zhang, B. Can Life Survive Gamma-Ray Bursts in the High-redshift Universe? Astrophys. J. 2015, 810, 41. [Google Scholar] [CrossRef]
 - Friedjung, M. Concluding Remarks. In Proceedings of the Multifrequency Behaviour of Galactic Accreting Sources: Frascati Workshop 1984, Vulcano, Italy, 17–21 September 1984; Giovannelli, F., Ed.; Edizioni Scientifiche SIDEREA: Rome, Italy, 1985; pp. 370–371. [Google Scholar]
 





























Disclaimer/Publisher’s Note: The statements, opinions and data contained in all publications are solely those of the individual author(s) and contributor(s) and not of MDPI and/or the editor(s). MDPI and/or the editor(s) disclaim responsibility for any injury to people or property resulting from any ideas, methods, instructions or products referred to in the content.  | 
© 2025 by the author. Licensee MDPI, Basel, Switzerland. This article is an open access article distributed under the terms and conditions of the Creative Commons Attribution (CC BY) license (https://creativecommons.org/licenses/by/4.0/).
Share and Cite
Giovannelli, F. Gamma-Ray Bursts: The Energy Monsters of the Universe. Galaxies 2025, 13, 16. https://doi.org/10.3390/galaxies13020016
Giovannelli F. Gamma-Ray Bursts: The Energy Monsters of the Universe. Galaxies. 2025; 13(2):16. https://doi.org/10.3390/galaxies13020016
Chicago/Turabian StyleGiovannelli, Franco. 2025. "Gamma-Ray Bursts: The Energy Monsters of the Universe" Galaxies 13, no. 2: 16. https://doi.org/10.3390/galaxies13020016
APA StyleGiovannelli, F. (2025). Gamma-Ray Bursts: The Energy Monsters of the Universe. Galaxies, 13(2), 16. https://doi.org/10.3390/galaxies13020016
        
                                                