Towards Self-Lubricating Effect of In Situ Iron Tungstate in Rubbing WC/Mn13 Steel Cermet against a HSS Steel
Abstract
:1. Introduction
2. Materials and Methods
3. Results
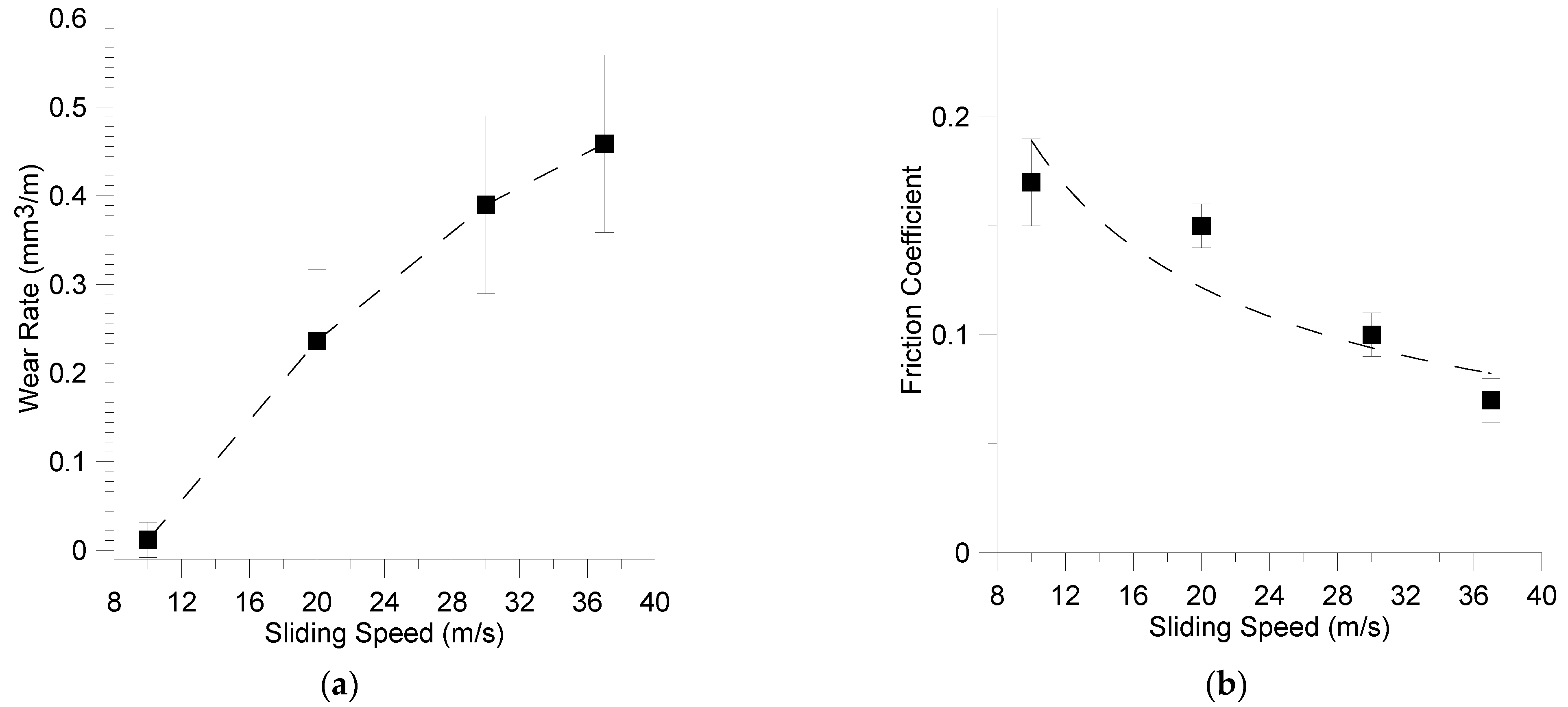
3.1. Wear Rate and Coefficient of Friction
3.2. Phases on the Worn Surfaces
3.3. Wear Particles
4. Discussion
4.1. In Situ Tribosynthesized FeWO4
4.2. Wear Mechanism
5. Conclusions
Author Contributions
Funding
Data Availability Statement
Acknowledgments
Conflicts of Interest
References
- Kumar, R.; Antonov, M. Self-lubricating materials for extreme temperature tribo-applications. Mater. Today Proc. 2020, 44, 4583–4589. [Google Scholar] [CrossRef]
- Eder, S.J.; Grützmacher, P.G.; Rodríguez Ripoll, M.; Gachot, C.; Dini, D. Does speed kill or make friction better?—Designing materials for high velocity sliding. Appl. Mater. Today 2022, 29, 101588. [Google Scholar] [CrossRef]
- Torres, H.; Ripoll, M.R.; Prakash, B. Tribological behaviour of self-lubricating materials at high temperatures. Int. Mater. Rev. 2017, 63, 309–340. [Google Scholar] [CrossRef]
- Zhu, S.; Cheng, J.; Qiao, Z.; Yang, J. High temperature solid-lubricating materials: A review. Tribol. Int. 2019, 133, 206–223. [Google Scholar] [CrossRef]
- Kumar, R.; Hussainova, I.; Rahmani, R.; Antonov, M. Solid Lubrication at High-Temperatures—A Review. Materials 2022, 15, 1695. [Google Scholar] [CrossRef]
- Voevodin, A.A.; Muratore, C.; Aouadi, S.M. Hard coatings with high temperature adaptive lubrication and contact thermal management: Review. Surf. Coat. Technol. 2014, 257, 247–265. [Google Scholar] [CrossRef]
- Savchenko, N.; Sevostyanova, I.; Grigoriev, M.; Sablina, T.; Buyakov, A.; Rudmin, M.; Vorontsov, A.; Moskvichev, E.; Rubtsov, V.; Tarasov, S. Self-Lubricating Effect of WC/Y–TZP–Al2O3 Hybrid Ceramic–Matrix Composites with Dispersed Hadfield Steel Particles during High-Speed Sliding against an HSS Disk. Lubricants 2022, 10, 140. [Google Scholar] [CrossRef]
- Savchenko, N.; Sevostyanova, I.; Tarasov, S. Self-Lubricating Effect of FeWO4 Tribologically Synthesized from WC-(Fe-Mn-C) Composite during High-Speed Sliding against a HSS Disk. Lubricants 2022, 10, 86. [Google Scholar] [CrossRef]
- Savchenko, N.L.; Gnyusov, S.F.; Kul’kov, S.N. Features of High-Speed Wear of WC–Steel 11G13 Material in Contact with Cast Tool Steel. J. Frict. Wear 2009, 30, 46–52. [Google Scholar] [CrossRef]
- Ravikiran, A.; Nagarajan, V.S.; Biswas, S.K.; Bai, B.N.P. Effect of speed and pressure on dry sliding interactions of alumina against steel. J. Am. Ceram. Soc. 1995, 78, 356–364. [Google Scholar] [CrossRef]
- Ravikiran, A.; Subbanna, G.R.; Bai, B.N.P. Effect of interface layers formed during dry sliding of zirconia toughened alumina (ZTA) and monolithic alumina against steel. Wear 1996, 192, 56–65. [Google Scholar] [CrossRef]
- Ravikiran, A.; Bai, B.N.P. Influence of speed on the tribochemical reaction products and the associated transitions for the dry sliding of silicon nitride against steel. J. Am. Ceram. Soc. 1995, 78, 3025–3032. [Google Scholar] [CrossRef]
- Gogotsi, Y.G.; Koval’chenko, A.M.; Kossko, I.A. Tribochemical Interactions of Boron Carbides against Steel. Wear 1992, 154, 133–140. [Google Scholar] [CrossRef]
- Koval’chuk, V.; Yuga, A.; Timchenko, R.; Grigor’ev, O.; Panin, V.; Kostenko, A. Examination of the physicomechanical and tribological properties of heterophase materials of the SiC-MeB2 system. Powder Metall. Met. Ceram. 1992, 31, 183–187. [Google Scholar] [CrossRef]
- Podchernyaeva, I.A.; Grigor’ev, O.N.; Subbotin, V.I.; Kostenko, A.D.; Isaeva, L.P.; Artemenko, E.A. Wear-resistant layered electrospark coatings based on ZrB2. Powder Met. Met. Ceram. 2004, 43, 391–395. [Google Scholar] [CrossRef]
- Qian, Y.; Zhang, W.; Ge, M.; Wei, X. Frictional response of a novel C/C-ZrB2-ZrC-SiC composite under simulated braking. J. Adv. Ceram. 2013, 2, 157–161. [Google Scholar] [CrossRef]
- Cai, L.; Huang, Z.; Hu, W.; Lei, C.; Zhai, H.; Zhou, Y. Dry sliding behaviors and friction surface characterization of Ti3Al0.8Si0.2Sn0.2C2 solid solution against S45C steel. Ceram. Int. 2019, 45, 2103–2110. [Google Scholar] [CrossRef]
- Huang, Z.; Xu, H.; Zhai, H.; Wang, Y.; Zhou, Y. Strengthening and tribological surface self-adaptability of Ti3AlC2 by incorporation of Sn to form Ti3Al(Sn)C2 solid solutions. Ceram. Int. 2015, 41, 3701–3709. [Google Scholar] [CrossRef]
- Kübarsepp, J.; Juhani, K. Cermets with Fe-alloy binder: A review. Int. J. Refract. Met. Hard Mater. 2020, 92, 105290. [Google Scholar] [CrossRef]
- Zhang, X.; Yang, F.; Zeng, C.; Ma, W.; Guo, Z. Fabrication and properties of TiC-high manganese steel cermet processed by 3D gel printing. J. Mater. Sci. 2021, 56, 19709–19722. [Google Scholar] [CrossRef]
- Li, G.; Jia, J.; Lyu, Y.; Zhao, J.; Lu, J.; Li, Y.; Luo, F. Effect of Mo addition mode on the microstructure and mechanical properties of TiC–high Mn steel cermets Effect of Mo addition mode on the microstructure and mechanical properties of TiC–high Mn steel cermets. Ceram. Int. 2020, 46, 5745–5752. [Google Scholar] [CrossRef]
- Savchenko, N.L.; Gnyusov, S.F.; Kul’kov, S.N. Structures formed during the friction of a metal-ceramic composite on steel under high-velocity sliding conditions. Tech. Phys. Lett. 2009, 35, 107–110. [Google Scholar] [CrossRef]
- Savchenko, N.; Fedin, E.; Sevostyanova, I.; Moskvichev, E.; Vorontsov, A.; Tarasov, S. Evidence of Tribological Adaptation Controlled by Tribosynthesis of FeWO4 on an WC-Reinforced Electron Beam M2 Steel Coating Rubbed against a HSS Disk in a Range of Sliding Speeds. Materials 2023, 16, 1013. [Google Scholar] [CrossRef] [PubMed]
- Goubard-Bretesché, N.; Crosnier, O.; Payen, C.; Favier, F.; Brousse, T. Nanocrystalline FeWO4 as a Pseudocapacitive Electrode Material for High Volumetric Energy Density Supercapacitors Operated in an Aqueous Electrolyte. Electrochem. Commun. 2015, 57, 61–64. [Google Scholar] [CrossRef]
- Kendrick, E.; Swiatek, A.; Barker, J.J. Synthesis and characterisation of iron tungstate anode materials. Power Sources 2009, 189, 611–615. [Google Scholar] [CrossRef]
- Rawal, S.B.; Ojha, D.P.; Sung, S.D.; Lee, W.I. Fe2WO6/TiO2, an Efficient Visible-Light Photocatalyst Driven by Hole-Transport Mechanism. Catal. Commun. 2014, 56, 55–59. [Google Scholar] [CrossRef]
- Abdi, F.F.; Chemseddine, A.; Berglund, S.P.; van de Krol, R. Assessing the Suitability of Iron Tungstate (Fe2WO6) as a Photoelectrode Material for Water Oxidation. J. Phys. Chem. C 2017, 121, 153–160. [Google Scholar] [CrossRef]
- Goubard-Bretesché, N.; Crosnier, O.; Buvat, G.; Favier, F.; Brousse, T. Electrochemical Study of Aqueous Asymmetric FeWO4/MnO2 Supercapacitor. J. Power Sources 2016, 326, 695–701. [Google Scholar] [CrossRef]
- Mironov, Y.P.; Meisner, L.L.; Lotkov, A.I. The structure of titanium nickelide surface layers formed by pulsed electron-beam melting. Tech. Phys. 2008, 53, 934–942. [Google Scholar] [CrossRef]
- Varga, M.; Ventura Cervellon, A.M.; Leroch, S.; Eder, S.J.; Rojacz, H.; Rodríguez Ripoll, M. Fundamental abrasive contact at high speeds: Scratch testing in experiment and simulation. Wear 2023, 522, 204696. [Google Scholar] [CrossRef]
- Li, Y.; Fu, H.; Ma, T.; Wang, K.; Yang, X.; Lin, J. Microstructure and wear resistance of AlCoCrFeNi-WC/TiC composite coating by laser cladding. Mater. Charact. 2022, 194, 112479. [Google Scholar] [CrossRef]
- Wendell, S.W. The Thermal Conductivity of Metallic Ceramics. JOM 1998, 50, 62–66. [Google Scholar] [CrossRef]
- Asif, M.; Ahad, M.A.; Iqbal, M.F.H.; Reyaz, S. Experimental investigation of thermal properties of tool steel and mild steel with heat treatment. Mater. Today Proc. 2021, 45, 45511–45517. [Google Scholar] [CrossRef]
- Niederhofer, P.; Eger, K.; Schwingenschlögl, P.; Merklein, M. Properties of tool steels for application in hot stamping. Steel Res. Int. 2020, 91, 1900422. [Google Scholar] [CrossRef]
- Tarasov, S.; Rubtsov, V.; Kolubaev, A. Subsurface shear instability and nanostructuring of metals in sliding. Wear 2010, 268, 59–66. [Google Scholar] [CrossRef]
- Basu, S.N.; Sarin, V.K. Oxidation behavior of WC-Co. Mater. Sci. Eng. 1996, A209, 206–212. [Google Scholar] [CrossRef]
- Sharma, S.K.; Kumar, B.V.M.; Kim, Y.-W. Tribology of WC reinforced SiC ceramics: Influence of counterbody. Friction 2019, 7, 129–142. [Google Scholar] [CrossRef]
- Kubaschewski, O.; Alcock, C.B.; Spencer, P.J. Materials Thermochemistry; International Series on Materials Science and Technology; Pergamon Press: Oxford, UK, 1993; ISBN 9780080418896. [Google Scholar]
- Cox, J.D.; Wagman, D.D.; Medvedev, V.A. CODATA Key Values for Thermodynamics; CODATA Series on Thermodynamic Properties; Hemisphere Publishing Corporation: London, UK, 1989; ISBN 9780891167587. [Google Scholar]
- Malcolm, W.; Chase, J. NIST-JANAF Thermochemical Tables, pt. 1.: Al-Co, 4th ed.; National Institute of Standards & Technology: Gaithersburg, MD, USA, 1998; Volume pt. 1.: Al-Co, ISBN 1563968193. [Google Scholar]
- Chase, M. NIST-JANAF Thermochemical Tables, 4th ed.; American Institute of Physics: Washington, DC, USA, 1998. [Google Scholar]
- Rupert, T.J.; Schuh, C.A. Sliding wear of nanocrystalline Ni–W: Structural evolution and the apparent breakdown of Archard scaling. Acta Mater. 2010, 58, 4137–4148. [Google Scholar] [CrossRef]
- Liao, Z.; Huang, X.; Zhang, F.; Li, Z.; Chen, S.; Shan, Q. Effect of WC mass fraction on the microstructure and frictional wear properties of WC/Fe matrix composites. Int. J. Refract. Met. Hard Mater. 2023, 114, 106265. [Google Scholar] [CrossRef]
- Hashempour, M.; Razavizadeh, H.; Rezaie, H. Investigation on wear mechanism of thermochemically fabricated W–Cu composites. Wear 2010, 269, 405–415. [Google Scholar] [CrossRef]
- Prasad, S.V.; Rohatgi, P.K.; Kosel, T.H. Mechanisms of material removal during low stress and high stress abrasion of aluminum alloy-zircon particle composites. Mater. Sci. Eng. 1986, 80, 213–220. [Google Scholar] [CrossRef]
- Stachowiak, G.W.; Batchelor, A.W. Engineering Tribology, 2nd ed.; Butterworth-Heinemann Pub.: Oxford, UK, 2005. [Google Scholar]
- Deshpande, P.K.; Li, J.H.; Lin, R.Y. Infrared processed Cu composites reinforced with WC particles. Mater. Sci. Eng. A 2006, 429, 58–65. [Google Scholar] [CrossRef]
- Deshpande, P.K.; Lin, R.Y. Wear resistance of WC particle reinforced copper matrix composites and the effect of porosity. Mater. Sci. Eng. A 2006, 418, 137–145. [Google Scholar] [CrossRef]
- Lu, D.; Gu, M.; Shi, Z. Materials transfer and formation of mechanically mixed layer in dry sliding wear of metal matrix composites against steel. Tribol. Lett. 1999, 6, 57–61. [Google Scholar] [CrossRef]
- Stachowiak, G.W. (Ed.) Wear—Materials, Mechanisms and Practice; John Wiley & Sons Ltd.: London, UK, 2005; Reprinted with Corrections May 2006. [Google Scholar]
- Ghazali, M.J.; Rainforth, W.M.; Omar, M.Z. A comparative study of mechanically mixed layers (MMLs) characteristics of commercial aluminium alloys sliding against alumina and steel sliders. J. Mater. Process. Technol. 2008, 201, 662–668. [Google Scholar] [CrossRef]
- Zhan, Y.Z.; Zhang, G. Mechanical mixing and wear-debris formation in the dry sliding wear of copper matrix composite. Tribol. Lett. 2004, 17, 581–592. [Google Scholar] [CrossRef]
- Li, X.Y.; Tandon, K.N. Microstructural characterization of mechanically mixed layer and wear debris in sliding wear of an Al alloy and an Al based composite. Wear 2000, 245, 148–161. [Google Scholar] [CrossRef]
- Venkataraman, B.; Sundararajan, G. The sliding wear behaviour of Al–SiC particulate composites—II. The characterization of subsurface deformation and correlation with wear behavior. Acta Mater. 1996, 44, 461–473. [Google Scholar] [CrossRef]
- Rigney, D.A.; Chen, L.H.; Naylor, M.G.S.; Rosenfield, A.R. Wear processes in sliding systems. Wear 1984, 100, 195–219. [Google Scholar] [CrossRef]
- Schell, J.; Heilmann, P.; Rigney, D.A. Friction and wear of Cu–Ni alloys. Wear 1982, 75, 205–220. [Google Scholar] [CrossRef]
- Rosenfield, A.R. A shear instability model of sliding wear. Wear 1987, 116, 319–328. [Google Scholar] [CrossRef]
- Alexeyev, N.M. On the motion of material in the border layer in solid state friction. Wear 1990, 139, 33–48. [Google Scholar] [CrossRef]
- Rosenberger, M.R.; Schvezov, C.E.; Forlerer, E. Wear of different aluminum matrix composites under conditions that generate a mechanically mixed layer. Wear 2005, 259, 590–601. [Google Scholar] [CrossRef]
- Rosenberger, M.R.; Forlerer, E.; Schvezov, C.E. Wear behavior of AA1060 reinforced with alumina under different loads. Wear 2009, 266, 356–359. [Google Scholar] [CrossRef]
- Pramila Bai, B.N.; Biswas, S.K. Effect of load on dry sliding wear of aluminum–silicon alloys. Trans. ASLE 1986, 29, 116–120. [Google Scholar] [CrossRef]
- Wilson, S.; Ball, A. Advances in Composites Tribology, Performance of Metal Matrix Composites under Various Tribological Conditions; Elsevier: Amsterdam, The Netherlands, 1993; Volume 8, p. 311. [Google Scholar]
- Pramila Bai, B.N.; Biswas, S.K. Subsurface deformation in dry sliding of hypoeutectic Al–Si alloys. J. Mater. Sci. 1984, 19, 3588–3592. [Google Scholar] [CrossRef]

























| Area | Element (wt.%) | |||||
|---|---|---|---|---|---|---|
| O | V | Cr | Mn | Fe | W | |
| Polished Cross Section | ||||||
| 1 | 19.51 | 0.3 | 0.11 | 3.77 | 17.47 | 58.84 |
| 2 | 20.35 | 0.24 | 0.2 | 3.35 | 19.04 | 56.82 |
| 3 | 20.60 | - | - | 11.86 | 58.69 | 8.85 |
| 4 | 19.72 | - | - | 8.41 | 59.54 | 12.33 |
| 5 | - | - | - | 12.54 | 78.89 | 8.57 |
| 6 | - | - | - | - | 2.54 | 97.46 |
| Fracture Cross Section | ||||||
| 7 | 22.19 | 0.29 | 0.1 | 3.15 | 19.12 | 55.23 |
| 8 | 23.99 | 0.25 | 0.15 | 3.03 | 16.40 | 56.19 |
| 9 | 7.55 | - | - | 8.68 | 63.80 | 19.97 |
| 10 | 13.01 | - | - | 7.88 | 60.67 | 18.43 |
| 11 | - | 10.11 | 66.10 | 23.79 | ||
| 12 | 4.09 | - | - | 0.78 | 5.40 | 89.73 |
| 13 | 10.36 | - | - | 11.60 | 65.06 | 11.47 |
| 14 | 9.66 | - | - | 7.30 | 46.53 | 36.51 |
| 15 | 13.40 | - | - | 9.01 | 53.94 | 23.65 |
| 16 | 2.48 | - | - | 10.34 | 71.00 | 16.19 |
| 17 | - | - | - | 6.77 | 42.41 | 50.81 |
| 18 | - | - | - | 1.75 | 13.01 | 85.24 |
| Area | Element (wt.%) | |||||
|---|---|---|---|---|---|---|
| O | V | Cr | Mn | Fe | W | |
| Polished Cross Section | ||||||
| 1 | 21.2 | 0.24 | 0.2 | 4.0 | 21.00 | 53.36 |
| 2 | 20.84 | 0.32 | 0.13 | 4.18 | 19.71 | 54.82 |
| 3 | 21.27 | 0.28 | 0.4 | 6.70 | 25.19 | 46.16 |
| 4 | - | - | - | 7.40 | 92.60 | |
| 5 | 4.33 | 95.67 | ||||
| Fracture Cross Section | ||||||
| 6 | 23.19 | 0.23 | 0.12 | 5.11 | 21.38 | 49.98 |
| 7 | 19.27 | 0.30 | 0.18 | 3.89 | 26.00 | 50.36 |
| 8 | 18.86 | 0.24 | 0.1 | 6.70 | 19.49 | 54.61 |
| 9 | - | - | - | - | 1.37 | 98.63 |
| 10 | - | - | - | 10.57 | 78.42 | 8.70 |
| 11 | - | - | - | 10.98 | 82.93 | 4.61 |
| Area | Element (wt.%) | |||||
|---|---|---|---|---|---|---|
| O | V | Cr | Mn | Fe | W | |
| Irregular Shaped Wear Particles | ||||||
| 1 | 0.7 | - | - | - | 1.6 | 97.42 |
| 2 | 0.88 | - | - | - | 1.96 | 97.34 |
| 3 | 16.91 | - | - | 5.23 | 18.44 | 59.42 |
| 4 | 18.78 | 0.18 | - | 5.14 | 18.45 | 57.45 |
| 5 | 22.26 | 0.7 | 0.31 | 3.88 | 58.22 | 14.64 |
| 6 | 20.06 | 0.81 | 0.66 | 3.4 | 62.52 | 12.55 |
| Wear Particles As Tile Fragments | ||||||
| 7 | 1.2 | - | - | - | 2.4 | 96.4 |
| 8 | 0.62 | - | - | - | 1.71 | 97.67 |
| 9 | 19.52 | 0.32 | 0.56 | 5.5 | 38.27 | 36.19 |
| 10 | 19.29 | 0.41 | 0.74 | 4.99 | 45.28 | 29.05 |
| 11 | 4.23 | 0.1 | - | 0.99 | 20.33 | 74.35 |
| Area | Element (wt.%) | |||||
|---|---|---|---|---|---|---|
| O | V | Cr | Mn | Fe | W | |
| Irregular Shaped Wear Particles | ||||||
| 1 | 35.13 | 0.24 | - | 0.4 | 70.95 | 3.29 |
| 2 | 25.63 | - | - | 0.81 | 71 | 2.55 |
| 3 | 19.88 | 1.95 | 0.39 | 1.59 | 27.01 | 48.47 |
| 4 | 18.18 | 0.36 | - | 1.15 | 27.66 | 52.64 |
| Wear Particles As Tile Fragments | ||||||
| 5 | 17.15 | 0.46 | 0.28 | 6.72 | 24.35 | 50.87 |
| 6 | 16.23 | 0.37 | 0.37 | 4.68 | 26.1 | 51.53 |
| 7 | 1.17 | - | - | - | 2.9 | 95.94 |
| 8 | 1.35 | - | - | - | 2.08 | 96.58 |
| Reaction | ΔG, kJ/mol | |||||||
|---|---|---|---|---|---|---|---|---|
| t, °C | 270 | 460 | 520 | 530 | 600 | 700 | 800 | 900 |
| T, K | 543.15 | 733.15 | 793.15 | 803.15 | 873.15 | 973.15 | 1073.15 | 1173.15 |
| 4 | −469.00 | −442.73 | −434.44 | −433.06 | −423.38 | −409.55 | −395.73 | −381.90 |
| 5 | −450.78 | −415.96 | −404.96 | −403.13 | −390.30 | −371.97 | −353.64 | −335.32 |
| 6 | −21.78 | −21.23 | −21.05 | −21.03 | −20.82 | −20.53 | −20.25 | −19.96 |
| 7 | −466.23 | −433.27 | −422.86 | −421.12 | −408.98 | −391.64 | −374.29 | −356.94 |
| 8 | −414.36 | −362.42 | −346.02 | −343.28 | −324.15 | −296.81 | −269.48 | −242.14 |
| 9 | −819.73 | −787.16 | −776.87 | −775.16 | −763.16 | −746.01 | −728.87 | −711.73 |
| 10 | −1055.76 | −1006.76 | −991.29 | −988.71 | −970.66 | −944.87 | −919.08 | −893.30 |
| 11 | 112.72 | 79.38 | 68.85 | 67.09 | 54.81 | 37.26 | 19.71 | 2.16 |
| 12 | −65.10 | −64.13 | −63.83 | −63.78 | −63.43 | −62.92 | −62.41 | −61.91 |
| 13 | −74.21 | −77.52 | −78.57 | −78.74 | −79.97 | −81.72 | −83.45 | −85.21 |
| Speed | 10, 20 m/s | 30, 37 m/s |
|---|---|---|
| Wear surface | Deep abrasive grooves, surface cracks, tile wear particles. Tribolayers with a micron-sized agglomerates of fine particles WC. | Smooth surfaces coated with a continuous and defect-free tribolayer with a homogeneous micro-composite structure |
| Wear subsurface | Paste-like thin MML formation with delaminated fragments. Cracks connected to the delaminated fragments. | Continuous, defect-free paste-like MML formation with a homogeneous micro-composite structure. Minor damage on the scale of one or two carbide grains below tribolayer. |
| Wear debris | Tile wear particles of the size 160–190 μm. Irregular-shaped wear particles of the size 120–140 μm. | Tile wear particles of the size 110–130 μm. Irregular-shaped wear particles of the size 80–100 μm. |
| Wear rate | 0.01 mm3/m, 0.24 mm3/m | 0.39 mm3/m, 0.46 mm3/m |
| Average friction coefficient | 0.17, 0.15 | 0.10, 0.07 |
| Wear mechanism | MML delamination | Flow wear |
Disclaimer/Publisher’s Note: The statements, opinions and data contained in all publications are solely those of the individual author(s) and contributor(s) and not of MDPI and/or the editor(s). MDPI and/or the editor(s) disclaim responsibility for any injury to people or property resulting from any ideas, methods, instructions or products referred to in the content. |
© 2023 by the authors. Licensee MDPI, Basel, Switzerland. This article is an open access article distributed under the terms and conditions of the Creative Commons Attribution (CC BY) license (https://creativecommons.org/licenses/by/4.0/).
Share and Cite
Savchenko, N.; Sevostyanova, I.; Panfilov, A.; Moskvichev, E.; Utyaganova, V.; Vorontsov, A.; Tarasov, S. Towards Self-Lubricating Effect of In Situ Iron Tungstate in Rubbing WC/Mn13 Steel Cermet against a HSS Steel. Lubricants 2023, 11, 365. https://doi.org/10.3390/lubricants11090365
Savchenko N, Sevostyanova I, Panfilov A, Moskvichev E, Utyaganova V, Vorontsov A, Tarasov S. Towards Self-Lubricating Effect of In Situ Iron Tungstate in Rubbing WC/Mn13 Steel Cermet against a HSS Steel. Lubricants. 2023; 11(9):365. https://doi.org/10.3390/lubricants11090365
Chicago/Turabian StyleSavchenko, Nikolai, Irina Sevostyanova, Alexander Panfilov, Evgeny Moskvichev, Veronika Utyaganova, Andrey Vorontsov, and Sergei Tarasov. 2023. "Towards Self-Lubricating Effect of In Situ Iron Tungstate in Rubbing WC/Mn13 Steel Cermet against a HSS Steel" Lubricants 11, no. 9: 365. https://doi.org/10.3390/lubricants11090365
APA StyleSavchenko, N., Sevostyanova, I., Panfilov, A., Moskvichev, E., Utyaganova, V., Vorontsov, A., & Tarasov, S. (2023). Towards Self-Lubricating Effect of In Situ Iron Tungstate in Rubbing WC/Mn13 Steel Cermet against a HSS Steel. Lubricants, 11(9), 365. https://doi.org/10.3390/lubricants11090365

