In-Depth Comparison of an Industrially Extruded Powder and Ingot Al Alloys
Abstract
1. Introduction
2. Materials and Methods
2.1. Industrial Hot Extrusion and Annealing Heat Treatments
2.2. Hot Workability and Mechanical Properties
2.3. Microstructural Characterization
3. Results
3.1. Microstructure
3.1.1. Initial Microstructure
3.1.2. Microstructure after Extrusion
3.2. Industrial Hot-Extrusion Tests
3.2.1. Direct-Extrusion Press
3.2.2. Indirect-Extrusion Press
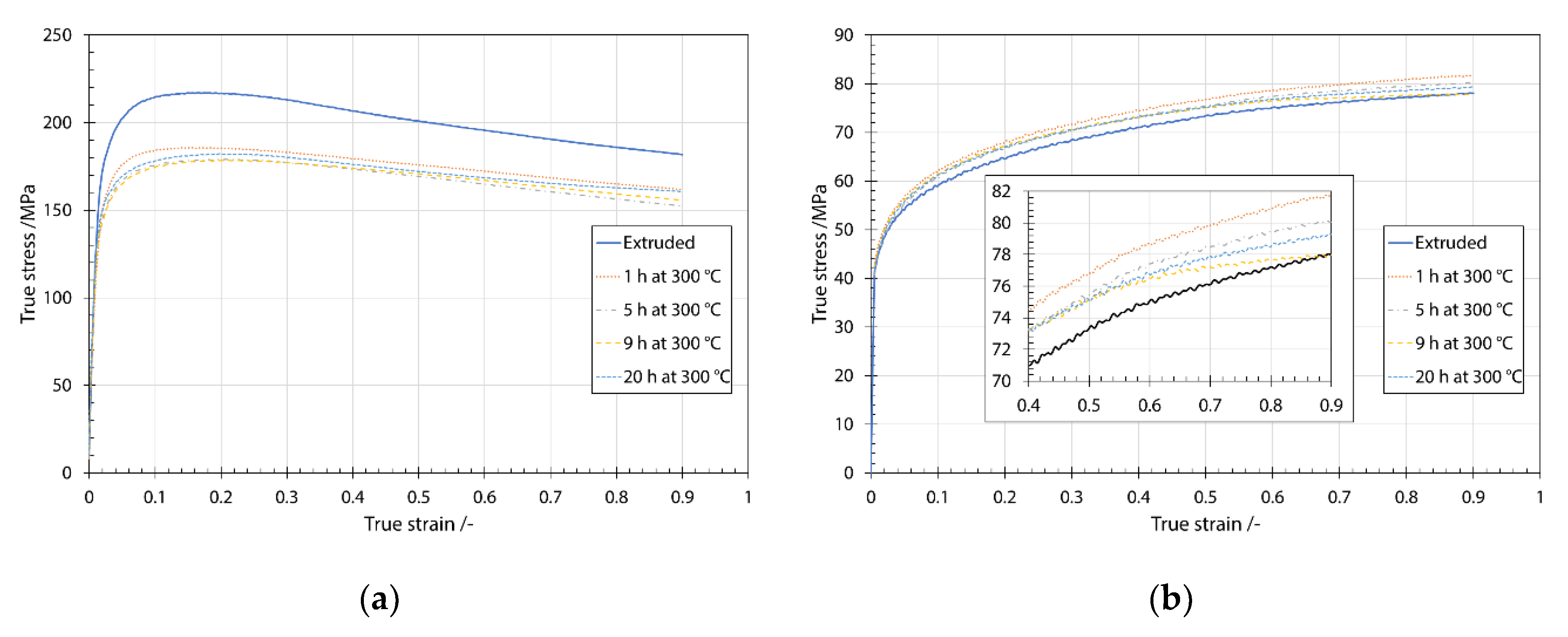
3.3. Mechanical Properties of Extruded Material
3.4. Hot-Compression Tests
Processing Maps
4. Discussion
5. Conclusions
- A density of 85% was obtained after cold isostatic pressing (green pellet) when processing Al powder. After hot extrusion, this density increased to about 95%, and after hot compression, we approached 100% of the theoretical density. The conventionally cast alloy AA 1050 had a theoretical density of 100% immediately after casting.
 - In an industrial environment, it was found that the use of an induction furnace to heat the green pellet to extrusion temperature was not suitable because the oxides present on the surface of the powder grains limit the heating rate. The use of gas and electric furnaces is better and our recommendation.
 - A better tensile strength of the consolidated material was achieved by direct extrusion, while ductility was better when indirect extrusion was used. Although the highest values of elongation at failure were obtained in the samples of the conventional alloy AA 1050, the tensile strength in these samples was about three times lower.
 - Annealing of extruded Al powder did not significantly increase the ductility, while UTS and YTS decreased slightly.
 - Hot workability of powdered material is not recommended at low strain rates. Surface cracking occurred during single-hit hot-compression tests at strain rates below 0.1 s−1. The yield stress of extruded Al powder was several times higher compared to the conventionally cast AA 1050 alloy. The calculated apparent activation energies for hot deformation for the material in the extruded state are 232 kJ mol−1 for Al 1080 powder and 158.6 kJ mol−1 for AA 1050.
 - After annealing heat treatment at 300 °C for 20 h, the apparent activation energy for hot deformation decreased more for powdered Al and was calculated to be 209.7 kJ mol−1, while a slight change was observed for the alloy AA 1050 at 154 kJ mol−1.
 - Optimum hot-forming conditions are at temperatures above 550 °C and strain rates above 1 s−1, based on the processing maps for strains 0.4 and 0.6.
 
Author Contributions
Funding
Acknowledgments
Conflicts of Interest
References
- Chelladurai, S.J.S.; Kumar, S.S.; Venugopal, N.; Ray, A.P.; Manjunath, T.C.; Gnanasekaran, S. A review on mechanical properties and wear behaviour of aluminium based metal matrix composites. Mater. Today Proc. 2020. [Google Scholar] [CrossRef]
 - Shi, X.L.; Mishra, R.S.; Watson, T.J. Effect of temperature and strain rate on tensile behavior of ultrafine-grained aluminum alloys. Mater. Sci. Eng. A 2008, 494, 247–252. [Google Scholar] [CrossRef]
 - Flores-Zamora, M.I.; Estrada-Guel, I.; González-Hernández, J.; Miki-Yoshida, M.; Martínez-Sánchez, R. Aluminum–graphite composite produced by mechanical milling and hot extrusion. J. Alloys Compd. 2007, 434–435, 518–521. [Google Scholar] [CrossRef]
 - Kennedy, A.R.; Wyatt, S.M. The effect of processing on the mechanical properties and interfacial strength of aluminium/TiC MMCs. Compos. Sci. Technol. 2000, 60, 307–314. [Google Scholar] [CrossRef]
 - Chen, B.; Kondoh, K.; Li, J.S.; Qian, M. Extraordinary reinforcing effect of carbon nanotubes in aluminium matrix composites assisted by in-situ alumina nanoparticles. Compos. Part B Eng. 2020, 183, 107691. [Google Scholar] [CrossRef]
 - Kai, X.; Li, Z.; Fan, G.; Guo, Q.; Tan, Z.; Zhang, W.; Su, Y.; Lu, W.; Moon, W.-J.; Zhang, D. Strong and ductile particulate reinforced ultrafine-grained metallic composites fabricated by flake powder metallurgy. Scr. Mater. 2013, 68, 555–558. [Google Scholar] [CrossRef]
 - Balog, M.; Simancik, F.; Walcher, M.; Rajner, W.; Poletti, C. Extruded Al–Al2O3 composites formed in situ during consolidation of ultrafine Al powders: Effect of the powder surface area. Mater. Sci. Eng. A 2011, 529, 131–137. [Google Scholar] [CrossRef]
 - Balog, M.; Poletti, C.; Simancik, F.; Walcher, M.; Rajner, W. The effect of native Al2O3 skin disruption on properties of fine Al powder compacts. J. Alloys Compd. 2011, 509, S235–S238. [Google Scholar] [CrossRef]
 - Caballero, E.S.; Ternero, F.; Urban, P.; Cuevas, F.G.; Cintas, J. Influence of Temperature on Mechanical Properties of AMCs. Metals 2020, 10, 783. [Google Scholar] [CrossRef]
 - Caballero, E.S.; Cintas, J.; Cuevas, F.G.; Montes, J.M.; Ternero, F.; Reina, F.J.V. Synthesis and characterization of in situ-reinforced Al–AlN composites produced by mechanical alloying. J. Alloys Compd. 2017, 728, 640–644. [Google Scholar] [CrossRef]
 - Zeng, X.; Liu, W.; Xu, B.; Shu, G.; Li, Q. Microstructure and Mechanical Properties of Al–SiC Nanocomposites Synthesized by Surface-Modified Aluminium Powder. Metals 2018, 8, 253. [Google Scholar] [CrossRef]
 - Krizik, P.; Balog, M.; Illekova, E.; Svec, P.; Matko, I.; Stepanek, M.; Nosko, M.; Simancik, F. The oxidation behavior of gas-atomized Al and Al alloy powder green compacts during heating before hot extrusion and the suggested heating process. J. Mater. Process. Technol. 2014, 214, 1165–1172. [Google Scholar] [CrossRef]
 - Balog, M.; Simancik, F.; Bajana, O.; Requena, G. ECAP vs. direct extrusion—Techniques for consolidation of ultra-fine Al particles. Mater. Sci. Eng. A 2009, 504, 1–7. [Google Scholar] [CrossRef]
 - Amirkhanlou, S.; Ji, S. A review on high stiffness aluminum-based composites and bimetallics. Crit. Rev. Solid State Mater. Sci. 2020, 45, 1–21. [Google Scholar] [CrossRef]
 - Lloyd, D.J. Particle reinforced aluminium and magnesium matrix composites. Int. Mater. Rev. 1994, 39, 1–23. [Google Scholar] [CrossRef]
 - Arsenault, R.J.; Shi, N. Dislocation generation due to differences between the coefficients of thermal expansion. Mater. Sci. Eng. 1986, 81, 175–187. [Google Scholar] [CrossRef]
 - Barlow, C.Y.; Hansen, N. Dislocation configurations in metal-matrix composites correlated with numerical predictions. Acta Metall. Mater. 1995, 43, 3633–3648. [Google Scholar] [CrossRef]
 - Dai, L.H.; Liu, L.F.; Bai, Y.L. Formation of adiabatic shear band in metal matrix composites. Int. J. Solids Struct. 2004, 41, 5979–5993. [Google Scholar] [CrossRef]
 - Fleck, N.A.; Ashby, M.F.; Hutchinson, J.W. The role of geometrically necessary dislocations in giving material strengthening. Scr. Mater. 2003, 48, 179–183. [Google Scholar] [CrossRef]
 - Yu, P.; Balog, M.; Yan, M.; Schaffer, G.B.; Qian, M. In situ fabrication and mechanical properties of Al–AlN composite by hot extrusion of partially nitrided AA6061 powder. J. Mater. Res. 2011, 26, 1719–1725. [Google Scholar] [CrossRef]
 - Balog, M.; Krizik, P.; Yan, M.; Simancik, F.; Schaffer, G.B.; Qian, M. SAP-like ultrafine-grained Al composites dispersion strengthened with nanometric AlN. Mater. Sci. Eng. A 2013, 588, 181–187. [Google Scholar] [CrossRef]
 - Poletti, C.; Balog, M.; Simancik, F.; Degischer, H.P. High-temperature strength of compacted sub-micrometer aluminium powder. Acta Mater. 2010, 58, 3781–3789. [Google Scholar] [CrossRef]
 - Balog, M.; Krizik, P.; Bajana, O.; Hu, T.; Yang, H.; Schoenung, J.M.; Lavernia, E.J. Influence of grain boundaries with dispersed nanoscale Al2O3 particles on the strength of Al for a wide range of homologous temperatures. J. Alloys Compd. 2019, 772, 472–481. [Google Scholar] [CrossRef]
 - Jonas, J.J.; Sellars, C.M.; Tegart, W.J.M. Strength and structure under hot-working conditions. Metall. Rev. 1969, 14, 1–24. [Google Scholar] [CrossRef]
 - Kugler, G.; Knap, M.; Palkowski, H.; Turk, R. Estimation of Activation Energy for Calculating the Hot Workability Properties of Metals. Metalurgija 2004, 43, 267–272. [Google Scholar]
 - Bombac, D.; Brojan, M.; Tercelj, M.; Turk, R. Response to hot deformation conditions and microstructure development of nimonic 80a superalloy. Mater. Manuf. Process. 2009, 24, 644–648. [Google Scholar] [CrossRef]
 - Mehrer, H.; Bakker, H.; Bonzel, H.P.; Bruff, C.M.; Dayananda, M.A.; Gust, W.; Horvath, J.; Kaur, I.; Kidson, G.V.; LeClaire, A.D.; et al. Diffusion in Solid Metals and Alloys/Diffusion in festen Metallen und Legierungen. In Landolt-Börnstein: Numerical Data and Functional Relationships in Science and Technology—New Series/Condensed Matter; Springer: Berlin/Heidelberg, Germany, 1990; ISBN 9783540508861. [Google Scholar]
 - Prasad, Y.V.R.K.; Rao, K.P.; Sasidhara, S. (Eds.) Hot Working Guide: A Compendium of Processing Maps, 2nd ed.; ASM International: Materials Park, OH, USA, 2015; ISBN 9781627080927. [Google Scholar]
 - Prasad, Y.V.R.K. Processing maps: A status report. J. Mater. Eng. Perform. 2003, 12, 638–645. [Google Scholar] [CrossRef]
 - Kubota, M. Properties of nano-structured pure Al produced by mechanical grinding and spark plasma sintering. J. Alloys Compd. 2007, 434–435, 294–297. [Google Scholar] [CrossRef]
 - Gubicza, J.; Dirras, G.; Szommer, P.; Bacroix, B. Microstructure and yield strength of ultrafine grained aluminum processed by hot isostatic pressing. Mater. Sci. Eng. A 2007, 458, 385–390. [Google Scholar] [CrossRef]
 - Zhang, W.; Chai, D.; Ran, G.; Zhou, J. Study on microstructure and tensile properties of in situ fiber reinforced aluminum matrix composites. Mater. Sci. Eng. A 2008, 476, 157–161. [Google Scholar] [CrossRef]
 - Song, M.; He, Y. Effects of die-pressing pressure and extrusion on the microstructures and mechanical properties of SiC reinforced pure aluminum composites. Mater. Des. 2010, 31, 985–989. [Google Scholar] [CrossRef]
 - Choi, H.J.; Lee, S.W.; Park, J.S.; Bae, D.H. Tensile behavior of bulk nanocrystalline aluminum synthesized by hot extrusion of ball-milled powders. Scr. Mater. 2008, 59, 1123–1126. [Google Scholar] [CrossRef]
 - Li, Z.J.; Wang, L.D.; Fei, W.D. Effect of interfacial Bi2O3 coating on compressive deformation behavior of aluminum borate whisker-reinforced aluminum composite at elevated temperature. Mater. Sci. Eng. A 2007, 447, 314–318. [Google Scholar] [CrossRef]
 - Badini, C.; La Vecchia, G.M.; Fino, P.; Valente, T. Forging of 2124/SiCp composite: Preliminary studies of the effects on microstructure and strength. J. Mater. Process. Technol. 2001, 116, 289–297. [Google Scholar] [CrossRef]
 - Ceschini, L.; Minak, G.; Morri, A. Forging of the AA2618/20vol.% Al2O3p composite: Effects on microstructure and tensile properties. Compos. Sci. Technol. 2009, 69, 1783–1789. [Google Scholar] [CrossRef]
 - Fan, G.J.; Wang, G.Y.; Choo, H.; Liaw, P.K.; Park, Y.S.; Han, B.Q.; Lavernia, E.J. Deformation behavior of an ultrafine-grained Al–Mg alloy at different strain rates. Scr. Mater. 2005, 52, 929–933. [Google Scholar] [CrossRef]
 













| Material | Si | Fe | Cu | Mg | Mn | O | Al | 
|---|---|---|---|---|---|---|---|
| Al 1080 | 0.054 | 0.159 | 0.001 | 0.005 | 0.001 | 1.95 | base | 
| AA 1050 | 0.114 | 0.148 | 0.002 | 0.02 | 0.008 | - | base | 
| Billet Material | Al 1080 Powder | AA 1050 | ||
|---|---|---|---|---|
| Billet Mark | D1 | D2 | D3 | D4 | 
| Billet length/mm | 500 | 500 | 500 | 700 | 
| Ram speed/mm·s−1 | 3.5 | 2.1 | 1 | 5.7 | 
| Puller (bar) speed/m·s−1 | 0.062 | 0.035 | 0.017 | 0.1 | 
| Peak press pressure/MPa | 23 | 27.4 | 28.7 | 5.3 | 
| Press rest/mm | 50 | 50 | 50 | 130 | 
| Die furnace temperature/°C | 460 | 450 | 440 | 500 | 
| Container temperature/°C | 450 | 450 | 450 | 450 | 
| Billet temperature/°C | 460 | 450 | 445 | 460 | 
| Maximum bar temperature/°C | 587 | 570 | 555 | 560 | 
| Billet Material | Al 1080 Powder | ||
|---|---|---|---|
| Billet Mark | I1 | I2 | I3 | 
| Billet length/mm | 500 | 500 | 500 | 
| Ram speed/mm·s−1 | 7.1 | 6.2 | 3.9 | 
| Puller (bar) speed/m·s−1 | 0.118 | 0.082 | 0.052 | 
| Peak press pressure/MPa | 17.7 | 20.5 | 21.4 | 
| Press rest/mm | 50 | 50 | 50 | 
| Die furnace temperature/°C | 340 | 340 | 320 | 
| Induction furnace temperature/°C | 420 | - | - | 
| Container temperature/°C | 360 | 360 | 360 | 
| Billet temperature/°C | 420 | 340 | 320 | 
| Material | Annealing Time/h | Q/kJ·mol−1 | α/MPa−1 | n/- | A/s−1 | 
|---|---|---|---|---|---|
| Al 1080 powder | As extruded | 232.08 | 0.027177 | 3.97 | 6.28 × 1011 | 
| 1 | 252.5 | 0.028282 | 4.25 | 1.81 × 1015 | |
| 20 | 209.7 | 0.025506 | 3.99 | 9.03 × 1012 | |
| Conventional AA 1050 | As extruded | 158.6 | 0.01572 | 6.89 | 2.87 × 1013 | 
| 1 | 165.1 | 0.023924 | 6.28 | 1.90 × 1012 | |
| 20 | 154.0 | 0.023347 | 6.18 | 4.02 × 1011 | 
| Material | YTS/MPa | UTS/MPa | Strain/% | Reference | 
|---|---|---|---|---|
| Al-4Y-4Ni (ultra-fine grains) | 394 | 422 | 16.3 | [2] | 
| Al-4Y-4Ni-0.9Fe (ultra-fine grains) | 470 | 478 | 7.2 | |
| Al-graphite (0.5 wt.%) composite | 147 | 176 | 25 | [3] | 
| Al-graphite (1 wt.%) composite | 164 | 199 | 22 | |
| Al powder + 10 vol.% TiC (10 µm) | 129 | 32 | [4] | |
| Air atomized pure Al (100 µm) + γ-Al2O3 in matrix | 288 | [30] | ||
| Mixture of large (1–10 µm) and ultra-fine (100 nm) Al grains | 390 + | 480 + | 17 | [31] | 
| Al powder (40 µm) + 20 vol.% SiC (70 µm) | 117 | 146 | 9.6 | [33] | 
| Al + 10 wt.% Mg powders (100 µm) | 137 | 147 | 7 | [32] | 
| Pure Al + Bi2O3 coated Al18B4O33 whiskers composite | 302 | 8.8 | [35] | |
| Ultrafine Al-Mg (7.5 wt.%) grains (120 nm) | 600 + | 0.2–0.4 ‡ | [38] | |
| AA 2214 + 26 wt.% SiC (3 µm) − forged | 290 | 446 | 3.1 | [36] | 
| AA 2214 + SiC (26 wt.%) − forged + T4 | 451 | 641 | 2.5 | |
| Nanocrystalline bulk Al (48 nm) | 500 | 1 | [34] | |
| Nanocrystalline bulk Al (56 nm) | 460 | 3 | ||
| Nanocrystalline bulk Al (72 nm) | 279 | 5 | ||
| AA 2618 + Al2O3 (20 vol.%)–as-cast | 347 | 361 | 0.5 | [37] | 
| AA 2618 + Al2O3 (20 vol.%)–forged | 373 | 453 | 1.3 | |
| Al powder (10 µm) + 16 vol.% B4C (7 µm) | 160 | 198 | 18.7 | [6] | 
| Al nanoflake (0.5 µm) + 16 vol.% B4C (7 µm) | 260 | 364 | 4.8 | |
| Al powder (31 µm) + 8.9 vol.% AlN (1 µm) | 180 | 332 | 3 | [20] | 
| Al powder (1.31 µm) + 13 vol.% AlN | 347 | 421 | 5 | [21] | 
| Al powder (<63 µm) + 12.7 vol.% AlN | 290 | 474 | 3 | |
| Al powder (1.31 µm) + 2.3 vol.% Al2O3 | 242 | 296 | 10 | |
| Al powder (ball milled) + 9.6 vol.% Al2O3 | 207 | 345 | 12 | |
| Extruded Al 1080 powder (1 µm) | 243 | 253 | 8.6 | Present study | 
Publisher’s Note: MDPI stays neutral with regard to jurisdictional claims in published maps and institutional affiliations.  | 
© 2020 by the authors. Licensee MDPI, Basel, Switzerland. This article is an open access article distributed under the terms and conditions of the Creative Commons Attribution (CC BY) license (http://creativecommons.org/licenses/by/4.0/).
Share and Cite
Bombač, D.; Cvahte, P.; Balog, M.; Kugler, G.; Terčelj, M. In-Depth Comparison of an Industrially Extruded Powder and Ingot Al Alloys. Metals 2020, 10, 1483. https://doi.org/10.3390/met10111483
Bombač D, Cvahte P, Balog M, Kugler G, Terčelj M. In-Depth Comparison of an Industrially Extruded Powder and Ingot Al Alloys. Metals. 2020; 10(11):1483. https://doi.org/10.3390/met10111483
Chicago/Turabian StyleBombač, David, Peter Cvahte, Martin Balog, Goran Kugler, and Milan Terčelj. 2020. "In-Depth Comparison of an Industrially Extruded Powder and Ingot Al Alloys" Metals 10, no. 11: 1483. https://doi.org/10.3390/met10111483
APA StyleBombač, D., Cvahte, P., Balog, M., Kugler, G., & Terčelj, M. (2020). In-Depth Comparison of an Industrially Extruded Powder and Ingot Al Alloys. Metals, 10(11), 1483. https://doi.org/10.3390/met10111483
        
