Using Intercritical CCT Diagrams and Multiple Linear Regression for the Development of Low-Alloyed Advanced High-Strength Steels
Abstract
:1. Introduction
2. Materials and Methods
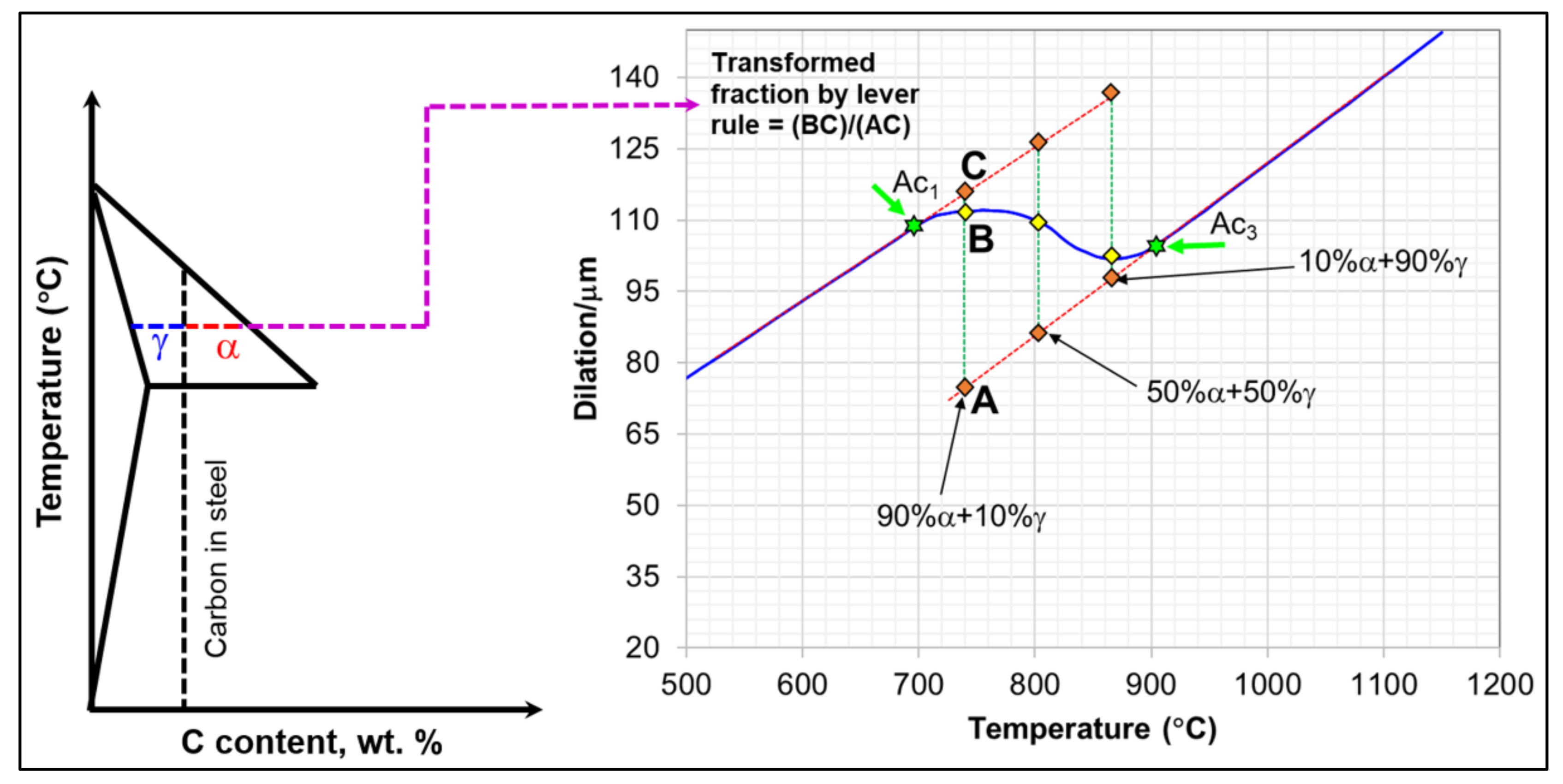
2.1. Computational Study to Evaluate the Behavior of Intercritical CCT Diagrams as a Function of the Concentration of the Alloying Elements
2.2. Prediction of Mechanical Properties as a Function of the Concentration of the Alloying Elements Using Multiple Linear Regression
2.3. Experimental Work Conducted for Validation: Fabrication, Processing and Characterization
3. Results
3.1. CCT Diagrams Behavior as a Function of Chemistry
3.2. Prediction of Mechanical Properties
3.3. Microstructural Characteristics and Mechanical Properties of Experimental Steel
4. Conclusions
- The use of intercritical CCT diagrams and the proposed multiple linear regression model, both obtained as a function of the concentration of the alloying elements, provide an approach for the prediction of both microstructures and mechanical properties of low-alloyed AHSS−TRIP steels of the third generation.
- Theoretical study of phase transformations from CCT diagrams shows a good approximation with the results obtained by dilatometry.
- Percentage error for ultimate tensile strength varies from 2.45% to 7.87%, while the one of elongation to fracture varies from 1.18% to 16.27%, which suggests that the latter is more sensitive to microstructural changes that were not considered to obtain the model.
- The methodology presented in this investigation represents a potential tool for the development of low-alloyed advanced high-strength steels obtained under conditions that simulate continuous annealing and galvanizing lines.
Author Contributions
Funding
Acknowledgments
Conflicts of Interest
References
- Sharma, A. Engineering Steels and High Entropy-Alloys; IntechOpen: London, UK, 2020; p. 22. [Google Scholar] [CrossRef]
- Tisza, M.; Czinege, I. Comparative study of the application of steels and aluminium in lightweight production of automotive parts. Int. J. Lightweight Mater. Manuf. 2018, 1, 229–238. [Google Scholar] [CrossRef]
- Bachman, K. Lightweighting Still Dominates Great Designs in Steel; FMA The Fabricator. 2018. Available online: https://www.thefabricator.com/stampingjournal/article/stamping/lightweighting-still-dominates-great-designs-in-steel-seminar (accessed on 10 October 2021).
- Hertwich, E.G.; Ali, S.; Ciacci, L.; Fishman, T.; Heeren, N.; Masanet, E.; Asghari, F.N.; Olivetti, E.; Pauliuk, S.; Tu, Q.; et al. Material efficiency strategies to reducing greenhouse gas emissions associated with buildings, vehicles, and electronics—A review. Environ. Res. Lett. 2019, 14, 043004. [Google Scholar] [CrossRef] [Green Version]
- Liu, B.; Dai, Y.; Huang, X.; Wang, Y. Development of the third generation advanced high strength steel for automobile. J. Adv. Eng. Res. 2018, 163, 1199–1202. [Google Scholar] [CrossRef] [Green Version]
- Samodajev, N. Advanced High Strength Steel (AHSS) for Stronger, Lighter and Safer Cars. 2019. Available online: https://matmatch.com/blog/advanced-high-strength-steel-stronger-lighter-safer-cars/ (accessed on 10 September 2021).
- Barrado, F.; Zhou, T.; Overby, D.; Badgley, P.; Martin-Root, C.; Zhang, S.; Zhang, R. Development of advanced high-strength steels for automobile applications. In The Minerals, Metals & Materials Series, Proceedings of the TMS 2019 148th Annual Meeting & Exhibition Supplemental Proceedings, Pittsburgh, PA, USA; Springer International Publishing: Pittsburgh, PA, USA, 2019; pp. 519–527. [Google Scholar] [CrossRef]
- Tisza, M. Three Generations of Advanced High Strength Steels in the Automotive Industry. In Vehicle and Automotive Engineering 3; Jármai, K., Voith, K., Eds.; Lecture Notes in Mechanical Engineering; Springer: Singapore, 2021; pp. 81–95. [Google Scholar] [CrossRef]
- Li, N.; Kingkam, W.; Bao, Z.; Han, R.; Huang, Y.; Zhang, H.; Zhao, C. Effect of Alloying Elements on Mechanical Properties of High-Strength Low-Alloy Steel. Mater. Sci. Forum 2020, 1007, 41–46. [Google Scholar] [CrossRef]
- Oliver, S.; Jones, T.B.; Fourlaris, G. Dual phase versus TRIP strip steels: Comparison of dynamic properties for automotive crash performance. Mater. Sci. Technol. 2007, 23, 423–431. [Google Scholar] [CrossRef]
- Mohrbacher, H. Martensitic Automotive Steel Sheet-Fundamentals and Metallurgical Optimization Strategies. Adv. Mater. Res. 2014, 1063, 130–142. [Google Scholar] [CrossRef]
- de Cooman, B.C. High Mn TWIP steel and medium Mn steel. In Automotive Steels-Design, Metallurgy, Processing and Applications; Woodhead Publishing: Kidlington, UK, 2017; pp. 317–385. [Google Scholar] [CrossRef]
- Tewary, N.K.; Ghosh, S.K.; Chatterjee, S. Deformation behaviour of low carbon high Mn twinning-induced plasticity steel. Proc. Inst. Mech. Eng. Part C 2019, 233, 763–771. [Google Scholar] [CrossRef]
- Yang, G.; Kim, J.-K. An Overview of High Yield Strength Twinning-Induced Plasticity Steels. Metals 2021, 11, 124. [Google Scholar] [CrossRef]
- Soleimani, M.; Kalhor, A.; Mirzadeh, H. Transformation-induced plasticity (TRIP) in advanced steels: A review. Mater. Sci. Eng. A 2020, 795, 140023. [Google Scholar] [CrossRef]
- Kim, M.S.; Kwak, J.H.; Kim, J.S.; Liu, Y.H.; Gao, N.; Tang, N.-Y. Galvanizability of Advanced High-Strength Steels 1180TRIP and 1180CP. Metall. Mater. Trans. A 2009, 40, 1903–1910. [Google Scholar] [CrossRef]
- Necati, C.Ö.; Muammer, K. Promises and Problems of Ultra/Advanced High Strength Steel (U/AHSS) Utilization in Auto Industry; OTEKON’14: Bursa, Turkey, 2014; pp. 1–8. [Google Scholar] [CrossRef]
- Pereira, A.B.; Santos, R.O.; Carvalho, B.S.; Butuc, M.C.; Vincze, G.; Moreira, L.P. The Evaluation of Laser Weldability of the Third-Generation Advanced High Strength Steel. Metals 2019, 9, 1051. [Google Scholar] [CrossRef] [Green Version]
- Wolfgang, B.; Fritz, B.; Yan, M.; Caesar, S. Materials and Processes for the Third-generation Advanced High-strength Steels. BHM 2019, 164, 466–474. [Google Scholar] [CrossRef]
- Nanda, T.; Singh, V.; Singh, V.; Chakraborty, A.; Sharma, S. Third generation of advanced high-strength steels: Processing routes and properties. J. Mater. Des. Appl. 2016, 233, 209–238. [Google Scholar] [CrossRef]
- Raabe, D.; Sun, B.; da Silva, A.K.; Gault, B.; Yen, H.-W.; Sedighiani, K.; Sukumar, P.T.; Isnaldi, R.; Filho, S.; Katnagallu, S.; et al. Current Challenges and Opportunities in Microstructure-Related Properties of Advanced High-Strength Steels. Metall. Mater. Trans. A 2020, 51, 5517–5586. [Google Scholar] [CrossRef]
- Roy, T.K.; Bhattacharya, B.; Ghosh, C.; Ajmani, S.K. Advanced High Strength Steel Processing and Applications; Springer: Singapore, 2018. [Google Scholar] [CrossRef]
- Schmitt, J.-H.; Iung, T. New developments of advanced high-strength steels for automotive applications. Comptes Rendus Phys. 2018, 19, 641–656. [Google Scholar] [CrossRef]
- Pichler, A.; Stiaszny, P. TRIP steel with reduced silicon content. Steel Res. 2016, 70, 459–465. [Google Scholar] [CrossRef]
- Sandhya, N.; Sowmya, V.; Bandaru, C.R.; Babu, G.R. Prediction of mechanical properties of steel using data science techniques. Int. J. Recent Technol. Eng. 2019, 8, 235–241. [Google Scholar] [CrossRef]
- Noa, S.; Guo, Z.; Li, X.; Miodownik, A.; Schillé, J. Using JMatPro to model materials properties and behavior. JOM 2003, 55, 60–65. [Google Scholar] [CrossRef]
- Bublíková, D.; Jirková, H.; Behúlová, M.; Krajčovič, J. Determination of transformation temperatures of advanced high-strength steels and their use in designing Q&P process routes. Manuf. Technol. 2019, 19, 8–22. [Google Scholar]
- Skowronek, A.; Morawiec, M.; Ruiz-Jimenez, V.; Garcia-Mateo, C.; Grajcar, A. Physical simulation and dilatometric study of double-step heat treatment of medium-Mn steel. Archiv. Civ. Mech. Eng 2020, 20, 1–11. [Google Scholar] [CrossRef]
- Cerda Vázquez, P.J.; Pacheco-Cedeño, J.S.; Ramos-Azpeitia, M.O.; Garnica-González, P.; Garibay-Febles, V.; Moreno-Palmerin, J.; Cruz-Rivera, J.D.J.; Hernández-Rivera, J.L. Casting and constitutive hot flow behavior of medium-Mn automotive steel with Nb as Microalloying. Metals 2020, 10, 206. [Google Scholar] [CrossRef] [Green Version]
- Gao, H.; Agarwal, G.; Amirthalingam, M.; Hermans, M.J.M. Hot cracking investigation during laser welding of high-strength steels with multi-scale modelling approach. Sci. Technol. Weld. Join. 2018, 23, 287–294. [Google Scholar] [CrossRef] [Green Version]
- Zamberger, S. Through Process Modeling of Microalloyed Steel Production. Ph.D. Thesis, Institute of Materials Science and Technology, Vienna, Austria, December 2015. [Google Scholar]
- Bräutigam, K.; Altamirano, G.; Salinas, A.; Flores, A.; Goodwin, F. Experimental Determination of Continuous Cooling Transformation (CCT) Diagrams for Dual-Phase Steels from the Intercritical Temperature Range. Metals 2018, 8, 674. [Google Scholar] [CrossRef] [Green Version]
- Noppon, J.; Chandra-Ambhorn, S. Prediction of the mechanical properties of hot-rolled low carbon steel strips in correlation to chemical compositions and rolling conditions. Key Eng. Mater. 2011, 462, 401–406. [Google Scholar] [CrossRef]
- Shiraiwa, T.; Miyazawa, Y.; Enoki, M. Prediction of Fatigue Strength in Steels by Linear Regression and Neural Network. Mater. Trans. 2018, 60, 189–198. [Google Scholar] [CrossRef] [Green Version]
- Imre, K.; Vasile, A.; Cioata, V.G. Statistical analysis using the multiple regression research in areas of the indefinite chilled cast–iron rolls manufacturing. IOP Conf. Ser. Mater. Sci. Eng. 2017, 200, 012021. [Google Scholar] [CrossRef] [Green Version]
- Lee, S.I.; Lee, J.; Hwang, B. Microstructure-based prediction of yield ratio and uniform elongation in high-strength bainitic steels using multiple linear regression analysis. Mater. Sci. Eng. A 2019, 758, 56–59. [Google Scholar] [CrossRef]
- Tumrate, C.S.; Chowdhury, S.R.; Mishrac, D. Development of Regression Model to Predicting Yield Strength for Different Steel Grades. IOP Conf. Ser. Earth Environ. Sci. 2021, 796, 012033. [Google Scholar] [CrossRef]
- Guo, Z.; Li, L.; Yang, W.; Sun, Z. Microstructures and Mechanical Properties of High-Mn TRIP Steel Based on Warm Deformation of Martensite. Metall. Mater. Trans. A 2015, 46, 1704–1714. [Google Scholar] [CrossRef]
- Daniella, M.; Joseph, P.; McDermid, R. Mechanical property development of a 0.15C–6Mn–2Al–1Si third-generation advanced high strength steel using continuous galvanizing heat treatments. Mater. Sci. Eng. A 2020, 778, 139111. [Google Scholar] [CrossRef]
- Kwok, T.W.J.; Rahman, K.M.; Xu, X.; Bantounas, I.; Kelleher, J.F.; Dasari, S.; Alam, T.; Banerjee, R.; Dye, D. Design of a high strength, high ductility 12 wt% Mn medium manganese steel with hierarchical deformation behaviour. Mater. Sci. Eng. A 2020, 782, 139258. [Google Scholar] [CrossRef] [Green Version]
- Li, Z.C.; Ding, H.; Misra, R.D.K.; Cai, Z.H. Microstructure-mechanical property relationship and austenite stability in medium-Mn TRIP steels: The effect of austenite-reverted transformation and quenching-tempering treatments. Mater. Sci. Eng. A 2017, 682, 211–219. [Google Scholar] [CrossRef] [Green Version]
- Yang, F.; Luo, H.; Hu, C.; Pu, E.; Dong, H. Effects of intercritical annealing process on microstructures and tensile properties of cold-rolled 7Mn steel. Mater. Sci. Eng. A 2017, 685, 115–122. [Google Scholar] [CrossRef]
- Bellhouse, E.M.; McDermid, J.R. Analysis of the Fe–Zn interface of galvanized high Al–low Si TRIP steels. Mater. Sci. Eng. A 2008, 491, 39–46. [Google Scholar] [CrossRef]
- Traint, S.; Pichler, A.; Hauzenberger, K.; Stiaszny, P.; Werner, E. Influence of silicon, aluminium, phosphorus, and copper on the phase transformations of low alloyed TRIP-steels. J. Mater. Sci. Technol. 2016, 73, 259–266. [Google Scholar] [CrossRef]
- El-Sherbiny, A.; El-Fawkhry, M.K.; Shasha, A.Y.; El Hossany, T. Replacement of silicon by aluminum with the aid of vanadium for galvanized TRIP steel. J. Mater. Res. Technol. 2020, 9, 3578–3589. [Google Scholar] [CrossRef]
- El-Din, H.N.; Reda, R. Retained Austenite Attributes and Mechanical Performance of Different Compositions of TRIP Steel Alloys. J. Mater. Eng. Perform. 2019, 28, 2167–2177. [Google Scholar] [CrossRef]
- Srivastava, A.K.; Jha, G.; Gope, N.; Singh, S.B. Effect of heat treatment on microstructure and mechanical properties of cold rolled C–Mn–Si TRIP-aided steel. Mater. Charact. 2006, 57, 127–135. [Google Scholar] [CrossRef]
- Ding, W.; Hedström, P.; Lib, Y. Heat treatment, microstructure and mechanical properties of a C–Mn–Al–P hot dip galvanizing TRIP steel. Mater. Sci. Eng. A 2016, 674, 151–157. [Google Scholar] [CrossRef]
- Wiewiorowska, S.; Muskalski, Z.; Michalczyk, J. The influence of hot dip galvanizing process on TRIP steel wire structure and properties. Arch. Metall. Mater. 2019, 64, 129–132. [Google Scholar] [CrossRef]
- Traint, S.; Pichler, A.; Blaimschein, M.; Röthler, B.; Krempaszky, C.; Werner, E. Alloy Design, Processing and Properties of TRIP Steels: A Critical Comparison. Available online: https://www.researchgate.net/publication/289883782_Alloy_design_processing_and_properties_of_TRIP_steels_A_critical_comparison (accessed on 10 September 2021).
- Xu, B.; Chen, P.; Li, Z.; Wu, D.; Wang, G.; Guo, J.; Liu, R.; Misra, R.D.K.; Yi, H. The Significance of Optimizing Mn-Content in Tuning the Microstructure and Mechanical Properties of δ-TRIP Steels. Metals 2021, 11, 523. [Google Scholar] [CrossRef]
- Pino, B.Y.N.; Castañeda, E.G. Computational Study of the Effects of Chemical Composition on the Behavior of CCT Diagrams Calculated from the Two-Phase Field Region for the Development of Advanced High Strength Steels. Master’s Thesis, Autonomous University of San Luis Potosi, San Luis Potosi, Mexico, October 2020. [Google Scholar]
- Calderón, L.S.; Castañeda, E.G. Effect of Temperature and Time of the Intercritical Annealing on the Microstructure and Mechanical Properties of Advanced High Strength Steels. Master’s Thesis, Autonomous University of San Luis Potosi, San Luis Potosi, Mexico, February 2021. [Google Scholar]
- Cervantes, S. Statistics for Administration and Economy; Pearson Prentice Hall: Madrid, Spain, 2018. [Google Scholar]
- Zhou, W.; Guo, H.; Xie, Z.; Wang, X.; Shang, C. High strength low-carbon alloyed steel with good ductility by combining the retained austenite and nano-sized precipitates. Mater. Sci. Eng. A 2013, 587, 365–371. [Google Scholar] [CrossRef]
- Contreras, A.; Lopez, A.; Gutierrez, E.J.; Fernandez, B.; Salinas, A.; Deaquino, R.; Bedolla, A.; Saldana, R.; Reyes, I.; Aguilar, J.; et al. An approach for the design of multiphase advanced high-strength steels based on the behavior of CCT diagrams simulated from the intercritical temperature range. Mater. Sci. Eng. A 2020, 772, 38708. [Google Scholar] [CrossRef]
- Shen, Y.F.; Qiu, L.N.; Sun, X.; Zuo, L.; Liaw, P.K.; Raabe, D. Effects of retained austenite volume fraction, morphology, and carbon content on strength and ductility of nanostructured TRIP-assisted steels. Mater. Sci. Eng. A 2015, 636, 551–564. [Google Scholar] [CrossRef] [Green Version]
- Kučerová, L.; Bystrianský, M. The effect of chemical composition on microstructure and properties of TRIP steels. J. Achiev. Mater. Manuf. Eng. 2016, 77, 5–12. [Google Scholar] [CrossRef]
- Lun, N.; Saha, D.C.; Macwan, A.; Pan, H.; Wang, L.; Goodwin, F.; Zhou, Y. Microstructure and mechanical properties of fibre laser welded medium manganese TRIP steel. Mater. Des. 2017, 131, 450–459. [Google Scholar] [CrossRef]
- Grajcar, A.; Kilarski, A.; Kozlowska, A. Microstructure–Property Relationships in Thermomechanically Processed Medium-Mn Steels with High Al Content. Metals 2018, 8, 929. [Google Scholar] [CrossRef] [Green Version]
- Daniel, M.F.; Qing, J.; David, C.; Aken, V. Chemistry and Properties of Medium-Mn Two-Stage TRIP Steels. Metall. Mater. Trans. A 2018, 94A, 4615–4632. [Google Scholar] [CrossRef]
- Oja, O.; Saastamoinen, A.; Patnamsetty, M.; Honkanen, M.; Peura, P.; Järvenpää, M. Microstructure and Mechanical Properties of Nb and V Microalloyed TRIP-Assisted Steels. Metals 2019, 9, 887. [Google Scholar] [CrossRef] [Green Version]
- Wang, T.; Hu, J.; Misra, R.D.K. Microstructure evolution and strain behavior of a medium Mn TRIP/TWIP steel for excellent combination of strength and ductility. Mater. Sci. Eng. A 2019, 753, 99–108. [Google Scholar] [CrossRef]
- Chen, S.-C.; Huang, C.-Y.; Wang, Y.T.; Huang, C.-Y.; Yen, H.-Y. Role of the crystallographic texture in anisotropic mechanical properties of a newly-developed hot-rolled TRIP steel. Mater. Sci. Eng. A 2020, 790, 139683. [Google Scholar] [CrossRef]
- Zeng, Z.; Reddy, K.M.; Song, S.; Wang, J.; Wang, L.; Wang, X. Microstructure and mechanical properties of Nb and Ti microalloyed lightweight δ-TRIP Steel. Mater. Charact. 2020, 164, 110324. [Google Scholar] [CrossRef]
- Kong, H.; Chao, Q.; Rolfe, B.; Beladi, H. One-step quenching and partitioning treatment of a tailor welded blank of boron and TRIP steels for automotive applications. Mater. Des. 2019, 174, 107799. [Google Scholar] [CrossRef]
- Gu, X.; Xu, Y.; Wang, X.; Liu, R.; Peng, F.; Liu, H.; Misra, R.D.K.; Li, J.; Hou, X. Austenite formation and mechanical behavior of a novel TRIP-assisted steel with ferrite/martensite initial structure. Mater. Sci. Eng. A 2020, 803, 140468. [Google Scholar] [CrossRef]
- Tilak Kumar, J.V.; Sudha, J.; Padmanabhan, K.A.; Frolova, A.V.; Stolyarov, V.V. Influence of strain rate and strain at temperature on TRIP effect in a metastable austenitic stainless Steel. Mater. Sci. Eng. A 2020, 777, 139046. [Google Scholar] [CrossRef]
- Zhang, Y.; Huia, W.; Zhaoa, X.; Wang, C.; Cao, W.; Dong, H. Effect of reverted austenite fraction on hydrogen embrittlement of TRIP-aided medium Mn steel (0.1C-5Mn). Eng. Fail Anal. 2019, 97, 605–616. [Google Scholar] [CrossRef]
- Haldar, A.; Suwas, S.; Bhattacharjee, D. Microstructure and Texture in Steels and Other Materials; Springer: Jamshedpur, India, 2008; pp. 145–159. [Google Scholar] [CrossRef]
- Maalekian, M. The Effects of Alloying Elements on Steels (I), Institut für Werkstoffkunde; Technische Universität Graz: Graz, Austria, 2007. [Google Scholar]
- Tartaglia, J.M.; Kuelz, A.N.; Thelander, V.H. The Effects of alloying elements on the continuous cooling transformation behavior of 2¼ Cr-1Mo Steels. J. Mater. Eng. Perform. 2018, 27, 6349–6364. [Google Scholar] [CrossRef]
- Matjeke, V.J.; van der Merwe, J.W.; Vithi, N.L. Determination of Critical Transformation Temperatures for the Optimisation of Spring Steel Heat Treatment Processes. Metals 2021, 11, 1014. [Google Scholar] [CrossRef]
- Christina, H.; Florian, W.; Helmut, C.; Sophie, P. Morphology change of retained austenite during austempering of carbide-free bainitic steel. Mater. Sci. Eng. A 2016, 664, 1–31. [Google Scholar]
- Fonstein, N. Advanced High Strength Sheet Steels: Physical Metallurgy, Design, Processing, and Properties, 1st ed.; Springer International Publishing: Cham, Switzerland, 2015. [Google Scholar] [CrossRef] [Green Version]
- Zhu, R.; Li, S.; Karaman, I.; Arróyave, R.; Niendorf, T.; Maier, H.J. Multi-phase microstructure design of a low-alloy TRIP-assisted steel through a combined computational and experimental methodology. Acta Mater. 2012, 60, 3022–3033. [Google Scholar] [CrossRef]
- Adeva, P.; Garcés, G.; Medina, J.; Pérez, P. New Processing Routes for Nanostructuration of Light Alloys. Encycl. Mater. Met. Alloy. 2020, 1, 224–233. [Google Scholar] [CrossRef]








| Alloying Elements (wt.%) | UTS (MPa) | Ef (%) | Reference | |||||||||||||
|---|---|---|---|---|---|---|---|---|---|---|---|---|---|---|---|---|
| C | Mn | Si | Al | P | Cr | Nb | Ni | Cu | Mo | Ti | S | V | N | |||
| 0.2 | 6.1 | - | 1.6 | - | - | - | - | - | - | - | - | - | - | 1038 | 42.0 | [41] |
| 0.209 | 2.072 | 0.152 | 1.487 | - | - | - | - | - | - | - | - | 0.012 | - | 780 | 22.0 | [45] |
| 0.20 | 1.50 | - | 1.2 | 0.07 | - | - | - | - | - | - | - | - | - | 780 | 22.0 | [48] |
| 0.40 | 1.55 | - | 3.45 | - | - | - | - | - | - | - | - | - | - | 824 | 40.0 | [51] |
| 0.16 | 1.95 | 0.90 | 0.75 | 0.07 | 0.65 | 0.03 | 0.50 | 0.35 | 0.35 | 0.002 | 0.02 | 0.003 | 885 | 27.0 | [53] | |
| 0.16 | 1.95 | 0.90 | 0.75 | 0.07 | 0.65 | 0.03 | 0.50 | 0.35 | 0.35 | 0.002 | 0.02 | 0.003 | 980 | 25.0 | ||
| 0.16 | 1.95 | 0.90 | 0.75 | 0.07 | 0.65 | 0.03 | 0.50 | 0.35 | 0.35 | 0.002 | 0.02 | 0.003 | 1013 | 20.0 | ||
| 0.10 | 2.01 | 0.78 | 0.78 | - | - | 0.08 | 1.00 | 1.01 | 0.26 | - | - | - | - | 1178 | 17.0 | [55] |
| 0.14 | 1.7 | 0.6 | 0.46 | - | 0.4 | 0.3 | 0.42 | 0.26 | 0.3 | - | - | 0.002 | 1160 | 20.0 | [56] | |
| 0.19 | 1.76 | 0.30 | 1.52 | 0.012 | - | - | 0.007 | 0.007 | 0.003 | 0.002 | 0.004 | - | 800 | 35.0 | [57] | |
| 0.40 | 0.6 | 2.0 | - | - | 1.3 | 0.3 | - | - | - | - | - | - | - | 1035 | 15.0 | [58] |
| 0.20 | 1.50 | 2.0 | - | - | - | 0.06 | - | - | - | - | - | - | - | 859 | 34.0 | |
| 0.20 | 1.50 | 2.0 | - | - | - | 0.06 | - | - | - | - | - | - | - | 805 | 40.0 | |
| 0.20 | 1.50 | 0.60 | 1.40 | - | - | 0.06 | - | - | - | - | - | - | - | 832 | 38.0 | |
| 0.15 | 10.40 | 0.17 | 1.49 | - | - | - | - | - | - | - | - | - | - | 1126 | 32.0 | [59] |
| 0.17 | 3.30 | 0.22 | 1.70 | 0.010 | - | - | - | - | 0.23 | - | 0.014 | - | 0.0043 | 957 | 15.5 | [60] |
| 0.16 | 4.7 | 0.22 | 1.6 | 0.008 | - | - | - | - | 0.20 | - | 0.004 | - | 0.0039 | 1215 | 11.5 | |
| 0.27 | 11.1 | 1.37 | 1.49 | - | - | - | - | - | - | - | - | - | 0.018 | 1330 | 26.5 | [61] |
| 0.16 | 14.3 | 2.97 | 0.89 | - | - | - | - | - | - | - | - | - | 0.022 | 1370 | 33.7 | |
| 0.17 | 10.2 | 2.38 | 0.30 | - | - | - | - | - | - | - | - | - | 0.024 | 1400 | 34.1 | |
| 0.11 | 11.5 | 2.46 | 0.38 | - | - | - | - | - | - | - | - | - | 0.029 | 1300 | 27.5 | |
| 0.10 | 13.8 | 2.01 | 0.40 | - | - | - | - | - | - | - | - | - | 0.028 | 1320 | 24.8 | |
| 0.10 | 13.0 | 1.57 | 0.45 | - | - | - | - | - | - | - | - | - | 0.045 | 1450 | 27.7 | |
| 0.21 | 1.51 | 0.71 | 0.97 | - | 0.021 | 0.001 | - | 0.50 | 0.21 | 0.024 | - | 0.002 | 0.0025 | 887 | 22.0 | |
| 0.21 | 1.51 | 0.71 | 0.97 | - | 0.021 | 0.001 | - | 0.50 | 0.21 | 0.024 | - | 0.002 | 0.0025 | 939 | 24.0 | [62] |
| 0.21 | 1.51 | 0.71 | 0.97 | - | 0.021 | 0.001 | - | 0.50 | 0.21 | 0.024 | - | 0.002 | 0.0025 | 950 | 17.0 | |
| 0.20 | 1.54 | 0.72 | 1.00 | - | 0.018 | 0.043 | - | 0.50 | 0.21 | 0.023 | - | 0.002 | 0.0010 | 937 | 19.0 | |
| 0.20 | 1.54 | 0.72 | 1.00 | - | 0.018 | 0.043 | - | 0.50 | 0.21 | 0.023 | - | 0.002 | 0.0010 | 999 | 25.0 | |
| 0.20 | 1.54 | 0.72 | 1.00 | - | 0.018 | 0.043 | - | 0.50 | 0.21 | 0.023 | - | 0.002 | 0.0010 | 1050 | 19.0 | |
| 0.21 | 1.50 | 0.69 | 0.92 | - | 0.022 | 0.002 | - | 0.49 | 0.21 | 0.023 | - | 0.097 | 0.0045 | 956 | 18.0 | |
| 0.21 | 1.50 | 0.69 | 0.92 | - | 0.022 | 0.002 | - | 0.49 | 0.21 | 0.023 | - | 0.097 | 0.0045 | 975 | 20.0 | |
| 0.21 | 1.50 | 0.69 | 0.92 | - | 0.022 | 0.002 | - | 0.49 | 0.21 | 0.023 | - | 0.097 | 0.0045 | 1035 | 15.0 | |
| 0.18 | 10.24 | 1.00 | 2.78 | - | - | - | - | - | - | - | - | - | - | 1100 | 40.0 | [63] |
| 0.18 | 10.24 | 1.00 | 2.78 | - | - | - | - | - | - | - | - | - | - | 1250 | 35.0 | |
| 0.21 | 2.04 | 1.04 | 1.1 | 0.015 | - | 0.064 | - | - | 0.2 | 0.02 | - | - | 0.003 | 1040 | 27.9 | [64] |
| 0.36 | 1.1 | 0.38 | 4.1 | - | - | - | - | - | - | - | - | - | 902 | 32.0 | [65] | |
| 0.38 | 1.1 | 0.38 | 4.1 | - | - | 0.05 | - | - | - | 0.03 | - | - | - | 1003 | 31.5 | |
| 0.24 | 1.15 | 0.28 | 0.03 | - | 0.29 | - | - | - | - | 0.02 | - | - | - | 802 | 34.0 | [66] |
| 0.21 | 2.0 | 1.64 | - | 0.006 | - | 0.025 | - | - | - | 0.05 | 0.001 | - | - | 995 | 29.8 | [67] |
| 0.24 | 0.72 | 0.33 | - | 0.013 | 14.46 | - | 5.21 | 0.17 | 2.81 | - | 0.08 | - | 0.06 | 1644 | 15.0 | [68] |
| 0.24 | 0.72 | 0.33 | - | 0.013 | 14.46 | - | 5.21 | 0.17 | 2.81 | - | 0.08 | - | 0.06 | 1709 | 19.4 | |
| 0.1 | 5.0 | - | - | 0.005 | - | - | - | - | - | - | 0.002 | - | 0.005 | 870 | 26.0 | [69] |
| Elongation to Fracture (%) | Percentage Error (%) | Ultimate Tensile Strength (MPa) | Percentage Error (%) | |
|---|---|---|---|---|
| Model (Equations (2) and (3)) | 25 | - | 995 | - |
| Experimental-Steel IBT = 30 s | 25.3 | 1.18% | 1020 | 2.45 |
| Experimental-Steel IBT = 120 s | 21.5 | 16.27% | 1080 | 7.87 |
Publisher’s Note: MDPI stays neutral with regard to jurisdictional claims in published maps and institutional affiliations. |
© 2021 by the authors. Licensee MDPI, Basel, Switzerland. This article is an open access article distributed under the terms and conditions of the Creative Commons Attribution (CC BY) license (https://creativecommons.org/licenses/by/4.0/).
Share and Cite
Navarrete Pino, B.Y.; Torres Castillo, A.A.; Gutiérrez Castañeda, E.J.; Espinosa Zúñiga, L.A.; Hernández Hernández, L.; Salinas Rodríguez, A.; Deaquino Lara, R.; Saldaña Garcés, R.; Reyes Domínguez, I.A.; Aguilar Carrillo, J.; et al. Using Intercritical CCT Diagrams and Multiple Linear Regression for the Development of Low-Alloyed Advanced High-Strength Steels. Metals 2021, 11, 1768. https://doi.org/10.3390/met11111768
Navarrete Pino BY, Torres Castillo AA, Gutiérrez Castañeda EJ, Espinosa Zúñiga LA, Hernández Hernández L, Salinas Rodríguez A, Deaquino Lara R, Saldaña Garcés R, Reyes Domínguez IA, Aguilar Carrillo J, et al. Using Intercritical CCT Diagrams and Multiple Linear Regression for the Development of Low-Alloyed Advanced High-Strength Steels. Metals. 2021; 11(11):1768. https://doi.org/10.3390/met11111768
Chicago/Turabian StyleNavarrete Pino, Bryan Y., Antonio A. Torres Castillo, Emmanuel J. Gutiérrez Castañeda, Luis A. Espinosa Zúñiga, Lorena Hernández Hernández, Armando Salinas Rodríguez, Rogelio Deaquino Lara, Rocío Saldaña Garcés, Iván A. Reyes Domínguez, Javier Aguilar Carrillo, and et al. 2021. "Using Intercritical CCT Diagrams and Multiple Linear Regression for the Development of Low-Alloyed Advanced High-Strength Steels" Metals 11, no. 11: 1768. https://doi.org/10.3390/met11111768
APA StyleNavarrete Pino, B. Y., Torres Castillo, A. A., Gutiérrez Castañeda, E. J., Espinosa Zúñiga, L. A., Hernández Hernández, L., Salinas Rodríguez, A., Deaquino Lara, R., Saldaña Garcés, R., Reyes Domínguez, I. A., Aguilar Carrillo, J., Bedolla Jacuinde, A., Garay Reyes, C. G., & Martínez Sánchez, R. (2021). Using Intercritical CCT Diagrams and Multiple Linear Regression for the Development of Low-Alloyed Advanced High-Strength Steels. Metals, 11(11), 1768. https://doi.org/10.3390/met11111768

