Effect of Load Combinations on Distortional Behaviors of Simple-Span Steel Box Girder Bridges
Abstract
1. Introduction
2. Design Provisions for Box Girder Bridges
2.1. Design of Intermediate Diaphragm Spacing
2.2. Design Live Loads and Load Combinations
3. FEA
3.1. Overview of FEA
3.2. Parameters for FEA Models
3.3. Verification of FEA
3.4. Stiffness of Intermediate Diaphragms Used for FEA Models
3.5. Estimated Distortional Warping Normal Stresses and Normal Stress Ratios
4. Evaluation of Analysis Results
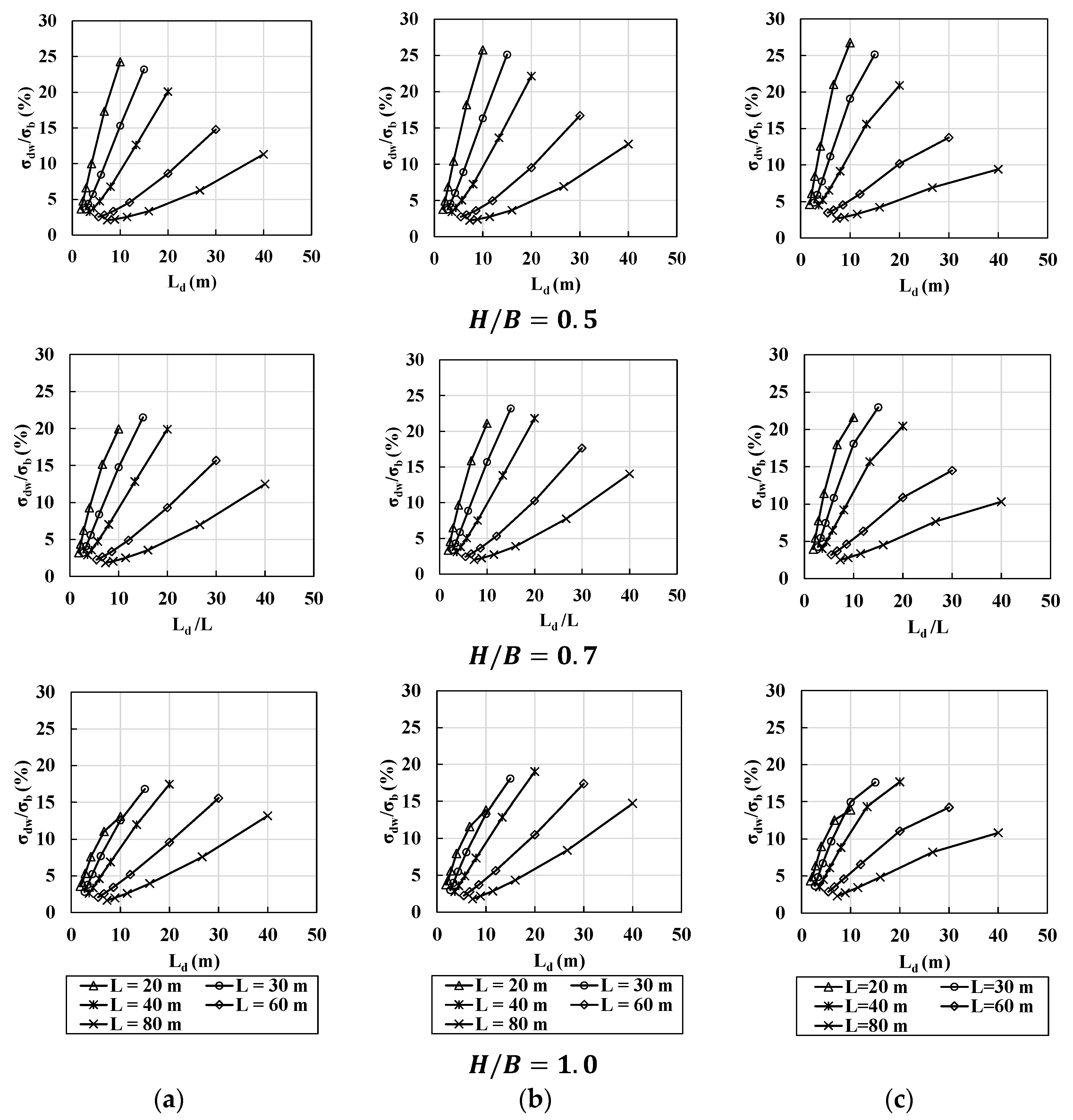
4.1. Distortional Warping Normal Stress Based on FEA Results
4.2. Effect of Load Combinations (LC) and Span Length (L)
4.3. Comparisons of Normal Stress Ratios () for Different Design Loads
4.4. Comparisons of Minimum Requirements of Diaphragms between Different Live Loads
5. Conclusions
- Based on literature reviews, it was revealed that the current bridge design codes stipulated various combinations of design live loads compared to the previous version of the bridge design codes. Therefore, this study conducted a series of parametric studies to evaluate the effects of the load combinations specified in the current bridge design codes on the distortional behaviors of box girder bridges.
- The distortional warping normal stress () developed in box girder sections is more significantly influenced by concentrated live loads (representing truck loads in the current design codes) than distributed lane loads. In short-span bridges, the distortional warping normal stress generated by truck loads can be considered the governing load combination.
- For relatively long-span bridges, the distortional warping normal stress () has similar values for both under the truck and the lane loads. The lane load effects are more significant in long-span bridges. Thus, the span () is a critical parameter for load combinations based on the FEA.
- In combined load cases, i.e., LC1 and LC2, the normal stress ratios () induced by the lane load have similar values, irrespective of the span, whereas those of the truck load are significantly influenced by the span. Hence, regarding the normal stress ratios, the truck loads are a controlling parameter with the and span for designing intermediate diaphragm spacings.
- Based on the analysis, the required intermediate diaphragm spacings specified in the Hanshin Guideline [5] and Korean Highway Bridge Design Code [26] can lead to a conservative design for determining the intermediate diaphragm spacing when the bridge span is longer than 30 or 40 m, depending on the normal stress ratio.
- The load combination effects can vary with the span, yielding sensitive design results in determining the intermediate diaphragm spacings. Therefore, various design live load combinations must be considered during the preliminary design phases to ensure the efficient design of intermediate diaphragms of the box girders.
- Although the load combinations specified in the current bridge design codes provided various combinations of design live loads, which influence the distortional behavior significantly, the importance of the live load combinations was not considered in the literature. Additionally, the distortional behavior of box girder bridges may be significantly influenced by the cross-sectional parameters. To consider the effects of load combinations and various design parameters, more efficient and accurate design methods should be provided in future works.
Author Contributions
Funding
Institutional Review Board Statement
Informed Consent Statement
Data Availability Statement
Conflicts of Interest
References
- Dabrowski, R. Curved Thin-Walled Girders. Theory and Analysis; Cement and Concrete Association: London, UK, 1968. [Google Scholar]
- Oleinik, J.C.; Heins, C.P. Diaphragms for Curved Box Beam Bridges. J. Struct. Div. ASCE 1975, 101, 2161–2178. [Google Scholar] [CrossRef]
- AASHTO. Guide Specifications for Horizontally Curved Highway Bridges; American Association of State Highway and Transportation: Washinton, DC, USA, 1993. [Google Scholar]
- Sakai, F.; Nagai, M. A recommendation on the design of intermediate diaphragms in steel box girder bridges. In Proceedings of the Japan Society of Civil Engineers; Japan Society of Civil Engineers: Tokyo, Japan, 1977; Volume 261, pp. 21–34. [Google Scholar]
- Steel Structure Study Committee of Hanshin Expressway Public Corporation. Guidelines for the Design of Horizontally Curved Girder Bridges; Hanshin Expressway Public Corporations: Japan, 1988. [Google Scholar]
- Nakai, N.; Yoo, C.H. Analysis and Design of Curved Steel Bridges; Mc Graw Hill Book Co., Inc.: New York, NY, USA, 1988. [Google Scholar]
- Nakai, H.; Murayama, Y. Distortional stress analysis and design aid for horizontally curved box girder bridges with diaphragms. Proc. Jpn. Soc. Civ. Eng. 1981, 309, 25–39. [Google Scholar] [CrossRef][Green Version]
- JRA. Japanese Specification for Designing of Highway Bridges; Japan, 1980. [Google Scholar]
- Park, N.H.; Lim, N.H.; Kang, Y.J. A consideration on intermediate diaphragm spacing in steel box girder birdges with a doubly symmetric section. Eng. Struct. 2003, 25, 1665–1674. [Google Scholar] [CrossRef]
- Park, N.H.; Choi, Y.J.; Kang, Y.J. Spacing of intermediate diaphragms in horizontally curved steel box girder bridges. Finite Elem. Anal. Des. 2005, 41, 925–943. [Google Scholar] [CrossRef]
- Usami, T.; Koh, S. Large displacement theory of thin-walled curved members and its application to lateral-torsional buckling analysis of circular arches. Int. J. Solids Struct. 1980, 16, 71–95. [Google Scholar] [CrossRef]
- Kang, Y.J.; Yoo, C.H. Thin-walled curved beams. 1. Formulation of nonlinear equtions. J. Eng. Mech. ASCE 1994, 120, 2072–2101. [Google Scholar] [CrossRef]
- Kang, Y.J.; Yoo, C.H. Thin-walled curved beams. 2. Analytical solutions for buckling of arches. J. Eng. Mech. ASCE 1994, 120, 2102–2125. [Google Scholar] [CrossRef]
- Park, N.H.; Yoon, K.Y.; Cho, S.K.; Kang, Y.J. Effective distortional stiffness ratio and spacing of intermediate diaphragms in steel box girder bridges. Int. J. Steel Struct. 2004, 4, 93–102. [Google Scholar]
- Park, N.H.; Kang, Y.J.; Kim, H.J. An independent distortional analysis method of thin-walled multicell box girders. Struct. Eng. Mech. 2005, 21, 275–293. [Google Scholar] [CrossRef]
- Park, N.H.; Choi, S.; Kang, Y.J. Exact distortional behavior and practical distortional analysis of multicell box girders using an expanded method. Comput. Struct. 2005, 83, 1607–1626. [Google Scholar] [CrossRef]
- Yoo, C.H.; Kang, J.S.; Kim, K.S. Stresses due to distortion on horizontally curved tub-girders. Eng. Struct. 2015, 87, 70–85. [Google Scholar] [CrossRef]
- Lee, J.; Lee, K.; Lim, J.H.; Choi, J.H.; Kang, Y.J. Spacing of intermediate diaphragms horizontally curved steel box girder bridges considering bending-distortional warping normal stress ratio. J. Korea Acad. Ind. Coop. Soc. 2015, 16, 6325–6332. [Google Scholar]
- Lee, J.; Lee, K.; Choi, J.; Kang, Y.J. Effect of cross-sectional shape of steel box girder on ditortion of cross-section and intermediate diaphragm spacings. J. Korean Soc. Steel Constr. 2019, 31, 1–12. [Google Scholar] [CrossRef]
- Zhang, Y.; Hou, Z.; Li, Y.; Wang, Y. Torsional behaviour of curved composite beams in construction stage and diaphragm effcts. J. Constr. Steel Res. 2015, 108, 1–10. [Google Scholar] [CrossRef]
- Ren, Y.; Cheng, W.; Wang, Y.; Wang, B. Analysis of the distortion of cantilever box girder with inner flexible diaphragms using initial parameter method. Thin-Walled Struct. 2017, 117, 140–154. [Google Scholar] [CrossRef]
- Li, L.; Zhou, C.; Wang, L. Distortion analysis of non-prismatic composite box girders with corrugated steel webs. J. Constr. Steel Res. 2018, 147, 74–86. [Google Scholar] [CrossRef]
- Lee, J.; Lee, K.; Choi, J.; Kang, Y.J. Intermediate diaphragm spacing for single-cell rectangular steel box girder bridges considering aspect-ratio. J. Constr. Steel Res. 2020, 168, 105877. [Google Scholar] [CrossRef]
- AASHTO. AASHTO LRFD Bridge Design Specifications, 9th ed.; American Association of Stae Highway Transportation: Washonton, DC, USA, 2020. [Google Scholar]
- KDS. KDS 24 14 31: 2016, Steel Bridge Design Specification (LRFD); Ministry of Land, Infrastrucure and Transportation: Sejong, Korea, 2016. [Google Scholar]
- KMLIT. Korean Highway Bridge Design Code; Ministry of Land, Infrastrucure and Transportation: Sejong, Korea, 2010. [Google Scholar]
- SIMULIA. ABAQUS Manual; Dassaut System Simulia Cop: Johnston, IA, USA, 2018. [Google Scholar]
- KMCT. Design Manual for Highway Bridges; Ministry of Land, Infrastrucure and Transportation: Sejong, Korea, 2008. [Google Scholar]




















| Reference | Design Live Load | Load Combination (LC) | Applied Load Cases (LC) in This Study | Impact Coefficient |
|---|---|---|---|---|
| AASHTO (2020) | Design truck: 72 kips Design tandem: 50 kips Design lane: 0.64 k/ft | (1) Design truck with variable axle spacing + lane (2) Design tandem + lane | LC1: Design truck + lane load | 0.33 |
| AASHTO (1993) | Concentrated load: 18 kips Design lane: 0.64 k/ft | (1) Combined load (Concentrated + lane loads) | - | 0.33 |
| KDS (2016) | Design truck: 510 kN Design lane
| (1) 100% design truck (2) 75% design truck + lane load | LC2: 75% design truck + lane load LC3: 100% design truck | 0.25 |
| KMLIT (2010) | Design truck: 423 kN Design lane
| (1) Design truck (2) Design lane | - | 15/(40 + L) ≤0.3 |
| L | H (=1/25L) | H/B | B | No. Diaphragms | tf | tw | tc |
|---|---|---|---|---|---|---|---|
| 20 | 0.8 | 0.5 | 1.6 | 1 2 4 6 8 10 | 0.03 | 0.012 | 0.2 |
| 30 | 1.2 | 2.4 | |||||
| 40 | 1.6 | 3.2 | |||||
| 60 | 2.4 | 4.8 | |||||
| 80 | 3.2 | 6.4 | |||||
| 20 | 0.8 | 0.7 | 1.2 | ||||
| 30 | 1.2 | 1.8 | |||||
| 40 | 1.6 | 2.4 | |||||
| 60 | 2.4 | 3.6 | |||||
| 80 | 3.2 | 4.8 | |||||
| 20 | 0.8 | 1.0 | 0.8 | ||||
| 30 | 1.2 | 1.2 | |||||
| 40 | 1.6 | 1.6 | |||||
| 60 | 2.4 | 2.4 | |||||
| 80 | 3.2 | 3.2 |
| σdw/σb | H/B | L | Ld, req | ||
|---|---|---|---|---|---|
| LC1 | LC2 | LC3 | |||
| 5% | 0.5 | 20 | 2.3 | 2.2 | 2.0 |
| 30 | 3.7 | 3.6 | 2.9 | ||
| 40 | 5.9 | 5.5 | 4.3 | ||
| 60 | 12.7 | 11.7 | 9.1 | ||
| 80 | 22.7 | 20.8 | 18.8 | ||
| 0.7 | 20 | 2.2 | 2.2 | 1.9 | |
| 30 | 3.7 | 3.6 | 2.9 | ||
| 40 | 6.0 | 5.8 | 4.2 | ||
| 60 | 12.1 | 11.2 | 9.0 | ||
| 80 | 21.0 | 19.4 | 17.0 | ||
| 1.0 | 20 | 2.6 | 2.5 | 2.2 | |
| 30 | 4.1 | 4.0 | 3.4 | ||
| 40 | 6.1 | 5.8 | 4.8 | ||
| 60 | 11.7 | 10.9 | 9.2 | ||
| 10% | 0.5 | 80 | 19.4 | 18.0 | 16.6 |
| 20 | 4.0 | 3.8 | 3.2 | ||
| 30 | 6.8 | 6.5 | 5.2 | ||
| 40 | 11.1 | 10.4 | 8.4 | ||
| 60 | 22.7 | 20.9 | 20.4 | ||
| 80 | 37.1 | 34.2 | 43.0 | ||
| 0.7 | 20 | 4.3 | 4.1 | 3.5 | |
| 30 | 7.0 | 6.6 | 5.4 | ||
| 40 | 10.8 | 10.1 | 8.4 | ||
| 60 | 21.3 | 19.7 | 18.8 | ||
| 80 | 34.6 | 32.1 | 38.1 | ||
| 1.0 | 20 | 5.7 | 5.4 | 4.7 | |
| 30 | 7.8 | 7.3 | 6.2 | ||
| 40 | 11.2 | 10.6 | 9.0 | ||
| 60 | 20.6 | 19.2 | 18.1 | ||
| 80 | 32.4 | 30.2 | 31.8 | ||
Publisher’s Note: MDPI stays neutral with regard to jurisdictional claims in published maps and institutional affiliations. |
© 2021 by the authors. Licensee MDPI, Basel, Switzerland. This article is an open access article distributed under the terms and conditions of the Creative Commons Attribution (CC BY) license (https://creativecommons.org/licenses/by/4.0/).
Share and Cite
Lee, J.; Kim, H.; Lee, K.; Kang, Y.-J. Effect of Load Combinations on Distortional Behaviors of Simple-Span Steel Box Girder Bridges. Metals 2021, 11, 1238. https://doi.org/10.3390/met11081238
Lee J, Kim H, Lee K, Kang Y-J. Effect of Load Combinations on Distortional Behaviors of Simple-Span Steel Box Girder Bridges. Metals. 2021; 11(8):1238. https://doi.org/10.3390/met11081238
Chicago/Turabian StyleLee, Jeonghwa, Heesoo Kim, Keesei Lee, and Young-Jong Kang. 2021. "Effect of Load Combinations on Distortional Behaviors of Simple-Span Steel Box Girder Bridges" Metals 11, no. 8: 1238. https://doi.org/10.3390/met11081238
APA StyleLee, J., Kim, H., Lee, K., & Kang, Y.-J. (2021). Effect of Load Combinations on Distortional Behaviors of Simple-Span Steel Box Girder Bridges. Metals, 11(8), 1238. https://doi.org/10.3390/met11081238

