De-Ironing of Aluminium Alloy Melts by High Shear Melt Conditioning Technology: An Overview
Abstract
1. Introduction
2. Methodology
2.1. Aluminium Alloy Analysis by Thermodynamic Modelling
2.2. The High Shear Melt Conditioning Technology Setup for De-Ironing
3. Results and Discussion
3.1. Theoretical Prediction of Fe-IMC Formation by Pandat Phase Diagram Analysis
3.1.1. The Effect of Fe Accumulation in the A380 Aluminium Alloy
3.1.2. The Effect of Mn Additions on an Fe Contaminated A380 Aluminium Alloy
3.2. Experimental Assessment of Fe-IMC Formation
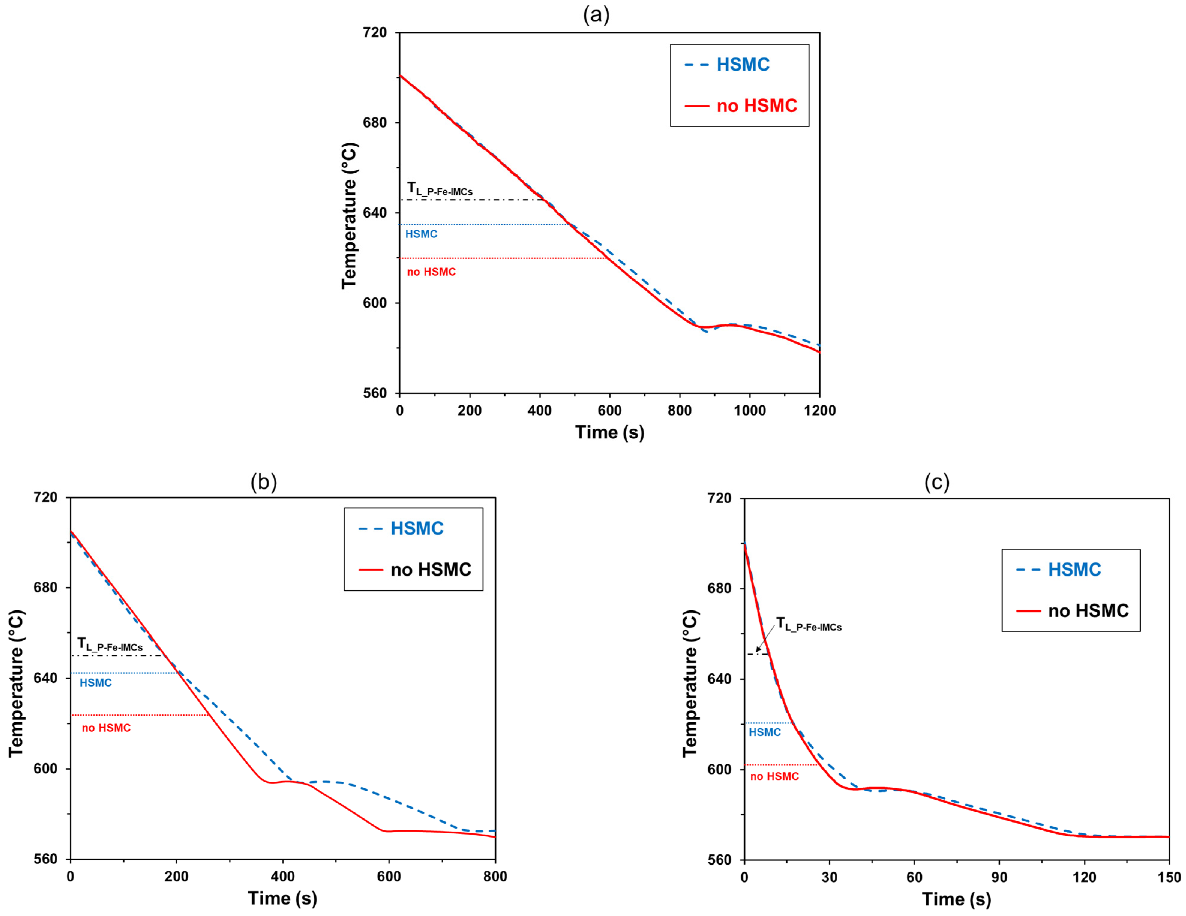
3.2.1. Effect of HSMC on the Nucleation Kinetics
3.2.2. Effect of HSMC on the Size and Shape of Fe-IMC
3.3. Effect of HSMC on the Sedimentation of the P-Fe-IMCs
3.3.1. Effect during Direct Solidification to Room Temperature
3.3.2. Effect during Holding at Constant Temperature in the Liquid
3.4. Implementation of HSMC De-Ironing in Continuous In-Line Processing
4. Conclusions
- -
- The precipitation method is only practical for high Si aluminium cast alloys because of their easy tendency to form P-Fe-IMCs within, or slightly above, the alloy specifications. The extension to other alloy systems would first require an increment of the limits for Fe, Si and Mn in the alloy specifications.
- -
- The use of CALPHAD tools is essential to accurately predict the potential Fe removal from the contaminated aluminium melts and to estimate the operating temperature windows to achieve the best results.
- -
- The Fe level in a contaminated A380 alloy can be theoretically reduced to ~1%Fe without the need of added Mn and regardless of the initial Fe content. However, if lower Fe levels are required, the use of Mn becomes necessary and can easily control the expected final Fe level in the purified melt.
- -
- The precipitation and sedimentation of P-Fe-IMCs is a slow process which requires either a very slow cooling rate or long holding times to be effective.
- -
- The HSMC technology before cooling enhances the formation of the primary Fe-rich intermetallics by reducing their undercooling, regardless of the cooling conditions. This produces an earlier sedimentation of the intermetallic particles in the melt during cooling and it is more practical for industry because it can reduce processing times and increase productivity.
- -
- Moreover, the Fe-rich primary intermetallics produced after HSMC are more compact, something that facilitates their movement in the liquid aluminium and promotes a faster sedimentation.
- -
- The HSMC technology is still at laboratory scale and limited to small amounts of melt, but ongoing research is focus on improving the applicability to large melts.
- -
- Initial scale-up tests with the technology have demonstrated its feasibility for the continuous melt treatment of contaminated aluminum melts with a ~60% purification efficiency, which is below the ~90% efficiency obtained in batch. Further development is currently in progress to improve process efficiency.
- -
- As a melt conditioning technology, the technology can also be used combined with other existing separation techniques (centrifugal, filtration, EM separation, etc.), therefore increasing the overall iron removal rate and efficiency.
5. Patents
Author Contributions
Funding
Institutional Review Board Statement
Informed Consent Statement
Data Availability Statement
Acknowledgments
Conflicts of Interest
References
- Mondolfo, L.F. Aluminium Alloys: Structure and Properties; Butterworth-Heinemann: Oxford, UK, 1976. [Google Scholar] [CrossRef]
- Lumley, R.N. Fundamentals of Aluminium Metallurgy: Recent Advances; Woodhead Publishing: Melbourne, Australia, 2018. [Google Scholar] [CrossRef]
- Polmear, I.J. Light Alloys Metallurgy of the Light Metals; Butterworth Heinemann: Oxford, UK, 1995. [Google Scholar]
- Green, J.A.S. Aluminum Recycling and Processing for Energy Conservation and Sustainability; ASM International: Materials Park, OH, USA, 2007. [Google Scholar]
- Zhang, L.; Gao, J.; Damoah, L.N.W.; Robertson, D.G. Removal of iron from aluminum: A review. Miner. Process. Extr. Metall. Rev. Int. J. 2012, 33, 99–157. [Google Scholar] [CrossRef]
- Ji, S.; Yang, W.; Gao, F.; Watson, D.; Fan, Z. Effect of iron on the microstructure and mechanical property of Al–Mg–Si–Mn and Al–Mg–Si diecast alloys. Mater. Sci. Eng. A 2013, 564, 130–139. [Google Scholar] [CrossRef]
- Al-Helal, K.; Patel, J.B.; Fan, Z. Fe-rich Intermetallic Formation and Mechanical Properties of Recycled AA6111 Alloy Strips Produced by Melt Conditioning Twin Roll Casting. JOM 2020, 72, 3753–3759. [Google Scholar] [CrossRef]
- Chmielewski, T.; Chmielewski, M.; Piatkowska, A.; Grabias, A.; Skowronska, B.; Siwek, P. Phase Structure Evolution of the Fe-Al Arc-Sprayed Coating Stimulated by Annealing. Materials 2021, 14, 3210. [Google Scholar] [CrossRef]
- Dhindaw, B.K.; Aditya, G.S.L.; Mandal, A. Recycling and Downstream Processing of Aluminium Alloys for Automotive Applications. Encycl. Renew. Sustain. Mater. 2020, 3, 154–161. [Google Scholar] [CrossRef]
- Zhang, L.; Damoah, L.N. Current Technologies for the Removal of Iron from Aluminum Alloys. In Essential Readings in Light Metals; Grandfield, J.F., Eskin, D.G., Eds.; Springer: Cham, Switzerland, 2016. [Google Scholar] [CrossRef]
- Cao, X.; Campbell, J. Precipitation of primary intermetallic compounds in liquid Al-11.5Si-0.4Mg alloy. Int. J. Cast Met. Res. 2000, 13, 175–184. [Google Scholar] [CrossRef]
- De Moraes, H.L.; De Oliveira, J.R.; Espinosa, D.C.R.; Tenorio, J.A.S. Removal of iron from molten recycled aluminum through intermediate phase filtration. Mater. Trans. 2006, 47, 1731–1736. [Google Scholar] [CrossRef]
- Matsubara, H.; Izawa, N.; Nakanishi, M. Macroscopic segregation in Al-11mass% Si alloy containing 2 mass% Fe solidified under centrifugal force. J. Jpn. Inst. Light Met. 1998, 48, 93–97. [Google Scholar] [CrossRef]
- Li, T.X.; Xu, Z.M.; Sun, B.D.; Shu, D.; Zhou, Y.H. Electromagnetic separation of primary iron-rich phases from aluminum-silicon melt. Trans. Nonferrous Met. Soc. China 2003, 13, 121–125. [Google Scholar]
- Lu, H.; Yuan, W.; Xu, C.; Liu, Z.; Wu, B.; Zhang, Y. The development of 65KA three-layer electrolysis cell for refining of aluminium. Light Met. 2004, 303–305. [Google Scholar]
- Guo, L.; Wen, X.; Bao, Q.; Guo, Z. Removal of Tramp elements within 7075 Alloy by Super-Gravity Aided Rheorefining Method. Metals 2018, 8, 701. [Google Scholar] [CrossRef]
- Venditti, S.; Eskin, D.; Jacot, A. Fractional Solidification for Purification of Recycled Aluminium Alloys. In Light Metals; Springer: Cham, Switzerland, 2020; pp. 1110–1118. [Google Scholar] [CrossRef]
- Mohanty, B.P.; Subramanian, S.; Hajra, J.P. Electroslag refining of commercial aluminium. Trans. Indian Inst. Met. 1986, 39, 646–651. [Google Scholar]
- Wang, J.; Chen, C.; Sun, B. Effects of Electroslag Refining on Removal of Iron Impurity and Alumina Inclusions from Aluminum. In ICAA13 Pittsburgh, Proceedings of the 13th International Aluminium Alloys Conference on Aluminum Alloys (ICAA13), Pittsburgh, PA, USA, 3–7 June 2012; Springer: Cham, Switzerland; Volume 13, pp. 207–212. [CrossRef]
- Gao, J.W.; Shu, D.; Wang, J.; Sun, B.D. Effects of Na2B4O7 on the elimination of iron from aluminium melt. Scr. Mater. 2007, 57, 197–200. [Google Scholar] [CrossRef]
- Flores, V.A.; Sukiennik, M.; Castillejos, E.A.H.; Acosta, G.F.A.; Escobedo, B.J.C. A kinetic study on the nucleation and growth of the Al8FeMnSi2 intermetallic compound for aluminum scrap purification. Intermetallics 1998, 6, 217–227. [Google Scholar] [CrossRef]
- Khalifa, W.; Samuel, F.H.; Gruzleski, J.E.; Doty, H.W.; Valtierra, S. Nucleation of Fe-Intermetallic Phases in the Al-Si-Fe alloys. Metall. Mater. Trans. A 2005, 36, 1017–1032. [Google Scholar] [CrossRef]
- Serak, J.; Vojtech, D.; Novak, P.; Sefl, V. Decrease of iron contents in AlSiCuMgFe alloys. In Proceedings of the 17th International Conference on Metallurgy and Materials (METAL 2008), Hradec nad Moravici, Czech Republic, 13–15 May 2008; pp. 1–6. [Google Scholar]
- Cao, X.; Campbell, J. The nucleation of Fe-rich phases on oxide films in Al-11.5Si-0.4Mg cast alloys. Metall. Mater. Trans. A 2003, 34, 1409–1420. [Google Scholar] [CrossRef]
- Cao, X.; Campbell, J. The solidification characteristics of Fe-rich intermetallics in Al-11.5Si-0.4Mg cast alloys. Metall. Mater. Trans. A 2004, 35, 1425–1435. [Google Scholar] [CrossRef]
- Orozco-González, P.; Castro-Roman, M.; Maldonado-Ruiz, S.; Haro-Rodriguez, S.; Equihua-Guillen, F.; Muniz-Valdez, R.; Luna-Alvarez, S.; Montoya-Davila, M.; Hernandez-Rodriguez, A. Nucleation of Fe-Rich Intermetallic Phases on α-Al2O3 Oxide Films in Al-Si Alloys. J. Miner. Mater. Charact. Eng. 2015, 3, 15–25. [Google Scholar] [CrossRef][Green Version]
- Cao, X.; Saunders, N.; Campbell, J. Effect of iron and manganese contents on convection-free precipitation and sedimentation of primary-Al(FeMn)Si phase in liquid Al-11.5Si-0.4Mg alloy. J. Mater. Sci. 2004, 39, 2303–2314. [Google Scholar] [CrossRef]
- Ferraro, S.; Fabrizi, A.; Timelli, G. Evolution of sludge particles in secondary die-cast aluminium alloys as function of Fe, Mn and Cr content. Mater. Chem. Phys. 2015, 153, 168–179. [Google Scholar] [CrossRef]
- Wagner, R.; Seleznev, M.; Fischer, H.; Ditscherlein, R.; Becker, H.; Dietrich, B.G.; Keßler, A.; Leißner, T.; Wolf, G.; Leineweber, A.; et al. Impact of melt conditioning and filtration on iron-rich ß phase in AlSi9Cu3 and its fatigue life studied by µCT. Mater. Charact. 2021, 174, 111039. [Google Scholar] [CrossRef]
- Timelli, G.; Capuzzi, S.; Fabrizi, A. Precipitation of primary Fe-rich compounds in secondary AlSi9Cu3(Fe) alloys. J. Therm. Anal. Calorim. 2016, 123, 249–262. [Google Scholar] [CrossRef]
- Ji, S.; Gao, F.; Fan, Z. Thermodynamics Calculation of Extra Mn Addition in the Recycling of Al-Si-Cu Aluminium alloys. Mater. Sci. Forum 2016, 877, 33–38. [Google Scholar] [CrossRef]
- Fan, Z.; Zuo, Y.B.; Jiang, B. A New Technology for Treating Liquid Metals with Intensive Melt Shearing. Mater. Sci. Forum 2011, 690, 141–144. [Google Scholar] [CrossRef]
- Fan, Z.; Zuo, Y.B.; Jiang, B. Apparatus and Method for Liquid Metals Treatment. WO Patent 2012035357 A1, 22 March 2012. [Google Scholar]
- Fan, Z.; Ji, S.; Stone, I. Purifying and Alloy Melt. WO Patent 2016146980 A1, 22 September 2016. [Google Scholar]
- Tong, M.; Jagarlapudi, S.C.; Patel, J.B.; Stone, I.C.; Fan, Z.; Browne, D.J. Computational prediction of the refinement of oxide agglomerates in a physical conditioning process for molten aluminium alloy. In Proceedings of the IOP Conf. Series: Materials Science and Engineering, Hyogo, Japan, 21–26 June 2015; Volume 84, p. 012092. [Google Scholar] [CrossRef]
- Dybalska, A.; Eskin, D.G.; Patel, J.B. Optimal Stator Design for Oxide Films Shearing Found by Physical Modelling. In Materials Processing Fundamentals; Springer: Cham, Switzerland, 2019; pp. 181–192. [Google Scholar] [CrossRef]
- Li, H.T.; Ji, S.; Wang, Y.; Xia, M.; Fan, Z. Effect of intensive melt shearing on the formation of Fe-containing intermetallics in LM24 Al-alloy. In Proceedings of the IOP Conf. Series: Materials Science and Engineering, Kerkrade, The Netherlands, 7–10 June 2011; Volume 27, p. 012075. [Google Scholar] [CrossRef]
- Chen, S.L.; Daniel, S.; Zhang, F.; Chang, Y.A.; Yan, X.Y.; Xie, F.Y.; Schmid-Fetzer, R.; Oatsed, W.A. The PANDAT software package and its applications. Calphad 2002, 26, 175–188. [Google Scholar] [CrossRef]
- Pandat with Pan Al Database Version 2021. Available online: www.computherm.com (accessed on 6 September 2022).
- Das, S.K. Designing Aluminium Alloys for a Recycling Friendly World. Mater. Sci. Forum 2006, 519–521, 1239–1244. [Google Scholar] [CrossRef]
- Khalifa, W.; Samual, F.H.; Gruzleski, J.E. Iron intermetallic phases in the Al corner of the Al-Si-Fe system. Metall. Mater. Trans. A 2003, 34, 807–825. [Google Scholar] [CrossRef]
- Basak, C.B.; Haribabu, H. Morphological changes and segregation of β-Al9Fe2Si2 phase: A perspective from better recyclability of cast Al-Si alloys. Mater. Des. 2016, 108, 277–288. [Google Scholar] [CrossRef]
- Shabestari, S.G. The effect of iron and manganese on the formation of intermetallic compounds in aluminum–silicon alloys. Mater. Sci. Eng. A 2004, 383, 289–298. [Google Scholar] [CrossRef]
- Yang, W.; Gao, F.; Ji, S. Formation and sedimentation of Fe-rich intermetallics in Al-Si-Cu-Fe alloy. Trans. Nonferrous Met. Soc. China 2015, 25, 1704–1714. [Google Scholar] [CrossRef]
- Lazaro-Nebreda, J.; Patel, J.B.; Stone, I.; Scamans, G.M.; Fan, Z. De-Ironing of Aluminium Scrap by High Shear Melt Conditioning Technology. In Proceedings of the 6th Decennial International Conference on Solidification Processing (SP17), Windsor, UK, 25–28 July 2017; pp. 601–604. [Google Scholar]
- Lazaro-Nebreda, J.; Patel, J.B.; Scamans, G.M.; Fan, Z. Multi-purpose high shear melt conditioning technology for effective melt quality and for recycling of Al-alloy scrap. In Proceedings of the 16th International Aluminium Alloys Conference on Aluminum Alloys (ICAA16), Montreal, QC, Canada, 17–21 June 2018; p. 401623. [Google Scholar]
- Scamans, G.M.; Li, H.T.; Lazaro-Nebreda, J.; Patel, J.B.; Stone, I.; Wang, Y.; Yang, X.; Fan, Z. Chapter 8—Advanced Casting Technologies Using High Shear Melt Conditioning. In Fundamentals of Aluminium Metallurgy; Woodhead Publishing: Cambridge, UK, 2018; pp. 249–277. [Google Scholar] [CrossRef]
- Lazaro-Nebreda, J.; Patel, J.B.; Chang, I.T.H.; Stone, I.C.; Fan, Z. Solidification processing of scrap Al-alloys containing high levels of Fe. In Proceedings of the IOP Conference Series: Materials Science and Engineering, Salzburg, Austria, 17–21 June 2019; Volume 529, p. 012059. [Google Scholar] [CrossRef]
- Al-Helal, K.; Lazaro-Nebreda, J.; Patel, J.B.; Scamans, G.M. High-Shear De-Gassing and De-Ironing of an Aluminum Casting Alloy Made Directly from Aluminum End-of-Life Vehicle Scrap. Recycling 2021, 6, 66. [Google Scholar] [CrossRef]
- Tong, M.; Patel, J.B.; Stone, I.; Fan, Z.; Browne, D.J. Identification of key liquid metal flow features in the physical conditioning of molten aluminium alloy with high shear processing. Comput. Mater. Sci. 2017, 131, 35–43. [Google Scholar] [CrossRef]
- Tong, M.; Patel, J.B.; Stone, I.; Fan, Z.; Browne, D.J. The Scale-Up of High Shear Processing for the Purification of Recycled Molten Scrap Aluminium Alloy: Key Features of Fluid Flow. In Light Metals; Springer: Cham, Switzerland, 2017; pp. 1123–1129. [Google Scholar] [CrossRef]
- Dybalska, A.; Eskin, D.G.; Patel, J.B. Validation of the Physical Simulations of a Stirred Molten Metal Using Particle Image Velocimetry Data. JOM 2018, 70, 1256–1260. [Google Scholar] [CrossRef]
- Lazaro-Nebreda, J.; Patel, J.B.; Fan, Z. Improved degassing efficiency and mechanical properties of A356 aluminium alloy castings by high shear melt conditioning (HSMC) technology. J. Mater. Process. Technol. 2021, 294, 117146. [Google Scholar] [CrossRef]
- Dybalska, A.; Eskin, D.; Patel, J.B. Evaluation of Shearing Time Sufficient for Effective Liquid Metal Processing. JOM 2017, 69, 720–724. [Google Scholar] [CrossRef]
- Hakansson, A. Rotor-Stator mixers: From batch to continuous mode of operation-A review. Processes 2018, 6, 32. [Google Scholar] [CrossRef]
- Lebon, G.S.B.; Lazaro-Nebreda, J.; Patel, J.B.; Fan, Z. Numerical Assessment of In-Line Rotor–Stator Mixers in High-Shear Melt Conditioning (HSMC) Technology. JOM 2020, 72, 4092–4100. [Google Scholar] [CrossRef]
- Cinkilic, E.; Ridgeway, C.D.; Yan, X.; Luo, A.A. A Formation Map of Iron-Containing Intermetallic Phases in Recycled Cast Aluminium Alloys. Metall. Mater. Trans. A 2019, 50, 5945–5956. [Google Scholar] [CrossRef]
- Song, D.; Zhao, Y.; Jia, Y.; Li, R.; Zhou, N.; Zheng, K.; Fu, Y.; Zhang, W. Study of the evolution mechanisms of Fe-rich phases in Al-Si-Fe alloys with Mn modification using synchrotron X-ray imaging. J. Alloys Compd. 2022, 915, 165378. [Google Scholar] [CrossRef]
- Song, D.; Zhao, Y.; Wang, Z.; Jia, Y.; Huang, H.; Zhang, D.; Zhang, W. Effect of Mn/Fe ratio on Fe removal efficiency and tensile ductility of and Al-7.0Si-2.4Fe alloy. J. Mater. Res. 2021, 36, 1357–1366. [Google Scholar] [CrossRef]
- Cinkilic, E.; Moodispaw, M.; Zhang, J.; Miao, J.; Luo, A.A. A New Recycled Al-Si-Mg Alloy for Sustainable Structural Die Casting Applications. Metall. Mater. Trans. A 2022, 53, 2861–2873. [Google Scholar] [CrossRef]
- Gnatko, M.; Li, C.; Arnold, A.; Friedrich, B. Purification of Aluminium Cast Alloy Melts through Precipitation of Fe-Containing Intermetallic Compounds. Metals 2018, 8, 796. [Google Scholar] [CrossRef]
- Que, Z.; Wang, Y.; Fan, Z. Formation of the Fe-containing intermetallic compounds during solidification of Al-5Mg-2Si-0.7Mn-1.1Fe alloy. Mater. Metall. Trans. A 2018, 49, 2173–2181. [Google Scholar] [CrossRef]
- Men, H.; Jiang, B.; Fan, Z. Mechanisms of grain refinement by intensive shearing of AZ91 alloy melt. Acta Mater. 2010, 58, 6526–6534. [Google Scholar] [CrossRef]
- Liu, Y.; Huang, G.; Sun, Y.; Zhang, L.; Huang, Z.; Wang, J.; Liu, C. Effect of Mn and Fe on the formation of Fe-rich intermetallics in Al-5Mg-Mn alloys solidified under rapid cooling. Materials 2016, 9, 88. [Google Scholar] [CrossRef]
- Gyarmati, G.; Bubonyi, T.; Fegyverneki, G.; Tokar, M.; Mende, T. Interactions of primary intermetallic compound particles and double oxide films in liquid aluminium alloys. Intermetallics 2022, 149, 107681. [Google Scholar] [CrossRef]
- Feng, S.; Liotti, E.; Lui, A.; Wilson, M.D.; Grant, P. Nucleation bursts of primary intermetallic crystals in a liquid Al alloy studied using in situ synchrotron X-ray radiography. Acta Materialia 2021, 221, 117389. [Google Scholar] [CrossRef]
- Bjunrenstedt, A.; Casari, D.; Seifeddine, S.; Mathiesen, R.H.; Dahle, A.K. In-situ study of morphology and growth of primary α-Al(FeMnCr)Si intermetallics in an Al-Si alloy. Acta Mater. 2017, 130, 1–9. [Google Scholar] [CrossRef]
- Gaustad, G.; Olivetti, E.; Kirchain, R. Improving aluminum recycling: A survey of sorting and impurity removal technologies. Resour. Conserv. Recycl. 2012, 58, 79–87. [Google Scholar] [CrossRef]
- Peng, L.; Zeng, G.; Su, T.U.; Yasuda, H.; Nogita, K.; Gourlay, C.M. Al8Mn5 Particle Settling and Interactions with Oxide Films in Liquid AZ91 Manesium Alloys. JOM 2019, 71, 2235–2244. [Google Scholar] [CrossRef]
- Rogler, J.P.; Heaslip, L.J.; Mehrvar, M. Inclusion removal in a tundish by gas bubbling. Can. Metall. Q. 2004, 43, 407–415. [Google Scholar] [CrossRef]











| Alloy | Min %Fe to Form P-Fe-IMCs | Max %Fe Allowed in the Alloy |
|---|---|---|
| 6082 | 1.15 | 0.5 |
| 5182 | 0.85 | 0.35 |
| 6016 | 1.25 | 0.5 |
| A380 | 0.35 | 1.2 |
| Alloy | Si | Fe | Mn | Cu | Mg | Zn |
|---|---|---|---|---|---|---|
| A380 spec | 7.5–9.5 | <1.3 | <0.5 | 3.0–4.0 | <0.1 | <3.0 |
| Alloy 1 | 8.22 | 2.05 | 0.22 | 3.32 | 0.06 | 1.93 |
| Alloy 2 | 8.31 | 0.98 | 1.04 | 3.46 | 0.05 | 1.97 |
Publisher’s Note: MDPI stays neutral with regard to jurisdictional claims in published maps and institutional affiliations. |
© 2022 by the authors. Licensee MDPI, Basel, Switzerland. This article is an open access article distributed under the terms and conditions of the Creative Commons Attribution (CC BY) license (https://creativecommons.org/licenses/by/4.0/).
Share and Cite
Lazaro-Nebreda, J.; Patel, J.B.; Al-Helal, K.; Gao, F.; Stone, I.; Chang, I.T.H.; Scamans, G.M.; Fan, Z. De-Ironing of Aluminium Alloy Melts by High Shear Melt Conditioning Technology: An Overview. Metals 2022, 12, 1579. https://doi.org/10.3390/met12101579
Lazaro-Nebreda J, Patel JB, Al-Helal K, Gao F, Stone I, Chang ITH, Scamans GM, Fan Z. De-Ironing of Aluminium Alloy Melts by High Shear Melt Conditioning Technology: An Overview. Metals. 2022; 12(10):1579. https://doi.org/10.3390/met12101579
Chicago/Turabian StyleLazaro-Nebreda, Jaime, Jayesh B. Patel, Kawther Al-Helal, Feng Gao, Ian Stone, Isaac T. H. Chang, Geoff M. Scamans, and Zhongyun Fan. 2022. "De-Ironing of Aluminium Alloy Melts by High Shear Melt Conditioning Technology: An Overview" Metals 12, no. 10: 1579. https://doi.org/10.3390/met12101579
APA StyleLazaro-Nebreda, J., Patel, J. B., Al-Helal, K., Gao, F., Stone, I., Chang, I. T. H., Scamans, G. M., & Fan, Z. (2022). De-Ironing of Aluminium Alloy Melts by High Shear Melt Conditioning Technology: An Overview. Metals, 12(10), 1579. https://doi.org/10.3390/met12101579

