Next Article in Journal
Evaluation of Tannins as Potential Green Corrosion Inhibitors of Aluminium Alloy Used in Aeronautical Industry
Previous Article in Journal
Experimental and Numerical Simulation of the Dynamic Response of a Stiffened Panel Suffering the Impact of an Ice Indenter
 
 
Font Type:
Arial Georgia Verdana
Font Size:
Aa Aa Aa
Line Spacing:
Column Width:
Background:
Article

Influence of Carbon and Oxygen on the Core Structure and Peierls Stress of Screw Dislocation in Molybdenum

1
Department of Physics, Beihang University, Beijing 100191, China
2
Beijing Key Laboratory of Advanced Nuclear Materials and Physics, Beihang University, Beijing 100191, China
*
Authors to whom correspondence should be addressed.
Metals 2022, 12(3), 507; https://doi.org/10.3390/met12030507
Submission received: 10 February 2022 / Revised: 9 March 2022 / Accepted: 14 March 2022 / Published: 16 March 2022
(This article belongs to the Section Computation and Simulation on Metals)

Abstract

:
The plasticity and hardness of metals are largely dependent on how dislocation interacts with solute atoms. Here, taking bcc molybdenum (Mo) as the example, the interaction of interstitial solutes carbon (C) and oxygen (O) with screw dislocation, and their influences on the dislocation motion, have been determined using first-principles calculations and thermodynamic models. Due to the incompact atomic structure and variation of electronic states in the dislocation core, C and O will segregate from the bulk system to the dislocation region. Notably, the presence of C/O at the dislocation induces the reconstruction of the core structure, from an easy-core to hard-core configuration. This originates from the fact that the hard-core structure provides a larger available volume at the interstitial site than the easy-core structure and, thus, facilitates the dissolution of C and O. More importantly, the addition of C/O in the dislocation significantly increases the Peierls stresses and double-kink formation enthalpies of screw dislocation in Mo, from 1.91 GPa and 1.18 eV for C/O-free dislocation to 5.63/4.69 GPa and 1.77/1.58 eV for C/O-saturated dislocation. Therefore, these interstitial solutes have a pinning effect on the dislocation motion, and this effect becomes stronger with higher segregating levels. This work reveals the profound effect of interstitial solutes on the properties of the dislocation core and provides a fundamental factor to account for the interstitial solutes-related phenomena in bcc metals.

1. Introduction

The body-centered cubic (bcc) refractory metals are of prominent importance for many potential applications in nuclear energy, aerospace and metallurgy, owing to their high melting temperature, corrosion resistance and excellent strength [1,2,3]. However, these metals typically display brittleness and poor formability at room temperature, which severely limits their practical application. Ordinarily, the low plasticity of bcc metals at low-to-intermediate temperatures should be rationalized by the substantially low mobility of 1/2<111> screw dislocation [4,5,6]. Thus, in order to improve the ductility of refractory metals, great efforts have been made to explore the influence of alloying elements on the glide of 1/2<111> screw dislocation [7,8,9,10]. For example, it has long been recognized that the addition of rhenium effectively reduces the brittleness of bcc metals, known as the “Re ductilizing effect”, which can be attributed to the promoting effect of Re on the mobility of screw dislocation [11,12]. Therefore, a full investigation of the behaviors of dislocation and its interactions with solutes has become the key issue in understanding the plastic deformation and mechanical properties of bcc refractory metals.
Besides the substitutional alloying elements, the interstitial impurities (intentionally introduced and/or naturally incorporated during processing) also strongly influence the mechanical properties of bcc metals, even at extremely low concentrations. For example, using the transmission electron microscopy (TEM) in-situ straining experiment, a distinct increase in the hardness of iron was observed with the addition of 110 appm carbon (C) below 170 K or above 280 K [13]. Additionally, the presence of ~400 appm oxygen can significantly increase the yield and tensile strength of niobium (Nb), leading to the pronounced hardening effect [14,15]. Similar results have been observed in bcc tungsten [16], molybdenum [17], tantalum [18] and vanadium [19]. Therefore, these interstitial solutes (e.g., C and O) are well-known to effectively induce the solution hardening of bcc metals and, thus, rapidly degrade the malleability and fracture toughness of materials. Physically, the influence of interstitial solutes on the plastic deformation of bcc metals should originate from the interaction between the screw dislocation and solute atoms, which can only be investigated by the atomic resolution methods that consider the local chemistry.
Benefiting from the rapid devolvement of computing capability and advanced algorithms, enormous research efforts have been performed on solute–dislocation interactions in bcc refractory metals by employing the density functional theory (DFT) method. It is found that screw dislocation has a complex and non-planar core structure (i.e., high-symmetry easy-core structure) in pure bcc metals [20,21], which offers a high lattice friction stress than the easy-type dislocations. Since the incompact atomic arrangement is conducive to the dissolution of interstitial impurities, there are expected to be strong attractive interactions between C/O and screw dislocation [22,23,24]. Although the hindering of the dislocation motion is traditionally attributed to the strong attraction of solutes with the dislocation and the formation of “Cottrell atmospheres” [25,26,27], the dislocation–O interactions in Nb is found to be repulsive [14]. Interestingly, besides the attractive or repulsive interactions, recent studies have found that the segregation of interstitial solutes (e.g., hydrogen, helium, carbon, oxygen) may induce the reconstruction of the dislocation core structure in bcc metals [23,24,28]. Additionally, such a solute-induced transition of the core structure is strongly dependent on the type of bcc metals and nominal concentration of interstitial solutes. These results suggest that the interaction between the solute and screw dislocation in bcc metals is complex and needs further in-depth investigation.
In the present work, the interaction of interstitial solutes (C and O) with 1/2<111> screw dislocation and their effects on the dislocation motion in bcc Mo are investigated by using the DFT calculations combined with thermodynamic models. This is an attractive and active system because of the practical interest and technological importance of Mo as accident tolerant fuel (ATF) cladding materials, in which C and O are known as the most common foreign interstitial atoms in Mo-based alloys. According to our calculations, the C/O atoms will segregate from the bulk system into the screw dislocation core, which can be rationalized by the available volume and electronic interaction. Specifically, the presence of C/O in the dislocation gives rise to the transition of the core structure from the original easy-core structure in pure Mo to the hard-core structure of the C/O-decorated screw dislocation. This is because the hard-core structure provides a larger available volume at the interstitial site, in comparison with the easy-core dislocation, and facilitates the C/O dissolution. Thus, the segregated C/O atoms occupy the trigonal prism center in the hard-core configuration and tend to form clusters along the dislocation line. Moreover, the presence of C/O in the dislocation and the reconstruction of the core structure can significantly increase the Peierls stresses and double-kink formation enthalpies of screw dislocation, and accordingly, suppress the dislocation motion in Mo. These results provide a fundamental and essential factor to account for the profound effect of C/O on the performance of bcc metals, especially for the solute-induced embrittlement/hardening.

2. Methodology

The first-principles calculations were performed in the Vienna ab initio Simulation Package (v5.4.1, VASP Software GmbH, Vienna, Austria) code [29] using the projector augmented-wave pseudopotential scheme. The exchange-correlation parts were approximated within the generalized gradient approximation parameterized by Perdew, Burke and Ernzerhof. A cutoff of 350 eV was applied, and the convergence criteria of force and energy was set to be 0.01 eV/Å and 10−6 eV for ionic and electronic relaxation, respectively. Here, we used a 250-atom supercell for bulk calculations and a 4 × 4 × 4 k-points grid within the Monkhorst–Pack approach [30]. In all calculations, the periodic boundary conditions were imposed for the relaxation of the supercell shape and size as well as atomic positions. According to our calculations, the lattice parameter of perfect Mo is 3.149 Å, in good accordance with the experimental value of 3.15 Å [31].
Here, a quadrupolar periodic array of dislocation dipoles was used to explore the core property of screw dislocation and C/O–dislocation interactions in Mo. The screw dislocation with 1/2 <111> Burgers vector has a three-fold screw rotation symmetry along the core, as demonstrated in [32,33], and three core atoms per period are displaced along the <111> direction to change the chirality of the triangular lattice. Here, in order to mimic the core properties of screw dislocation, a pair of dislocation dipoles with opposite Burgers vectors (i.e., + b and b ) was introduced in the supercell with periodic bondary conditions (see Figure 1), resulting in a square-like periodic arrangement of quadrupoles. Actually, this method has been proven to rapidly converge the dislocation core energy [34,35] and has been widely employed in recent DFT calculations of bcc metals [24,33,36]. Accordingly, a symmetrical and non-degenerate core structure was obtained, which is in agreement with previous studies [37,38]. The unit cell vector of dislocation in pure Mo is C 1 = 5 a 0 [ 11 2 ¯ ] , C 2 = 2.5 a 0 [ 11 2 ¯ ] + 4.5 a 0 [ 1 ¯ 10 ] + 0.5 a 0 2 [ 111 ] , C 3 = a 0 2 [ 111 ] , containing 135 Mo atoms (only 1 b along the dislocation line). To simulate the behaviors of C/O in the dislocation and reduce the periodic solute–solute interaction, the simulation box in the dislocation line was two times as large as the Burger vector, resulting from a 270-atom ( 2 b ) supercell. The 1 × 2 × 16 and 1 × 2 × 8 k-points k-point sampling for the supercells along the dislocation line of 1b and 2b were used, respectively. It is important to note that the C/O atoms are introduced around both dislocations to ensure equivalent energy and symmetric structure. Moreover, in order to determine the properties of SD with hard-core structure in pure Mo, a constrained minimization was employed to stabilize this configuration (since it is unstable in pure bcc metals). Similar with previous studies [39,40], only the positions along the dislocation line of three central columns constituting the hard-core configuration were fixed. It should be noted this hard-core structure may transform into the easy-core configuration, if the constrain is released. The obtained formation energy of a hard-core screw dislocation is 0.15 eV/b higher than the easy-core structure, which is in agreement with previous studies [41].
For the Peierls stress calculations, we gradually increase the external strain until the screw dislocation in Mo starts to move. The additional shear strain is applied by changing the C 2 along the C 3 direction, that is C 2 = C 2 + k C 3 . The main component of stress induced by this strain σ y z produces a force on the supercell, driving the dislocation motion along [ 11 2 ¯ ] . The detailed information of our calculations is provided in [33].

3. Results and Discussions

3.1. Interaction of Screw Dislocation with Single C/O Atom

Since the atomic radii are much lower than that of the matrix, the C and O atoms prefer to occupy the interstitial sites in bcc Mo. According to our calculations, the favorable interstitial site of C/O is the octahedral/tetrahedral interstitial site (OIS/TIS) in Mo. The obtained solution energy of interstitial C/O is 0.45/−0.59 eV, which is consistent with previous DFT results [23,42]. As for the screw dislocation in pure Mo, it adopts a high-symmetry and nondegenerate configuration, i.e., easy-core structure, as in most bcc metals [28,41,43]. This configuration is centered on a triangle of first-neighbor <111> atomic columns and the helicity is reversed compared to the bulk system (see Figure 1). Here, in order to explore the interaction of C/O with screw dislocation, a single C/O atom is placed at different interstitial sites (including both OI- and TI-like sites) in the vicinity of the dislocation core, as shown in Figure 2a. Accordingly, the interaction energy of C/O-dislocation can be calculated by:
E i n t e a s y = 1 2 ( E S D + 2 X E S D ) + ( E b u l k E b u l k + X )
where E S D + 2 X (or E S D ) is the energy of a supercell containing a dislocation dipole with (or without) a single X (X denotes C/O) atom at each core. The presence of a factor of 1/2 is because two screw dislocations are introduced in the simulation box, as seen in Figure 1. E b u l k + X (or E b u l k ) is the energy of a perfect crystal with (or without) an X atom.
Figure 2b displays the interaction energy of C/O with the screw dislocation in Mo. Note that the TI-like sites are unstable for C, and it will spontaneously move towards the neighboring OI-like sites after structure optimization. Similar results were also obtained for C in bulk Mo [44]. Therefore, the interaction energies of screw dislocation with C at TI-like sites are not presented. As expected in Figure 2b, the interaction energy is negative for all cases, indicating the attractive interactions of C/O-dislocation, which provide the driving force for the segregation of C/O into the dislocation. Moreover, the lowest interaction between C and the screw dislocation is −1.33 eV with the C-dislocation distance of 0.74 Å, while that of the O-dislocation is −1.76 eV at the distance of 1.86 Å. These results suggest that the segregation tendency of O in the screw dislocation is stronger than that of C. Beyond these distances, the interaction energy increases with increasing C/O–dislocation separation and approaches zero asymptotically. Thus, we can divide the C/O–dislocation interaction into two regions. In the first one, the C/O-dislocation distance ranges from 0.37 Å to 5 Å, and the interaction energy is lower than −1.08/−1.43 eV, respectively, representing a strong interaction region. In the second one, the C/O–dislocation distance is larger than 5 Å, and the interaction is much weaker. Such significant variation of interaction energy should be attributed to the reconstruction of the dislocation core structure. When the distance between C/O and the dislocation line is lower than 5 Å (corresponding to the strong interaction region), the spontaneous transition of the dislocation core (from the easy-core structure to the hard-core configuration) is clearly observed and the C/O atom is located at the center of the trigonal prism in the hard-core configuration. As for the case of the weak interaction region, the dislocation remains as the original easy-core configuration and the C/O atom is “attracted” to the screw dislocation at the interstitial sites. These results suggest that, similar with previous studies for H/He/C/N/O in tungsten and C/N/O/B in iron [23,24,28], the segregation of C/O at the dislocation core triggers the reconstruction of the core structure in bcc Mo, which enhances the interaction between C/O and dislocation.
To explore the physical origin of the strong attraction of C/O–dislocation and the C/O-induced core transition, the solution energy of C/O in bulk Mo and screw dislocation core are decomposed into two contributions. The first contribution is the mechanical contribution, which is the deformation energy from pure Mo crystal (bulk or with screw dislocations) to a solute-induced distorted one, corresponding to the energy release of structure relaxation after C/O removal, namely E M C s o l = E [ ( N M o + X ) X ] | N S W = 1 E N M o , where E [ ( N M o + X ) X ] | N S W = 1 denotes the total energy of the distorted supercell. The second one is the chemical contribution and reflects the variation of chemical bonds between solutes and matrix atoms, which can be obtained by subtracting the mechanical contribution from the solution energy, i.e., E C C s o l = E s o l E M C s o l .Obviously, the mechanical contribution has a negative impact on the dissolution of C/O in Mo (corresponding to the positive values in Table 1). This is due to the fact that the available volume of interstitial sites in Mo (both the bulk system and dislocation region) is very small, and the dissolution of C/O induces the volume expansion, resulting in the positive distortion energy. As for the chemical contribution, it has a positive impact on the C/O dissolution (corresponding to the negative values in Table 1), which is attributed to the strong electronic interaction of C/O with matrix atoms. More importantly, the difference in mechanical contribution between bulk and dislocation can reach up to 1.03 eV for C and comprises 78% of the solution energy difference. This indicates that the mechanical contribution is mainly responsible for the attraction of C-dislocation. The case of O shows the different results, in which the difference of electronic contribution (~1.10 eV) is larger than that of the mechanical part and dominates the segregation of O into the screw dislocation. Besides, it is important to note that the two contributions (i.e., mechanical and electronic part) of C/O dissolution in the bulk system is much higher than that at the dislocation core, and together, these trigger the strong attractive interaction of C/O–dislocation.
Generally, the mechanical contribution reflects the solute-induced lattice distortion, which originates from the difference between the available volume of interstitial sites in Mo crystal and the ideal volume of interstitial C/O dissolution. Here, in order to quantitatively estimate the available volume in bulk Mo and dislocation core, the Voronoi volume of possible interstitial sites before ionic relaxation are examined, as illustrated in Table 1. As expected, the Voronoi volume of interstitial sites in the dislocation region (both easy-core and hard-core configuration) is much larger than that in bulk Mo (~7.79 Å3 for OIS and ~7.97 Å3 for TIS), leading to the low deformation energy induced by C/O dissolution in the dislocation core. This is also confirmed by the atomic configuration. As seen in Figure 3, the first-nearest neighboring (1NN) distance of C-Mo and O-Mo in bulk is 1.57 Å and 1.76 Å, but in the dislocation core can reach up to 1.60 Å and 1.78 Å, respectively. It is important to note that the Voronoi volume and 1NN C/O-Mo distance in the hard-core structure are larger than that in the easy-core configuration, as shown in Figure 3 and Table 1, indicating that the C/O atom prefers to occupy the interstitial sites in the former environment. Ordinarily, the easy-core structure is the most stable configuration of screw dislocation in bcc Mo [43]. However, in comparison with the easy-core configuration, the hard-core structure provides a larger available volume at the interstitial site, facilitating the C/O dissolution and transitioning its core structure from an easy to a hard configuration.
As for the electronic part, it is largely dependent on the chemical interaction of C/O with matrix atoms. Here, to understand the electronic origin of C/O–dislocation interaction, we examine the projected density of states (PDOSs) of Mo in the bulk and the dislocation core (in both easy- and hard-core structures) as illustrated in Figure 4. The d-projected DOSs of Mo have a bimodal distribution with a precipitous drop near the Fermi level, with far more occupied states deep in the d-band and fewer occupied states at the Fermi level, which underlies the higher stability of bcc metals. In contrast, the dislocation (both easy- and hard-core) exhibits higher DOS near the Fermi level, suggesting lower stability than the bulk. Similar observations were made in bcc W/Ta [45,46,47]. In general, the upshift of the d-band center of Mo atoms weakens Mo–Mo bonds and enhances C/O-Mo bonds, giving rise to the attractive interaction of C/O–dislocation in Mo (corresponding to the reduction in electronic contribution from −1.19/−1.92 eV in bulk Mo to −1.49/−3.02 eV in the dislocation core, see Table 1). There is, however, a negligible difference in PDOSs between the easy- and hard-core configuration, which suggests that the C/O-induced easy-to-hard transition cannot be rationalized by the variation in the electronic structure of Mo atoms.

3.2. Segregation of C/O Atoms in the Screw Dislocation

As mentioned above, C/O tends to segregate into the screw dislocation core in Mo with a negative segregation energy, and more importantly, leads to the reconstruction of the dislocation core structure. Next, we consider the interaction of C–C and O–O in the screw dislocation in Mo. Similarly, based on the most stable configuration of an isolated C/O at the screw dislocation, the second C or O atom is placed at potential interstitial sites in the vicinity of the dislocation core. According to our calculations, once the second C or O atom is inserted, it tends to stay next to the pre-segregated C/O in the dislocation line (i.e., most stable configuration), as seen in Figure 3d,e. This can be simply understood by the minimization of total lattice distortion (that is the easy-to-hard transition) at the dislocation core. Although the second C/O atom is placed at the different interstitial sites initially, most configurations will reorganize and relax towards this most stable structure spontaneously. Since the supercell containing a core length of two periods is employed here, two C–C/O–O bonds are formed with the addition of a second C/O atom due to the periodic boundary condition. Hence, the first neighboring interaction (along the distance line) between C/O atoms in the dislocation core can be expressed as:
E i n t X X = 1 4 ( E S D + 4 X + E S D ) 1 2 E S D + 2 X
where E S D + 4 X is the energy of a 270-Mo atom supercell containing dislocation dipoles with 4 solute atoms in the vicinity of the cores. Accordingly, the binding energy of C–C and O–O in the screw dislocation is calculated to be −0.09 eV and 0.07 eV, respectively. These values are lower than the binding energy of C–C/O–O in bulk, implying the weak interaction between C/O atoms in the dislocation core. Furthermore, the interaction of the second C/O with the screw dislocation (~−1.82/−1.93 eV of segregation energy) is much stronger than that with the first C/O atom and, thus, the pre-existing C/O has a slight effect on the segregation of subsequent C/O atoms in the dislocation region. Namely, the segregated C/O atoms occupy the center of the trigonal prism at the dislocation and tend to form clusters along the dislocation line.
To estimate the segregating level of C/O in the dislocation, a mean-field approach is applied to estimate the concentration of C/O at the screw dislocation core in Mo. Within this model, the contributions of enthalpy and configurational entropy are considered, while other types of entropy (such as vibrational and electronic entropy) are neglected. Similar to previous calculations [48], the equilibrium concentration of C/O in the screw dislocation and bulk system are expressed by:
c e q 1 c e q = c b u l k 1 c b u l k e x p ( E s e g ( c e q ) / k T )
where E s e g ( c e q ) is the segregation energy of C/O at the dislocation core, obtained by:
E s e g ( c e q ) = E i n t h a r d + 2 c e q E i n t X X
where E i n t h a r d is the interaction energy of an interstitial C/O with the hard-core dislocation. E i n t X X ( X denotes C or O) is the interaction energy between X atoms at 1NN distance in the screw dislocation. Additionally, the concentrations of C/O at the dislocation core and bulk system are also linked to their nominal concentration (i.e., the number of C/O atoms per Mo) and, thus, we obtain N i c b u l k + N d c e q = N M o c 0 . N i and N d is the number of interstitial sites (OISs for C and TIS for O) in the bulk and the dislocation for a volume V, respectively. Since there are three (or six) OISs (or TISs) per Mo atom in the bulk system, the number of TISs for C (or OISs for O) in the bulk Mo can be calculated by 6 V / a 0 3 (or 12 V / a 0 3 , a 0 ~lattice parameter). In the dislocation region, the corresponding number of interstitial sites is expressed as ρ V / b , in which ρ and b are the dislocation density and Burgers vector, respectively. As for N M o , it represents the number of Mo atoms in the bulk system with a volume V, that is N M o = 2 V / a 0 3 . It is important to note that the above equations are solved self-consistently to determine the segregating concentration of C/O at the dislocation core in Mo.
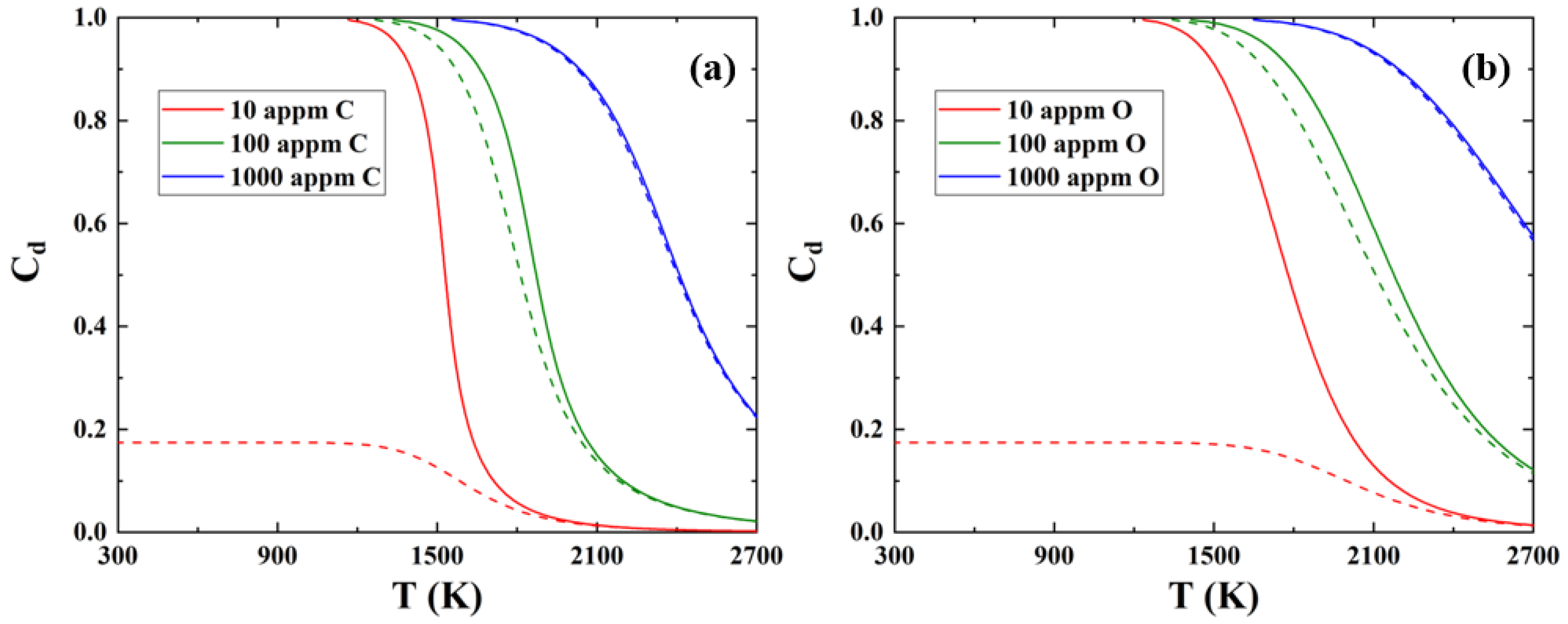
The equilibrium concentrations of interstitial C/O at dislocation as a function of temperature are illustrated in Figure 5. Here, three different nominal concentration of C/O (10 appm, 100 appm, and 1000 appm) and two different dislocation densities (1012 m−2 and 1015 m−2) are taken into account. As expected, the equilibrium concentration of interstitial C/O is strongly related to the temperatures, nominal concentration and dislocation density. As seen in Figure 5, the segregating level of interstitial C/O in the dislocation region decreases with the increasing of dislocation density, and increases with the increase in nominal concentration in bulk Mo. The equilibrium concentration of interstitial C/O in the dislocation region is close to ~100% at 1200 K for all cases, except the extremely low solute concentration (~10 appm) and high dislocation density (~1015 m−2). Beyond 1200 K, the equilibrium concentration of C/O decreases with the increase in temperatures (since the high temperature facilitates the de-trapping of solute atoms) but still reaches up to 22%/57% at 2700 K with the nominal concentration of 1000 appm and dislocation density of 1012 m−2. Therefore, the screw dislocation would be easily and fully saturated by C/O in Mo, which triggers the transition of the dislocation core structure. Moreover, the segregating concentration of O in the dislocation is slightly higher than that of C because the former one has a lower segregation energy (see Figure 2).

3.3. The Effect of C/O Segregation on the Dislocation Motion

Generally speaking, the reconstruction of the dislocation core will profoundly affect its movement [28,49]. We thus examine the influences of C and O on the critical stress for the glide of a screw dislocation in Mo. As shown in Figure 6, the shear stress exhibits a linear increase when the applied strain is less than 0.135. After that, the shear stress shows a sharp reduction, because of the glide of the screw dislocation. The maximum stress at this point is regarded as the Peierls stress. Accordingly, the Peierls stress of pure Mo is 1.91 GPa, as seen in Figure 6, in good accordance with previous studies (~2.1 GPa in [20] and ~1.8 GPa in [43]). More importantly, the presence of C/O segregation has a significant influence on the Peierls stress and dislocation motion. As illustrated in Figure 6, when a single C and O is introduced in the dislocation, the corresponding Peierls stress reaches up to 4.12 and 3.37 GPa, respectively. These values are much higher than that in C/O-free dislocation, suggesting that the interstitial C/O serve as strong obstacles for dislocation motion. Also, the Peierls stress increases with the increasing of C/O numbers, from 4.12/3.37 GPa for one C/O atom (within two periods) to 5.63/4.69 GPa for a C–C/O–O pair. Therefore, owing to the strong attractive interaction of C/O with dislocation, the segregation of C/O significantly increases the Peierls stress of screw dislocation and suppresses the dislocation motion in Mo, and the pinning effect becomes stronger with higher segregating levels.
Microscopically, the motion of screw dislocations in bcc metals at a finite temperature is controlled by the kink-pair mechanism, which depends strongly on the kink-pair formation enthalpy ( H k p ). Here, we employed a line tension model to approximate the kink-pair formation enthalpy in Mo without and with interstitial C/O based on known lattice parameters, elastic constants, calculated solute-dislocation trapping energies and corresponding Peierls stresses. Similar to previous studies [50,51], the double-kink formation enthalpies in stress-free conditions are obtained by:
H k p = Z d 0 2 γ d d 0 b σ p
where Z is a constant ~ 4 / π 3 / 2 (since the Peierls potential of screw dislocation in Mo is assumed to be a sinusoidal shape [51]). d 0 = 2 / 3 a 0 is the period of Peierls potential and γ d is the line tension of an isolated screw dislocation, which can be calculated as γ d = K b 2 ( 4 π ) ln ( R r c ) + E c o r e . As proposed in a previous study [51], the term ln ( R r c ) is generally assumed to be 4 and the prefactor ( K ) is obtained by [ C 44 ( C 11 C 12 ) / 2 ] 1 2 . The elastic constants of pure Mo are obtained by our DFT calculations using a two-atom supercell with a 30 × 30 × 30 k-points grid, which were found to be 487 GPa, 171 GPa and 107 GPa for C 11 , C 12 and C 44 , respectively. These values were consistent with the results reported previously [44,52]. As for the core energy ( E c o r e ), it is extracted from the first-principles calculations. It is important to note that the line tension model used in Equation (5) has been shown to successfully reproduce the kink-pair formation enthalpies in pure bcc metals and/or describe the influence of high concentered alloying elements in a mean-field approach [51,53,54]. Therefore, in order to employ this model to estimate the effects of C/O with low concentration, two prerequisites should be satisfied. The first one is that the concentration of C/O in the dislocation region is high enough so that a mean-field approximation is justified; this is clarified in detail in Section 3.2. The second one is that the mobility of interstitial C/O should be much higher than that of screw dislocation, thus, the solute atom can catch up with the moving screw dislocation in Mo. This is the case in the Mo-C/O system because the migration energy barrier of C/O in the bulk Mo (~1.20 eV for C and ~0.05 eV for O in our calculations, ~1.22 eV for C in [44]) is lower or comparable with the kink-pair formation enthalpy of screw dislocation (~1.27 eV in [54] and ~1.05 eV in [55]). Accordingly, we employed this model to describe the influences of C and O on the movement of screw dislocation in Mo. Thus, based on the obtained segregation energy, Peierls stress and known elastic parameters, we can examine the kink-pair formation enthalpy of C/O-free and C/O-decorated dislocation in Mo.
Table 2 displays the influence of interstitial C/O on the properties of screw dislocation core in Mo. Apparently, the presence of C/O atoms in the dislocation generally reduces the core energy and the line tension of screw dislocation. This is because of the attraction of C/O–dislocation, which lowers the formation energy of the screw dislocation in Mo. Namely, the lower the segregation energy, the lower the core energy (or line tension) of screw dislocation. Specifically, we found the double-kink formation enthalpy in pure Mo to be 1.18 eV. This is consistent with previous theoretic studies (~1.15 eV in [41] and ~1.05 eV in [55]) and experimental values (~1.19 eV in [54]). Furthermore, the presence of C/O atoms significantly affects the double-kink formation enthalpies. As displayed in Table 2, the double-kink formation enthalpy increases with the increase in C/O numbers, from 1.65/1.47 eV for a single C/O to 1.77/1.58 eV for a C–C/O–O pair. Notably, the obtained kink-pair formation enthalpies in the C/O-decorated system are much higher than that in the pure system, demonstrating the strong pinning effects of interstitial C/O atoms on the motion of screw dislocations in Mo. The above calculations are consistent with the experimental observations [16,17] in which the addition of dilute C and O rapidly increases the hardness of bcc metals.

4. Conclusions

In summary, the behaviors of C and O at the screw dislocation core in Mo are systematically investigated by employing the comprehensive first-principles calculations and statistical models. The C and O atoms are favorable to segregate from the bulk to the dislocation core in Mo. This is because, compared to the bulk system, the dislocation core has an incompact atomic arrangement and activated electronic states. Both of them are conducive to the dissolution of interstitial solutes, leading to the strong attraction of C/O–dislocation. Moreover, the presence of C and O in the dislocation will induce the reconstruction of the dislocation core structure spontaneously, from an original easy-core structure in pure Mo to a hard-core configuration for C/O-decorated dislocation. Such easy-to-hard transition is rationalized by the atomic structure variation since the available volume of interstitial sites in the hard-core dislocation is much larger than that in the easy-core structure and, thus, facilitates the C/O dissolution.
Further, we examine the segregating level of interstitial C/O in the dislocation region. Because of the attraction of C/O with the hard-core dislocation, the segregated C/O atoms occupy the center of the trigonal prism at the dislocation core and tend to form clusters along the dislocation line. More importantly, unless the solute concentrations are very low (~10 appm for C/O) and the densities of screw dislocation are extremely high (~1015 m−2), the concentration of C/O at the dislocation line reaches up to ~100% at 1200 K. This suggests that the screw dislocation would be easily and fully saturated by C/O in Mo, which triggers the transition of the dislocation core structure. Additionally, the segregation of interstitial C/O atoms in the screw dislocation significantly increases the Peierls stresses and double-kink formation enthalpies, from 1.91 GPa and 1.18 eV for C/O-free dislocation to 5.63/4.69 GPa and 1.77/1.58 eV for C/O-saturated dislocation, suggesting the strong pinning effects of interstitial C/O on the dislocation motion in Mo. Our calculations provide a good reference for understanding the influences of impurities on the mechanical properties of Mo.

Author Contributions

Conceptualization, Y.-H.L. and H.-B.Z.; Investigation, Z.-Q.W.; Methodology, Z.-Q.W. and Y.-H.L.; Project administration, G.-H.L.; Supervision, H.-B.Z.; Writing—original draft, Z.-Q.W.; Writing—review and editing, Y.-H.L., G.-H.L. and H.-B.Z. All authors have read and agreed to the published version of the manuscript.

Funding

This research is financially supported by the National Natural Science Foundation of China with Grant Nos. 11905135 and 12075022, and the Major Program of National Natural Science Foundation of China with Grant Nos. 12192281.

Institutional Review Board Statement

Not applicable.

Informed Consent Statement

Not applicable.

Data Availability Statement

Data sharing is not applicable.

Conflicts of Interest

The authors declare no conflict of interest.

References

  1. Terrani, K.A. Accident tolerant fuel cladding development: Promise, status, and challenges. J. Nucl. Mater. 2018, 501, 13–30. [Google Scholar] [CrossRef]
  2. Terrani, K.A.; Zinkle, S.J.; Snead, L.L. Advanced oxidation-resistant iron-based alloys for LWR fuel cladding. J. Nucl. Mater. 2014, 448, 420–435. [Google Scholar] [CrossRef]
  3. Bachurina, D.; Vorkel, V.; Suchkov, A.; Gurova, J.; Ivannikov, A.; Penyaz, M.; Fedotov, I.; Sevryukov, O.; Kalin, B. Overview of the mechanical properties of tungsten/steel brazed joints for the demo fusion reactor. Metals 2021, 11, 209. [Google Scholar] [CrossRef]
  4. Christian, J.W. Some surprising features of the plastic deformation of body-centered cubic metals and alloys. Metall. Trans. A 1983, 14, 1237–1256. [Google Scholar] [CrossRef]
  5. Pande, C.S.; Goswami, R. Dislocation emission and crack dislocation interactions. Metals 2020, 10, 473. [Google Scholar] [CrossRef] [Green Version]
  6. Carneiro, Í.; Simões, S. Recent Advances in EBSD Characterization of Metals. Metals 2020, 10, 1097. [Google Scholar] [CrossRef]
  7. Meyers, M.A.; Mishra, A.; Benson, D.J. Mechanical properties of nanocrystalline materials. Prog. Mater. Sci. 2006, 51, 427–556. [Google Scholar] [CrossRef]
  8. Weygand, D.; Mrovec, M.; Hochrainer, T.; Gumbsch, P. Multiscale Simulation of Plasticity in bcc Metals. Annu. Rev. Mater. Res. 2015, 45, 369–390. [Google Scholar] [CrossRef]
  9. Seeger, A. Peierls barriers, kinks, and flow stress: Recent progress. Z. Für Met. 2002, 93, 760–777. [Google Scholar] [CrossRef]
  10. Gröger, R.; Bailey, A.G.; Vitek, V. Multiscale modeling of plastic deformation of molybdenum and tungsten: I. Atomistic studies of the core structure and glide of 1/2〈1 1 1〉screw dislocations at 0 K. Acta Mater. 2008, 56, 5401–5411. [Google Scholar] [CrossRef]
  11. Luo, A.; Jacobson, D.L.; Shin, K.S. Solution softening mechanism of iridium and rhenium in tungsten at room temperature. Int. J. Refract. Met. Hard Mater. 1991, 10, 107–114. [Google Scholar] [CrossRef]
  12. Miao, S.; Xie, Z.; Lin, Y.; Fang, Q.; Tan, J.; Zhao, Y. Mechanical Properties, Thermal Stability and Microstructures of W-Re-ZrC Alloys Fabricated by Spark Plasma Sintering. Metals 2020, 10, 277. [Google Scholar] [CrossRef] [Green Version]
  13. Caillard, D. An in situ study of hardening and softening of iron by carbon interstitials. Acta Mater. 2011, 59, 4974–4989. [Google Scholar] [CrossRef]
  14. Yang, P.J.; Li, Q.J.; Tsuru, T.; Ogata, S.; Zhang, J.W.; Sheng, H.W.; Shan, Z.W.; Sha, G.; Han, W.Z.; Li, J.; et al. Mechanism of hardening and damage initiation in oxygen embrittlement of body-centred-cubic niobium. Acta Mater. 2019, 168, 331–342. [Google Scholar] [CrossRef]
  15. Yang, P.J.; Li, Q.J.; Han, W.Z.; Li, J.; Ma, E. Designing solid solution hardening to retain uniform ductility while quadrupling yield strength. Acta Mater. 2019, 179, 107–118. [Google Scholar] [CrossRef]
  16. Stephens, J.R. Effects of Interstitial Impurities on the Low-Temperature Tensile Properties of Tungsten; Technical Report NASA TN D-2287; National Aeronautics and Space Administration, Lewis Research Center: Cleveland, OH, USA, 1964. [Google Scholar]
  17. Xing, H.; Hu, P.; Han, J.; Li, S.; Ge, S.; Hua, X.; Hu, B.; Yang, F.; Wang, K.; Feng, P. Effects of oxygen on microstructure and evolution mechanism of body-centred-cubic molybdenum. Int. J. Refract. Met. Hard Mater. 2022, 103, 105747. [Google Scholar] [CrossRef]
  18. Ulitchny, M.G.; Gibala, R. The effects of interstitial solute additions on the mechanical properties of niobium and tantalum single crystals. J. Less Common Met. 1973, 33, 105–116. [Google Scholar] [CrossRef]
  19. Jo, M.G.; Madakashira, P.P.; Suh, J.Y.; Han, H.N. Effect of oxygen and nitrogen on microstructure and mechanical properties of vanadium. Mater. Sci. Eng. A 2016, 675, 92–98. [Google Scholar] [CrossRef]
  20. Woodward, C.; Rao, S.I. Ab-initio simulation of isolated screw dislocations in bcc Mo and Ta. Philos. Mag. A 2001, 81, 1305–1316. [Google Scholar] [CrossRef]
  21. Li, J.; Wang, C.-Z.; Chang, J.-P.; Cai, W.; Bulatov, V.V.; Ho, K.-M.; Yip, S. Core energy and Peierls stress of a screw dislocation in bcc molybdenum: A periodic-cell tight-binding study. Phys. Rev. B 2004, 70, 104113. [Google Scholar] [CrossRef] [Green Version]
  22. Lüthi, B.; Ventelon, L.; Rodney, D.; Willaime, F. Attractive interaction between interstitial solutes and screw dislocations in bcc iron from first principles. Comput. Mater. Sci. 2018, 148, 21–26. [Google Scholar] [CrossRef]
  23. Lüthi, B.; Ventelon, L.; Elsässer, C.; Rodney, D.; Willaime, F. First principles investigation of carbon-screw dislocation interactions in body-centered cubic metals. Model. Simul. Mater. Sci. Eng. 2017, 25, 084001. [Google Scholar] [CrossRef]
  24. Hachet, G.; Ventelon, L.; Willaime, F.; Clouet, E. Screw dislocation-carbon interaction in BCC tungsten: An ab initio study. Acta Mater. 2020, 200, 481–489. [Google Scholar] [CrossRef]
  25. Medvedeva, N.I.; Gornostyrev, Y.N.; Freeman, A.J. Solid solution softening and hardening in the group-V and group-VI bcc transition metals alloys: First principles calculations and atomistic modeling. Phys. Rev. B 2007, 76, 212104. [Google Scholar] [CrossRef]
  26. Yu, Q.; Qi, L.; Tsuru, T.; Traylor, R.; Rugg, D.; Morris, J.W.; Asta, M.; Chrzan, D.C.; Minor, A.M. Origin of dramatic oxygen solute strengthening effect in titanium. Science 2015, 347, 635–639. [Google Scholar] [CrossRef] [PubMed] [Green Version]
  27. Zhao, Y.; Marian, J. Direct prediction of the solute softening-to-hardening transition in W-Re alloys using stochastic simulations of screw dislocation motion. Model. Simul. Mater. Sci. Eng. 2018, 26, 045002. [Google Scholar] [CrossRef] [Green Version]
  28. Ventelon, L.; Lüthi, B.; Clouet, E.; Proville, L.; Legrand, B.; Rodney, D.; Willaime, F. Dislocation core reconstruction induced by carbon segregation in bcc iron. Phys. Rev. B 2015, 91, 220102. [Google Scholar] [CrossRef] [Green Version]
  29. Kresse, G.; Hafner, J. Ab initio molecular dynamics for liquid metals. Phys. Rev. B 1993, 47, 558–561. [Google Scholar] [CrossRef]
  30. Pack, J.D.; Monkhorst, H.J. “Special points for Brillouin-zone integrations”—A reply. Phys. Rev. B 1977, 16, 1748–1749. [Google Scholar] [CrossRef]
  31. Kittel, C. Introduction to Solid State Physics, 8th ed.; Wiley Sons: New York, NY, USA, 2004. [Google Scholar]
  32. Trinkle, D.R.; Woodward, C. The Chemistry of Deformation: How Solutes Soften Pure Metals. Science 2005, 310, 1665–1667. [Google Scholar] [CrossRef] [Green Version]
  33. Li, Y.-H.; Zhou, H.-B.; Gao, F.; Lu, G.; Lu, G.-H.; Liu, F. Hydrogen induced dislocation core reconstruction in bcc tungsten. Acta Mater. 2022, 226, 117622. [Google Scholar] [CrossRef]
  34. Ventelon, L.; Willaime, F. Core structure and Peierls potential of screw dislocations in α-Fe from first principles: Cluster versus dipole approaches. J. Comput. Mater. Des. 2007, 14, 85–94. [Google Scholar] [CrossRef]
  35. Clouet, E.; Ventelon, L.; Willaime, F. Dislocation Core Energies and Core Fields from First Principles. Phys. Rev. Lett. 2009, 102, 055502. [Google Scholar] [CrossRef] [PubMed] [Green Version]
  36. Rodney, D.; Ventelon, L.; Clouet, E.; Pizzagalli, L.; Willaime, F. Ab initio modeling of dislocation core properties in metals and semiconductors. Acta Mater. 2017, 124, 633–659. [Google Scholar] [CrossRef]
  37. Ismail-Beigi, S.; Arias, T.A. Ab Initio Study of Screw Dislocations in Mo and Ta: A New Picture of Plasticity in bcc Transition Metals. Phys. Rev. Lett. 2000, 84, 1499–1502. [Google Scholar] [CrossRef] [Green Version]
  38. Woodward, C.; Rao, S.I. Flexible Ab Initio Boundary Conditions: Simulating Isolated Dislocations in bcc Mo and Ta. Phys. Rev. Lett. 2002, 88, 216402. [Google Scholar] [CrossRef]
  39. Ventelon, L.; Willaime, F.; Clouet, E.; Rodney, D. Ab initio investigation of the Peierls potential of screw dislocations in bcc Fe and W. Acta Mater. 2013, 61, 3973–3985. [Google Scholar] [CrossRef]
  40. Itakura, M.; Kaburaki, H.; Yamaguchi, M. First-principles study on the mobility of screw dislocations in bcc iron. Acta Mater. 2012, 60, 3698–3710. [Google Scholar] [CrossRef] [Green Version]
  41. Dezerald, L.; Ventelon, L.; Clouet, E.; Denoual, C.; Rodney, D.; Willaime, F. Ab initio modeling of the two-dimensional energy landscape of screw dislocations in bcc transition metals. Phys. Rev. B 2014, 89, 024104. [Google Scholar] [CrossRef] [Green Version]
  42. Scheiber, D.; Pippan, R.; Puschnig, P.; Romaner, L. Ab initio search for cohesion-enhancing impurity elements at grain boundaries in molybdenum and tungsten. Model. Simul. Mater. Sci. Eng. 2016, 24, 085009. [Google Scholar] [CrossRef]
  43. Shimizu, F.; Ogata, S.; Kimizuka, H.; Kano, T.; Li, J.; Kaburaki, H. First-principles Calculation on Screw Dislocation Core Properties in BCC Molybdenum. J. Earth Simulator 2007, 7, 17–21. [Google Scholar]
  44. Yang, K.J.; Liu, Y.L.; Liu, Z.L.; Liu, C.; Shao, P.; Zhang, X.; Han, Q.F. Basic physical behavior of impurity carbon in molybdenum for nuclear material: A systematical first-principles simulation. Nucl. Mater. Energy 2021, 28, 101053. [Google Scholar] [CrossRef]
  45. Hu, Y.-J.; Zhao, G.; Zhang, B.; Yang, C.; Zhang, M.; Liu, Z.-K.; Qian, X.; Qi, L. Local electronic descriptors for solute-defect interactions in bcc refractory metals. Nat. Commun. 2019, 10, 4484. [Google Scholar] [CrossRef] [PubMed]
  46. Ren, Q.-Y.; Li, Y.-H.; Zhou, H.-B.; Li, Z.-Z.; Cheng, L.; Lu, G.-H. Characterization of the energetics and configurations of hydrogen in vacancy clusters in tungsten. Nucl. Fusion 2019, 59, 106032. [Google Scholar] [CrossRef]
  47. Li, Y.H.; Zhou, H.B.; Liang, L.; Gao, N.; Deng, H.; Gao, F.; Lu, G.; Lu, G.H. Transition from ductilizing to hardening in tungsten: The dependence on rhenium distribution. Acta Mater. 2019, 181, 110–123. [Google Scholar] [CrossRef]
  48. Tréglia, G.; Legrand, B.; Ducastelle, F.; Saúl, A.; Gallis, C.; Meunier, I.; Mottet, C.; Senhaji, A. Alloy surfaces: Segregation, reconstruction and phase transitions. Comput. Mater. Sci. 1999, 15, 196–235. [Google Scholar] [CrossRef]
  49. Tsuru, T.; Suzudo, T. First-principles calculations of interaction between solutes and dislocations in tungsten. Nucl. Mater. Energy 2018, 16, 221–225. [Google Scholar] [CrossRef]
  50. Seeger, A.; Veyssiere, P.; Kubin, L.P.; Castaing, J. Dislocations 1984; CNRS: Paris, France, 1984. [Google Scholar]
  51. Brunner, D. Comparison of Flow-Stress Measurements on High-Purity Tungsten Single Crystals with the Kink-Pair Theory. Mater. Trans. JIM 2000, 41, 152–160. [Google Scholar] [CrossRef] [Green Version]
  52. Dudarev, S.L.; Ma, P.-W. Elastic fields, dipole tensors, and interaction between self-interstitial atom defects in bcc transition metals. Phys. Rev. Mater. 2018, 2, 033602. [Google Scholar] [CrossRef]
  53. Li, H.; Draxl, C.; Wurster, S.; Pippan, R.; Romaner, L. Impact of d-band filling on the dislocation properties of bcc transition metals: The case of tantalum-tungsten alloys investigated by density-functional theory. Phys. Rev. B 2017, 95, 094114. [Google Scholar] [CrossRef]
  54. Hollang, L.; Hommel, M.; Seeger, A. The Flow Stress of Ultra-High-Purity Molybdenum Single Crystals. Phys. Status Solidi 1997, 160, 329–354. [Google Scholar] [CrossRef]
  55. Dezerald, L.; Proville, L.; Ventelon, L.; Willaime, F.; Rodney, D. First-principles prediction of kink-pair activation enthalpy on screw dislocations in bcc transition metals: V, Nb, Ta, Mo, W, and Fe. Phys. Rev. B 2015, 91, 094105. [Google Scholar] [CrossRef] [Green Version]
Figure 1. Dislocation dipole within a (111) plane denoted by a differential displacement map. The dislocation center is represented by the red triangle, while the small circles indicate the atomic positions. Three different colors of small circles are used to show that these atoms belong to three different (111) planes before introducing the dislocations.
Figure 1. Dislocation dipole within a (111) plane denoted by a differential displacement map. The dislocation center is represented by the red triangle, while the small circles indicate the atomic positions. Three different colors of small circles are used to show that these atoms belong to three different (111) planes before introducing the dislocations.
Metals 12 00507 g001
Figure 2. (a) Projection along the (111) plane for pure Mo dislocation. The position of dislocation is marked with the red triangle and the position of the reconstructed hard core is marked with H. A total of 7 octahedral-like (O1O7) and tetrahedral-like (T1T7) interstitial sites around the dislocation core in pure Mo (without the relaxation of the solute–dislocation interactions) are represented in different colors. (b) The interaction energy of the C/O atom with dislocation as a function of initial solute–dislocation distance.
Figure 2. (a) Projection along the (111) plane for pure Mo dislocation. The position of dislocation is marked with the red triangle and the position of the reconstructed hard core is marked with H. A total of 7 octahedral-like (O1O7) and tetrahedral-like (T1T7) interstitial sites around the dislocation core in pure Mo (without the relaxation of the solute–dislocation interactions) are represented in different colors. (b) The interaction energy of the C/O atom with dislocation as a function of initial solute–dislocation distance.
Metals 12 00507 g002
Figure 3. The atomic configuration of (a) easy-core dislocation, (b) tetrahedral interstitial site, (c) octahedral interstitial site and (d,e) reconstructed hard-core dislocation with a C–C/O–O distance of 2b and 1b in Mo.
Figure 3. The atomic configuration of (a) easy-core dislocation, (b) tetrahedral interstitial site, (c) octahedral interstitial site and (d,e) reconstructed hard-core dislocation with a C–C/O–O distance of 2b and 1b in Mo.
Metals 12 00507 g003
Figure 4. Local d-DOS of Mo in the bulk and in the dislocation core with easy-core and hard-core configuration.
Figure 4. Local d-DOS of Mo in the bulk and in the dislocation core with easy-core and hard-core configuration.
Metals 12 00507 g004
Figure 5. Temperature dependence of the (a) C and (b) O concentration segregated in the dislocation core for three typical nominal concentrations of solutes and for two dislocation densities, 1012 m−2 (solid lines) and 1015 m−2 (dashed lines).
Figure 5. Temperature dependence of the (a) C and (b) O concentration segregated in the dislocation core for three typical nominal concentrations of solutes and for two dislocation densities, 1012 m−2 (solid lines) and 1015 m−2 (dashed lines).
Metals 12 00507 g005
Figure 6. Shear stress variation as a function of strain for pure and decorated screw dislocation in Mo. 1b and 2b represent the distance between the solute (C or O) atoms along <111> direction.
Figure 6. Shear stress variation as a function of strain for pure and decorated screw dislocation in Mo. 1b and 2b represent the distance between the solute (C or O) atoms along <111> direction.
Metals 12 00507 g006
Table 1. The solution energy ( E s o l in eV), mechanical contribution ( E M C s o l in eV), chemical contribution ( E C C s o l in eV) and corresponding 1NN C/O-Mo distance as well as Voronoi volumes (in Å3) of interstitial C/O before ionic relaxations in Mo. For reference, the italicized values show the results after ionic relaxations.
Table 1. The solution energy ( E s o l in eV), mechanical contribution ( E M C s o l in eV), chemical contribution ( E C C s o l in eV) and corresponding 1NN C/O-Mo distance as well as Voronoi volumes (in Å3) of interstitial C/O before ionic relaxations in Mo. For reference, the italicized values show the results after ionic relaxations.
Configuration E s o l E M C s o l E C C s o l DistanceVoronoi Volume
CBulk0.461.66−1.191.57/1.977.79/9.29
SD−0.860.63−1.491.60/2.158.73/9.95
OBulk−0.591.33−1.921.76/1.987.97/10.38
SD−2.360.66−3.021.78/2.168.73/10.15
Table 2. Influence of interstitial C/O on the screw dislocation (SD) core property in Mo. The core energy (in eV/b), line tension of an isolated dislocation (in eV/Å), Peierls stress (in GPa) and kink-pair formation enthalpy (in eV) are given.
Table 2. Influence of interstitial C/O on the screw dislocation (SD) core property in Mo. The core energy (in eV/b), line tension of an isolated dislocation (in eV/Å), Peierls stress (in GPa) and kink-pair formation enthalpy (in eV) are given.
Configuration E c o r e γ d σ P H k p
Pure SD1.182.471.911.18
SD + 1C0.462.204.121.65
SD + 2C−0.451.875.631.77
SD + 1O0.302.153.371.47
SD + 2O−0.661.794.691.58
Publisher’s Note: MDPI stays neutral with regard to jurisdictional claims in published maps and institutional affiliations.

Share and Cite

MDPI and ACS Style

Wang, Z.-Q.; Li, Y.-H.; Lu, G.-H.; Zhou, H.-B. Influence of Carbon and Oxygen on the Core Structure and Peierls Stress of Screw Dislocation in Molybdenum. Metals 2022, 12, 507. https://doi.org/10.3390/met12030507

AMA Style

Wang Z-Q, Li Y-H, Lu G-H, Zhou H-B. Influence of Carbon and Oxygen on the Core Structure and Peierls Stress of Screw Dislocation in Molybdenum. Metals. 2022; 12(3):507. https://doi.org/10.3390/met12030507

Chicago/Turabian Style

Wang, Zi-Qi, Yu-Hao Li, Guang-Hong Lu, and Hong-Bo Zhou. 2022. "Influence of Carbon and Oxygen on the Core Structure and Peierls Stress of Screw Dislocation in Molybdenum" Metals 12, no. 3: 507. https://doi.org/10.3390/met12030507

APA Style

Wang, Z.-Q., Li, Y.-H., Lu, G.-H., & Zhou, H.-B. (2022). Influence of Carbon and Oxygen on the Core Structure and Peierls Stress of Screw Dislocation in Molybdenum. Metals, 12(3), 507. https://doi.org/10.3390/met12030507

Note that from the first issue of 2016, this journal uses article numbers instead of page numbers. See further details here.

Article Metrics

Back to TopTop