Thermodynamics Analysis and Pilot Study of Reusing Medium and High Alloy Steel Scrap Using Induction Melting and Electroslag Remelting Process
Abstract
:1. Introduction
2. Materials and Methods
3. Results
3.1. Recovery Percentages of Alloying Elements
3.2. Impurity Element Content
4. Discussion
4.1. Alloy Oxidation
4.2. Impurity Content Control
4.3. Comparison of Smelting Methods
5. Conclusions
- (1)
- In medium-frequency induction furnace melting, the average loss percentages of Ni, W, Mo, Cr, and V are 2.37%, 2.64%, 4.91%, 5.38%, and 10.51%, respectively. During smelting, the oxides of V and Cr may form spinels and a complex system, which can aggravate the recovery of the alloys.
- (2)
- In the ingots, the content of P, S, N, H, and O slightly decreases compared to that in the original steel scrap, approximating 0.017%, 0.005%, 1.6, 50 and 21 ppm.
- (3)
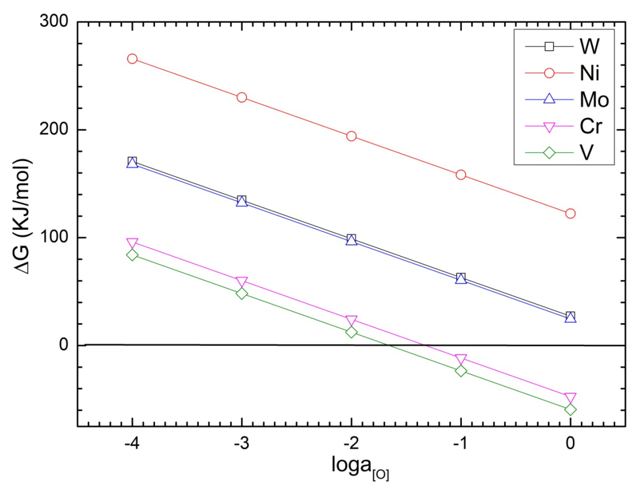
- The thermodynamic analysis results show that increasing the temperature increases the Gibbs free energies of the oxidation reactions; the decrease in the oxygen content significantly reduces the oxidation of the alloyed elements; with the increasing contents of the alloying elements, for V and Cr, the Gibbs free energies of oxidations change from positive to negative at 0.5 and 1.0 concentrations under an oxygen activity of 0.05; whereas, that of Ni, W and Mo remain positive in the concentration range. Moreover, the spinel and complex system formation reduces the activity of oxide, which improves the oxidation of V and Cr.
- (4)
- Compared to the electric arc furnace, medium-frequency induction melting attains a higher recovery percent of the alloys, and lower energy consumption.
Author Contributions
Funding
Data Availability Statement
Conflicts of Interest
References
- Hettich, D.; Aha, B.; Zimmermann, R.; Veldhuis, M.; Filzek, J. Lubricant—Reducing rcrap rates in forming high-alloyed steel by stable friction behavior over the temperature. Procedia Manuf. 2020, 47, 561–565. [Google Scholar] [CrossRef]
- Zhang, L.; Su, S.P.; Liu, B.B.; Han, G.H.; Huang, Y.F.; Wang, Y.B.; Wang, Y.Z. Sustainable and high-efficiency recycling of valuable metals from oily honing ferroalloy scrap via de-oiling and smelting separation. J. Hazard. Mater. 2021, 413, e125399. [Google Scholar] [CrossRef] [PubMed]
- Ohno, H.; Matsubae, K.; Nakajima, K.; Kondo, Y.; Nakamura, S.; Nagasaka, T. Toward the efficient recycling of alloying elements from end of life vehicle steel scrap. Resour. Conserv. Recycl. 2015, 100, 11–20. [Google Scholar] [CrossRef] [Green Version]
- Ohno, H.; Matsubae, K.; Nakajima, K.; Nakamura, S.; Nagasaka, T. Development of Efficient Recycling System for Steel Alloying Elements in End of Life Vehicles. In REWAS 2013; Springer: Cham, Switzerland, 2013; pp. 414–422. [Google Scholar]
- Xuan, Y.N.; Yue, Q. Scenario analysis on resource and environmental benefits of imported steel scrap for China’s steel industry. Resour. Conserv. Recycl. 2017, 120, 186–198. [Google Scholar] [CrossRef]
- Porzio, G.F.; Colla, V.; Fornai, B.; Vannucci, M.; Larsson, M.; Stripple, H. Process integration analysis and some economic-environmental implications for an innovative environmentally friendly recovery and pre-treatment of steel scrap. Appl. Energy 2016, 161, 656–672. [Google Scholar] [CrossRef]
- Nechifor, V.; Calzadilla, A.; Bleischwitz, R.; Winning, M.; Tian, X.; Usubiaga, A. Steel in a circular economy: Global implications of a green shift in China. World Dev. 2020, 127, e104775. [Google Scholar] [CrossRef]
- Yellishetty, M.; Mudd, G.M.; Ranjith, P.G.; Tharumarajah, A. Environmental life-cycle comparisons of steel production and recycling: Sustainability issues, problems and prospects. Environ. Sci. Policy 2011, 14, 650–663. [Google Scholar] [CrossRef]
- Wübbeke, J.; Heroth, T. Challenges and political solutions for steel recycling in China. Resour. Conserv. Recycl. 2014, 87, 1–7. [Google Scholar] [CrossRef]
- Golubev, O.V.; Korotchenko, A.S.; Chernousov, P.I. Predictions of scenarios for the consumption of scrap metal in ferrous metallurgy. Metallurgist 2011, 54, 649–655. [Google Scholar] [CrossRef]
- Gao, M.; Gao, J.T.; Zhang, Y.L.; Yang, S.F. Simulation on scrap melting behavior and carbon diffusion under natural convection. Int. J. Miner. Metall. Mater. 2021, 28, 380–389. [Google Scholar] [CrossRef]
- Li, J.H.; Provatas, N. Kinetics of scrap melting in liquid steel: Multipiece scrap melting. Metall. Mater. Trans. B 2008, 39B, 268–279. [Google Scholar] [CrossRef]
- Diener, D.L.; Tillman, A.M. Scrapping steel components for recycling—Isn’t that good enough? Seeking improvements in automotive component end-of-life. Resour. Conserv. Recycl. 2016, 110, 48–60. [Google Scholar] [CrossRef] [Green Version]
- Ernst, C.; Wewers, B. Influence of residuals resulting from scrap use in the electric arc furnace process on the properties of hot-work tool steels. J. Mater. Sci. 2004, 39, 637–640. [Google Scholar] [CrossRef]
- Kara, L.; Küçükömeroğlu, T.; Baran, O.; Efeoğlu, I.; Yamamoto, K. Microstructure, mechanical, and scratch resistance properties of TiAlCrNbN-graded composite coating deposited on AISI H13 steel substrate with pulsed DC closed field unbalanced magnetron sputtering method. Metall. Mater. Trans. A 2014, 45, 2123–2131. [Google Scholar] [CrossRef]
- Varvara, D.A.I.; Tintelecan, M.; Aciu, C.; Boca, I.M.S.; Hădărean, A.; Rus, T.; Mare, R. An assessment of the substance losses from charge composition used to the steelmaking—Key factor for sustainable steel manufacturing. Procedia Manuf. 2019, 32, 15–21. [Google Scholar] [CrossRef]
- Hou, Y.J.; Tian, H.M.; Qu, X.D.; Teng, J.Z.; Liu, G.X.; Li, Y. Development of digital control system for medium frequency induction furnaces. IOP Conf. Ser. Earth Environ. Sci. 2018, 188, 012005. [Google Scholar] [CrossRef]
- Pan, H.T.; Lv, M. Analysis on the steelmaking characteristics of medium frequency induction furnace. Ind. Heat. 2015, 55, 18–23. (In Chinese) [Google Scholar]
- Fleming, T.J.; Kavanagh, A.; Duggan, G.; O’Mahony, B.; Higgens, M. The effect of induction heating power on the microstructural and physical properties of investment cast ASTM-F75 CoCrMo alloy. J. Mater. Res. Technol. 2019, 8, 4417–4424. [Google Scholar] [CrossRef]
- Megahed, H.; El-Kashif, E.; Shash, A.Y.; Essam, M.A. Effect of holding time, thickness and heat treatment on microstructure and mechanical properties of compacted graphite cast iron. J. Mater. Res. Technol. 2019, 8, 1188–1196. [Google Scholar] [CrossRef]
- Zhang, P.; Li, Y.P.; Lei, Q.; Tan, H.; Shi, R.K.; She, J.L.; Li, S.Y.; Zhu, J.L.; Sheng, X.F.; Zhang, J.; et al. Microstructure and mechanical properties of a CuNiTi alloy with a large product of strength and elongation. J. Mater. Res. Technol. 2020, 9, 2299–2307. [Google Scholar] [CrossRef]
- Liu, Y.; Wang, X.J.; Li, G.Q.; Huang, X.C.; Wang, Q.; Li, B.K. Cleanliness improvement and microstructure refinement of ingot processed by vacuum electroslag remelting. J. Mater. Res. Technol. 2020, 9, 1619–1630. [Google Scholar] [CrossRef]
- Jiang, Z.H.; Dong, Y.W.; Liang, L.K.; Li, Z.B. Hydrogen pick-up during electroslag remelting process. J. Iron Steel Res. Int. 2011, 18, 19–23. [Google Scholar] [CrossRef]
- Wang, Q.; He, Z.; Li, G.G.; Li, B.K.; Zhu, C.Y.; Chen, P.J. Numerical investigation of desulfurization behavior in electroslag remelting process. Int. J. Heat Mass Trans. 2017, 104, 943–951. [Google Scholar] [CrossRef]
- Wang, Q.; Li, G.Q.; He, Z.; Li, B.K. A three-phase comprehensive mathematical model of desulfurization in electroslag remelting process. Appl. Therm. Eng. 2017, 114, 874–886. [Google Scholar] [CrossRef]
- Wang, Q.; Liu, Y.; Li, G.Q.; Gao, Y.M.; He, Z.; Li, B.K. Predicting transfer behavior of oxygen and sulfur in electroslag remelting process. Appl. Therm. Eng. 2018, 129, 378–388. [Google Scholar] [CrossRef]
- Guo, Y.F.; Xia, Z.B.; Li, Q.; Sun, M.Y.; Liu, W.F.; Wang, S.G.; Shen, Z.; Zheng, T.X.; Ding, B.; Zhong, Y.B. Motion and removal behavior of inclusions in electrode tip during magnetically controlled electroslag remelting: X-ray microtomography characterization and modeling verification. J. Mater. Sci. Technol. 2022, 96, 1–10. [Google Scholar] [CrossRef]
- Qiu, G.X.; Zhan, D.P.; Li, C.S.; Yang, Y.K.; Jiang, Z.H.; Zhang, H.S. Effects of electroslag remelting process and Y on the inclusions and mechanical properties of the CLAM steel. Nucl. Eng. Technol. 2020, 52, 811–818. [Google Scholar] [CrossRef]
- Jagota, V.; Sharma, R.K. Impact of austenitizing temperature on the strength behavior and scratch resistance of AISI H13 steel. J. Inst. Eng. India Ser. D 2020, 101, 93–104. [Google Scholar] [CrossRef]
- Abbasi, E.; Luo, Q.S.; Owens, D. Case study: Wear mechanisms of NiCrVMo-steel and CrB-steel scrap shear blades. Wear 2018, 398–399, 29–40. [Google Scholar] [CrossRef]
- Alvim, A.C.; Ferreira, J.R.; Pereira, R. The enhanced normalized normal constraint approach to multi-objective robust optimization in helical milling process of AISI H13 hardened with crossed array. Int. J. Adv. Manuf. Technol. 2021, 119, 2763–2784. [Google Scholar] [CrossRef]
- Suhaily, M.; Amin, A.N.; Patwari, M. Machinability Improvement by Workpiece Preheating during End Milling AISI H13 Hardened Steel. Adv. Mater. Res. 2011, 264–265, 888–893. [Google Scholar] [CrossRef]
- Shi, Z.R.; Wang, R.Z.; Su, H.; Chai, F.; Wang, Q.F.; Yang, C.F. Effect of nitrogen content on the second phase particles in V–Ti microalloyed shipbuilding steel during weld thermal cycling. Mater. Des. 2016, 96, 241–250. [Google Scholar] [CrossRef]
- Hosseini, V.A.; Wessman, S.; Hurtig, K.; Karlsson, L. Nitrogen loss and effects on microstructure in multipass TIG welding of a super duplex stainless steel. Mater. Des. 2016, 98, 88–97. [Google Scholar] [CrossRef]
- Lee, S.J.; Jung, Y.S.; Baik, S.I.; Kim, Y.W.; Kang, M.; Woo, W.; Lee, Y.K. The effect of nitrogen on the stacking fault energy in Fe–15Mn–2Cr–0.6C–xN twinning-induced plasticity steels. Scr. Mater. 2014, 92, 23–26. [Google Scholar] [CrossRef]
- Ye, Y.X.; Ouyang, B.; Liu, C.Z.; Duscher, G.J.; Nieh, T.G. Effect of interstitial oxygen and nitrogen on incipient plasticity of NbTiZrHf high-entropy alloys. Acta Mater. 2020, 199, 413–424. [Google Scholar] [CrossRef]
- Allam, T.; Guo, X.F.; Chwałek, M.L.; Hamada, A.; Ahmed, E.; Bleck, W. Impact of precipitates on the hydrogen embrittlement behavior of a V-alloyed medium-manganese austenitic stainless steel. J. Mater. Res. Technol. 2020, 9, 13524–13538. [Google Scholar] [CrossRef]
- Nunes, A.R.V.; Zeemann, A.; de Almeida, L.H. The contribution of impurities to unexpected cold cracks in a thick C-Mn steel plate. J. Mater. Res. Technol. 2019, 8, 4364–4373. [Google Scholar] [CrossRef]
- Anijdan, S.H.M.; Arab, G.; Sabzi, M.; Sadeghi, M.; Eivani, A.R.; Jafarian, H.R. Sensitivity to hydrogen induced cracking, and corrosion performance of an API X65 pipeline steel in H2S containing environment: Influence of heat treatment and its subsequent microstructural changes. J. Mater. Res. Technol. 2021, 15, 1–16. [Google Scholar] [CrossRef]
- Cooper, A.J.; Cooper, N.I.; Dhers, J.; Sherry, A.H. Effect of oxygen content upon the microstructural and mechanical properties of type 316L austenitic stainless steel manufactured by hot isostatic pressing. Metall. Mater. Trans. A 2016, 47, 4467–4475. [Google Scholar] [CrossRef] [Green Version]
- Hasegawa, M. Chapter 3.3—Ellingham Diagram. In Treatise on Process Metallurgy; Seetharaman, S., Ed.; Elsevier: Stockholm, Sweden, 2014; pp. 507–516. [Google Scholar]
- Xie, W.; Xing, X.R.; Cao, Z.M. Thermodynamic assessment of the Fe–V–O system. Calphad 2020, 71, e102213. [Google Scholar] [CrossRef]
- Liu, C.S.; Liu, X.Q.; Ni, H.W.; Yang, S.F.; Li, J.S.; Ye, F. Effect of vanadium on modification of inclusions in Mn- and Si-deoxidized steel during heat treatment at 1473 K. J. Iron Steel Res. Int. 2017, 24, 520–528. [Google Scholar] [CrossRef]






| W | Mo | Ni | V | Cr | Mn | |
| 0.07–0.09 | 1.10–1.20 | 0.16–0.20 | 0.80–0.90 | 5.00–5.30 | 0.31–0.40 | |
| C | Si | S | P | O | N | H | 
| 0.35–0.45 | 0.86–0.98 | 0.0040–0.0080 | 0.016–0.020 | 0.0018–0.0025 | 0.0053–0.0056 | 0.0015–0.0018 | 
| CaO | Al2O3 | SiO2 | MgO | S | 
| 40–48 | 40–46 | <4 | <6 | <0.1 | 
| No. | Steel Grade | W | Cr | Ni | Mo | V | 
|---|---|---|---|---|---|---|
| 1 | H13-1 | 98.72 | 98.23 | 98.51 | 96.54 | 92.93 | 
| 2 | H13-2 | 98.46 | 93.85 | 98.76 | 98.50 | 94.90 | 
| 3 | H13-3 | 94.15 | 89.75 | 98.82 | 97.96 | 86.69 | 
| 4 | H13 + Ni | 97.98 | 94.03 | 95.10 | 97.49 | 94.93 | 
| 5 | H13 + 2Mo | 98.56 | 91.27 | 98.43 | 97.49 | 82.40 | 
| 6 | H13 + Ni + W | 98.87 | 98.35 | 98.72 | 90.29 | 84.85 | 
| 7 | H13 + 2Ni + W | 94.77 | 96.88 | 95.03 | 87.40 | 89.74 | 
| Average | 97.36 | 94.62 | 97.63 | 95.09 | 89.49 | |
| Standard deviation | 1.86 | 3.12 | 1.63 | 4.06 | 5.29 | |
| No. | Steel Grade | W | Cr | Ni | Mo | V | C | Si | Mn | 
|---|---|---|---|---|---|---|---|---|---|
| 1 | H13-1 | 0.08 | 5.17 | 0.16 | 1.20 | 0.83 | 0.38 | 0.93 | 0.34 | 
| 2 | H13-2 | 0.07 | 5.08 | 0.20 | 1.17 | 0.80 | 0.41 | 0.86 | 0.31 | 
| 3 | H13-3 | 0.09 | 5.32 | 0.20 | 1.20 | 0.82 | 0.43 | 0.91 | 0.40 | 
| 4 | H13 + Ni | 0.15 | 5.01 | 0.48 | 1.27 | 0.87 | 0.35 | 0.97 | 0.37 | 
| 5 | H13 + 2Mo | 0.15 | 5.09 | 0.17 | 1.96 | 0.86 | 0.40 | 1.02 | 0.38 | 
| 6 | H13 + Ni + W | 1.09 | 5.07 | 1.01 | 1.21 | 0.81 | 0.36 | 0.89 | 0.39 | 
| 7 | H13 + 2Ni + W | 1.14 | 4.99 | 2.00 | 1.24 | 0.86 | 0.39 | 0.95 | 0.36 | 
| H13 | H13 + Ni | H13 + 2Mo | H13 + Ni + W | H13 + 2Ni + W | ||
|---|---|---|---|---|---|---|
| P | Scrap | 0.0199 | 0.0170 | 0.0170 | 0.0182 | 0.0197 | 
| Sample | 0.0169 | 0.0165 | 0.0165 | 0.0176 | 0.0174 | |
| S | Scrap | 0.0056 | 0.0057 | 0.0050 | 0.0059 | 0.0046 | 
| Sample | 0.0053 | 0.0051 | 0.0039 | 0.0054 | 0.0040 | 
| H13 | H13 + Ni | H13 + 2Mo | H13 + Ni + W | H13 + 2Ni + W | ||
|---|---|---|---|---|---|---|
| H | Scrap | 1.8 | 1.5 | 1.5 | 1.7 | 1.6 | 
| Sample | 1.6 | 1.4 | 1.5 | 1.5 | 1.5 | |
| N | Scrap | 55 | 56 | 54 | 55 | 53 | 
| Sample | 53 | 52 | 51 | 51 | 49 | |
| O | Scrap | 18 | 25 | 21 | 25 | 24 | 
| Sample | 16 | 21 | 19 | 21 | 23 | 
| Element | O K | V K | Cr K | Fe K | C K | Si K | S K | 
|---|---|---|---|---|---|---|---|
| A | 52.15 | 4.97 | 15.52 | 27.36 | |||
| B | 48.35 | 2.81 | 8.31 | 13.6 | 23.13 | 1.82 | 1.97 | 
| Steel Grade | Size Range (μm) | Maximum Diameter | ||||
|---|---|---|---|---|---|---|
| <4 | 4–6 | 6–8 | 8–10 | >10 | ||
| H13 | 9 | 18 | 15 | 7 | 3 | 19 | 
| H13 + Ni | 21 | 19 | 10 | 4 | 6 | 21 | 
| H13 + Mo | 13 | 14 | 11 | 10 | 5 | 16 | 
| H13 + W | 61 | 21 | 7 | 2 | 3 | 17 | 
| Publisher’s Note: MDPI stays neutral with regard to jurisdictional claims in published maps and institutional affiliations. | 
© 2022 by the authors. Licensee MDPI, Basel, Switzerland. This article is an open access article distributed under the terms and conditions of the Creative Commons Attribution (CC BY) license (https://creativecommons.org/licenses/by/4.0/).
Share and Cite
Wu, L.; Liu, K.; Mei, H.; Bao, G.; Zhou, Y.; Wang, H. Thermodynamics Analysis and Pilot Study of Reusing Medium and High Alloy Steel Scrap Using Induction Melting and Electroslag Remelting Process. Metals 2022, 12, 944. https://doi.org/10.3390/met12060944
Wu L, Liu K, Mei H, Bao G, Zhou Y, Wang H. Thermodynamics Analysis and Pilot Study of Reusing Medium and High Alloy Steel Scrap Using Induction Melting and Electroslag Remelting Process. Metals. 2022; 12(6):944. https://doi.org/10.3390/met12060944
Chicago/Turabian StyleWu, Liushun, Kunlong Liu, Haiqing Mei, Guangda Bao, Yun Zhou, and Haichuan Wang. 2022. "Thermodynamics Analysis and Pilot Study of Reusing Medium and High Alloy Steel Scrap Using Induction Melting and Electroslag Remelting Process" Metals 12, no. 6: 944. https://doi.org/10.3390/met12060944
APA StyleWu, L., Liu, K., Mei, H., Bao, G., Zhou, Y., & Wang, H. (2022). Thermodynamics Analysis and Pilot Study of Reusing Medium and High Alloy Steel Scrap Using Induction Melting and Electroslag Remelting Process. Metals, 12(6), 944. https://doi.org/10.3390/met12060944
 
         
                                                
 
       