Study of the Effect of Quenching and Tempering Modes on the Strength Level of Alloyed Structural Steels Used to Produce Fasteners
Abstract
:1. Introduction
2. Materials and Methods
3. Results and Discussion
3.1. Analysis of the Hardenability of Rolled Products under Study
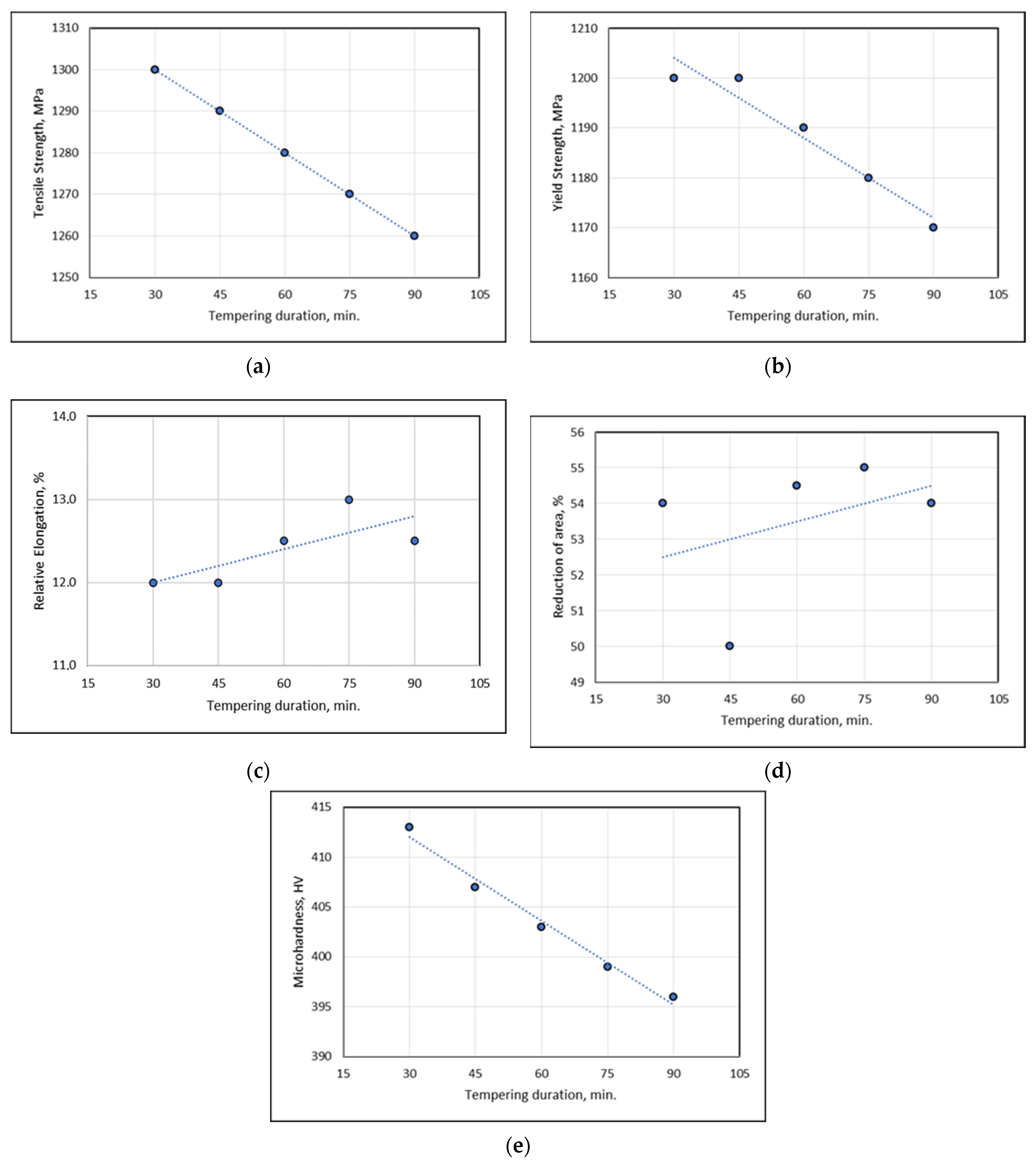
3.2. Regularities of Influence of Temperature and Duration of Tempering
3.3. Investigation of the Possibility and Conditions for Manufacturing Fasteners of Various Property Classes from the Studied Steels
4. Conclusions
- −
- The first group of economically alloyed boron-containing steel grades (32CrB4 and 31CrMoB2), in a wide range of tempering temperatures, makes it possible to manufacture products of property classes 10.9 and 9.8, with the possibility of achieving properties corresponding to class 12.9 in a narrow tempering temperature range.
- −
- The second group of steels, alloyed with chromium and molybdenum (32KhGMR, 42CrMo4) and with chromium, nickel, and molybdenum (40KhN2MA, 34CrNiMo6), makes it possible to consistently achieve mechanical properties corresponding to property class 12.9. For 32KhGMR steel grade, with an economical alloying system, it is possible to achieve high mechanical properties at a significantly lower carbon concentration.
- −
- The third group consists of steel alloyed with chromium, nickel, molybdenum, and vanadium (35KhNMFA), the use of which makes it possible to manufacture ultra-high-strength fasteners with a tensile strength of more than 1400 MPa.
Author Contributions
Funding
Institutional Review Board Statement
Informed Consent Statement
Data Availability Statement
Conflicts of Interest
References
- Rana, R. Low-Density Steels. JOM 2014, 66, 1730–1733. [Google Scholar] [CrossRef]
- Pachurin, G.V.; Fillipov, A.A.; Mukhina, M.V. Rolled stock structure preparation for cold forging of pearlite steel grades. IOP Conf. Ser. Mater. Sci. Eng. 2020, 969, 012010. [Google Scholar] [CrossRef]
- Pang, X.P.; Hu, Y.; Tang, S.L.; Xiang, Z.; Wu, G.; Xu, T.; Wang, X.Q. Physical properties of high-strength bolt materials at elevated temperatures. Results Phys. 2019, 13, 102156. [Google Scholar] [CrossRef]
- ISO898-1: Mechanical Properties of Fasteners Made of Carbon Steel and Alloy Steel-Part 1. 2013. Available online: http://fpg-co.com/Standards/ISO898-1.pdf (accessed on 1 January 2021).
- Kuduzović, A.; Poletti, M.C.; Sommitsch, C.; Domankova, M.; Mitsche, S.; Kienreich, R. Investigations into the delayed fracture susceptibility of 34CrNiMo6 steel, and the opportunities for its application in ultra-high-strength bolts and fasteners. Mater. Sci. Engin. A. 2014, 590, 66–73. [Google Scholar] [CrossRef]
- Ohlund, C.E.I.C.; Lukovic, M.; Weidow, J.; Thuvander, M.; Offerman, S.E. A Comparison between ultra-high-strength and conventional high-strength fastener steels: Mechanical properties at elevated temperature and microstructural mechanisms. ISIJ Int. 2016, 56, 1874–1883. [Google Scholar] [CrossRef]
- Li, D.; Uy, B.; Wang, J.; Song, Y. Behaviour and design of high-strength Grade 12.9 bolts under combined tension and shear. J. Constr. Steel. Res. 2020, 174, 106305. [Google Scholar] [CrossRef]
- Stepanov, A.; Koldaev, A.; Arutyunyan, N.; Zaitsev, A. Evolution of the structural state and properties of 32CrB4 steel during the production of high-strength fasteners. Metals 2022, 12, 366. [Google Scholar] [CrossRef]
- Lavrinenko, V.Y.; Lavrinenko, Y.A.; Govorov, V.A. Materials for manufacturing automotive industry high-strength fasteners. Metallurgist 2020, 63, 960–966. [Google Scholar] [CrossRef]
- Xiao, Z.; Liu, H.; Liu, B.; Sun, H.; Liu, D.; Liu, G. The effect of forming parameter on multi-stage cold forging with 20MnTiB steel. Int. J. Adv. Manuf. Technol. 2016, 83, 1189–1197. [Google Scholar] [CrossRef]
- Bobylev, M.V.; Koroleva, E.G.; Shtannikov, P.A. Promising sparingly alloyed boron-bearing steels for the production of high-Strength Fasteners. Met. Sci. Heat. Treat. 2005, 47, 210–214. [Google Scholar] [CrossRef]
- Huang, Y.C.; Lin, Y.C.; Deng, J.; Liu, G.; Chen, M.-S. Hot tensile deformation behaviors and constitutive model of 42CrMo steel. Mater. Des. 2014, 53, 349–356. [Google Scholar] [CrossRef]
- Huang, W.; Zhong, H.; Lei, L.; Fang, G. Microstructure and mechanical properties of multi-pass forged and annealed 42CrMo steel. Mater. Sci. Eng. A. 2022, 831, 142191. [Google Scholar] [CrossRef]
- Çalık, A.; Dokuzlar, O.; Uçar, N. The effect of heat treatment on mechanical properties of 42CrMo4 steel. J. Achiev. Mater. 2020, 98, 5–10. [Google Scholar] [CrossRef]
- Xiao, Z.B.; Huang, Y.C.; Liu, Y. Plastic deformation behavior and processing maps of 35CrMo steel. J. Mater. Eng. Perform. 2016, 25, 1219–1227. [Google Scholar] [CrossRef]
- Cai, H.; Ye, J.; Wang, L.; Li, X. Heat treatment process of 34CrNiMo6 steel for high-speed railway axle. Heat Treat. Met. 2012, 37, 95–98. [Google Scholar]
- Orlich, J.; Rose, A.; Wiest, P. Atlas zur Wärmebehandlung der Stähle, Band 3, Zeit—Temperatur—Austenitisierung—Schaubilder; Verlag Stahleisen mbH: Düsseldorf, Germany, 1973. [Google Scholar]
- Zaitsev, A.; Arutyunyan, N. Low-carbon Ti-Mo microalloyed hot rolled steels: Special features of the formation of the structural state and mechanical properties. Metals 2021, 11, 1584. [Google Scholar] [CrossRef]
- Chen, C.Y.; Chen, C.C.; Yang, J.R. Microstructure characterization of nanometer carbides heterogeneous precipitation in Ti–Nb and Ti–Nb–Mo steel. Mater. Charact. 2014, 88, 69–79. [Google Scholar] [CrossRef]
- Lee, W.B.; Hong, S.G.; Park, C.G.; Kim, K.H.; Park, S.H. Influence of Mo on precipitation hardening in hot rolled HSLA steels containing Nb. Scr. Mater. 2000, 43, 319–324. [Google Scholar] [CrossRef]









| Steel | C | Si | Mn | S | P | Cr | Ni | Cu | Mo | Al | Ti | V | B | N | Ca |
|---|---|---|---|---|---|---|---|---|---|---|---|---|---|---|---|
| 32CrMo4 | 0.41 | 0.24 | 0.7 | 0.002 | 0.010 | 1.02 | 0.04 | 0.04 | 0.198 | 0.026 | 0.002 | 0.005 | - | 0.009 | 0.0017 |
| 32CrB4 | 0.32 | 0.21 | 0.65 | 0.003 | 0.010 | 0.91 | 0.03 | 0.04 | 0.002 | 0.024 | 0.040 | 0.005 | 0.0024 | 0.008 | 0.0026 |
| 40KhN2MA | 0.39 | 0.25 | 0.53 | 0.002 | 0.008 | 0.67 | 1.27 | 0.03 | 0.17 | 0.025 | 0.002 | 0.003 | - | 0.008 | 0.0030 |
| 34CrNiMo6 | 0.38 | 0.21 | 0.66 | 0.005 | 0.005 | 1.53 | 1.3 | 0.02 | 0.29 | 0.02 | - | - | - | 0.007 | - |
| 31CrMoB2 | 0.29 | 0.30 | 0.94 | 0.005 | 0.005 | 0.53 | 0.18 | 0.02 | 0.15 | 0.02 | 0.04 | - | 0.006 | 0.007 | - |
| 32KhGMR | 0.34 | 0.24 | 1.12 | 0.005 | 0.005 | 0.54 | 0.31 | 0.02 | 0.35 | 0.01 | 0.03 | - | 0.006 | 0.007 | - |
| 35KhNMFA | 0.33 | 0.35 | 0.91 | 0.005 | 0.005 | 1.08 | 1.5 | 0.02 | 0.43 | 0.14 | 0.07 | 0.16 | - | 0.007 | - |
| Steel | 42CrMo4 | 32CrB4 | 40KhN2MA | 34CrNiMo6 | 31CrMoB2 | 32KhGMR | 35KhNMFA |
|---|---|---|---|---|---|---|---|
| Taust, °C | 845 | 860 | 850 | 850 | 860 | 850 | 850 |
| Steel | Measurement Number | Microhardness Value, HV | Deviation of HV in the Axial Zone from the Average, % | |||
|---|---|---|---|---|---|---|
| Measurement Area | Sample Average | |||||
| Surface | Middle | Axial | ||||
| 42CrMo4 | 1 | 660 | 659 | 644 | 656.3 | −1.9 |
| 2 | 655 | 666 | 638 | |||
| 3 | 664 | 672 | 649 | |||
| 32CrB4 | 1 | 547 | 560 | 556 | 549.9 | −0.1 |
| 2 | 546 | 546 | 542 | |||
| 3 | 544 | 557 | 552 | |||
| 40KhN2MA | 1 | 602 | 628 | 601 | 610.6 | −0.9 |
| 2 | 604 | 625 | 605 | |||
| 3 | 599 | 621 | 610 | |||
| 34CrNiMo6 | 1 | 627 | 629 | 635 | 632.9 | 0.9 |
| 2 | 632 | 636 | 648 | |||
| 3 | 625 | 632 | 632 | |||
| 31CrMoB2 | 1 | 538 | 552 | 546 | 545.7 | 0.7 |
| 2 | 537 | 553 | 555 | |||
| 3 | 532 | 550 | 548 | |||
| 32KhGMR | 1 | 598 | 585 | 600 | 598.1 | 0.6 |
| 2 | 604 | 591 | 598 | |||
| 3 | 606 | 594 | 607 | |||
| 35KhNMFA | 1 | 604 | 596 | 604 | 601.7 | 0.8 |
| 2 | 597 | 606 | 603 | |||
| 3 | 598 | 595 | 612 | |||
| Tempering Durations, min | Mechanical Properties | ||||
|---|---|---|---|---|---|
| σ0.2, MPa | σB, MPa | δ, % | Ψ, % | HV | |
| 30 | 1200 | 1300 | 12.0 | 54.0 | 413 |
| 45 | 1200 | 1290 | 12.0 | 50.0 | 407 |
| 60 | 1190 | 1280 | 12.5 | 54.5 | 403 |
| 75 | 1180 | 1270 | 13.0 | 55.0 | 399 |
| 90 | 1170 | 1260 | 12.5 | 54.0 | 396 |
| Steel | Tempering Temperature, °C | Diameter, mm | Mechanical Properties | ||||
|---|---|---|---|---|---|---|---|
| σ0.2, MPa | σB, MPa | δ, % | Ψ, % | HV | |||
| 42CrMo4 | 450 | 22 | 1320 | 1400 | 12.0 | 53 | 445 |
| 500 | 1200 | 1280 | 14.0 | 55 | 404 | ||
| 550 | 1080 | 1180 | 15.0 | 58 | 376 | ||
| 32CrB4 | 450 | 21 | 1200 | 1270 | 14 | 62 | 390 |
| 500 | 1050 | 1110 | 17 | 63 | 342 | ||
| 550 | 880 | 960 | 19 | 66 | 297 | ||
| 40KhN2MA | 450 | 19 | 1210 | 1300 | 14.0 | 54 | 407 |
| 500 | 1110 | 1210 | 15.5 | 62 | 379 | ||
| 550 | 980 | 1080 | 17.0 | 63 | 341 | ||
| 34CrNiMo6 | 450 | 20 | 1330 | 1470 | 13.0 | 53 | 454 |
| 500 | 1220 | 1330 | 14.5 | 57 | 417 | ||
| 550 | 1120 | 1230 | 16.0 | 60 | 382 | ||
| 31CrMoB2 | 450 | 20 | 1220 | 1270 | 14.0 | 62 | 392 |
| 500 | 1080 | 1130 | 15.5 | 63 | 353 | ||
| 550 | 930 | 1000 | 17.0 | 66 | 313 | ||
| 32KhGMR | 450 | 20 | 1300 | 1380 | 13.5 | 60 | 424 |
| 500 | 1180 | 1250 | 15.0 | 60 | 390 | ||
| 550 | 1060 | 1140 | 16.5 | 60 | 359 | ||
| 35KhNMFA | 450 | 20 | 1410 | 1490 | 12.0 | 55 | 457 |
| 500 | 1350 | 1420 | 14.0 | 55 | 443 | ||
| 550 | 1300 | 1360 | 15.5 | 56 | 430 | ||
| ISO 898-1 requirements for property class 10.9 | ≥940 | ≥1040 | ≥9.0 | ≥48 | 320–380 | ||
| ISO 898-1 requirements for property class 12.9 | ≥1100 | ≥1220 | ≥8.0 | ≥44 | 385–435 | ||
| Steel | 42CrMo4 | 32CrB4 | 40KhN2MA | 34CrNiMo6 | 31CrMoB2 | 32KhGMR | ||||
|---|---|---|---|---|---|---|---|---|---|---|
| Property class | 12,9 | 10.9 | 12.9 | 10.9 | 12.9 | 12.9 | 10.9 | 12.9 | 10.9 | 12.9 |
| Tmin, °C | 462 ± 5 | 467 ± 5 | 450 ± 5 | 450 ± 5 | 498 ± 5 | 476 ± 5 | 476 ± 5 | 450 ± 5 | 524 ± 5 | 450 ± 5 |
| Tmax, °C | 532 ± 5 | 523 ± 5 | 460 ± 5 | 485 ± 5 | 570 ± 5 | 546 ± 5 | 534 ± 5 | 465 ± 5 | 591 ± 5 | 509 ± 5 |
| Tmean, °C | 497 | 495 | 455 | 468 | 534 | 511 | 505 | 458 | 558 | 480 |
Publisher’s Note: MDPI stays neutral with regard to jurisdictional claims in published maps and institutional affiliations. |
© 2022 by the authors. Licensee MDPI, Basel, Switzerland. This article is an open access article distributed under the terms and conditions of the Creative Commons Attribution (CC BY) license (https://creativecommons.org/licenses/by/4.0/).
Share and Cite
Zaitsev, A.; Koldaev, A.; Stepanov, A.; Arutyunyan, N.; Stolyarov, A.; Zaytseva, M.; Konstantinov, D. Study of the Effect of Quenching and Tempering Modes on the Strength Level of Alloyed Structural Steels Used to Produce Fasteners. Metals 2022, 12, 1501. https://doi.org/10.3390/met12091501
Zaitsev A, Koldaev A, Stepanov A, Arutyunyan N, Stolyarov A, Zaytseva M, Konstantinov D. Study of the Effect of Quenching and Tempering Modes on the Strength Level of Alloyed Structural Steels Used to Produce Fasteners. Metals. 2022; 12(9):1501. https://doi.org/10.3390/met12091501
Chicago/Turabian StyleZaitsev, Alexander, Anton Koldaev, Alexey Stepanov, Nataliya Arutyunyan, Alexey Stolyarov, Mariya Zaytseva, and Dmitrii Konstantinov. 2022. "Study of the Effect of Quenching and Tempering Modes on the Strength Level of Alloyed Structural Steels Used to Produce Fasteners" Metals 12, no. 9: 1501. https://doi.org/10.3390/met12091501
APA StyleZaitsev, A., Koldaev, A., Stepanov, A., Arutyunyan, N., Stolyarov, A., Zaytseva, M., & Konstantinov, D. (2022). Study of the Effect of Quenching and Tempering Modes on the Strength Level of Alloyed Structural Steels Used to Produce Fasteners. Metals, 12(9), 1501. https://doi.org/10.3390/met12091501

