Corrosion Behavior of Fe2O3/Alumina Layer Produced by Plasma Electrolytic Oxidation of 6061 Al Alloy
Abstract
1. Introduction
2. Experimental Procedure
3. Results and Discussion
3.1. Voltage–Time Curves
3.2. Morphologies of the Oxide Layer
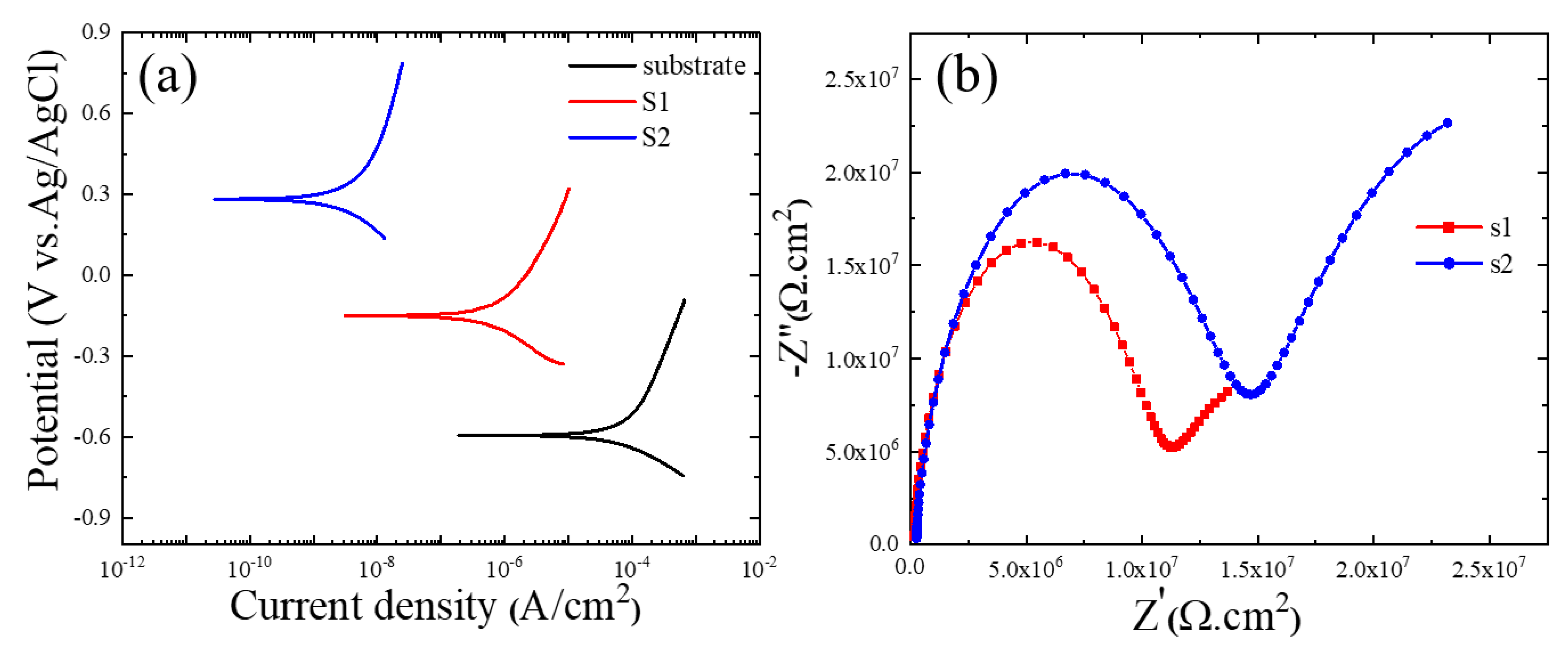
3.3. Electrochemical Responses
4. Conclusions
Author Contributions
Funding
Data Availability Statement
Conflicts of Interest
References
- Kaseem, M.; Fatimah, S.; Nashrah, N.; Ko, Y. Recent progress in surface modification of metals coated by plasma electrolytic oxidation: Principle, structure, and performance. Prog. Mater. Sci. 2021, 117, 100735. [Google Scholar] [CrossRef]
- Fattah-alhosseini, A.; Vakili-Azghandi, M.; Keshavarz, M. Influence of concentrations of KOH and Na2SiO3 electrolytes on the electrochemical behavior of ceramic coatings on 6061 Al alloy processed by plasma electrolytic oxidation. Acta Metall. Sin. Eng. Lett. 2016, 29, 274–281. [Google Scholar] [CrossRef]
- Kaseem, M.; Zehra, T.; Dikici, B.; Dafali, A.; Yang, H.; Ko, Y. Improving the electrochemical stability of AZ31 Mg alloy in a 3.5wt.% NaCl solution via the surface functionalization of plasma electrolytic oxidation coating. J. Magnes. Alloy 2022, 10, 1311–1325. [Google Scholar] [CrossRef]
- Zhu, Z.; Tu, W.; Cheng, Y.; Cheng, Y. The formation of metallic W and amorphous phase in the plasma electrolytic oxidation coatings on an Al alloy from tungstate-containing electrolyte. Surf. Coat. Technol. 2019, 361, 176–187. [Google Scholar] [CrossRef]
- Hussain, T.; Kaseem, M.; Ko, Y. Hard acid-hard base interactions responsible for densification of alumina layer for superior electrochemical performance. Corros. Sci. 2020, 170, 108663. [Google Scholar] [CrossRef]
- Shen, D.; Li, G.; Guo, C.; Zou, J.; Cai, J.; He, D.; Ma, H.; Liu, F. Microstructure and corrosion behavior of micro-arc oxidation coating on 6061 aluminum alloy pre-treated by high-temperature oxidation. Appl. Surf. Sci. 2013, 287, 451–456. [Google Scholar] [CrossRef]
- De Oliveira, F.G.S.; De Oliveira Frutuoso, J.V.; Alves-Junior, C. Controlling plasma electrolytic oxidation of titanium using current pulses compatible with the duration of microdischarges. Results Mater. 2022, 15, 100310. [Google Scholar] [CrossRef]
- Tseng, C.; Lee, J.; Kuo, T.; Kuo, S.; Tseng, K. The influence of sodium tungstate concentration and anodizing conditions on microarc oxidation (MAO) coatings for aluminum alloy. Surf. Coat. Technol. 2012, 206, 3437–3443. [Google Scholar] [CrossRef]
- Arunnellaiappan, T.; Ashfaq, M.; Krishna, L.; Rameshbabu, N. Fabrication of corrosion-resistant Al2O3-CeO2 composite coating on AA7075 via plasma electrolytic oxidation coupled with electrophoretic deposition. Ceram. Int. 2016, 42, 5897–5905. [Google Scholar] [CrossRef]
- Xiang, N.; Song, R.; Zhuang, J.; Song, R.; Lu, X.; Su, X. Effects of current density on microstructure and properties of plasma electrolytic oxidation ceramic coatings formed on 6063 aluminum alloy. Trans. Nonferrous Met. Soc. China 2016, 26, 806–813. [Google Scholar] [CrossRef]
- Bahramian, A.; Raeissi, K.; Hakimizad, A. An investigation of the characteristics of Al2O3/TiO2 PEO nanocomposite coating. Appl. Surf. Sci. 2015, 351, 13–26. [Google Scholar] [CrossRef]
- Kassem, M.; Lee, Y.; Ko, Y. Incorporation of MoO2 and ZrO2 particles into the oxide film formed on 7075 Al alloy via micro-arc oxidation. Mater. Lett. 2016, 182, 260–263. [Google Scholar] [CrossRef]
- Kaseem, M.; Ko, Y. Electrochemical response of Al2O3-MoO2-TiO2 oxide films formed on 6061 Al alloy by plasma electrolytic oxidation. J. Electrochem. Soc. 2016, 163, C587–C592. [Google Scholar] [CrossRef]
- Kaseem, M.; Ko, Y.G. Formation of flower-like structures for optimizing the corrosion resistance of Mg alloy. Mater. Lett. 2018, 221, 196–200. [Google Scholar] [CrossRef]
- Barati, N.; Yerokhin, A.; Golestanifard, F.; Rastegari, S.; Meletis, E. Alumina-zirconia coatings produced by plasma electrolytic oxidation on Al alloy for corrosion resistance improvement. J. Alloys Compd. 2017, 724, 435–442. [Google Scholar] [CrossRef]
- Kaseem, M.; Hussain, T.; Rehman, Z.U.; Banisalman, M.; Ko, Y. Advantage of an in-situ reactive incorporation over direct particles incorporation of V2O5 for a competitive plasma electrolysis coating. Surf. Coat. Technol. 2020, 399, 126200. [Google Scholar] [CrossRef]
- Liu, T.; Liu, Y.; Ye, Y.; Li, J.; Yang, F.; Zhao, H.; Wang, L. Corrosion protective properties of epoxy coating containing tetraaniline modified nano-α-Fe2O3. Prog. Org. Coat. 2019, 132, 455–467. [Google Scholar] [CrossRef]
- Dhoke, S.; Khanna, A. Effect of nano-Fe2O3 particles on the corrosion behavior of alkyd based waterborne coatings. Corros. Sci. 2009, 51, 6–20. [Google Scholar] [CrossRef]
- Kim, Y.; Kim, G.; Ko, Y.; Shin, D. Photocatalytic activity of TiO2 film containing Fe2O3 via plasma electrolytic oxidation. Surf. Eng. 2016, 32, 442–447. [Google Scholar] [CrossRef]
- Fatimah, S.; Kamil, M.; Kwon, J.; Kaseem, M.; Ko, Y. Dual incorporation of SiO2 and ZrO2 nanoparticles into the oxide layer on 6061 Al alloy via plasma electrolytic oxidation: Coating structure and corrosion properties. J. Alloys. Compd. 2017, 707, 358–364. [Google Scholar] [CrossRef]
- Vakili-Azghandi, M.; Fattah-Alhosseini, A. Effects of Duty Cycle, Current Frequency, and Current Density on Corrosion Behavior of the Plasma Electrolytic Oxidation Coatings on 6061 Al Alloy in Artificial Seawater. Metall. Mater. Trans. A 2017, 48, 4681–4692. [Google Scholar] [CrossRef]
- Kaseem, M.; Zehra, T.; Hussain, T.; Ko, Y.; Fattah-Alhosseini, A. Electrochemical response of MgO/Co3O4 oxide layers produced by plasma electrolytic oxidation and post treatment using cobalt nitrate. J. Magn. Alloys. 2022, 30, 749–778. [Google Scholar] [CrossRef]
- Fattah-Alhosseini, A.; Chaharmahali, R.; Keshavarz, M.; Babaei, K. Surface characterization of bioceramic coatings on Zr and its alloys using plasma electrolytic oxidation (PEO): A review. Surf. Interfaces 2021, 25, 101283. [Google Scholar] [CrossRef]
- Kaseem, M.; Zehra, T.; Dikici, B.; Dafali, A.; Fattah-Alhosseini, A. A novel dual-functional layer exhibiting exceptional protection and photocatalytic activity by organic functionalization of plasma electrolyzed layer. J. Magnes. Alloys 2022. [Google Scholar] [CrossRef]
- Kamil, M.; Kaseem, M.; Ko, Y. Soft plasma electrolysis with complex ions for optimizing electrochemical performance. J. Sci. Rep. 2017, 7, 44458. [Google Scholar] [CrossRef] [PubMed]
- Kaseem, M.; Ko, Y. On the compactness of the oxide layer induced by utilizing a porosification agent. Appl. Surf. Sci. 2019, 473, 715–725. [Google Scholar] [CrossRef]
- Li, L.; Hussain, S.; Jia, L.; Lin, D.; Yin, X.; Lin, Y.; Cheng, Z.; Wang, L. FeS2/carbon hybrids on carbon cloth: A highly efficient and stable counter electrode for dyesensitized solar cells. Sustain. Energy Fuels 2019, 3, 1749. [Google Scholar] [CrossRef]
- Yang, S.; Song, X.; Zhang, P.; Sun, J.; Gao, L. Self-assembled α-Fe2O3 mesocrystals/graphene nanohybrid for enhanced electrochemical capacitors. Small 2014, 10, 2270–2279. [Google Scholar] [CrossRef]
- Stern, M.; Geary, A. A theoretical analysis of the shape of polarization curves. J. Electrochem. Soc. 1957, 104, 56–63. [Google Scholar] [CrossRef]
- Fattah-Alhosseini, A.; Chaharmahali, R. Enhancing Corrosion and Wear Performance of PEO Coatings on Mg Alloys using Graphene and Graphene Oxide Additions: A Review. FlatChem 2021, 27, 100241. [Google Scholar] [CrossRef]
- Babaei, K.; Fattah-Alhosseini, A.; Molaei, M. The Effects of Carbon-Based Additives on Corrosion and Wear Properties of Plasma Electrolytic Oxidation (PEO) Coatings Applied on Aluminum and its Alloys: A review. Surf. Interfaces 2020, 21, 100677. [Google Scholar] [CrossRef]
- Vakili-Azghandi, M.; Fattah-Alhosseini, A.; Keshavarz, M. Effects of Al2O3 nano-particles on corrosion performance of plasma electrolytic oxidation coatings formed on 6061 aluminum alloy. J. Mater. Eng. Perform. 2016, 25, 5302–5313. [Google Scholar] [CrossRef]
- Kaseem, M.; Yang, H.; Ko, Y. Toward a nearly defect-free coating via high-energy plasma sparks. Sci. Rep. 2017, 7, 2378. [Google Scholar] [CrossRef] [PubMed]






| Electrolyte | Composition/(g/L) | ||
|---|---|---|---|
| NaAlO2 | KOH | Fe(NO3)3 | |
| S1 | 8.178 | 11.22 | 0 |
| S2 | 8.178 | 11.22 | 5 |
| Sample | Ecorr (V) | icorr (Acm−2) | βa (V/Decade) | βc (V/Decade) | Rp (Ωcm2) |
|---|---|---|---|---|---|
| Substrate | −0.584 | 5.62 × 10−5 | 0.200 | −0.115 | 5.64 × 102 |
| S1 | −0.146 | 4.90 × 10−7 | 0.208 | −0.125 | 6.92 × 104 |
| S2 | 0.281 | 2.01 × 10−9 | 0.06 | −0.149 | 9.24 × 106 |
| Sample | Rs (Ωcm2) | Ro (Ωcm2) | CPE-no | CPE-Yo (S.sn.cm−2) | Ri (Ωcm2) | CPE-ni | CPE-Yi (S.sn.cm−2) | W (S*S1/2) |
|---|---|---|---|---|---|---|---|---|
| S1 | 80.47 | 7.04 × 105 | 0.87 | 7.17 × 10−10 | 1.03 × 107 | 0.57 | 1.48 × 10−7 | 5.34 × 10−7 |
| S2 | 85.42 | 3.16 × 107 | 0.98 | 6.48 × 10−11 | 1.45 × 108 | 0.60 | 8.40 × 10−8 | 7.98 × 10−5 |
Disclaimer/Publisher’s Note: The statements, opinions and data contained in all publications are solely those of the individual author(s) and contributor(s) and not of MDPI and/or the editor(s). MDPI and/or the editor(s) disclaim responsibility for any injury to people or property resulting from any ideas, methods, instructions or products referred to in the content. |
© 2023 by the authors. Licensee MDPI, Basel, Switzerland. This article is an open access article distributed under the terms and conditions of the Creative Commons Attribution (CC BY) license (https://creativecommons.org/licenses/by/4.0/).
Share and Cite
Kaseem, M.; Fattah-alhosseini, A. Corrosion Behavior of Fe2O3/Alumina Layer Produced by Plasma Electrolytic Oxidation of 6061 Al Alloy. Metals 2023, 13, 495. https://doi.org/10.3390/met13030495
Kaseem M, Fattah-alhosseini A. Corrosion Behavior of Fe2O3/Alumina Layer Produced by Plasma Electrolytic Oxidation of 6061 Al Alloy. Metals. 2023; 13(3):495. https://doi.org/10.3390/met13030495
Chicago/Turabian StyleKaseem, Mosab, and Arash Fattah-alhosseini. 2023. "Corrosion Behavior of Fe2O3/Alumina Layer Produced by Plasma Electrolytic Oxidation of 6061 Al Alloy" Metals 13, no. 3: 495. https://doi.org/10.3390/met13030495
APA StyleKaseem, M., & Fattah-alhosseini, A. (2023). Corrosion Behavior of Fe2O3/Alumina Layer Produced by Plasma Electrolytic Oxidation of 6061 Al Alloy. Metals, 13(3), 495. https://doi.org/10.3390/met13030495

