Extracting Al2O3 and TiO2 from Red Mud Smelting Separation Slag by Alkali and Acid Leaching Methods
Abstract
1. Introduction
2. Materials and Methods
2.1. Materials
2.1.1. Smelting Separation Slag
2.1.2. Additives
2.2. Methods
2.3. Characterization
3. Results and Discussion
3.1. Mineral Phase Reconstruction Procedure
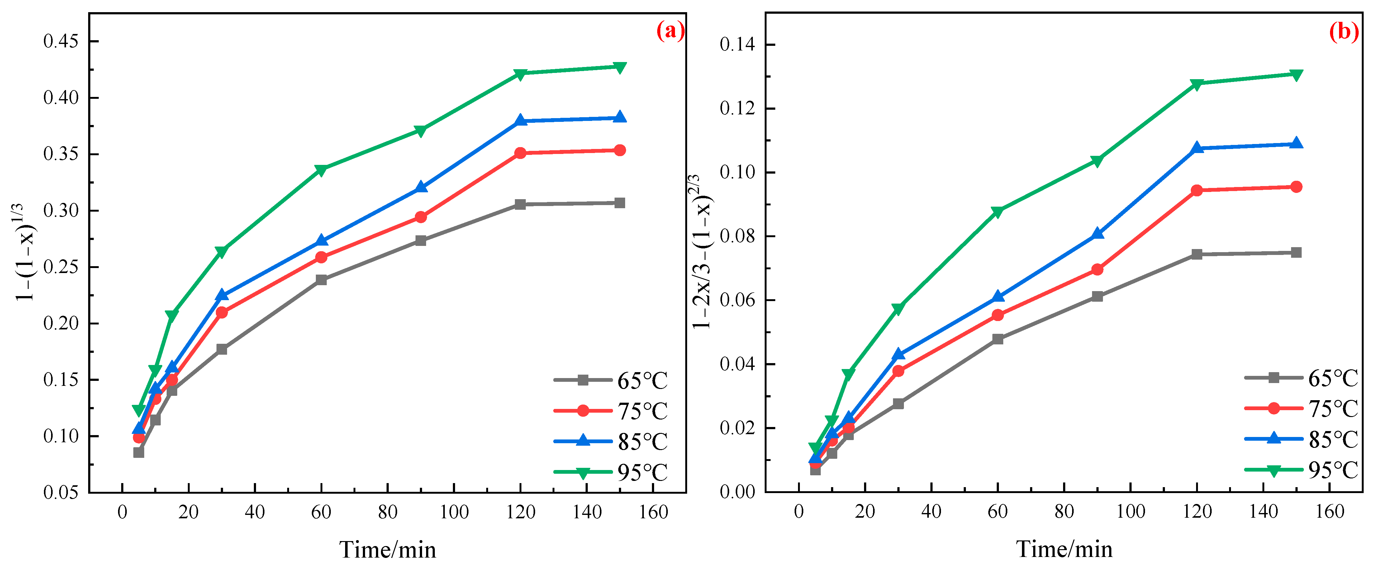
3.2. Alkaline Leaching of the MPR Slag
4. Conclusions
Author Contributions
Funding
Data Availability Statement
Acknowledgments
Conflicts of Interest
References
- Khairul, M.A.; Zanganeh, J.; Moghtaderi, B. The composition, recycling and utilization of Bayer red mud. Resour. Conserv. Recycl. 2019, 141, 483–498. [Google Scholar] [CrossRef]
- Mukiza, E.; Zhang, L.L.; Liu, X.M.; Zhang, N. Utilization of red mud in road base and subgrade materials: A review. Resour. Conserv. Recycl. 2019, 141, 187–199. [Google Scholar] [CrossRef]
- Ghalehnovi, M.; Roshan, N.; Hakak, E.; Shamsabadi, E.A.; De brito, J. Effect of red mud (bauxite residue) as cement replacement on the properties of self-compacting concrete incorporating various fillers. J. Clean. Prod. 2019, 240, 118213. [Google Scholar] [CrossRef]
- Available online: https://international-aluminium.org/statistics/alumina-production/ (accessed on 12 December 2022).
- Wang, S.H.; Jin, H.X.; Deng, Y.; Xiao, Y.D. Comprehensive utilization status of red mud in China: A critical review. J. Clean. Prod. 2020, 289, 125136. [Google Scholar] [CrossRef]
- Liu, P.; Shao, G.H.; Huang, R.P. Treatment of Bayer-process red mud through Microbially induced carbonte precipitation. J. Mater. Civ. Eng. 2021, 33, 04021067. [Google Scholar] [CrossRef]
- Nie, Q.K.; Hu, W.; Huang, B.S.; Shu, X.; He, Q. Synergistic utilization of red mud for flue-gas desulfurization and fly ash-based geopolymer preparation. J. Hazard. Mater. 2019, 369, 503–511. [Google Scholar] [CrossRef] [PubMed]
- Huang, Y.F.; Chai, W.C.; Han, G.H.; Wang, W.J.; Yang, S.Z.; Liu, J.T. A perspective of stepwise utilization of Bayer red mud: Step two—Extracting and recovering Ti from Ti-enriched tailing with acid leaching and precipitate flotation. J. Hazard. Mater. 2016, 307, 318–327. [Google Scholar]
- Wang, M.F.; Liu, X.M. Applications of red mud as an environmental remediation material: A review. J. Hazard. Mater. 2020, 408, 124420. [Google Scholar] [CrossRef]
- Liu, S.H.; Guan, X.M.; Zhang, S.S.; Dou, Z.Z.; Feng, C.H.; Zhang, H.B.; Luo, S.Q. Sintered bayer red mud based ceramic bricks: Microstructure evolution and alkalis immobilization mechanism. Ceram. Int. 2017, 43, 13004–13008. [Google Scholar] [CrossRef]
- Ding, W.; Xiao, J.H.; Peng, Y.; Shen, S.Y.; Chen, T. Iron extraction from red mud using roasting with sodium salt. Miner. Process. Extr. Metall. Rev. 2019, 42, 153–161. [Google Scholar]
- Shrey, A.; Veeranjaneyulu, R.; Nikhil, D. Microwave Reduction of Red Mud for Recovery of Iron Values. J. Sustain. Metall. 2018, 4, 427–436. [Google Scholar]
- Valeev, D.; Zinoveev, D.; Kondratiev, A.; Lubyanoi, D.; Pankratov, D. Reductive Smelting of Neutralized Red Mud for Iron Recovery and Produced Pig Iron for Heat-Resistant Castings. Metals 2019, 10, 32. [Google Scholar] [CrossRef]
- Gao, Y.J.; Liang, K.; Gou, Y.; Wei, S.A.; Shen, W.F.; Cheng, F.Q. Aluminum extraction technologies from high aluminum fly ash. Rev. Chem. Eng. 2021, 37, 885–906. [Google Scholar] [CrossRef]
- Kudyba, A.; Akhtar, S.; Johansen, I.; Safarian, J. Aluminum recovery from white aluminum dross by a mechanically activated phase separation and remelting process. JOM 2021, 73, 2625–2634. [Google Scholar] [CrossRef]
- Zinoveev, D.; Pasechnik, L.; Fedotov, M.; Dyubanov, V.; Grudinsky, P.; Alpatov, A. Extraction of valuable elements from red mud with a focus on using liquid media—A review. Recycling 2021, 6, 38. [Google Scholar] [CrossRef]
- Bayca, S.U.; Kisik, H. Optimization of leaching parameters of aluminum hydroxide extraction from bauxite waste using the Taguchi method. Environ. Prog. Sustain. Energy 2018, 37, 196–202. [Google Scholar] [CrossRef]
- Pasechnik, L.A.; Skachkov, V.M.; Bogdanova, E.A.; Chufarov, A.Y.; Kellerman, D.G.; Medyankina, I.S.; Yatsenko, S.P. A promising process for transformation of hematite to magnetite with simultaneous dissolution of alumina from red mud in alkaline mediumAutoclave hydrometallurgical processing of alumina production red mud. Hydrometallurgy 2020, 196, 105438. [Google Scholar] [CrossRef]
- Li, S.W.; Pan, J.; Zhu, D.Q.; Guo, Z.Q.; Shi, Y.; Dong, T.; Lu, S.H.; Tian, H.Y. A new route for separation and recovery of Fe, Al and Ti from red mud. Resour. Conserv. Recycl. 2020, 168, 105314. [Google Scholar] [CrossRef]
- Yang, H.; Shen, S.F.; Liu, H.Y.; Zhen, X.J.; Li, W.G.; Zhao, Q.C.; Wang, J.L.; Luo, Y.F. Study on Mineralogical Characteristics of Secondary Aluminum Ash. Nonferrous Met. Eng. 2019, 9, 117–124. (In Chinese) [Google Scholar]
- Sun, Y.L.; Liang, Z.K.; Qi, G.X.; Xu, H.; Li, L.; Yuan, C.; Wang, Y. Optimization of reaction conditions and mechanism of desilication of high-alumina fly ash. Res. Environ. Sci. 2016, 29, 753–760. (In Chinese) [Google Scholar]
- Guo, W.; Li, D.X.; Yang, N.R. Ions dissolving-out characteristics of calcined coal gangues in alkaline solutions and its structure. J. Chin. Ceram. Soc. 2004, 32, 1230–1234. (In Chinese) [Google Scholar]
- Sitarz, M.; Handke, M.; Mozgawa, W.; Galuskin, E.; Galuskin, I. The non-ring cations influence on silicooxygen ring vibrations. J. Mol. Struct. 2000, 555, 357–362. [Google Scholar] [CrossRef]
- Jin, X.H.; Gao, L.; Guo, J.K. The structural change of diphasic mullite gel studied by XRD and IR spectrum analysis. J. Eur. Ceram. Soc. 2002, 22, 1307–1311. [Google Scholar] [CrossRef]
- Li, C.; Wan, J.H.; Sun, H.H.; Li, L.T. Investigation on the activation of coal gangue by a new compound method. J. Hazard. Mater. 2010, 179, 515–520. [Google Scholar] [CrossRef] [PubMed]
- Song, X.Y.; Gong, C.C.; Li, D.X. Study on structural characteristic and mechanical property of coal gangue in the activation process. J. Chin. Ceram. Soc. 2004, 32, 358–363. [Google Scholar]
- Guo, W.; Li, D.X.; Chen, J.H.; Yang, N.R. Structure and pozzolanic activity of calcined coal gangue during the process of mechanical activation. J. Wuhan Univ. Technol. 2009, 24, 326–329. [Google Scholar] [CrossRef]
- Brachhold, N.; Koning, A.S.; Brendler, E.; Aneziris, C. Investigation of the synthesis and the alkali corrosion of potassium aluminosilicates by XRD and NMR. Ceram. Int. 2021, 47, 33596–33605. [Google Scholar] [CrossRef]
- Gupta, R.; Tomar, A.S.; Mishra, D.; Sanghi, S.K. Multinuclear MAS NMR characterization of fly-ash-based advanced sodium aluminosilicate geopolymer: Exploring solid-state reactions. Chemistryselect 2020, 5, 4920–4927. [Google Scholar] [CrossRef]
- Chun, T.J.; Zhu, D.Q.; Pan, J.; He, Z. Recovery of Alumina from Magnetic Separation Tailings of Red Mud by Na2CO3 Solution Leaching. Metall. Mater. Trans. B. 2014, 45, 827–832. [Google Scholar] [CrossRef]













| Country | Amount (Millon Tonnes) |
|---|---|
| Africa & Asia (ex China) | 11.03–20.69 |
| North America | 1.93–3.62 |
| South Americal | 9.31–17.45 |
| Europe (inc Russia) | 6.58–12.33 |
| Oceania | 16.10–30.17 |
| China | 63.81–119.64 |
| Fe | Al2O3 | SiO2 | CaO | MgO | K2O | Na2O | TiO2 | P | S |
|---|---|---|---|---|---|---|---|---|---|
| 2.65 | 47.60 | 9.53 | 6.38 | 0.56 | 0.13 | 4.08 | 10.35 | 0.079 | 0.15 |
| Alkaline-Soluble | Insoluble | Total | |
|---|---|---|---|
| Al2O3 content | 3.17 | 44.43 | 47.60 |
| Fraction | 6.67 | 93.33 | 100 |
| Free SiO2 | Silicate | Total | |
| SiO2 content | 0.18 | 9.35 | 9.53 |
| Fraction | 1.89 | 98.11 | 100 |
| Alkaline-Soluble | Insoluble | Total | |
|---|---|---|---|
| Al2O3 content | 31.53 | 4.93 | 36.46 |
| Fraction | 86.47 | 13.53 | 100 |
| Free SiO2 | Silicate | Total | |
| SiO2 content | 0.13 | 7.16 | 7.29 |
| Fraction | 1.83 | 98.17 | 100 |
| 65 °C | 75 °C | 85 °C | 95 °C | |||||
|---|---|---|---|---|---|---|---|---|
| R2 | k | R2 | k | R2 | k | R2 | k | |
| 1 − (1 − x)1/3 | 0.9111 | 0.0015 | 0.9312 | 0.0017 | 0.9362 | 0.0019 | 0.8987 | 0.0020 |
| 1 − 2x/3 − (1 − x)2/3 | 0.9510 | 0.0005 | 0.9657 | 0.0006 | 0.9679 | 0.0007 | 0.9395 | 0.0008 |
| Sample | Fe | Al2O3 | SiO2 | CaO | MgO | K2O | Na2O | TiO2 |
|---|---|---|---|---|---|---|---|---|
| Alkaline leaching | 4.70 | 12.71 | 14.58 | 16.81 | 0.72 | 0.079 | 14.54 | 17.97 |
| Acid leaching | 6.04 | 4.80 | 0.81 | 37.21 | 0.80 | 0.012 | 1.15 | 46.53 |
Disclaimer/Publisher’s Note: The statements, opinions and data contained in all publications are solely those of the individual author(s) and contributor(s) and not of MDPI and/or the editor(s). MDPI and/or the editor(s) disclaim responsibility for any injury to people or property resulting from any ideas, methods, instructions or products referred to in the content. |
© 2023 by the authors. Licensee MDPI, Basel, Switzerland. This article is an open access article distributed under the terms and conditions of the Creative Commons Attribution (CC BY) license (https://creativecommons.org/licenses/by/4.0/).
Share and Cite
Li, S.; Guo, Z.; Pan, J.; Zhu, D.; Dong, T.; Lu, S. Extracting Al2O3 and TiO2 from Red Mud Smelting Separation Slag by Alkali and Acid Leaching Methods. Metals 2023, 13, 552. https://doi.org/10.3390/met13030552
Li S, Guo Z, Pan J, Zhu D, Dong T, Lu S. Extracting Al2O3 and TiO2 from Red Mud Smelting Separation Slag by Alkali and Acid Leaching Methods. Metals. 2023; 13(3):552. https://doi.org/10.3390/met13030552
Chicago/Turabian StyleLi, Siwei, Zhengqi Guo, Jian Pan, Deqing Zhu, Tao Dong, and Shenghu Lu. 2023. "Extracting Al2O3 and TiO2 from Red Mud Smelting Separation Slag by Alkali and Acid Leaching Methods" Metals 13, no. 3: 552. https://doi.org/10.3390/met13030552
APA StyleLi, S., Guo, Z., Pan, J., Zhu, D., Dong, T., & Lu, S. (2023). Extracting Al2O3 and TiO2 from Red Mud Smelting Separation Slag by Alkali and Acid Leaching Methods. Metals, 13(3), 552. https://doi.org/10.3390/met13030552

