The Simulation of Extremely Low Cycle Fatigue Fracture Behavior for Pipeline Steel (X70) Based on Continuum Damage Model
Abstract
1. Introduction
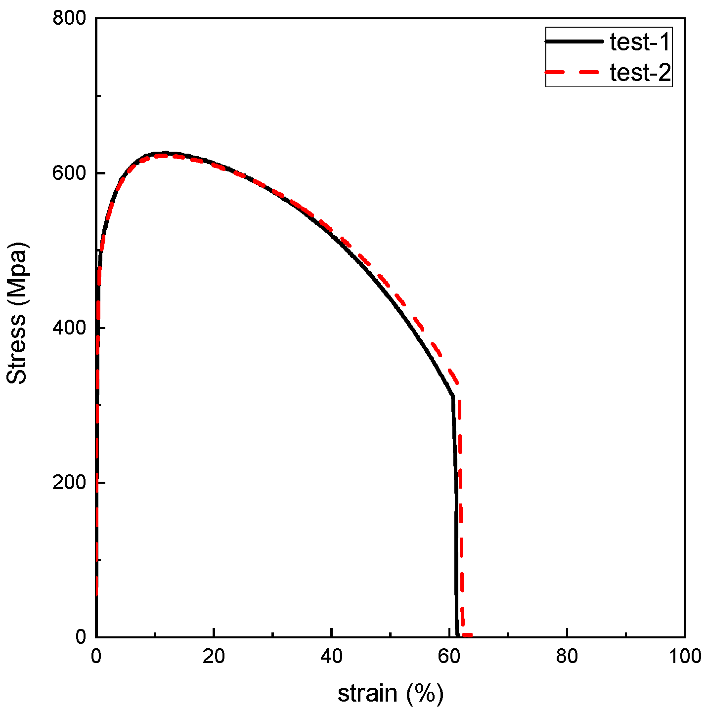
2. ELCF Tests
3. Damage Coupled Mixed Hardening Model
3.1. CDM Model for ELCF
3.2. Damage Coupled Mixed Hardening Model
3.3. Calibration of Model Parameters
3.4. Numerical Algorithm to Solve Damage Coupled Mixed Hardening Model
4. Finite Element Analysis
4.1. FEA Model
4.2. FEA Results
4.3. Discussions
5. Conclusions
- (1)
- The lifetime of the ELCF for X70 can be broken into three stages: cyclic hardening, cyclic softening and the generation of macroscopic cracks. The cyclic softening (damage evolution) stage accounts for over 80% of the total lifetime. With the increase in strain amplitude and stress triaxiality, the ELCF life decreased significantly.
- (2)
- The continuum damage law under monotonic load is extended to cyclic load by introducing effective equivalent plastic strain. A damage coupled mixed hardening model is developed to predict the fracture behavior of the ELCF. This model provides an explicit expression between effective plastic strain and accumulated damage for the SR specimens, which makes the fitting of parameters simpler and more reliable.
- (3)
- The damage coupled mixed hardening model is numerically solved using Abaqus user material subroutine VUMAT. Compared to the test life, the maximum deviation of predicted life is around 16%, which verifies that the developed model is promising and reasonable.
- (4)
- The FEA results show that the developed model cannot only predict the lifetime but also the locations of crack initiation reasonably. In the case of the NR specimens, though plastic strain accumulates faster in the surface of the specimen, the crack initiates from the specimen center due to the higher triaxiality. Such fracture behaviors are similar to those which occur in ductile fracture under monotonic load.
Author Contributions
Funding
Data Availability Statement
Conflicts of Interest
References
- Dey, P.K. Oil Pipelines. In Encyclopedia of Energy; Elsevier: Amsterdam, The Netherlands, 2004; pp. 673–690. [Google Scholar]
- Hu, X.Y.; Jia, J.H.; Wang, N.; Xia, X.M.; Wang, Z.D.; Tu, S.T. Design and Test of an Extensometer for Strainmonitoring of High Temperature Pipelines. J. Pressure Vessel. Technol. Trans. ASME 2012, 134, 044501. [Google Scholar] [CrossRef]
- Piątkowski, J.; Gajdzik, B.; Mesjasz, A. Assessment of Material Durability of Steam Pipelines Based on Statistical Analysis of Strength Properties—Selected Models. Energies 2020, 13, 3633. [Google Scholar] [CrossRef]
- Zaryankin, A.; Rogalev, N.; Rogalev, A.; Kocherova, A.; Strielkowski, W. Line Summary of Approaches for Improving Vibrational Reliability of Thermomechanical Equipment and Its Interconnecting Pipelines at Thermal Power Plant. Contemp. Eng. Sci. 2014, 7, 1793–1806. [Google Scholar] [CrossRef]
- Han, Y.; Zhong, S.; Peng, C.; Tian, L.; Sun, Y.; Zhao, L.; Xu, L. Fatigue Behavior of X65 Pipeline Steel Welded Joints Prepared by CMT/GMAW Backing Process. Int. J. Fatigue 2022, 164, 107156. [Google Scholar] [CrossRef]
- Faucon, L.E.; Boot, T.; Riemslag, T.; Scott, S.P.; Liu, P.; Popovich, V. Hydrogen-Accelerated Fatigue of API X60 Pipeline Steel and Its Weld. Metals 2023, 13, 563. [Google Scholar] [CrossRef]
- Song, Z.H.; Chen, N.Z. A Modified Cyclic Cohesive Zone Model for Low-Cycle Fatigue Crack Initiation Prediction for Subsea Pipelines under Mode I Loading. Ocean. Eng. 2023, 276, 114200. [Google Scholar] [CrossRef]
- Shen, F.; Münstermann, S.; Lian, J. Investigation on the Ductile Fracture of High-Strength Pipeline Steels Using a Partial Anisotropic Damage Mechanics Model. Eng. Fract. Mech. 2020, 227, 106900. [Google Scholar] [CrossRef]
- Paermentier, B.; Cooreman, S.; Verleysen, P.; Chandran, S.; Coppieters, S.; Talemi, R. A Dynamic Tensile Tear Test Methodology to Characterise Dynamic Fracture Behaviour of Modern High-Grade Pipeline Steels. Eng. Fract. Mech. 2022, 272, 108687. [Google Scholar] [CrossRef]
- Shen, F.; Pan, B.; Wang, S.; Lian, J.; Münstermann, S. Influence of Stress States on Cleavage Fracture in X70 Pipeline Steels. J. Pipeline Sci. Eng. 2022, 2, 100072. [Google Scholar] [CrossRef]
- Vishnuvardhan, S.; Murthy, A.R.; Choudhary, A. A Review on Pipeline Failures, Defects in Pipelines and Their Assessment and Fatigue Life Prediction Methods. Int. J. Press. Vessel. Pip. 2023, 201, 104853. [Google Scholar] [CrossRef]
- Que, Y.; Wu, Y.; Wang, G.; Jia, H.; Zhang, S.; Feng, Q.; Dai, L. Study of Tensile Deformation and Damage Law in Undermatching X80 Pipeline Steel Welded Joints. Metals 2023, 13, 226. [Google Scholar] [CrossRef]
- Xu, J.; Song, W.; Cheng, W.; Chu, L.; Gao, H.; Li, P.; Berto, F. Modelling of Fracture Toughness of X80 Pipeline Steels in Dtb Transition Region Involving the Effect of Temperature and Crack Growth. Metals 2020, 10, 28. [Google Scholar] [CrossRef]
- Shen, X.; Feng, K.; Xu, H.; Wang, G.; Zhang, Y.; Dai, Y.; Yun, W. Reliability Analysis of Bending Fatigue Life of Hydraulic Pipeline. Reliab. Eng. Syst. Saf. 2023, 231, 109019. [Google Scholar] [CrossRef]
- Pereira, J.C.R.; Van Wittenberghe, J.; de Jesus, A.M.P.; Thibaux, P.; Correia, J.A.F.O.; Fernandes, A.A. Damage Behaviour of Full-Scale Straight Pipes under Extreme Cyclic Bending Conditions. J. Constr. Steel Res. 2018, 143, 97–109. [Google Scholar] [CrossRef]
- Jeon, B.G.; Kim, S.W.; Yun, D.W.; Ju, B.S.; Son, H.Y. An Experimental Study on Seismic Performance Evaluation of Multi-Ply Bellows Type Expansion Joint for Piping Systems. Sustainability 2022, 14, 4777. [Google Scholar] [CrossRef]
- Tu, X.; Shi, X.; Yan, W.; Li, C.; Shi, Q.; Shan, Y.; Yang, K. Tensile Deformation Behavior of Ferrite-Bainite Dual-Phase Pipeline Steel. Mater. Sci. Eng. A 2022, 831, 142230. [Google Scholar] [CrossRef]
- Huang, X.; Yuan, Y.; Zhao, J.; Li, R. Investigation of Extremely Low Cycle Fatigue Behavior of Low Yield Strength Steel LY225 under Different Stress States. Constr. Build. Mater. 2022, 350, 128907. [Google Scholar] [CrossRef]
- Li, Z.; Xu, J.; Demartino, C.; Zhang, K. Extremely—Low Cycle Fatigue Fracture of Q235 Steel at Different Stress Triaxialities. J. Constr. Steel Res. 2020, 169, 106060. [Google Scholar] [CrossRef]
- Yu, M.; Xie, X.; Li, S. A Simplified Ductile Fracture Model for Predicting Ultra-Low Cycle Fatigue of Structural Steels. Materials 2022, 15, 1663. [Google Scholar] [CrossRef]
- Xu, Y.; Li, X.; Zhang, Y.; Yang, J. Ultra-Low Cycle Fatigue Life Prediction Model—A Review. Metals 2023, 13, 1142. [Google Scholar] [CrossRef]
- Jia, L.J.; Kuwamura, H. Ductile Fracture Model for Structural Steel under Cyclic Large Strain Loading. J. Constr. Steel Res. 2015, 106, 110–121. [Google Scholar] [CrossRef]
- Liu, Y.; Jia, L.J.; Ge, H.; Kato, T.; Ikai, T. Ductile-Fatigue Transition Fracture Mode of Welded T-Joints under Quasi-Static Cyclic Large Plastic Strain Loading. Eng. Fract. Mech. 2017, 176, 38–60. [Google Scholar] [CrossRef]
- Li, H.; Fu, M.W.; Lu, J.; Yang, H. Ductile Fracture: Experiments and Computations. Int. J. Plast. 2011, 27, 147–180. [Google Scholar] [CrossRef]
- Bonora, N.; Testa, G.; Ruggiero, A.; Iannitti, G.; Gentile, D. Continuum Damage Mechanics Modelling Incorporating Stress Triaxiality Effect on Ductile Damage Initiation. Fatigue Fract. Eng. Mater. Struct. 2020, 43, 1755–1768. [Google Scholar] [CrossRef]
- Schowtjak, A.; Gerlach, J.; Muhammad, W.; Brahme, A.P.; Clausmeyer, T.; Inal, K.; Tekkaya, A.E. Prediction of Ductile Damage Evolution Based on Experimental Data Using Artificial Neural Networks. Int. J. Solids Struct. 2022, 257, 111950. [Google Scholar] [CrossRef]
- Han, P.; Cheng, P.; Yuan, S.; Bai, Y. Characterization of Ductile Fracture Criterion for API X80 Pipeline Steel Based on a Phenomenological Approach. Thin-Walled Struct. 2021, 164, 107254. [Google Scholar] [CrossRef]
- Wang, H.M.; Shen, T.; Yu, F.; Zheng, R.Y. Ductile Fracture of Hydrostatic-Stress-Insensitive Metals Using a Coupled Damage-Plasticity Model. Fatigue Fract. Eng. Mater. Struct. 2021, 44, 967–982. [Google Scholar] [CrossRef]
- Zheng, L.; Wang, Z.; Meng, B.; Wan, M. A Unified Ductile Fracture Criterion Suitable for Sheet and Bulk Metals Considering Multiple Void Deformation Modes. Int. J. Plast. 2023, 164, 103572. [Google Scholar] [CrossRef]
- Jeong, W.; Kim, C.; Lee, C.A.; Bong, H.J.; Hong, S.H.; Lee, M.G. A Probabilistic Mean-Field and Microstructure Based Finite Element Modeling for Predicting Mechanical and Ductile Fracture Behavior of the Cast Aluminum Alloy. Int. J. Plast. 2022, 154, 103299. [Google Scholar] [CrossRef]
- Bai, Y.; Wierzbicki, T. Application of Extended Mohr-Coulomb Criterion to Ductile Fracture. Int. J. Fract. 2010, 161, 1–20. [Google Scholar] [CrossRef]
- Hu, Q.; Li, X.; Han, X.; Chen, J. A New Shear and Tension Based Ductile Fracture Criterion: Modeling and Validation. Eur. J. Mech. A/Solids 2017, 66, 370–386. [Google Scholar] [CrossRef]
- Ganjiani, M.; Homayounfard, M. Development of a Ductile Failure Model Sensitive to Stress Triaxiality and Lode Angle. Int. J. Solids Struct. 2021, 225, 111066. [Google Scholar] [CrossRef]
- Lou, Y.; Wu, P.; Zhang, C.; Wang, J.; Li, X.; Chai, R.; Yoon, J.W. A Stress-Based Shear Fracture Criterion Considering the Effect of Stress Triaxiality and Lode Parameter. Int. J. Solids Struct. 2022, 256, 111993. [Google Scholar] [CrossRef]
- Zheng, L.; Wang, K.; Jiang, Y.; Wan, M.; Meng, B. A New Ductile Failure Criterion for Micro/Meso Scale Forming Limit Prediction of Metal Foils Considering Size Effect and Free Surface Roughening. Int. J. Plast. 2022, 157, 103406. [Google Scholar] [CrossRef]
- Liu, X.; Li, D.; Song, H.; Lu, Z.; Cui, H.; Jiang, N.; Xu, J. Study on Ductility Failure of Advanced High Strength Dual Phase Steel DP590 during Warm Forming Based on Extended GTN Model. Metals 2022, 12, 1125. [Google Scholar] [CrossRef]
- Tian, H.; Zhao, J.; Zhao, R.; He, W.; Meng, B.; Wan, M. The Modified GTN Model for Fracture of Nickel-Based Superalloys Considering Size Effect and Healing Effect in Pulsed Current Assisted Deformation. Int. J. Plast. 2023, 167, 103656. [Google Scholar] [CrossRef]
- Gatea, S.; Ou, H.; Lu, B.; McCartney, G. Modelling of Ductile Fracture in Single Point Incremental Forming Using a Modified GTN Model. Eng. Fract. Mech. 2017, 186, 59–79. [Google Scholar] [CrossRef]
- Gurson, A.L. Continuum Theory of Ductile Rupture by Void Nucleation and Growth: Part 1-Yield Criteria and Flow Rules for Porous Ductile Media; University of North Texas: Denton, TX, USA, 1977. [Google Scholar]
- Tvergaard, V.; Needleman, A. Analysis of the Cup-Cone Fracture in a Round Tensile Bar. Acta Metall. 1984, 32, 157–169. [Google Scholar] [CrossRef]
- Lemaitre, J.; Desmorat, R. Engineering Damage Mechanics: Ductile, Creep, Fatigue and Brittle Failures; Springer: Berlin/Heidelberg, Germany, 2005; ISBN 3540215034. [Google Scholar]
- Ma, L.; Luo, Y.; Wang, Y.; Du, W.; Song, Z.; Zhang, J. Fatigue and Ratcheting Assessment of AISI H11 at 500 °C Using Constitutive Theory Coupled with Damage Rule. Fatigue Fract. Eng. Mater. Struct. 2018, 41, 642–652. [Google Scholar] [CrossRef]
- Xue, L. A Unified Expression for Low Cycle Fatigue and Extremely Low Cycle Fatigue and Its Implication for Monotonic Loading. Int. J. Fatigue 2008, 30, 1691–1698. [Google Scholar] [CrossRef]
- Tateishi, K.; Hanji, T.; Minami, K. A Prediction Model for Extremely Low Cycle Fatigue Strength of Structural Steel. Int. J. Fatigue 2007, 29, 887–896. [Google Scholar] [CrossRef]
- Martinez, X.; Oller, S.; Barbu, L.G.; Barbat, A.H.; De Jesus, A.M.P. Analysis of Ultra Low Cycle Fatigue Problems with the Barcelona Plastic Damage Model and a New Isotropic Hardening Law. Int. J. Fatigue 2015, 73, 132–142. [Google Scholar] [CrossRef]
- Algarni, M.; Choi, Y.; Bai, Y. A Unified Material Model for Multiaxial Ductile Fracture and Extremely Low Cycle Fatigue of Inconel 718. Int. J. Fatigue 2017, 96, 162–177. [Google Scholar] [CrossRef]
- Kanvinde, A.M.; Asce, A.M.; Deierlein, G.G.; Asce, F. Void Growth Model and Stress Modified Critical Strain Model to Predict Ductile Fracture in Structural Steels. J. Struct. Eng. 2006, 132, 1907–1918. [Google Scholar] [CrossRef]
- Smith, C.; Ziccarelli, A.; Terashima, M.; Kanvinde, A.; Deierlein, G. A Stress-Weighted Ductile Fracture Model for Steel Subjected to Ultra Low Cycle Fatigue. Eng. Struct. 2021, 245, 112964. [Google Scholar] [CrossRef]
- Zhao, Z.; Wang, X.; Qiao, G.; Zhang, S.; Liao, B.; Xiao, F. Effect of Bainite Morphology on Deformation Compatibility of Mesostructure in Ferrite/Bainite Dual-Phase Steel: Mesostructure-Based Finite Element Analysis. Mater. Des. 2019, 180, 107870. [Google Scholar] [CrossRef]
- Nam, H.S.; Lee, J.M.; Youn, G.G.; Kim, Y.J.; Kim, J.W. Simulation of Ductile Fracture Toughness Test under Monotonic and Reverse Cyclic Loading. Int. J. Mech. Sci. 2018, 135, 609–620. [Google Scholar] [CrossRef]













| No. | Specimen Type | Strain Amplitude | Loading Frequency | Cycles |
|---|---|---|---|---|
| 1 | SR | 1.5% | 0.02 Hz | 49 |
| 2 | SR | 1.9% | 0.02 Hz | 68 |
| 3 | SR | 2.3% | 0.02 Hz | 95 |
| 4 | NR1 | 1.1% | 0.02 Hz | 75 |
| 5 | NR1 | 1.3% | 0.02 Hz | 57 |
| 6 | NR2 | 1.1% | 0.02 Hz | 58 |
| 7 | NR2 | 1.3% | 0.02 Hz | 30 |
| Isotropic Hardening | Kinematic Hardening | Damage | ||||||||||
|---|---|---|---|---|---|---|---|---|---|---|---|---|
| Q0 | Qa | Qb | C1 | γ1 | C2 | γ2 | C3 | γ3 | α | Dcr | pth | pcr |
| 450 | 120 | 15 | 20,000 | 500 | 7000 | 200 | 1000 | 1 | 0.89 | 0.064 | 0.14 | 1.6 |
| No. | Specimen Type | Strain Amplitude | Test Life (Cycle) | Predicted Life (Cycle) | Deviation |
|---|---|---|---|---|---|
| 1 | SR | 1.5% | 95 | 93 | 2.1% |
| 2 | SR | 1.9% | 68 | 69 | −1.5% |
| 3 | SR | 2.3% | 49 | 54 | −10.2% |
| 4 | NR1 | 1.1% | 75 | 69 | 10.7% |
| 5 | NR1 | 1.3% | 57 | 48 | 15.8% |
| 6 | NR2 | 1.1% | 58 | 50 | 13.8% |
| 7 | NR2 | 1.3% | 30 | 35 | −16.7% |
Disclaimer/Publisher’s Note: The statements, opinions and data contained in all publications are solely those of the individual author(s) and contributor(s) and not of MDPI and/or the editor(s). MDPI and/or the editor(s) disclaim responsibility for any injury to people or property resulting from any ideas, methods, instructions or products referred to in the content. |
© 2023 by the authors. Licensee MDPI, Basel, Switzerland. This article is an open access article distributed under the terms and conditions of the Creative Commons Attribution (CC BY) license (https://creativecommons.org/licenses/by/4.0/).
Share and Cite
Fang, B.; Lu, A.; Sun, J.; Li, X.; Shen, T. The Simulation of Extremely Low Cycle Fatigue Fracture Behavior for Pipeline Steel (X70) Based on Continuum Damage Model. Metals 2023, 13, 1238. https://doi.org/10.3390/met13071238
Fang B, Lu A, Sun J, Li X, Shen T. The Simulation of Extremely Low Cycle Fatigue Fracture Behavior for Pipeline Steel (X70) Based on Continuum Damage Model. Metals. 2023; 13(7):1238. https://doi.org/10.3390/met13071238
Chicago/Turabian StyleFang, Bo, Afei Lu, Jiewei Sun, Xiaojie Li, and Tao Shen. 2023. "The Simulation of Extremely Low Cycle Fatigue Fracture Behavior for Pipeline Steel (X70) Based on Continuum Damage Model" Metals 13, no. 7: 1238. https://doi.org/10.3390/met13071238
APA StyleFang, B., Lu, A., Sun, J., Li, X., & Shen, T. (2023). The Simulation of Extremely Low Cycle Fatigue Fracture Behavior for Pipeline Steel (X70) Based on Continuum Damage Model. Metals, 13(7), 1238. https://doi.org/10.3390/met13071238

