Next Article in Journal
Molecular Dynamics Study of Crystallization Behavior in the Solid State of Zr-Cu Amorphous Alloys
Previous Article in Journal
First-Principle Investigation into Mechanical Properties of Al6Mg1Zr1 under Uniaxial Tension Strain on the Basis of Density Functional Theory
Previous Article in Special Issue
Structure Refinement and Bauschinger Effect in fcc and hcp Metals
 
 
Font Type:
Arial Georgia Verdana
Font Size:
Aa Aa Aa
Line Spacing:
Column Width:
Background:
Article

Effect of Deformation-Induced Plasticity in Low-Alloyed Al-Mg-Zr Alloy Processed by High-Pressure Torsion

by
Tatiana S. Orlova
1,*,
Aydar M. Mavlyutov
1,
Dinislam I. Sadykov
1,2,
Nariman A. Enikeev
3 and
Maxim Yu. Murashkin
1
1
Ioffe Institute, Politekhnicheskaya Str. 26, St. Petersburg 194021, Russia
2
Institute of Advanced Data Transfer Systems, Saint Petersburg National Research University of Information Technologies, Mechanics and Optics, Kronverkskiy Pr. 49, St. Petersburg 197101, Russia
3
Laboratory of Metals and Alloys under Extreme Impacts, Ufa University of Science and Technology, 32 Zaki Validi Str., Ufa 450076, Russia
*
Author to whom correspondence should be addressed.
Metals 2023, 13(9), 1570; https://doi.org/10.3390/met13091570
Submission received: 4 July 2023 / Revised: 28 August 2023 / Accepted: 4 September 2023 / Published: 7 September 2023
(This article belongs to the Special Issue Ultrafine-Grained Metals and Alloys)

Abstract

:
The influence of additional deformation heat treatments (DHTs), implemented by two regimes: (1) annealing and small additional deformation by high-pressure torsion (HPT) at room temperature (RT) and (2) HPT at elevated temperature to 10 turns and small additional HPT at RT, has been studied on the microstructure, mechanical properties and electrical conductivity of ultrafine-grained (UFG) Al-0.53Mg-0.27Zr (wt.%) alloy structured by HPT to 10 turns at RT. As is shown, both types of additional DHT lead to a substantial increase in plasticity (2–5 times) while maintaining high electrical conductivity (~53% IACS) and strength comprising 75–85% of the value in the pre-DHT state of the UFG alloy. The possible physical reasons for the revealed changes in the physical and mechanical properties are analyzed. Comparison of the strength and plasticity changes with the microstructure evolution after DHT of both types indicates that the increase in the density of introduced grain boundary dislocations is the most probable factor providing a tremendous increase in plasticity while maintaining a high level of strength in the UFG alloy under study. An outstanding combination of high strength (370 MPa), high elongation to failure (~15%) and significant electrical conductivity (~53% IACS) was achieved for the Al-Mg-Zr alloy. This combination of properties exceeds those obtained to date for this system, as well as for a number of other commercial conductor alloys based on the Al-Zr system.

1. Introduction

Aluminum alloys are among the most widely used materials due to their high electrical and thermal conductivity, lightness and good corrosion resistance and are particularly favored for commercial use in electrical, automobile, aerospace, marine and other industries [1,2,3,4,5]. The main disadvantage of aluminum-based alloys, which markedly restrains their application, is their low strength. The formation of ultrafine-grained (UFG) structures by severe plastic deformation (SPD) is capable of significantly improving the strength of Al alloys, which greatly increases their potential for advanced applications [6,7,8,9,10,11].
Structuring by SPD techniques allows for the achievement of a high strength level in a number of aluminum alloys, for example, in the alloys based on Al-Mg-Si [12], Al-Cu-Zr [13], Al-Fe [14,15], Al-Mg [16,17,18,19,20] and Al-Mg-Zr [21,22] systems and others. At the same time, it was demonstrated that the additional remarkable hardening achieved in a number of UFG alloys, for example in the alloys based on Al-Cu-Mg [23], Al-Cu-Zr [13] and Al-Mg-Zr [22] systems, cannot be explained by the operation of only traditional hardening mechanisms and suggests the contribution of additional hardening mechanisms which are related to grain boundary (GB) nanoprecipitates and/or segregations, formed during SPD processing. Usually, such hardening leads to a substantial decrease in plasticity, which greatly reduces the prospects for their practical application. It has been recently shown that in contrast to the coarse-grained (CG) materials, low-temperature short-term annealing of UFG Al [24,25,26] and UFG low-alloyed Al-Zr [27], Al-Cu-Zr [13] conductor alloys, leads to an even greater reduction in plasticity, wherein the alloys demonstrate almost brittle fracture under tension. At the same time, UFG Al and Al-Zr alloys can exhibit additional hardening, i.e., the phenomenon of hardening by annealing or annealing-induced hardening (AIH) is observed. In the case of such annealing of the high-pressure torsion (HPT)-processed Al [26] and Al-Zr alloy [27], the increase in the yield stress and the ultimate tensile strength reaches 50–90% and ~30%, respectively. At the same time, UFG Al-Cu-Zr alloys [13] are slightly softened after such annealing, i.e., hardening by annealing is not a general phenomenon for severely deformed Al-based alloys.
As was shown in [13,26,27], subsequent additional deformation by low HPT straining at room temperature (RT) to 0.25–0.75 turns after low-temperature annealing leads to a significant increase in plasticity in all of the above-listed systems while maintaining the strength at a high level (~80% of the strength of UFG alloys in the pre-annealed state). This phenomenon has been defined as deformation-induced softening (DIS), which denotes the increase in plasticity by deformation. These effects have been explained by the rearrangement of the dislocation structure in high-angle grain boundaries (HAGBs) in the case of HPT-processed Al [26] and by the change in the number of mobile dislocation sources in grain interiors in the case of ARB-processed Al [24,25] during annealing and subsequent additional deformation. AIH and DIS phenomena are supposed to be also strongly affected by GB segregations and GB nanoprecipitates [28]. For example, the specific deformation behavior of the UFG Al-Cu-Zr alloy after such deformation heat treatment (DHT) consisting of low-temperature annealing and additional deformation was related to the presence of Al2Cu nanoprecipitates at GBs and their effect on the dislocation emission from GBs under loading [13].
Higher elongation to failure compared to the as-HPT-processed state while maintaining a high level of strength due to such DHT requires further in-depth research, including the study of the effect of alloying elements on AIH and DIS, to tune this promising approach towards achieving unprecedented combinations of exceptional strength and plasticity in various UFG alloys.
At present, aluminum alloys doped with 0.1–0.6 wt.% Zr have been considered as promising materials for manufacturing modern conductors with an improved combination of properties [29,30,31]. To increase their strength, Al-Zr alloys are also processed by SPD methods [27]. However, strength in the alloys remains insufficiently high even in UFG states. Additional alloying with Mg is known to lead to a significant decrease in the average grain size during SPD due to an enhanced dislocation multiplication rate and, accordingly, substantially improves the strength of aluminum-based alloys, including those containing Zr [21]. Mg in the Al-Mg alloys was also shown to segregate in GBs during HPT processing [11,32]. It was shown that the segregation of Mg leads to additional hardening of UFG alloys in the Al-Mg system. Remarkable additional hardening was also related to the segregation of Mg and Cu at GBs in UFG Al-Zn-Mg-Cu alloy processed by HPT at an elevated temperature (200 °C) [33].
Recently, the high strength and high electrical conductivity of the Al-0.53Mg-0.27Zr (wt.%) alloy was achieved through its structuring by HPT [22]. Analysis of the relationship of the microstructure and physico-mechanical properties of the HPT-processed Al-0.53Mg-0.27Zr (wt.%) alloy showed that such remarkable strengthening is associated not only with effective grain refinement due to the addition of Mg but is also related to the GB segregation of Mg [22]. However, the tremendous increase in strength was accompanied by a significant decrease in plasticity (up to ~3%), which strongly limits the practical application of such alloys.
In this work, to determine the possibility of increasing the plasticity of high-strength UFG alloys in an Al-Mg-Zr system, for the first time, we studied the effect of additional DHT implemented by two regimes, (1) annealing and small additional deformation by HPT at RT and (2) HPT at elevated temperature to 10 turns and small deformation by HPT at RT, on their microstructure, mechanical properties and electrical conductivity.
The Al-0.53Mg-0.27Zr (wt.%) alloy with a UFG structure formed by HPT processing was used as the object for this investigation. The choice of the chemical composition of the alloy was motivated by two main reasons: (i) the fundamental purpose is to understand how Mg alloying influences the AIH and DIS effects revealed earlier in the low-alloyed Al-Zr system [27] and (ii) from the applied point of view, the alloying with Mg of thermally resistant conductor Al-Zr system to be processed by SPD seems to be one of the promising routes to enhance its strength [11,22]. Adding a low concentration of Mg (~0.5 wt%) would not affect the conductivity much [34] and simultaneously facilitates intensive grain refinement during SPD processing [22,34] by notably increasing the dislocation multiplication rate. The Zr concentration was kept close to that commonly used in Al-Zr conductive alloys [11].

2. Materials and Methods

An alloy with the chemical composition of 0.53Mg, 0.27Zr, 0.062Fe, 0.052Si and <0.009 (Ti, V, Cr, Mn) wt.%, Al balance (further Al-0.53Mg-0.27Zr (wt.%)), was obtained by casting with subsequent hot rolling at 300 °C and artificial aging (AG state) at 375 °C for 366 h for homogenization and precipitation of nanosized Al3Zr precipitates [22]. The UFG structure was formed by HPT processing at RT under a hydrostatic pressure of 2 GPa with the number of turns n = 10 (AG+HPT(RT) state). Such processing parameters were chosen based on primary experiments which showed that these parameters provide a uniform microstructure [22]. As a result of the HPT processing, discs with a diameter of 20 mm and a thickness of 1.5 mm were produced.
A part of the HPT-processed samples was annealed at different temperatures in the range of 50–400 °C for 1 h. Samples after annealing at a certain annealing temperature (TAN) for 1 h are denoted as AG+HPT(RT)+AN(TAN). As will be shown below, annealing at 150 °C for 1 h provided an optimal combination of strength–conductivity properties.
Then, part of the HPT-processed samples was subjected to additional DHT by two regimes. The first DHT regime included annealing at 150 °C (AG+HPT(RT)+AN(150) state) and additional small HPT deformation to 0.25 or 0.75 turns (AG+HPT(RT)+AN(150)+0.25HPT(RT) and AG+HPT(RT)+AN(150)+0.75HPT(RT) states).
The second DHT comprised processing by HPT under the pressure of 2 GPa at 150 °C to n = 10 turns (AG+HPT(RT)+HPT(150) state) and additional small HPT deformation to n = 0.25 at RT (AG+HPT(RT)+HPT(150)+0.25HPT(RT) state).
The microstructure of the samples was studied using X-ray diffraction (XRD) analysis, electron back-scatter diffraction (EBSD) and transmission electron microscopy (TEM).
The X-ray diffraction measurements were performed on the Bruker D8 DISCOVER diffractometer (Bruker AXS, Karlsruhe, Germany) using θ–2θ Bragg–Brentano geometry and CuKα irradiation with a scan increment of 0.02°. The obtained X-ray profiles were analyzed in terms of the Rietveld refinement technique realized in MAUD software, version 2.992 [35] to calculate lattice parameter (a), coherent domain size (DCDS), and elastic microdistortion level (<ε2>1/2). The dislocation density (Ldis) was deduced from the measured parameters as proposed in [36] using the following formula:
L d i s = 2 3 < ε 2 > 1 / 2 D C D S b
where b is the value of Burgers vector of lattice dislocation in Al (b = a√2/2).
The EBSD studies were performed with the scanning electron microscope Zeiss Merlin (Carl Zeiss Microscopy GmbH, Jena, Germany) with a scanning step of 0.1 μm. The EBSD samples were prepared using conventional metallographic techniques followed by polishing with a gradual decreasing abrasive grain size using diamond and colloidal silica solutions. The EBSD maps, which included at least 1200 grains for each state, were used to determine the grain size distribution and the distribution of grain boundaries on their misorientation angle (θ). The area of each grain was approximated by the circle area, the diameter of which was taken as the grain size [37]. The average grain size (dav) was calculated on the basis of the obtained grain size distribution. The average angle of GB misorientations (θav) and fraction of HAGBs (f≥15) with a misorientation angle θ ≥ 15° were determined from the obtained distributions of grain boundaries on misorientations.
The TEM studies were performed on the JEOL JEM 2100 microscope (JEOL Ltd., Tokyo, Japan). Thin foils for the TEM observations were prepared by mechanical polishing with subsequent two-jet electropolishing with the use of a chemical solution consisting of 20% nitric acid and 80% methanol at a temperature of −25 °C and a voltage of 15 V. For a number of states, the average grain size was estimated by analyzing the TEM images, based on the statistics of ~100 grains.
The mechanical properties were studied by means of tensile tests and microhardness measurements. The Vickers microhardness (Hv) measurements were performed on the Shimadzu HMV-G microindentation machine (Shimadzu Corp., Kyoto, Japan) with an applied load of 1 N and a loading time of 15 s. The average value of microhardness was determined on the basis of 15 measurements for each sample. The uniaxial tensile tests were carried out on a Shimadzu AG-50kNX machine (Shimadzu Corp., Kyoto, Japan) at a constant strain rate of 5 × 10−4 s−1 using samples with a gauge size of 2.0 × 6.0 × 1.0 mm3. The samples were cut at a distance of 5 mm from the center of the HPT disc. The configuration of a sample and its position on the HPT disc are presented in our previous paper [22]. The sample deformation was registered with the video-extensometer TRViewX 55S (Shimadzu Corp., Kyoto, Japan). The yield stress (σ0.2), ultimate tensile strength (σUTS), total plasticity (elongation to failure δ) and uniform elongation (δ1) were determined from the stress–strain diagrams. At least 3 samples were tested for each state. Strain rate jump tests were performed with the strain rate change from 5 × 10−4 s−1 to 1 × 10−3 s−1 and vice versa.
The electrical conductivity (ω) was measured at room temperature using an eddy current electric conductivity meter (VE-27NTS) (NPP SIGMA, Ekaterinburg, Russia) with an accuracy of ±2%. The measurements of electrical conductivity and microhardness as well as microstructure characterization were performed at a distance of 5 mm from HPT disc centers.

3. Results

3.1. Mechanical Properties and Electrical Conductivity

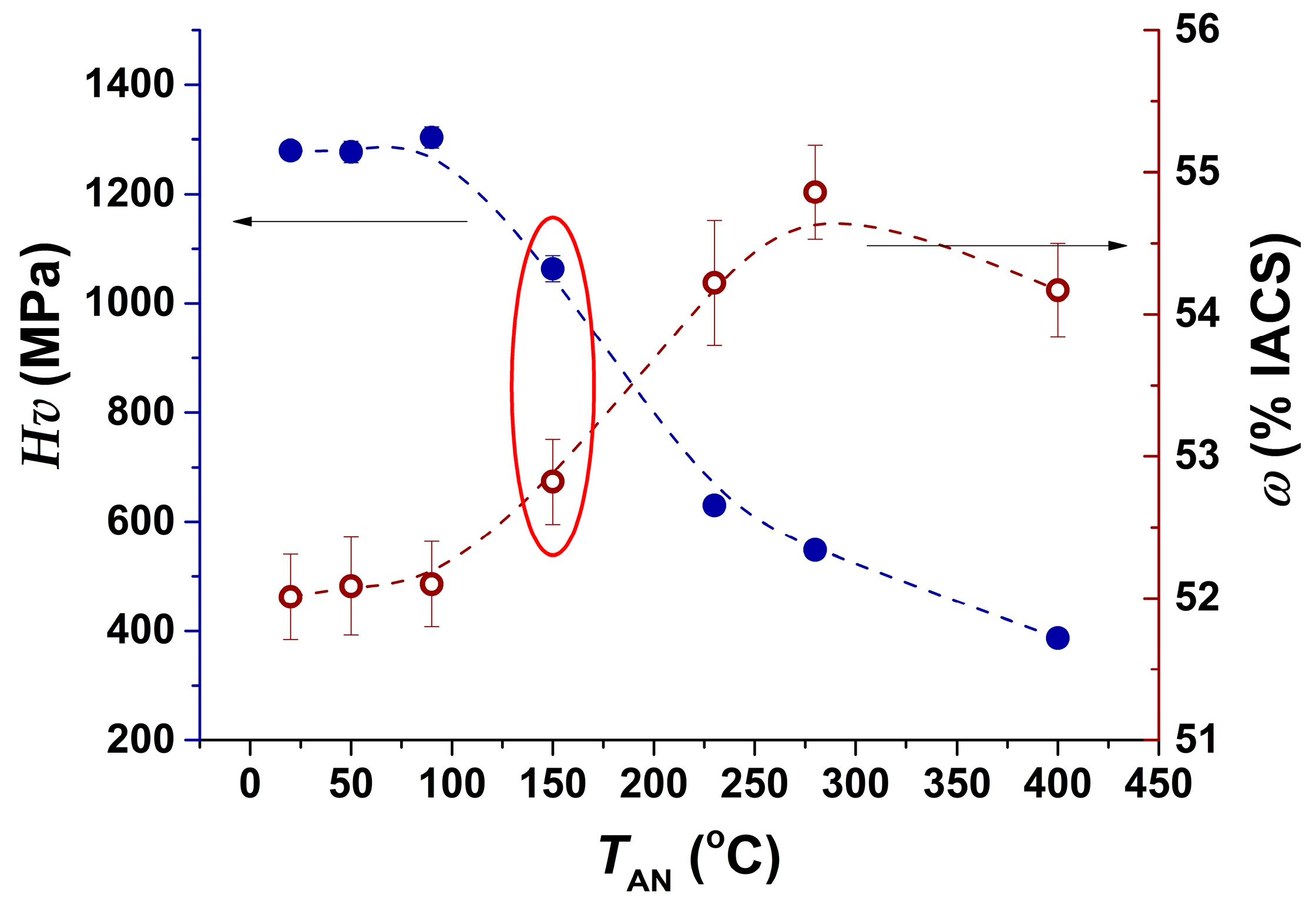
Figure 1 displays the dependences of the microhardness (Hv) and electrical conductivity (ω) on the annealing temperature for HPT-processed Al–Mg-Zr alloy, the duration of each annealing being 1 h. Annealing at 50 and 90 °C does not change Hv and ω but a further increase in TAN leads to a decrease in microhardness, while the electrical conductivity increases. Such behavior of Hv is consistent with earlier reports on Al-Mg alloys processed by SPD: Al-1%Mg and Al-3%Mg processed by ECAP [38] and Al-1%Mg alloy processed by HPT [16].
Although the HPT-processed Al-0.53Mg-0.27Zr (wt.%) alloy begins to decrease in strength (microhardness) as a result of annealing at TAN > 100 °C, the alloy after annealing at 150 °C still has quite a high strength (Hv ≈ 1160 MPa, which is ~85% of the microhardness value in the AG+HPT(RT) state) and good electrical conductivity, reaching 52.8% IACS. Due to this combination of high strength and electrical conductivity (highlighted by a red ellipse in Figure 1), this AG+HPT(RT)+AN(150) state of the Al-0.53Mg-0.27Zr (wt.%) alloy was chosen for further studies. The results of the uniaxial tensile tests are shown in Figure 2 and Table 1. As we earlier reported in [22], HPT processing led to a drastic increase in strength (σ0.2 = 400 MPa, σUTS = 465 MPa), whereas plasticity constituted δ~3%. As a result of annealing at 150 °C for 1 h, similarly to microhardness, the tensile strength also decreased and constituted 90% and 86% of the σ0.2 and σUTS values, respectively, before annealing, while plasticity dropped to δ < 1.0% (curve 3 in Figure 2a, Table 1). Thus, the annealing of HPT-processed pre-aged Al-0.53Mg-0.27Zr (wt.%) alloy provided a good combination of high strength (σ0.2 ≈ 360 MPa) and high electrical conductivity (~52.8% IACS), which is thermally stable up to 150 °C. However, the alloy in this state, AG+HPT(RT)+AN(150), has very low plasticity ≤ 1%. Subsequent additional HPT deformation after annealing to n = 0.25, 0.75 turns at RT led to an increase in the plasticity of the alloy to δ ≈ 7%, 9%, including uniform deformation to δ1 ≈ 2%, 4% (curves 4 and 5 in Figure 2a), while the yield stress decreased from 360 MPa to 300 MPa and 285 MPa, respectively, i.e., the DIS effect is observed.
Since dynamic strain ageing, which includes the simultaneous action of temperature and strain, is often more effective for the relaxation of the material structure (for recovery processes) compared to annealing at the same temperature [14], the Al-0.53Mg-0.27Zr (wt.%) alloy in the AG+HPT(RT) state was subjected to DHT by the second regime, which comprised additional HPT at 150 °C to 10 turns followed by small HPT deformation to 0.25 turns at RT.
The tensile stress–strain diagrams of the Al-0.53Mg-0.27Zr (wt.%) alloy in the AG+HPT(RT)+HPT(150) and AG+HPT(RT)+HPT(150)+0.25HPT(RT) states are shown in Figure 2b, and the corresponding values of σ0.2, σUTS and δ are provided in Table 1. As is seen, the HPT at 150 °C led to a decrease in strength, comparable in magnitude to the decrease in strength as a result of annealing at the same temperature (Table 1). The decrease in strength is accompanied by a transition of the material to a nearly brittle state (δ < 1%). However, subsequent small deformation (0.25HPT) at RT provides a drastic increase in plasticity: the samples in the AG+HPT(RT)+HPT(150)+0.25HPT(RT) state demonstrated elongation to failure up to δ~15%.
It should be noted that HPT processing at 150 °C leads to approximately the same increase in electrical conductivity as the annealing at 150 °C for 1 h (Table 1). At the same time, subsequent small deformation (0.25HPT) at room temperature changes conductivity insignificantly in both cases (Table 1).
It is noteworthy that after annealing at 150 °C as well as after HPT at 150 °C, the yield stress decreases, i.e., no AIH effect is observed in contrast to the cases of UFG Al [26] and UFG Al-Zr alloys which were also structured by HPT. However, the plasticity in both cases drops almost to the brittle state (δ < 1%).
Thus, the DHT of the second type provided a combination of high ultimate tensile strength (370 MPa) with high plasticity (~15%) and good electrical conductivity (~53% IACS) (Table 1). The resulting combination of functional properties of this low-alloyed conductive alloy exceeds similar characteristics achieved to date for this system [21], as well as for the UFG alloys of Al-Fe [14] and Al-Cu-Zr [13] systems that are currently under development and for a number of commercial alloys based on the Al-Zr system [39] (Table 2). Comparison of the Al-Mg-Zr and Al-Cu-Zr alloys with nearly the same content (in at.%) of Mg and Cu alloying elements and close concentrations of Zr shows that although the ultimate tensile strength of the Al-0.53Mg-0.27Zr (wt.%) alloy is slightly lower, this alloy is significantly superior to the Al-1.47Cu-0.34Zr (wt.%) alloy in electrical conductivity (Table 2) and therefore more promising for electrical applications.
In order to understand which microstructural changes (key parameters) led to such a significant effect of increased plasticity as a result of DHT implemented by both regimes, we investigated the microstructure in the states before and after DHT of both types.

3.2. Microstructure Characterization

The microstructure of the samples was studied for the AG+HPT(RT), AG+HPT(RT)+AN(150), AG+HPT(RT)+AN(150)+0.25HPT(RT), AG+HPT(RT)+HPT(150) and AG+HPT(RT)+HPT(150)+0.25HPT(RT) states, i.e., before and after DHT of both types. The basic microstructural parameters analyses are presented in Table 3. The collected XRD profiles of the alloy in different UFG states are shown in Figure 3. For illustrative purposes, each profile has been normalized to the intensity of the corresponding (111) peak. All the major appearing peaks have been indexed as belonging to the Al element (Figure 3a). The peaks demonstrate notable changes in their broadening depending on the treatment used (Figure 3b). In general, treatments involving thermal effects have led to the sharpening of X-ray peaks, indicating a lower density of induced crystallographic defects. Quantitative XRD analysis demonstrated that the value of lattice parameter a remains approximately the same after both stages of DHT of the first and second types. Annealing at 150 °C decreases dislocation density by about 3.2 times. A similar decrease in dislocation density (by ~3 times) was observed during the low-temperature annealing of UFG commercially pure (CP) Al [26] processed by HPT. For the DHT of the second type, HPT processing at 150 °C reduces Ldis by ~2.8 times (Table 3), which is comparable to the effect of annealing at a similar temperature. Subsequent 0.25 HPT processing significantly increased the dislocation density for both types of DHT: to 5.2 × 1013 m−2 (by ~6.7 times) and to 2.7 × 1013 m−2 (by 3 times) in the AG+HPT(RT)+AN(150)+0.25HPT(RT) and AG+HPT(RT)+HPT(150)+0.25HPT(RT) states, respectively (Table 3).
Typical TEM images of the alloy in the studied states are presented in Figure 4 and Figure 5. The grain size was determined by the analysis of electron microscopic images based on ~100 grains for all studied states of the alloy (Table 3). Additional studies of the grain size distribution and grain boundary misorientations by EBSD were performed for the AG+HPT(RT)+AN(150) state in this work (Figure 6) and earlier for the AG+HPT(RT) state in [22] (see Figure 4 in Ref. [22]). Figure 6 shows the EBSD map and corresponding distributions of grains on size and grain boundaries on misorientation angles for the AG+HPT(RT)+AN(150) state. The values of dav, f>15 and θav obtained in the EBSD studies are presented in Table 3 for both the AG+HPT(RT) and AG+HPT(RT)+AN(150) states.
A detailed study of the microstructure features in this alloy in the AG+HPT(RT) state is reported in our previous paper [22]. After the HPT processing (AG+HPT(RT) state), the alloy has a UFG structure with an average grain size of 400 nm and predominantly HAGBs (Table 3). Annealing at 150 °C increased the average grain size from 400 nm to approximately 500 nm (Figure 6a,b), with the estimates of grain size from EBSD and TEM data providing close values (Table 3). The grain boundaries remained as predominantly high-angle boundaries. Subsequent HPT deformation to 0.25 turns practically did not change the average grain size (Figure 4e,f, Table 3). This result is in agreement with earlier reported data. As has been shown recently by EBSD and TEM studies, additional HPT deformation to 0.25 turns after similar low-temperature annealing does not practically change the average grain size and distribution of GBs on misorientation angles in UFG CP Al, UFG Al-0.4Zr [27] and UFG Al-1.47Cu-0.34Zr [13] alloys all processed by HPT.
Additional HPT deformation of the UFG Al-0.53Mg-0.27Zr (wt.%) alloy at 2 GPa to 10 turns at 150 °C resulted in more substantial grain growth (dav = 825 nm) compared to annealing at 150 °C (Figure 4c,d, Table 3). Taking into account the relatively small statistics of grain size measurements by TEM, we may conclude that after subsequent small HPT deformation to 0.25 turns at RT (AG+HPT(RT)+HPT(150)+0.25HPT(RT) state) the grain size remained almost unchanged (Figure 5c,d, Table 3).
TEM analysis revealed that dislocations are almost not observed in the grain interior for all the studied states, AG+HPT(RT), AG+HPT(RT)+AN(150), AG+HPT(RT)+HPT(150) and AG+HPT(RT)+HPT(150)+0.25HPT(RT), except for separate relatively large grains, in which lattice dislocations located chaotically or in dislocation walls, as well as on the precipitates were observed. However, such grains were observed rather exceptionally. Typically, grains were nearly dislocation-free. Thus, we may assume that the increase in dislocation density measured by XRD after additional deformation is most likely due to changes in the dislocation density in the GBs and near the GB areas and, consequently, the increase in plasticity after additional HPT to 0.25 turns is most likely related to changes in the GB dislocation structure.
As shown in our previous work [22], a large number of nanosized precipitates of the metastable Al3Zr phase (L12) with an average size of ~15 nm are formed during long-term aging (AG state). The HPT processing results in the partial dissolution of the Al3Zr precipitates. After HPT processing, the amount of precipitates and their average size decreased to dpt~10 nm. Atom probe tomography (APT) analysis performed in [22] showed a uniform distribution of Mg atoms in the grain interior, with some deficit in Mg concentration compared with the nominal value that was related to Mg segregation in GBs.
Both annealing at 150 °C and HPT at 150 °C increased electrical conductivity by about 1.0–1.3% IACS (Table 1), which indicates a slight purification of the aluminum matrix from dissolved zirconium. Since electrical conductivity after the additional 0.25 HPT remains nearly unchanged for both DHTs, we suppose that such additional small deformation does not practically affect the concentration of dissolved alloying elements in the aluminum matrix in both these states: AG+HPT(RT)+AN(150)+0.25HPT(RT) and AG+HPT(RT)+HPT(150)+0.25HPT(RT).

4. Discussion

As is shown above, after annealing at 150 °C as well as after HPT at 150 °C, the yield stress slightly decreases (Table 1), i.e., no AIH effect is observed. However, the plasticity in both cases decreased to an almost brittle state (δ < 1%). After annealing at 150 °C, the average grain size slightly increased from 400 nm to ~500 nm, and most of the GBs remained as the HAGBs. The value of lattice parameter a did not change (Table 3). The electrical conductivity increased very slightly (Table 1), indicating that the concentration of impurity atoms in solid solution in the aluminum matrix changed little after annealing. The main microstructural parameter that has changed significantly is the dislocation density. Following the TEM observation, the dislocations in the grain interior are almost not observed. Apparently, the decrease in dislocation density occurs mainly in the GBs and near the GB areas. The material became brittle, but subsequent additional HPT deformation to 0.25 turns led to an increase in plasticity in both cases (after DHT of both types). The observed effect of increased plasticity is consistent with the model proposed for a similar effect in CP Al [26]. In this model, additional dislocations introduced into the GBs by additional deformation will contribute to the formation of grain boundary dislocation pile-ups that facilitate the emission of dislocations from the GBs and allow the emission of more dislocations. It may be concluded from obtained experimental data that a similar deformation mechanism is realized for the Al-0.53Mg-0.27Zr (wt.%) alloy. The absence of the AIH effect in the Al-Mg-Zr alloy may be related to the fact that before as well as after annealing the dislocations in the GBs are most likely pinned by Mg atoms that have segregated at GBs already during primary processing by HPT. Indeed, as is shown in Refs. [11,32], Mg segregates in the grain boundaries of Al-Mg alloys (including the alloys with a low Mg concentration of ~0.5 wt.% [32]) during their structuring by HPT even at room temperature. In addition, earlier [22] we showed that the HPT-processed Al-0.53Mg-0.27Zr (wt.%) alloy (AG+HPT(RT) state) demonstrated drastic additional strengthening (~150 MPa) which cannot be explained by the operation of only traditional strengthening mechanisms (typical for CG materials). Such additional strengthening was related to the segregations of Mg in GBs, which were formed during HPT processing. This is in good agreement with the APT data, which showed the deficit of Mg in the Al matrix in the AG+HPT(RT) state [22]. Both annealing at 150 °C and additional HPT at 150 °C leads to the brittle behavior of the samples (δ < 1%), which may be due to the increased level of Mg segregation in GBs. It is noteworthy that after annealing at 150 °C as well as after HPT at 150 °C, the yield stress somewhat decreases, i.e., no AIH effect is observed in this alloy in contrast to UFG CP Al [26] and UFG Al-Zr alloys [27] processed by HPT at similar processing parameters. This fact also does not contradict the model described in [26], which explains the AIH effect in UFG CP Al. Due to segregation processes at GBs during the formation of the UFG structure, introduced extrinsic GB dislocations can be pinned by such segregations, and these dislocations cannot create pile-ups under external loading of the samples and, hence, cannot promote the emission of dislocations from GBs. The decrease of σ0.2 observed in the AG+HPT(RT)+AN(150) and AG+HPT(RT)+HPT(150) samples compared to the AG+HPT(RT) state is in agreement with the decrease in contributions from grain boundary hardening and dislocation hardening resulting from increased grain size and reduced dislocation density. Simple estimates, similar to those made in work [22], show that the reduction in the total contribution from dislocation and grain boundary hardening is approximately 27 MPa and 49 MPa, respectively, after annealing and after additional HPT at an elevated temperature, which is in rather good agreement with the experimental data (Table 1).
Grain boundary dislocations introduced by small additional HPT deformation to 0.25 turns at RT do not have enough time to be pinned by Mg atoms, and therefore, they can participate in the formation of pile-ups of GB dislocations at triple junctions under loading and contribute to the emission of dislocations from them, which will lead to a decrease in yield stress and an increase in plasticity.
An additional 0.25 HPT at RT in the case of DHT of the first type leads to an increase in the dislocation density approximately twice larger than in the case of DHT of the second type; however, in the case of DHT of the second type, the total area of the GBs (bulk density of the GBs or the area of the GBs per unit volume) decreased almost two times (Table 3), i.e., the densities of introduced dislocations per unit area of grain boundaries are comparable for both types of DHT. Achieving higher plasticity as a result of DHT of the second type compared to DHT of the first type can be associated with significantly larger grain size in the samples after DHT of the second type, which allows a greater development of the deformation process in grains under loading [40].
The obtained results are in good agreement with the results of work [41], in which it was theoretically revealed that the dislocation emission from deformation-distorted GBs is significantly enhanced as compared to that from structurally equilibrated GBs, and the dislocation emission processes are capable of enhancing the tensile plasticity of UFG material.
Renk with co-workers [42,43,44] suggested that an increase in absorption by GBs can lead to an increase in plasticity. An increase in the absorption facilities of GBs in their non-equilibrium states will result in an increase in the plasticity of the material. According to [42,43,44], the low plasticity of UFG material in the softly annealed state is due to low facilities of equilibrium GBs to absorption of dislocations. Then, the GB state might affect the plasticity not only through the influence on emission from GBs but also through the influence on their absorption facilities. Further studies are necessary to separate these two contributions.
The increase in plasticity may also be related to the intensification of grain boundary sliding (GBS) [45]. As is known, GBS contributes to the total plasticity of UFG Al [46,47]; the GBS contribution increases with a decrease in the strain rate and is accompanied by an increase in the value of strain rate sensitivity coefficient m [47]. Following [48], we measured the m-value for the AG+HPT(RT) and AG+HPT(RT)+AN(150)+0.25HPT(RT) states from the strain rate jump tests and found that m = 0.055 ± 0.005 in both states (Figure 7). As was shown in [13,27], similar DHT did not also change the m-value in HPT-processed Al-Zr and Al-Cu-Zr alloys. Since the DHT does not change the m-value, the obtained substantial increase in plasticity is not caused by any intensification of GBS processes.
Thus, the obtained results have showed for the first time that slight plastic deformation after low-temperature annealing results in a substantial increase in plasticity compared with the as-prepared ultrafine-grained state of low-alloyed Al-0.53Mg-0.27Zr (wt.%) alloy while keeping a high level of strength. However, the intermediate annealing does not cause hardening. Theoretical modeling is required to describe the influence of grain boundary segregations on the effects of annealing-induced hardening and the increase in plasticity by deformation in the HPT-processed Al-Mg-Zr alloys.

5. Conclusions

The effect of additional deformation heat treatment on the microstructure, mechanical properties and electrical conductivity of a UFG Al-0.53Mg-0.27Zr (wt.%) alloy structured by HPT to 10 turns at RT was studied for the first time. DHT was implemented through two regimes: (1) annealing and small additional HPT to 0.25–0.75 turns at RT and (2) HPT at elevated temperature to 10 turns and small additional deformation by HPT to 0.25 turns at RT. The following findings were obtained in the present study.
As was demonstrated for the HPT-processed Al-0.53Mg-0.27Zr (wt.%) alloy, both DHT regimes lead to a substantial increase in plasticity (by 2.5–5 times) while maintaining high strength at 75–85% of the strength before DHT and high electrical conductivity (~53% IACS). Thus, it was established that the effect of increased plasticity due to additional deformation after low-temperature annealing (static or in the process of SPD at elevated temperature) is significantly manifested in the UFG Al-0.53Mg-0.27Zr (wt.%) alloy.
Comparison of the changes in strength and plasticity with changes in the main microstructural parameters affected by DHT of both types indicates that the DHT-induced increase in plasticity relates most likely to the introduction of the additional density of grain-boundary glide dislocations, which are not pinned by the segregated Mg atoms. Such introduced grain boundary dislocations increase the degree of non-equilibrium in the GBs and, therefore, may contribute to the emission of more lattice dislocations from the GBs and may also facilitate the embedding of gliding lattice dislocations into the GBs under loading in tensile tests.
It was shown that annealing (static or during SPD at elevated temperature) does not lead to any hardening effect, which is most likely due to the pinning of grain boundary dislocations by Mg segregations, which are formed during the formation of the UFG structure by HPT processing as well as during subsequent annealing.
As a result of DHT, a unique combination of high strength (370 MPa), high elongation to failure (~15%) and significant electrical conductivity (~53% IACS) was achieved for the first time for Al-Mg-Zr alloys, showing their great prospects as conductor materials developed for electrical applications.

Author Contributions

Conceptualization, T.S.O.; methodology, T.S.O. and M.Y.M.; investigation, M.Y.M., A.M.M., N.A.E. and D.I.S.; validation, T.S.O., M.Y.M., A.M.M., D.I.S. and N.A.E.; data curation, M.Y.M., A.M.M., N.A.E. and D.I.S.; formal analysis, T.S.O.; writing—original draft preparation, T.S.O. and D.I.S.; writing—review and editing, T.S.O., M.Y.M., D.I.S. and A.M.M.; supervision, T.S.O.; funding acquisition, T.S.O. All authors have read and agreed to the published version of the manuscript.

Funding

This research was funded by the Russian Science Foundation, grant number 22-19-00292.

Data Availability Statement

The data are available on request from the corresponding author.

Conflicts of Interest

The authors declare no conflict of interest.

References

  1. Yuan, W.; Liang, Z.; Zhang, C.; Wei, L. Effects of La addition on the mechanical properties and thermal-resistant properties of Al–Mg–Si–Zr alloys based on AA 6201. Mater. Des. 2012, 34, 788–792. [Google Scholar] [CrossRef]
  2. Yoshida, K.; Doi, K. Improvement of ductility of aluminum wire for automotive wiring harness by alternate drawing. Procedia Eng. 2014, 81, 706–711. [Google Scholar] [CrossRef]
  3. Polmear, I.J. Light Alloys: From Traditional Alloys to Nanocrystals, 3rd ed.; Butterworth-Heinemann/Elsevier: Oxford, UK, 2006; p. 421. [Google Scholar]
  4. Changela, K.; Krishnaswamy, H.; Digavalli, R.K. Development of combined groove pressing and rolling to produce ultra-fine grained Al alloys and comparison with cryorolling. Mater. Sci. Eng. A 2019, 760, 7–18. [Google Scholar] [CrossRef]
  5. Yang, B.; Wang, Y.; Gao, M.; Wang, C.; Guan, R. Microstructural evolution and strengthening mechanism of Al–Mg alloys with fine grains processed by accumulative continuous extrusion forming. J. Mater. Sci. Technol. 2022, 128, 195–204. [Google Scholar] [CrossRef]
  6. Valiev, R.Z.; Straumal, B.; Langdon, T.G. Using Severe Plastic Deformation to Produce Nanostructured Materials with Superior Properties. Annu. Rev. Mater. Res. 2022, 52, 357–382. [Google Scholar] [CrossRef]
  7. Zhilyaev, A.P.; Torres, M.J.; Cadena, H.D.; Rodriguez, S.L.; Calvo, J.; Cabrera, J.M. The effect of pre-annealing on the evolution of the microstructure and mechanical behavior of aluminum processed by a novel SPD method. Materials 2020, 13, 2361. [Google Scholar] [CrossRef]
  8. Radhi, H.N.; Aljassani, A.M.; Mohammed, M.T. Effect of ECAP on microstructure, mechanical and tribological properties of aluminum and brass alloys: A review. Mater. Today Proc. 2020, 26, 2302–2307. [Google Scholar] [CrossRef]
  9. Mathew, R.T.; Singam, S.; Ghosh, P.; Masa, S.K.; Prasad, M.J.N.V. The defining role of initial microstructure and processing temperature on microstructural evolution, hardness and tensile response of Al-Mg-Sc-Zr (AA5024) alloy processed by high pressure torsion. J. Alloys Compd. 2022, 901, 163548. [Google Scholar] [CrossRef]
  10. Agarwal, K.M.; Tyagi, R.K.; Choubey, V.; Saxena, K.K. Mechanical behaviour of Aluminium Alloy AA6063 processed through ECAP with optimum die design parameters. Adv. Mater. Process. Technol. 2022, 8, 1901–1915. [Google Scholar] [CrossRef]
  11. Murashkin, M.Y.; Enikeev, N.A.; Sauvage, X. Potency of Severe Plastic Deformation Processes for Optimizing Combinations of Strength and Electrical Conductivity of Lightweight Al-Based Conductor Alloys. Mater. Trans. 2023, 64, 1833–1843. [Google Scholar] [CrossRef]
  12. Mckenzie, P.W.J.; Lapovok, R. ECAP with back pressure for optimum strength and ductility in aluminium alloy 6016. Part 2: Mechanical properties and texture. Acta Mater. 2010, 58, 3212–3222. [Google Scholar] [CrossRef]
  13. Orlova, T.S.; Sadykov, D.I.; Danilov, D.V.; Murashkin, M.Y. Influence of decreased temperature on the plasticization effect in high-strength Al-Cu-Zr alloy. J. Alloys Compd. 2023, 931, 167540. [Google Scholar] [CrossRef]
  14. Medvedev, A.E.; Murashkin, M.Y.; Enikeev, N.A.; Valiev, R.Z.; Hodgson, P.D.; Lapovok, R. Optimization of Strength-Electrical Conductivity Properties in Al–2Fe Alloy by Severe Plastic Deformation and Heat Treatment. Adv. Eng. Mater. 2018, 20, 1700867. [Google Scholar] [CrossRef]
  15. Cubero-Sesin, J.M.; Arita, M.; Horita, Z. High Strength and Electrical Conductivity of Al-Fe Alloys Produced by Synergistic Combination of High-Pressure Torsion and Aging. Adv. Eng. Mater. 2015, 17, 1792–1803. [Google Scholar] [CrossRef]
  16. Andreau, O.; Gubicza, J.; Zhang, N.X.; Huang, Y.; Jenei, P.; Langdon, T.G. Effect of short-term annealing on the microstructures and flow properties of an Al–1% Mg alloy processed by high-pressure torsion. Mater. Sci. Eng. A 2014, 615, 231–239. [Google Scholar] [CrossRef]
  17. Attarilar, S.; Ebrahimi, M.; Hsieh, T.H.; Uan, J.Y.; Göde, C. An insight into the vibration-assisted rolling of AA5052 aluminum alloy: Tensile strength, deformation microstructure, and texture evolution. Mater. Sci. Eng. A 2021, 803, 140489. [Google Scholar] [CrossRef]
  18. Gubicza, J.; Chinh, N.Q.; Horita, Z.; Langdon, T.G. Effect of Mg addition on microstructure and mechanical properties of aluminum. Mater. Sci. Eng. A 2004, 387–389, 55–59. [Google Scholar] [CrossRef]
  19. Zhang, J.; Starink, M.J.; Gao, N.; Zhou, W. Effect of Mg addition on strengthening of aluminium alloys subjected to different strain paths in high pressure torsion. Mater. Sci. Eng. A 2011, 528, 2093–2099. [Google Scholar] [CrossRef]
  20. Zha, M.; Li, Y.; Mathiesen, R.H.; Bjørge, R.; Roven, H.J. Achieve high ductility and strength in an Al-Mg alloy by severe plastic deformation combined with inter-pass annealing. Mater. Sci. Eng. A 2014, 598, 141–146. [Google Scholar] [CrossRef]
  21. Murashkin, M.Y.; Medvedev, A.E.; Kazykhanov, V.U.; Raab, G.I.; Ovid’ko, I.A.; Valiev, R.Z. Microstructure, strength, electrical conductivity and heat resistance of an Al-Mg-Zr alloy after ECAP-conform and cold drawing. Rev. Adv. Mater. Sci. 2016, 47, 16–25. [Google Scholar]
  22. Orlova, T.S.; Latynina, T.A.; Murashkin, M.Y.; Chabanais, F.; Rigutti, L.; Lefebvre, W. Effects of Mg on strengthening mechanisms in ultrafine-grained Al–Mg–Zr alloy. J. Alloys Compd. 2021, 859, 157775. [Google Scholar] [CrossRef]
  23. Masuda, T.; Sauvage, X.; Hirosawa, S.; Horita, Z. Achieving highly strengthened Al–Cu–Mg alloy by grain refinement and grain boundary segregation. Mater. Sci. Eng. A 2020, 793, 139668. [Google Scholar] [CrossRef]
  24. Huang, X.; Hansen, N.; Tsuji, N. Hardening by annealing and softening by deformation in nanostructured metals. Science 2006, 312, 249–251. [Google Scholar] [CrossRef] [PubMed]
  25. Terada, D.; Houda, H.; Tsuji, N. Effect of strain on “hardening by annealing and softening by deformation” phenomena in ultra-fine grained aluminum. J. Mater. Sci. 2008, 43, 7331–7337. [Google Scholar] [CrossRef]
  26. Orlova, T.S.; Skiba, N.V.; Mavlyutov, A.M.; Murashkin, M.Y.; Valiev, R.Z.; Gutkin, M.Y. Hardening by annealing and implementation of high ductility of ultrafine grained aluminum: Experiment and theory. Rev. Adv. Mater. Sci. 2018, 57, 224–240. [Google Scholar] [CrossRef]
  27. Orlova, T.S.; Mavlyutov, A.M.; Murashkin, M.Y.; Enikeev, N.A.; Evstifeev, A.D.; Sadykov, D.I.; Gutkin, M.Y. Influence of decreased temperature of tensile testing on the annealing-induced hardening and deformation-induced softening effects in ultrafine-grained Al–0.4Zr alloy. Materials 2022, 15, 8429. [Google Scholar] [CrossRef]
  28. Renk, O.; Pippan, R. Anneal Hardening in Single Phase Nanostructured Metals. Mater. Trans. 2023, 64, 1464–1473. [Google Scholar] [CrossRef]
  29. Belov, N.A.; Korotkova, N.O.; Akopyan, T.K.; Timofeev, V.N. Structure and Properties of Al-0.6%Zr-0.4%Fe-0.4%Si (wt.%) Wire Alloy Manufactured by Electromagnetic Casting. JOM 2020, 72, 1561–1570. [Google Scholar] [CrossRef]
  30. Çadırlı, E.; Tecer, H.; Şahin, M.; Yılmaz, E.; Kırındı, T.; Gündüz, M. Effect of heat treatments on the microhardness and tensile strength of Al-0.25 wt% Zr alloy. J. Alloys Compd. 2015, 632, 229–237. [Google Scholar] [CrossRef]
  31. Jiang, S.Y.; Wang, R.H. Manipulating nanostructure to simultaneously improve the electrical conductivity and strength in microalloyed Al-Zr conductors. Sci. Rep. 2018, 8, 6202. [Google Scholar] [CrossRef]
  32. Sauvage, X.; Duchaussoy, A.; Zaher, G. Strain Induced Segregations in Severely Deformed Materials. Mater. Trans. 2019, 60, 1151–1158. [Google Scholar] [CrossRef]
  33. Duchaussoy, A.; Sauvage, X.; Deschamps, A.; De Geuser, F.; Renou, G.; Horita, Z. Complex interactions between precipitation, grain growth and recrystallization in a severely deformed Al-Zn-Mg-Cu alloy and consequences on the mechanical behavior. Materialia 2021, 15, 101028. [Google Scholar] [CrossRef]
  34. Chuvil’deev, V.N.; Shadrina, I.S.; Nokhrin, A.V.; Kopylov, V.I.; Bobrov, A.A.; Gryaznov, M.Y.; Shotin, S.V.; Tabachkova, N.Y.; Chegurov, M.K.; Melekhin, N.V. An investigation of thermal stability of structure and mechanical properties of Al-0.5Mg–Sc ultrafine-grained aluminum alloys. J. Alloys Compd. 2020, 831, 154805. [Google Scholar] [CrossRef]
  35. Lutterotti, L.; Matthies, R.; Wenk, H.R.; Schultz, A.; Richardson, J. Combined texture and structure analysis of deformed limestone from time-of-flight neutron diffraction spectra. J. Appl. Phys. 1997, 81, 594–600. [Google Scholar] [CrossRef]
  36. Williamson, G.K.; Smallman, R.E. III. Dislocation densities in some annealed and cold-worked metals from measurements on the X-ray debye-scherrer spectrum. Philos. Mag. 1956, 1, 34–46. [Google Scholar] [CrossRef]
  37. Humphreys, F.J. Quantitative metallography by electron backscattered diffraction. J. Microsc. 1999, 195, 170–185. [Google Scholar] [CrossRef] [PubMed]
  38. Hasegawa, H.; Komura, S.; Utsunomiya, A.; Horita, Z.; Furukawa, M.; Nemoto, M.; Langdon, T.G. Thermal stability of ultrafine-grained aluminum in the presence of Mg and Zr additions. Mater. Sci. Eng. A 1999, 265, 188–196. [Google Scholar] [CrossRef]
  39. IEC 62004:2007; Thermal Resistant Aluminum Alloy Wire for Overhead Line Conductors. International Electrotechnical Commission: London, UK, 2007.
  40. Wang, R.; Liu, W.; Hao, Y.; Yao, M. Mechanism of considerable strain hardening in ultrafine-grained pure aluminum sheets at cryogenic temperatures. Mater. Sci. Eng. A 2023, 862, 144481. [Google Scholar] [CrossRef]
  41. Ovid’ko, I.A.; Sheinerman, A.G.; Valiev, R.Z. Dislocation emission from deformation-distorted grain boundaries in ultrafine-grained materials. Scr. Mater. 2014, 76, 45–48. [Google Scholar] [CrossRef]
  42. Renk, O.; Hohenwarter, A.; Maier-Kiener, V.; Pippan, R. Exploring the anneal hardening phenomenon in nanocrystalline Pt-Ru alloys. J. Alloys Compd. 2023, 935, 168005. [Google Scholar] [CrossRef]
  43. Renk, O.; Hohenwarter, A.; Schuh, B.; Li, J.H.; Pippan, R. Hardening by annealing: Insights from different alloys. IOP Conf. Ser. Mater. Sci. Eng. 2015, 89, 012043. [Google Scholar] [CrossRef]
  44. Renk, O.; Maier-Kiener, V.; Issa, I.; Li, J.H.; Kiener, D.; Pippan, R. Anneal hardening and elevated temperature strain rate sensitivity of nanostructured metals: Their relation to intergranular dislocation accommodation. Acta Mater. 2019, 165, 409–419. [Google Scholar] [CrossRef]
  45. Edalati, K.; Horita, Z.; Valiev, R.Z. Transition from poor ductility to room temperature superplasticity in a nanostructured aluminum alloy. Sci. Rep. 2018, 8, 6740. [Google Scholar] [CrossRef] [PubMed]
  46. Chinh, N.Q.; Csanadi, T.; Gyori, T.; Valiev, R.Z.; Straumal, B.B.; Kawasaki, M.; Langdon, T.G. Strain rate sensitivity studies in an ultrafine-grained Al–30 wt.% Zn alloy using micro-and nanoindentation. Mater. Sci. Eng. A 2012, 543, 117–120. [Google Scholar] [CrossRef]
  47. Ivanov, K.V.; Naydenkin, E.V. Tensile behavior and deformation mechanisms of ultrafine-grained aluminum processed using equal-channel angular pressing. Mater. Sci. Eng. A 2014, 606, 313–321. [Google Scholar] [CrossRef]
  48. Sabirov, I.; Estrin, Y.; Barnett, M.R.; Timokhina, I.; Hodgson, P.D. Enhanced tensile ductility of an ultra-fine-grained aluminum alloy. Scr. Mater. 2008, 58, 163–166. [Google Scholar] [CrossRef]
Figure 1. Microhardness and electrical conductivity of HPT-processed and annealed Al-0.53Mg-0.27Zr (wt.%) alloy versus the annealing temperature. Dashed lines are a guide to the eye.
Figure 1. Microhardness and electrical conductivity of HPT-processed and annealed Al-0.53Mg-0.27Zr (wt.%) alloy versus the annealing temperature. Dashed lines are a guide to the eye.
Metals 13 01570 g001
Figure 2. Stress–strain diagrams of Al-0.53Mg-0.27Zr (wt.%) alloy in different states: (a) AG (curve 1), AG+HPT(RT) (curve 2), AG+HPT(RT)+AN(150) (curve 3), AG+HPT(RT)+AN(150)+0.25HPT(RT) (curve 4), AG+HPT(RT)+AN(150)+0.75HPT(RT) (curve 5) and (b) AG (curve 1), AG+HPT(RT) (curve 2), AG+HPT(RT)+HPT(150) (curve 3), AG+HPT(RT)+HPT(150)+0.25HPT(RT) (curve 4). Curves 1 and 2 were achieved in [22].
Figure 2. Stress–strain diagrams of Al-0.53Mg-0.27Zr (wt.%) alloy in different states: (a) AG (curve 1), AG+HPT(RT) (curve 2), AG+HPT(RT)+AN(150) (curve 3), AG+HPT(RT)+AN(150)+0.25HPT(RT) (curve 4), AG+HPT(RT)+AN(150)+0.75HPT(RT) (curve 5) and (b) AG (curve 1), AG+HPT(RT) (curve 2), AG+HPT(RT)+HPT(150) (curve 3), AG+HPT(RT)+HPT(150)+0.25HPT(RT) (curve 4). Curves 1 and 2 were achieved in [22].
Metals 13 01570 g002
Figure 3. XRD patterns for the UFG Al-0.53Mg-0.27Zr (wt.%) alloy in different structural states—full profiles (a) and magnified view (b). The indexed peaks correspond to Al.
Figure 3. XRD patterns for the UFG Al-0.53Mg-0.27Zr (wt.%) alloy in different structural states—full profiles (a) and magnified view (b). The indexed peaks correspond to Al.
Metals 13 01570 g003
Figure 4. Typical TEM images of Al-0.53Mg-0.27Zr (wt.%) alloy in AG+HPT(RT) (a,b), AG+HPT(RT)+AN(150) (c,d) and AG+HPT(RT)+AN(150)+0.25HPT(RT) (e,f) states.
Figure 4. Typical TEM images of Al-0.53Mg-0.27Zr (wt.%) alloy in AG+HPT(RT) (a,b), AG+HPT(RT)+AN(150) (c,d) and AG+HPT(RT)+AN(150)+0.25HPT(RT) (e,f) states.
Metals 13 01570 g004
Figure 5. Typical TEM images (a,c) of Al-0.53Mg-0.27Zr (wt.%) alloy and grain size distributions (b,d) in AG+HPT(RT)+HPT(150) (a,b) and AG+HPT(RT)+HPT(150)+0.25HPT(RT) (c,d) states.
Figure 5. Typical TEM images (a,c) of Al-0.53Mg-0.27Zr (wt.%) alloy and grain size distributions (b,d) in AG+HPT(RT)+HPT(150) (a,b) and AG+HPT(RT)+HPT(150)+0.25HPT(RT) (c,d) states.
Metals 13 01570 g005
Figure 6. (a) EBSD map of Al-0.53Mg-0.27Zr (wt.%) alloy in AG+HPT(RT)+AN(150) state; (b) corresponding size distribution of grains and (c) distribution of GBs on misorientation angle.
Figure 6. (a) EBSD map of Al-0.53Mg-0.27Zr (wt.%) alloy in AG+HPT(RT)+AN(150) state; (b) corresponding size distribution of grains and (c) distribution of GBs on misorientation angle.
Metals 13 01570 g006
Figure 7. Strain rate jump test at the base strain rate of 5 × 10−4 s−1 for Al-0.53Mg-0.27Zr (wt.%) alloy in AG+HPT(RT) (curve 1) and AG+HPT(RT)+AN(150)+0.25HPT(RT) (curve 2) states.
Figure 7. Strain rate jump test at the base strain rate of 5 × 10−4 s−1 for Al-0.53Mg-0.27Zr (wt.%) alloy in AG+HPT(RT) (curve 1) and AG+HPT(RT)+AN(150)+0.25HPT(RT) (curve 2) states.
Metals 13 01570 g007
Table 1. Mechanical and electrical properties of UFG Al-0.53Mg-0.27Zr (wt.%) alloy in various states.
Table 1. Mechanical and electrical properties of UFG Al-0.53Mg-0.27Zr (wt.%) alloy in various states.
StateHv
(MPa)
σ0.2 (MPa)σUTS
(MPa)
δ
(%)
ω
(MS/m)
ω
(%IACS)
AG+HPT(RT)1240 ± 20400 ± 10465 ± 10~330.00 ± 0.1551.5 ± 0.3
AG+HPT(RT)+AN(150)1063 ± 25360 ± 10400 ± 15 *<130.60 ± 0.3052.8 ± 0.3
AG+HPT(RT)+AN(150)+0.25HPT(RT)990 ± 65300 ± 10375 ± 10~730.15 ± 0.3052.0 ± 0.2
AG+HPT(RT)+AN(150)+0.75HPT(RT)-285 ± 10390 ± 10~930.10 ± 0.3052.0 ± 0.2
AG+HPT(RT)+HPT(150)985 ± 65350 ± 10380 ± 10 *<130.50 ± 0.1052.5 ± 0.1
AG+HPT(RT)+HPT(150)+0.25HPT(RT)960 ± 25330 ± 10370 ± 10~1530.60 ± 0.3052.8 ± 0.5
* Corresponds to the fracture stress (brittle fracture).
Table 2. Mechanical properties and electrical conductivity of some aluminum alloys.
Table 2. Mechanical properties and electrical conductivity of some aluminum alloys.
Material (State)σ0.2 (MPa)σUTS
(MPa)
δ
(%)
ω
(%IACS)
Ref.
Al-0.53Mg-0.27Zr
(Mg 0.53 wt.%~Mg 0.6 at.%)
(AG+HPT(RT)+HPT(150)+
0.25HPT(RT) state)
330370~1552.8The present work
Al-0.4Mg-0.2Zr
AG + 6 passes ECAP-C at RT
18820514.657.6[21]
Al-0.4Mg-0.2Zr
ECAP-C + cold drawing
2492672.457.1
Al-2%Fe
HPT at RT (n = 20),
HPT at 200 °C (n = 5)
29532714.252.3[14]
Al-Zr (AT1)
Cold drawing (CD)
-159–169~2.0≥60.0[39]
Al-Zr (AT2)
Cold drawing (CD)
-225–248-≥55.0
Al-1.47Cu-0.34Zr (wt.%)
(Cu 1.47 wt.%~Cu 0.63 at.%)
(AG+HPT(RT)+AN(125)+
0.25HPT state)
3304651147.2[13]
Table 3. Microstructural parameters of UFG Al-0.53Mg-0.27Zr (wt.%) alloy in various states.
Table 3. Microstructural parameters of UFG Al-0.53Mg-0.27Zr (wt.%) alloy in various states.
StateEBSDTEMXRD
dav
(nm)
f15
(%)
θav
(°)
dav
(nm)
a
(Å)
DCDS
(nm)
<ε2>1/2
(%)
Ldis × 1013
(m−2)
AG+HPT(RT)400 ± 12 *88 *36 *450 ± 104.0526 ±
0.00007
196 ± 100.041 ±
0.002
2.5
AG+HPT(RT)+AN(150)482 ± 158837500 ± 154.0527 ±
0.00001
362 ± 100.023 ±
0.002
0.77
AG+HPT(RT)+AN(150)+
0.25HPT(RT)
---480 ± 304.0519 ±
0.0001
143 ± 10.062 ±
0.002
5.3
AG+HPT(RT)+HPT(150)---825 ± 454.0523 ±
0.0001
452 ± 130.034 ±
0.001
0.90
AG+HPT(RT)+HPT(150)+0.25HPT(RT)---745 ± 404.0528 ±
0.0001
231 ± 80.051 ±
0.001
2.70
* EBSD data were obtained earlier in [22].
Disclaimer/Publisher’s Note: The statements, opinions and data contained in all publications are solely those of the individual author(s) and contributor(s) and not of MDPI and/or the editor(s). MDPI and/or the editor(s) disclaim responsibility for any injury to people or property resulting from any ideas, methods, instructions or products referred to in the content.

Share and Cite

MDPI and ACS Style

Orlova, T.S.; Mavlyutov, A.M.; Sadykov, D.I.; Enikeev, N.A.; Murashkin, M.Y. Effect of Deformation-Induced Plasticity in Low-Alloyed Al-Mg-Zr Alloy Processed by High-Pressure Torsion. Metals 2023, 13, 1570. https://doi.org/10.3390/met13091570

AMA Style

Orlova TS, Mavlyutov AM, Sadykov DI, Enikeev NA, Murashkin MY. Effect of Deformation-Induced Plasticity in Low-Alloyed Al-Mg-Zr Alloy Processed by High-Pressure Torsion. Metals. 2023; 13(9):1570. https://doi.org/10.3390/met13091570

Chicago/Turabian Style

Orlova, Tatiana S., Aydar M. Mavlyutov, Dinislam I. Sadykov, Nariman A. Enikeev, and Maxim Yu. Murashkin. 2023. "Effect of Deformation-Induced Plasticity in Low-Alloyed Al-Mg-Zr Alloy Processed by High-Pressure Torsion" Metals 13, no. 9: 1570. https://doi.org/10.3390/met13091570

APA Style

Orlova, T. S., Mavlyutov, A. M., Sadykov, D. I., Enikeev, N. A., & Murashkin, M. Y. (2023). Effect of Deformation-Induced Plasticity in Low-Alloyed Al-Mg-Zr Alloy Processed by High-Pressure Torsion. Metals, 13(9), 1570. https://doi.org/10.3390/met13091570

Note that from the first issue of 2016, this journal uses article numbers instead of page numbers. See further details here.

Article Metrics

Back to TopTop