Next Article in Journal
Application of Pipe Ring Notched Tensile (PRNT) Specimens to Fracture Mechanics Testing of Ductile Metallic Materials
Previous Article in Journal
Application of Artificial Intelligence to Support Design and Analysis of Steel Structures
 
 
Font Type:
Arial Georgia Verdana
Font Size:
Aa Aa Aa
Line Spacing:
Column Width:
Background:
Article

Influence of Hot Deformation Temperature on Grain Size and γ′ Phase in U720Li Alloy After Sub-Solvus Heat Treatment

1
State Key Laboratory of Powder Metallurgy, Central South University, Changsha 410083, China
2
Shenzhen Wedge Central South Research Institute Co., Ltd., Shenzhen 518035, China
*
Author to whom correspondence should be addressed.
Metals 2025, 15(4), 409; https://doi.org/10.3390/met15040409
Submission received: 17 March 2025 / Revised: 2 April 2025 / Accepted: 3 April 2025 / Published: 4 April 2025

Abstract

Precise control of forging and heat treatment parameters is essential to achieve microstructural homogeneity in turbine disks, ensuring optimal mechanical performance for aerospace applications. This study examines the influence of the hot deformation temperatures on the grain size and γ′ phase characteristics of U720Li alloy following subsequent heat treatments. Samples extracted from a hot-extruded U720Li billet were subjected to isothermal compression within the temperature range of 1100–1130 °C, followed by holding at 1100 °C and 1120 °C for 4 h and air cooling. The results demonstrate that increasing the deformation temperature from 1100 °C to 1120 °C reduces the γ′ phase volume fraction at grain boundaries from 13% to 5%, weakens pinning effects, promotes grain growth during deformation, elevates grain boundary energy, and diminishes stored deformation energy, despite maintaining an equivalent degree of dynamic recrystallization. When the sub-solvus heat treatment temperature was 20 °C below the effective deformation temperature, Ostwald ripening dominated, resulting in a multimodal γ′ phase distribution after cooling. Conversely, when the sub-solvus heat treatment temperature 20 °C exceeded the effective deformation temperature, a significant portion of the intergranular γ′ phase dissolved, leaving a bimodal distribution comprising both large- and small-sized particles.

1. Introduction

Nickel-based superalloys are crucial to modern aerospace and power generation technologies due to their exceptional high-temperature strength, creep resistance, and corrosion resistance. These materials enable critical components, such as turbine blades, disks, and combustors, to perform reliably under extreme thermomechanical conditions [1,2,3]. As the demand for higher engine efficiency increases, the development of advanced superalloys has become a strategic priority for both academia and industry. Research on the relationship between the microstructure and properties of these alloys helps guide the next generation of propulsion and energy systems to achieve maximize material performance.
The study of superalloys is motivated by their complex microstructures, which include various phases such as the γ phase matrix, γ′ precipitates, and carbides. These microstructural features provide unique opportunities to tailor mechanical properties through careful control of composition and processing. For instance, the volume fraction and morphology of γ′ precipitates are highly sensitive to deformation and heat treatment history [4,5,6]. Understanding these microstructural evolutions is essential to optimize manufacturing processes.
Udimet 720 is a cast-and-wrought nickel-based superalloy originally developed for land-based gas turbine blades. It is strengthened by the precipitation of the γ′ phase and solid-solution enhancements from elements such as Co, Cr, Mo, and W. Research has demonstrated that this alloy can undergo superplastic deformation and, after proper heat treatment, exhibits good mechanical properties that have potential for use as a turbine disk [7]. Technological advances have enabled powder metallurgy processing consolidation through hot isostatic pressing, extrusion, and isothermal forging to produce turbine disks with high tensile strength and good fatigue resistance [8,9]. Researchers lowered the chromium content in U720 alloy and adjusted carbon and boron levels to decrease crack growth rate. This approach minimized the prior-particle boundaries (PPBs) as well as topologically close-packed phase and inhibited carbide and boride aggregation, thereby optimizing the U720Li alloy for powder metallurgy turbine disk applications [10,11,12,13].
Previous research has reported that the U720Li alloy, developed through powder metallurgy techniques, exhibits superior mechanical properties compared to the conventional cast-and-wrought process and is an excellent candidate for producing large turbine disks [14,15,16]. Most manufacturers focus on its deformation characteristics and/or heat treatment parameters [15,17,18,19,20,21]. It is widely recognized that the grain size and γ′ phase distribution of PM superalloys significantly influences their mechanical properties, including strength, creep resistance, fatigue life, and crack propagation resistance, etc. [22]. Therefore, the heat treatment process for the turbine disks should be selected as either sub-solvus or super-solvus heat treatment, depending on the specific operating conditions.
With the continuous development of high-performance turbine disks, practitioners need to ensure precise manufacturing processes to achieve accurate control over product microstructures. The thermal deformation process plays a critical role in establishing the initial conditions for subsequent heat treatment especially when the deformation is significant. Extremely large deformation zones are often found in the intricate structures of advanced full-sized high-performance turbine disks. During the production of turbine disks, we noted that variations in forging temperature have a substantial impact on the resulting grain size and γ′ phase distribution after heat treatment, especially at high deformation zones following sub-solvus heat treatment. However, there is limited research on the influence of thermal deformation process parameters on the microstructural evolution during heat treatment process.
In this study, Gleeble hot compression tests and heat treatment experiments were conducted to explore the influence of forging temperatures on the microstructural evolution during sub-solvus heat treatment in the turbine disk manufacturing. The results not only elucidate the critical mechanisms for the U720Li alloy but also offer broader insights applicable to the fabrication of other powder metallurgy (PM) superalloy disk components.

2. Materials and Experiment

The chemical composition of the alloy is listed in Table 1. The material was processed into powder using an argon gas atomization method, then sieved by −270 mesh, followed by hot isostatic pressing (1150 °C, 103 MPa, 4 h) and extrusion (1100 °C, 30 mm/s, λ = 4.7:1). All preparation processes were carried out with industrial equipment.
Cylinders (dimension of Φ 8 mm × 12.8 mm) were machined from the extrusion billet (Φ 125 × 1200 mm) for Gleeble hot compression experiments at 1100 °C, 1110 °C, 1120 °C, and 1130 °C, respectively, with a constant strain rate of 0.005 s−1 and a height reduction of 75% to simulate the forging process. All cylinders were held for 2 min at the test temperature for homogenization and cooled by argon gas. Subsequently, they were processed into samples for solid-solution heat treatment experiments, with temperatures of 1100 °C and 1120 °C, and a holding time of 4 h for both. The samples were air-cooled at a cooling rate of approximately 500 °C/min. A schematic diagram illustrating the heat treatments is provided in Figure 1.
Grain size analysis was conducted using the ASTM E112 [23] linear intercept method through manual measurements on optical microscopy (OM) images for both as-deformed (1100 °C, 1110 °C, and 1120 °C) and subsequent heat-treated conditions. Electron back-scatter diffraction (EBSD) analysis was performed on the core regions of Gleeble-deformed samples (1100 °C and 1130 °C) using the Quantax eFlash HR system (Bruker, Billerica, MA, USA), with grain size measurements conducted in accordance with ASTM E2627 standards [24] using AZtecCrystal software (v2.1). The equilibrium γ′ phase fraction of U720Li at 1100~1130 °C was calculated using JMatPro (v7.0) for reference, helping understand phase evolution mechanisms. The quantitative analysis of γ′ phase volume fraction was performed on both as-deformed (1100 °C, 1110 °C, 1120 °C) and heat-treated Gleeble samples using Sigma 300 field-emission scanning electron microscopy (SEM) (Carl Zeiss, Cambridge, UK), with subsequent image processing conducted in ImageJ (v1.51) software through the area percentage method. The specimens were subjected to etching using two different solutions: Kalling’s solution for the examination of γ grains and a mixture comprising 3 mL of HNO3, 3 mL of CH3COOH, 3 mL of H2O, and 1 mL of HF for the observation of the γ′ phase.

3. Results and Discussion

3.1. Hot Deformation Characteristics

Gleeble samples were taken from the edge of the extrusion billet. The hot compression tests were performed with constant rates of 0.005 s−1 at 1100 °C, 1110 °C, 1120 °C, and 1130 °C, respectively, until a height reduction of 75% (true strain = 1.386). The holding time for each test was 2 min. The true stress–strain curves of the Gleeble samples at different temperatures are illustrated in Figure 2. The flow stress increased with rising temperatures. In addition, the peak stress indicating the onset of recrystallization was difficult to discern when the test temperature was 1100 °C. This result differed from previous Gleeble tests on samples prepared without hot extrusion [17,20]. The primary reason is that recrystallization occurred during extrusion (1100 °C, 30 mm/s), and subsequent deformation proceeded without further recrystallization.
All samples exhibited work hardening characteristics after reaching a true strain of approximately 0.8. The dominant reason was the increased friction between the samples and the forging die as their diameters increased [21]. The stress–strain relationship exhibits a combination of work hardening and thermally activated softening [25,26,27,28]. Work hardening occurs due to the dislocation accumulation under continuous strain. Thermally activated softening is caused by dynamic recrystallization. This process occurs at elevated temperatures, under which the deformation mechanisms are activated, enabling the material to experience structural transformations. As the material is undergoing stress, grain boundaries migrate, facilitating new grain formation with a favorable orientation, and reducing dislocation density. Although recrystallization can refine grains, prolonged high-temperature exposure may lead to grain growth. In this study, most samples showed softening with a true strain less than 0.8. The true strain near the core of the samples was about 1.386 (=ln(1 − 0.75)), which could represent the massive deformation region of a full-sized, complex-shaped turbine disk.
The reduction in flow stress of the samples after the peak was attributed to the flow softening effect. Hot deformation in alloys can cause softening through microstructural changes, temperature elevation, or a combination of both. In nickel-based superalloys, continuous dynamic recrystallization (CDRX) and discontinuous dynamic recrystallization (DDRX) are considered to be the main mechanisms for this process [26]. A power law equation to describe the relationship between flow stress σ (MPa), strain rate ε ˙ (s−1), and temperature T (K) during high-temperature deformation is expressed as [21]
σ = A ε ˙ m e x p [ m Q / R T ]
where A is a material constant, R is the molar gas constant, m denotes the strain rate sensitivity, and the activation energy Q (J/mol) is considered to be independent of temperature. Since the Gleeble experiment was performed at a constant strain rate, deriving the constitutive equation is not possible. However, using the current experimental conditions in Equation (1) helps to identify the main factors affecting flow stress. Equation (1) can be rewritten as
l n σ = l n A + m l n ε ˙ + m Q / R T
Then,
m = l i n ( σ / A ) / ( l n ε ˙ + Q / R T )
As temperature increases, σ rises, while ε ˙ , A, Q, and R remain constant, and the strain rate sensitivity m becomes higher. This can lead to an increase in flow stress in Equation (1).

3.2. Adiabatic Heating

To better understand the deformation characteristic in Figure 2, the influences of adiabatic heating should be taken into account. Hot compression tests can be considered adiabatic. The increase in temperature cannot be negligible unless the strain rate is very slow. Adiabatic heating generated by deformation can also significantly affect hot compression experiments at high strain [21], as almost 90% of input energy during deformation is converted into heat [29]. Adiabatic heating during deformation results in a temperature increase could be calculated as follows:
Δ T = 0.9 Δ w ρ c
with
Δ w = σ d ε
where ΔT is the temperature increase during compression. ρ and c are the density and heat capacity of the alloy. In the present study, the ρ and c of the U720Li alloy were calculated through the software JMatPro (v7.0), plotted in Figure 3a. Assuming that the adiabatic heating was evenly distributed across the entire sample, the true deformation temperature of the samples at a deformation rate of 0.005 s−1 is shown in Figure 3b, where the deformation temperature rose with increasing compression, up to approximate 10 °C when true deformation reached to 1.386.
Equations (4) and (5) are used to calculate the overall increase in the deformation temperature, yet the deformation work at the core of the sample exceeded other regions such as the bulge area. The solvus temperature of the γ′ phase for the P/M U720Li billet material was determined to be 1155 °C [10]. As the true deformation temperature approached this temperature, more γ′ phases at the grain boundary dissolved, hindering grain boundary migration less effectively, thus promoting more obvious grain growth. Grain growth in nickel-based superalloys can lead to a decrease in the proportion of grain boundaries in the alloy, resulting in higher deformation resistance during high-temperature high-strain-rate deformation, because the strength of grain boundaries at high temperatures is lower than that of grains. In addition, short-range-order locking of dislocations can be used to explain this work hardening phenomenon [21,30]. The γ′ phase in U720Li significantly decreases to 15.95 wt.%, 13.63 wt.%, 11.12 wt.%, and 8.4 wt.% at 1100 °C, 1110 °C, 1120 °C, and 1130 °C, respectively, according to JMatPro calculations. This trend indicates that elements such as Cr, Al, and Ti exist as solutes in the matrix at these temperatures, resulting in short-range-order of dislocations, hindering dynamic recrystallization.

3.3. Microstructure Evolution After Deformation

The grain structures of the samples deformed at 1100 °C and 1130 °C are shown in Figure 4. When the deformation temperature was 1100 °C, the grains were uniformly fine. As the temperature increased, the grains enlarged. Non-uniform grain growth appeared at 1130 °C. Figure 4b–e demonstrate the core-to-edge microstructural evolution in samples deformed at 1130 °C and 1100 °C. In the 1130 °C sample, the observed heterogeneity is directly linked to γ′ phase dissolution in the core region, as evidenced by Figure 4f,g, resulting from its higher effective deformation temperature approaching the γ′ solvus temperature. Figure 5 displays core microstructures at 1100 °C–1120 °C, where uniform grains persist despite large-sized γ′ fraction reduction with increasing temperature. This confirms that in the 1130 °C deformed sample, the combined effect of the nominal deformation temperature and adiabatic heating elevated the actual core temperature to approach the γ′ phase solvus temperature of the alloy.
The mean grain size is shown in Figure 6. Grains grew with the increasing of temperature. Grain growth kinetics for polycrystalline superalloys under isothermal conditions are often described by the Arrhenius constitutive relationship, which relies on thermally activated atomic movement. A simple model by Sellars and Whiteman suggested that [31]
D n D 0 n = A t e x p Q R T
where D 0 is the initial grain size and t is the holding time. A, Q, R, and T are the material constant, grain growth activation energy, universal gas constant, and holding temperature, respectively. This relationship reveals that grain size is significantly influenced by temperature.
The primary driver of grain growth in polycrystalline metal materials is the reduction in grain boundary energy as grain enlarges. However, the presence of other phases, such as γ′ and carbide, usually limit grain growth in superalloys [32]. As the heat treatment temperature and holding time increase, the volume fraction of precipitates decreases as their size increases, resulting in a reduced Zenner pinning force, as described by the following equation [33]:
F = C γ f r ,
where f and r′ represent the volume fraction and radius of the undissolved coarse γ′ particles, respectively. C and γ are constant and grain boundary energy, respectively. The equation shows that the Zenner pinning force is proportional to grain boundary energy and γ′ volume fraction; moreover, the small-sized γ′ phase provides higher pinning force. Figure 6 shows the area fraction of the grain boundary γ′ phase automatically identified by image processing software. As the deformation temperatures rose, the proportion of the grain boundary γ′ decreased, the pinning force weakened, and grain growth occurred. Although carbides can also pin grain boundaries, it is generally believed that carbides in nickel-based powder metallurgy superalloys formed during solidification have a high melting point and remain stable near γ′ solvus temperature. Therefore, in these experiments, the pinning effect of carbides can be considered equivalent for all samples.
During the forging process design for complex-shaped turbine disks, the adiabatic temperature rise in high-strain regions must be rigorously considered. If the local effective deformation temperature approaches the γ′ phase solvus temperature, it can cause extensive γ′ phase dissolution, leading to heterogeneous grain structures even prior to heat treatment.
Figure 7a,b are the IPF images of the cylinders at 1100 °C and 1130 °C, respectively. Figure 5 illustrates numerous γ′ precipitates in the microstructure, particularly at the grain boundaries, most of which have diameters smaller than 2.5 μm. Therefore, particles smaller than 2.5 μm are excluded from the statistics to avoid their misidentification as γ grains. Subsequently, according to the software’s automatic identification, the mean equivalent circle diameters of γ grains are 4.68 μm when deformed at 1100 °C and 10.79 μm if deformed at 1130 °C. In Figure 7, fine equiaxed grains and deformed grains can be observed, with the elongation direction perpendicular to the compression direction. According to Figure 1, the grain size of the origin material was 3.9~4.6 μm; therefore, the deformation parameters of 1130 °C and 0.005 s−1 led to a noticeable grain growth. The alloy material in this work underwent a hot extrusion process before the hot compression experiment, resulting in a high degree of recrystallization. Investigating grain orientation spread (GOS) is a common approach to distinguishing dynamic recrystallization (DRX) from deformed matrix in metal materials research [34]. The literature suggests that a GOS value below 2° for hot deformed nickel-based superalloys signifies the occurrence of dynamic recrystallization [35]. Figure 7c–d are the GOS images of these two samples. In the 1100 °C sample, the area fraction of grains with GOS less than 2° was 87.4%, while in the 1130 °C sample it was 72.1%. However, at 1100 °C, 86.6% of the grains in the sample had a GOS less than 2°, compared to 88.5% at 1130 °C. This statistical difference is plotted in Figure 7e. Moreover, at 1130 °C, the proportion of high-angle grain boundaries (HGBs) was slightly higher than that at 1100 °C, as illustrated in Figure 7f. These results indicate a greater degree of recrystallization at 1130 °C, but the grain size had increased significantly. Figure 7g,h are the local average misorientation images of the 1100 °C and 1130 °C samples, respectively, clearly showing that the former has higher deformation, with dislocation concentration present both within the grains and at the grain boundaries. Higher deformation may promote static recrystallization of materials during heat treatment. In summary, the sample deformed at a higher temperature experienced significant deformation heating under large amounts of deformation. It led to a slightly higher degree of recrystallization and a higher proportion of HGBs but a lower dislocation density.

3.4. Microstructure Evolution After Heat Treatment

Heat treatment is an essential process in the preparation of turbine disk. The heat treatment process for turbine disk mainly includes solid-solution and aging. In nickel-based powder metallurgy superalloys, solid-solution heat treatment primarily aims to modify the size distribution of the γ′ phase through the dissolution and re-precipitation behavior. The super-solvus heat treatment promotes uniform grain growth to adapt to high-temperature service conditions. Solid-solution heat treatment is a critical process that affects the performance of turbine disks, with temperature and cooling rate as the primary parameters. The aging heat treatment process, which follows solid-solution heat treatment, aims to enhance the materials with tiny strengthening phase precipitates, and partially relieve residual stress in the workpiece. In the industrial production of turbine disks, most heat treatment equipment can achieve uniform temperature distribution in the disks. However, the distribution of cooling rates is greatly influenced by the size and shape of the disks, and differences in cooling rates at different locations are particularly noticeable when using high-efficiency cooling media. Therefore, this work focuses on the effect of heat treatment temperature on microstructure evolution.
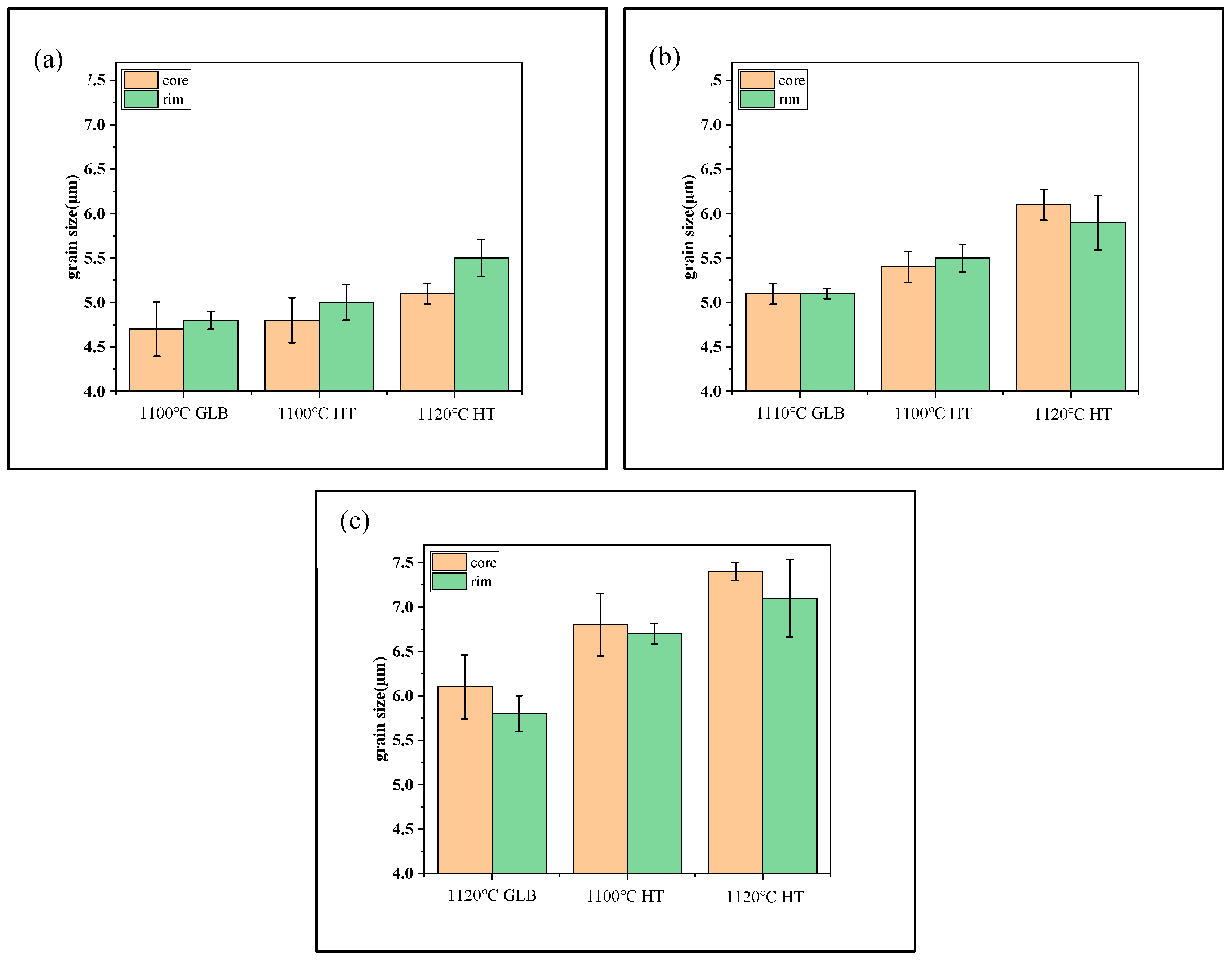
Figure 8 shows a plots of the average grain size of the hot compression cylinders subjected to heat treatment. Their deformation temperatures were 1100 °C, 1110 °C, and 1120 °C, and they were subsequently cut into samples for heat treatment at 1100 °C/4 h and 1120 °C/4 h. The sample deformed at 1100 °C shows slight grain growth after undergoing heat treatment at 1100 °C/4 h, but the grain size clearly increased after heat treatment at 1120 °C/4 h. This result indicated that a higher deformation temperature provided greater driving force or less pining effect for grain growth, which is consistent with the observations from Figure 7.
Figure 9 shows the γ′ phase of the core region of the cylinders deformed at different deformation and heat treatment temperatures. The large-sized γ′ phase, approximately 1 to 2.5 μm, mainly located at the grain boundaries, is commonly referred to as the primary γ′ phase. The primary γ′ phase was present in all samples, although its amount decreased at higher temperatures due to dissolution. The medium-sized γ′ phase is widely present in Figure 9a,c,e,f, and the common feature among these three samples was that the heat treatment temperature did not exceed the deformation temperatures. The γ phase matrix in all samples contained numerous small γ′ phases. Due to their small size and the absence of aging heat treatment, it was evident that these phases precipitated during the cooling process following the solid-solution heat treatment.
It is quite interesting that there are few medium-sized γ′ phases in Figure 9b,d. The evolution of the γ′ phase in these samples involved Ostwald ripening and dissolution kinetics. Among them, the microstructural formation mechanisms of medium-sized γ′ phases in Figure 9a,c,e,f are Ostwald ripening. Its main mechanism is that the high-temperature environment increases the long-range diffusion ability of the solute atoms, leading to an average size increase in the γ′ phase, accompanied by the dissolution of smaller-sized γ′ phases [36]. The Ostwald ripening theory is commonly utilized to characterize the variability of the γ′ phases under isothermal conditions. Figure 10 is a simple schematic diagram of a γ/γ′ lattice at a specific temperature. If the diffusion distance of γ′ phase elements is one atomic spacing per unit time, diffusion from the larger γ′ phase into the matrix is limited. In contrast, elements residing within the smaller γ′ phase demonstrate an enhanced ability to diffuse into the γ matrix. Therefore, as the γ′ phase forming elements within the matrix increases, the probability of their occupancy at the corner positions of the face-centered cubic lattice at the interface between the larger γ′ phase and the γ phase also increases, thereby promoting the further formation of an L12 crystal structure. The morphology evolution of γ′ particles significantly depends on their size and atomic lattice misfit [37]. In this study, the γ′ particles maintained a spherical morphology following prolonged thermal exposure, which suggests a small size or low lattice misfit at the heat treatment temperature.
However, a quasi-solid-solution heat treatment temperature may result in a considerable dissolution of the γ′ phase contained within the γ grains, thereby concealing the phenomenon of conventional Ostwald ripening process. In this scenario, the elevated solubility of the solutes in the γ matrix facilitates the re-dissolution of a substantial portion of the intergranular γ′ phase forming elements back into the matrix. Conversely, the primary γ′ phase located at the grain boundaries remains relatively intact, provided that the temperature does not ascend to the solid-solution temperature of the γ′ phase or beyond.
Figure 11 shows the volume fraction of the γ′ phase in the alloy at the deformation temperature and subsequent heat treatments. If the applied heat temperature exceeds that of the hot deformation process, the volume fraction of the γ′ phase f γ at that elevated temperature must be less than f d e γ . Due to the rapid cooling subsequent to hot deformation, the average size of the resulting γ′ particles are significantly reduced compared to those of the primary γ′ phase, resulting in its near-complete dissolution during the heat treatment process. On the contrary, when the heat treatment temperature is lower than the deformation temperature, some of the γ′ phase after deformation cooling will be retained throughout the heat treatment process, as shown in Figure 11. This portion of γ′ particles will undergo typical Ostwald ripening during the isothermal holding process of solid-solution heat treatment.
Statistical evidence corroborated the aforementioned analysis. Table 2 shows the volume fraction of the γ′ phase of the samples that underwent hot compression tests and heat treatment experiments. The volume fraction of particles with an equivalent diameter exceeding 1 μm was referred to as f p r i γ , the fraction for those ranging from 0.1 to 1 μm was denoted as f s e c γ , and the fraction for particles smaller than 0.1 μm was designated as f t e r γ .
The statistical results of the γ′ phase for the samples before heat treatment in Table 2 correspond to the photos in Figure 5. The volume fraction of the overall γ′ phase diminished with an increase in the deformation temperature. This phenomenon arose due to two interrelated factors: elevated temperatures promoted increased dissolution of the γ′ phase into the matrix, while the sample’s small original dimensions (Φ 8 × 12.8 mm) caused an excessively rapid cooling rate. This rapid cooling inhibited sufficient precipitation of the dissolved γ′ phase. The large γ′ phase particles (equivalent diameter > 1 μm) observed in the alloy suggests their pre-existence during hot pressing. Because these particles could not have formed via nucleation and subsequent growth under the extreme cooling rates.
The microstructure of samples hot-compressed at 1100 °C and 1110 °C exhibited significant differences following subsequent heat treatment at 1100 °C and 1120 °C, as illustrated in Figure 9a–d. The rationale for this microstructure evolution can be clearly conveyed alongside Figure 3b and Figure 11. Since their temperature during the deformation process was always greater than 1100 °C but less than 1120 °C, the microstructural evolution of medium-sized and small-sized γ′ particles at heat treatment temperatures of 1100 °C and 1120 °C was primarily characterized by typical Ostwald ripening and re-dissolution, respectively. Similarly, the 1120 °C sample, due to deformation heating, maintained an effective deformation temperature that was always above 1120 °C. Therefore, after applying the heat treatment at 1120 °C, typical Ostwald ripening behavior was still observed, as shown in Figure 9e,f.
To maintain superplastic deformation capability, the forging temperature for nickel-based powder metallurgy (PM) superalloys is typically constrained below the γ′ phase solution temperature. Additionally, preserving a fine-grained microstructure in the final product necessitates keeping post-forging heat treatment temperatures similarly below this critical threshold. A schematic representation illustrating the effect of forging temperature and sub-solvus heat treatment temperature on the medium-sized and small-sized γ′ particles is presented in Figure 12. The initial state in Figure 12 refers to the initial γ′ phase morphology resulting from either hot isostatic pressing or hot extrusion with slow cooling. During this forming process, the workpiece is encased in a metallic sheath, so the cooling rate is maintained at a slow level. A slow cooling rate results in the multimodal distribution of the γ′ phase [38,39,40,41], as shown in Figure 12a. In the industrial sector, the deformation process will be carried out at a sub-solvus temperature with air cooling. Therefore, part of the precipitate γ′ phase will be smaller than that of the initial state; Figure 12b–d highlight the influence of the relationship between the deformation temperature and heat treatment temperature on the behavior of the γ′ phase. During γ′ phase evolution governed by Ostwald ripening, the alloy predominantly features a medium-sized γ′ phase within the grains. In contrast, during dissolution-dominated evolution, most intergranular γ′ phases are small-sized throughout the holding period. Ultimately, they will generate multimodal and bimodal γ′ phases upon rapid cooling, respectively, as illustrated in Figure 12e,f.

3.5. Effect on Mechanical Performance

Yield strength and high-temperature creep resistance are two of the most critical mechanical properties for high-performance turbine disks.
The primary strengthening mechanisms in precipitation-hardened nickel-based superalloys include solid-solution strengthening, precipitation strengthening, grain boundary strengthening. For the precipitation strengthening, numerous studies have demonstrated the significant influence of the size and distribution of the γ′ phase on alloy performance [42,43,44,45,46,47]. The underlying strengthening mechanisms primarily involve dislocation shearing (including weak-coupled shearing and strong-coupled shearing) through γ′ particles and dislocation bypassing around γ′ particles. The activation of these mechanisms depends on their respective critical resolved shear stresses (CRSSs), which exhibit strong correlations with γ′ size distribution. These mechanisms in superalloys are now quantitatively well described, where a fine dispersion of γ′ particles (~40–60 nm) maximizes the strengthening effect. Therefore, a higher population of finer γ′ precipitates (tertiary γ′) after heat treatment facilitates better utilization of the material’s strength potential. In line with this study, employing sub-solvus heat treatment temperatures exceeding the deformation temperature (e.g., 1100 °C deformation + 1120 °C sub-solvus) coupled with high cooling rates proves beneficial for enhancing material strength.
The creep behavior of nickel-based powder superalloys exhibits complex mechanism transitions depending on stress–temperature conditions [48]. Under low-temperature/high-stress conditions (hub region), deformation primarily occurs through dislocation shearing, while increasing temperature and decreasing stress (rim region) promotes a transition to microtwinning, stacking fault shearing, and eventually dislocation bypass/climb mechanisms. Notably, tertiary γ′ phases undergo coarsening or complete dissolution above 800 °C. Although grain boundary effects become more pronounced with rising temperature, the dissolution of tertiary γ′ phases increases interparticle spacing, substantially weakening high-temperature creep resistance. To optimize creep performance, the γ′ phase distribution must be carefully designed according to actual service conditions. Employing sub-solvus heat treatment (e.g., 1120 °C following 1100 °C deformation) effectively preserves the coarse grain boundary γ′ phase while dissolving intragranular precipitates, thereby providing an ideal microstructure foundation for precise heat treatment process design.
From the perspective of the preparation process, the mechanical properties often vary across different regions of complex-shaped full-sized turbine disks due to differences in residual stress/strain and microstructural characteristics, which raises concerns regarding service performance evaluation and reliability. The control of solution cooling paths plays a critical role in determining the residual stress/strain states and γ′ phase size distribution. For the disks requiring sub-solvus heat treatment, it becomes essential to properly configure the deformation and heat treatment temperatures to ensure homogeneous grain structure and γ′ phase distribution prior to cooling, thereby providing fundamental support for cooling path design. These results underscore the role of processing parameters in driving performance variations in the product.

4. Conclusions

  • Cylindrical U720Li alloy specimens (Φ 8 × 12.8 mm), fabricated via hot isostatic pressing (HIP) and hot extrusion (HEX), were subjected to hot compression tests performed at 1100–1130 °C with a strain rate of 0.005 s−1, achieving a 75% height reduction. At a true strain of ~0.7, the alloy exhibited continuous strain hardening behavior, characterized by a steady increase in deformation resistance. Numerical simulations indicated a temperature rise of ~10 °C in the specimen core during compression.
  • Increasing the deformation temperature from 1100 °C to 1120 °C resulted in larger mean grain sizes and a reduction in the γ′ phase volume fraction at grain boundaries from ~13% to ~5%. This diminished γ′ phase content weakened the pinning effect on grain boundaries. Notably, while dynamic recrystallization (DRX) fractions were comparable between samples deformed at 1100 °C and 1130 °C, the latter displayed pronounced grain growth and marginally higher grain boundary energy. Additionally, the sample deformed at 1100 °C retained higher stored deformation energy, enhancing its propensity for static recrystallization. These combined effects led to coarser grains in samples deformed at higher temperatures under identical solution heat treatment conditions.
  • Hot-compressed samples were solution-treated at 1100 °C and 1120 °C for 4 h to analyze temperature-dependent microstructural changes. When the heat treatment temperature was below the deformation temperature (e.g., 1100 °C), isothermal holding induced classical Ostwald ripening, where smaller γ′ particles dissolved to coarsen larger ones. Subsequent rapid cooling produced a microstructure with a high density of medium- and small-sized γ′ precipitates. Conversely, when the heat treatment temperature exceeded the deformation temperature (e.g., 1120 °C), substantial dissolution of the γ′ phase occurred during isothermal holding. This yielded a microstructure dominated by finely dispersed small γ′ precipitates after rapid cooling, with a marked reduction or absence of medium-sized γ′ phases. These contrasting outcomes underscore the critical influence of the heat treatment temperature relative to the prior deformation temperature on γ′ phase evolution and final microstructural features.

Author Contributions

Conceptualization, J.C., G.F. and J.G.; methodology, J.C., J.X. and A.L.; software, J.C.; validation, J.X. and A.L.; formal analysis, J.C. and X.M.; investigation, J.C., L.X. and X.M.; resources, G.F. and J.G.; data curation, J.C., J.X. and A.L.; writing—original draft, J.C.; writing—review and editing, L.X., G.F. and J.G.; visualization, J.C.; supervision, X.M.; project administration, L.X.; funding acquisition, G.F. and J.G. All authors have read and agreed to the published version of the manuscript.

Funding

This research received no external funding.

Data Availability Statement

The original contributions presented in this study are included in the article. Further inquiries can be directed to the corresponding author.

Conflicts of Interest

All authors were employed by the company Shenzhen Wedge Central South Research Institute Co., Ltd. The authors declare that the research was conducted in the absence of any commercial or financial relationships that could be construed as a potential conflict of interest.

References

  1. Pollock, T.M. Nickel-Based Superalloys for Advanced Turbine Engines: Chemistry, Microstructure, and Properties. J. Propuls. Power 2006, 22, 361–374. [Google Scholar] [CrossRef]
  2. Rui, Z.; Peng, L.; Chuangyong, C.; Jinlong, Q.; Beijiang, Z.; Jinhui, D.; Yizhou, Z.; Xiaofeng, S. Present Research Situation and Prospect of Hot Working of Cast & Wrought Superalloys for Aero-Engine Turbine Disk in China. Acta Metall. Sin. 2021, 57, 1215–1228. [Google Scholar]
  3. Gudivada, G.; Pandey, A.K. Recent developments in nickel-based superalloys for gas turbine applications: Review. J. Alloys Compd. 2023, 963, 171128. [Google Scholar]
  4. Semiatin, S.L.; Levkulich, N.C.; Larsen, R.; Tiley, J.S.; Wertz, K.N.; Zhang, F.; Smith, T.M.; Zhang, R.Y.; Dong, H.B.; Gadaud, P.; et al. The Application of Differential Scanning Calorimetry to Investigate Precipitation Behavior in Nickel-Base Superalloys Under Continuous Cooling and Heating Conditions. Metall. Mater. Trans. A 2021, 52, 3706–3726. [Google Scholar]
  5. Feng, Q.; Wu, Y.; Li, J.; Cai, Y.; Zhang, Y.; Liu, J.; Liu, T. Effects of intermediate temperature on the grain boundary and γ′ precipitates of nickel-based powder superalloy under interrupted cooling. J. Alloys Compd. 2022, 922, 166310. [Google Scholar]
  6. Ye, X.; Yang, B.; Liu, J.; Li, Y. Correlation between Microstructure and Mechanical Properties of Heat-Treated Novel Powder Metallurgy Superalloy. Materials 2022, 15, 4524. [Google Scholar] [CrossRef]
  7. Kong, Y.S.; Cheepu, M.; Kim, D.G. Effects of Heat Treatment on the Mechanical Behavior of Udimet 720 Nickel-Based Superalloy. J. Mater. Eng. Perform. 2022, 31, 8327–8333. [Google Scholar] [CrossRef]
  8. Gabb, T.P.; Bonacuse, P.J.; Ghosn, L.J.; Sweeney, J.S.; Chatterjee, A.; Green, K.A. Assessments of Low Cycle Fatigue Behavior of Powder Metallurgy Alloy U720; NASA/TM-2000-209418; Glenn Research Center: Cleveland, OH, USA, 2000. [Google Scholar]
  9. Furrer, D.; Fecht, H. Ni-Based Superalloys for Turbine Discs. JOM 1999, 51, 14–17. [Google Scholar]
  10. Furrer, D.; Fecht, H. γ′ formation in superalloy U720Li. Scr. Mater. 1999, 40, 1215–1220. [Google Scholar] [CrossRef]
  11. Ortiz-de-Zarate, G.; Tiba, I.; Madariaga, A.; Linaza, A.; Garay, A.; Germain, G.; Arrazola, P.J. Udimet 720Li as a potential alternative for optimized aeroengine turbines: Thermophysical and thermomechanical characterization under wide-ranging testing conditions. Mater. Des. 2025, 252, 113700. [Google Scholar]
  12. Wei, Z.; Jinnan, L.; Ruifeng, D.; Zishuang, C.; Jian, L.; Xing, Z.; Qingzeng, W.; Jinlong, Q. Effect of heat treatment process parameters on the microstructure and properties of GH4720Li superalloy. Mater. Res. Express 2023, 10, 016514. [Google Scholar] [CrossRef]
  13. Chen, J.; Zhang, H.; Zhang, Y.; Zhang, H.; Yang, Q.; Ye, L. Investigation on Mechanical Properties of GH4720Li at High Strain Rates at Wider Temperature Range. Int. J. Photoenergy 2021, 2021, 8839411. [Google Scholar] [CrossRef]
  14. Rao, G.A.; Satyanarayana, D.V.V. Influence of HIP processing on microstructure and mechanical properties of superalloy Udimet 720LI. Mater. Sci. Technol. 2011, 27, 478–486. [Google Scholar]
  15. Jackson, M.P.; Reed, R.C. Heat treatment of UDIMET 720Li: The effect of microstructure on properties. Mater. Sci. Eng. A 1999, 259, 85–97. [Google Scholar] [CrossRef]
  16. Zhao, C.; Wang, Q.; Tang, Y.; Dan, W.; Ruyue, Y.; Zhihao, Y.; Yihong, H.; Yongming, Z.; Xuqing, W.; Wei, L. Microstructure and Property Stability of Powder Metallurgy Nickel-based U720Li Superalloy During Long-Term Aging. Rare Met. Mater. Eng. 2022, 51, 2356–2360. [Google Scholar]
  17. Liu, F.; Chen, J.; Dong, J.; Zhang, M.; Yao, Z. The hot deformation behaviors of coarse, fine and mixed grain for Udimet 720Li superalloy. Mater. Sci. Eng. A 2016, 651, 102–115. [Google Scholar] [CrossRef]
  18. Wang, X.; Peng, Z.; Zhang, M. Hot Deformation Behavior of AA-FGH720Li Superalloy. Mater. Sci. Forum 2017, 898, 528–533. [Google Scholar] [CrossRef]
  19. Higashi, M.; Kanno, N. Effect of initial powder particles size on the hot workability of powder metallurgy Ni-based superalloys. Mater. Des. 2020, 194, 108926. [Google Scholar] [CrossRef]
  20. Wan, Z.; Hu, L.; Sun, Y.; Wang, T.; Li, Z. Microstructure evolution and dynamic softening mechanisms during high-temperature deformation of a precipitate hardening Ni-based superalloy. Vacuum 2018, 155, 585–593. [Google Scholar] [CrossRef]
  21. Monajati, H.; Jahazi, M.; Yue, S.; Taheri, A.K. Deformation characteristics of isothermally forged UDIMET720 Nickel-Base Superalloy. Metall. Mater. Trans. A 2005, 36, 895–905. [Google Scholar] [CrossRef]
  22. Stolz, D.S. Effect of a Supersolvus Heat Treatment on the Microstructure and Mechanical Properties of a Powder Metallurgy Processed Nickel-Base Superalloy. Ph.D. Thesis, University of Florida, Gainesville, FL, USA, 2004. [Google Scholar]
  23. ASTM E112-13; Standard Test Methods for Determining Average Grain Size. ASTM International: West Conshohocken, PA, USA, 2021.
  24. ASTM E2627-13; Standard Practice for Determining Average Grain Size Using Electron Backscatter Diffraction (EBSD) in Fully Recrystallized Materials. ASTM International: West Conshohocken, PA, USA, 2019.
  25. Zang, X.; Zhao, G.; Wu, J.; Jiang, H.; Yao, X. Influence of Holding Time on Hot Deformation Behavior of Hard-Deformed Superalloy U 720Li. Rare Met. Mater. Eng. 2024, 53, 2446–2457. [Google Scholar]
  26. Ning, Y.; Yao, Z.; Fu, M.W.; Guo, H. Recrystallization of the hot isostatic pressed nickel-base superalloy FGH4096: I. Microstructure and mechanism. Mater. Sci. Eng. A 2011, 528, 8065–8070. [Google Scholar] [CrossRef]
  27. Ning, Y.; Fu, M.W.; Yao, W. Recrystallization of the hot isostatic pressed nickel-base superalloy FGH4096. II: Characterization and application. Mater. Sci. Eng. A 2012, 539, 101–106. [Google Scholar] [CrossRef]
  28. Yang, J.; Ma, X.; Guo, J.; Lu, Y.; Wang, S.; Dong, A. Thermal Deformation Behavior of Novel Ni-Based PM Superalloy Under Different Initial Conditions. Rare Met. Mater. Eng. 2022, 51, 651–660. [Google Scholar]
  29. Oh, S.I.; Semiatin, S.L.; Jonas, J.J. An analysis of the isothermal hot compression test. Metall. Trans. A 1992, 23, 963–975. [Google Scholar] [CrossRef]
  30. Guimaraes, A.A.; Jonas, J.J. Recrystallization and Aging Effects Associated with High Temperature Deformation of Waspaloy and Inconel 718. Metall. Trans. A 1981, 12, 1656–1666. [Google Scholar] [CrossRef]
  31. Sellars, C.M.; Whiteman, J.A. Recrystallization and grain growth in hot rolling. Met. Sci. 1979, 13, 187–194. [Google Scholar] [CrossRef]
  32. Liu, Z.; Wang, C.; Cheng, J.; Guo, J. An Improved Grain Growth Model and Its Application in Gradient Heat Treatment of Aero-Engine Turbine Discs. Materials 2023, 16, 6584. [Google Scholar] [CrossRef]
  33. Yang, G.; Sun, X.; Yong, Q.; Li, Z.; Li, X. Austenite Grain Refinement and Isothermal Growth Behavior in a Low Carbon Vanadium Microalloyed Steel. J. Iron Steel Res. Int. 2014, 21, 757–764. [Google Scholar] [CrossRef]
  34. Zhu, Y.; Cao, Y.; He, Q.; Luo, R.; Zhang, J.; Di, H.; Huang, G.; Liu, Q.; Xiao, J. Machine learning neural-network identification for dynamic recrystallization grains during hot deformation of nickel-based superalloy. Mater. Charact. 2022, 191, 112108. [Google Scholar] [CrossRef]
  35. Jia, D.; Sun, W.; Xu, D.; Yu, L.; Xin, X.; Zhang, W.; Qi, F. Abnormal dynamic recrystallization behavior of a nickel based superalloy during hot deformation. J. Alloys Compd. 2019, 787, 196–205. [Google Scholar]
  36. Wagner, C. Theorie der Alterung von Niederschlaegen durch Umloesen (Oswald-Reifung). Berichte Der Bunsenges. Fuer Phys. Chem. 1961, 65, 7–8. [Google Scholar]
  37. Yao, X.; Ding, Q.; Wei, X.; Wang, J.; Zhang, Z.; Bei, H. The effects of key elements Re and Ru on the phase morphologies and microstructure in Ni-based single crystal superalloys. J. Alloys Compd. 2022, 926, 166835. [Google Scholar]
  38. Liu, Z.; Cheng, J.; Wang, C.; Guo, J. Quantitative Microstructure Prediction of Powder High-Temperature Alloy during Solution Heat treatment and its validation. Metals 2024, 14, 769. [Google Scholar] [CrossRef]
  39. Radis, R.; Schaffer, M.; Albu, M.; Gerald, K. Multimodal size distributions of γ′ precipitates during continuous cooling of UDIMET 720Li. Acta Mater. 2009, 57, 5739–5747. [Google Scholar]
  40. Masoumi, F.; Shahriari, D.; Jahazi, M.; Cormier, J.; Devaux, A. Kinetics and Mechanisms of γ′ Reprecipitation in a Ni-based Superalloy. Sci. Rep. 2016, 6, 28650. [Google Scholar]
  41. Papadaki, C.; Li, W.; Korsunsky, A. On the Dependence of γ′ Precipitate Size in a Nickel-Based Superalloy on the Cooling Rate from Super-Solvus Temperature Heat Treatment. Materials 2018, 11, 1528. [Google Scholar] [CrossRef]
  42. Zhang, H.; Li, Y.; Ma, T.; Chang, T.; Zhang, P.; Fang, X.; Huang, K. Tailoring of nanoscale γ′ precipitates and unveiling their strengthening mechanisms in multimodal nickel-based superalloy GH4720Li. Mater. Charact. 2022, 188, 111918. [Google Scholar] [CrossRef]
  43. Collins, D.M.; Stone, H.J. A modelling approach to yield strength optimization in a nickel-base superalloy. Int. J. Plast. 2014, 54, 96–112. [Google Scholar]
  44. Galindo-Nava, E.I.; Connor, L.D.; Rae, C.M.F. On the prediction of the yield stress of unimodal and multimodal γ′ Nickel-base superalloys. Acta Mater. 2015, 98, 377–390. [Google Scholar]
  45. Goodfellow, A.J.; Galindo-Nava, E.I.; Christofidou, K.A.; Jones, N.G.; Martin, T.; Bagot, P.A.J.; Boyer, C.D.; Hardy, M.C.; Stone, H.J. Gamma Prime Precipitate Evolution During Aging of a Model Nickel-Based Superalloy. Metall. Mater. Trans. A 2017, 49, 718–728. [Google Scholar] [CrossRef]
  46. Goodfellow, A.J. Strengthening mechanisms in polycrystalline nickel-based superalloys. Mater. Sci. Technol. 2018, 34, 1793–1808. [Google Scholar]
  47. Goodfellow, A.J.; Galindo-Nava, E.I.; Schwalbe, C.; Stone, H.J. The role of composition on the extent of individual strengthening mechanisms in polycrystalline Ni-based superalloys. Mater. Des. 2019, 173, 107760. [Google Scholar]
  48. Smith, T.M.; Unocic, R.R.; Deutchman, H.; Mills, M.J. Creep deformation mechanism mapping in nickel base disk superalloys. Mater. High Temp. 2016, 33, 372–383. [Google Scholar]
Figure 1. Schematic diagram of the heat treatment process: deformation at 1100–1130 °C followed by solid-solution treatments (4 h at 1100 °C or 1120 °C) and rapid cooling.
Figure 1. Schematic diagram of the heat treatment process: deformation at 1100–1130 °C followed by solid-solution treatments (4 h at 1100 °C or 1120 °C) and rapid cooling.
Metals 15 00409 g001
Figure 2. The stress–strain relationship of the Φ 8 × 12.8 mm Gleeble samples at a strain rate of 0.005 s−1 under different temperatures.
Figure 2. The stress–strain relationship of the Φ 8 × 12.8 mm Gleeble samples at a strain rate of 0.005 s−1 under different temperatures.
Metals 15 00409 g002
Figure 3. (a) Density and heat capacity of the alloy U720Li; (b) correction of the deformation temperature near the sample core considering adiabatic heating.
Figure 3. (a) Density and heat capacity of the alloy U720Li; (b) correction of the deformation temperature near the sample core considering adiabatic heating.
Metals 15 00409 g003
Figure 4. (a) Cross-section of the compressed samples at 1100 °C and 1130 °C with a strain rate of 0.005 s−1 and true strain = 1.386; (be) grain structures of the core and edge regions of the samples; (f,g) SEM images of the core and edge regions of the sample deformed at 1130 °C, respectively.
Figure 4. (a) Cross-section of the compressed samples at 1100 °C and 1130 °C with a strain rate of 0.005 s−1 and true strain = 1.386; (be) grain structures of the core and edge regions of the samples; (f,g) SEM images of the core and edge regions of the sample deformed at 1130 °C, respectively.
Metals 15 00409 g004aMetals 15 00409 g004b
Figure 5. Microstructure of the cylinders: (a,b) 1100 °C, 0.005 s−1; (c,d) 1110 °C, 0.005 s−1; (e,f) 1120 °C, 0.005 s−1.
Figure 5. Microstructure of the cylinders: (a,b) 1100 °C, 0.005 s−1; (c,d) 1110 °C, 0.005 s−1; (e,f) 1120 °C, 0.005 s−1.
Metals 15 00409 g005
Figure 6. Mean grain size and volume fraction of grain boundary γ′ phase of the cylinders at different deformation temperatures.
Figure 6. Mean grain size and volume fraction of grain boundary γ′ phase of the cylinders at different deformation temperatures.
Metals 15 00409 g006
Figure 7. EBSD images of the core of two experimental cylinders with a true strain of nearly 1.386: (a,b) IPF images of the 1100 °C and 1130 °C samples; (c,d) GOS images of the 1100 °C and 1130 °C samples; (e,f) proportion of the MOS of the 1100 °C and 1130 °C samples; (g,h) LAM images of the 1100 °C and 1130 °C samples.
Figure 7. EBSD images of the core of two experimental cylinders with a true strain of nearly 1.386: (a,b) IPF images of the 1100 °C and 1130 °C samples; (c,d) GOS images of the 1100 °C and 1130 °C samples; (e,f) proportion of the MOS of the 1100 °C and 1130 °C samples; (g,h) LAM images of the 1100 °C and 1130 °C samples.
Metals 15 00409 g007aMetals 15 00409 g007b
Figure 8. Average grain size of the hot compression samples after 1100 °C/4 h and 1120 °C/4 h heat treatment. The hot compression temperatures are (a) 1100 °C, (b) 1110 °C, and (c) 1120 °C.
Figure 8. Average grain size of the hot compression samples after 1100 °C/4 h and 1120 °C/4 h heat treatment. The hot compression temperatures are (a) 1100 °C, (b) 1110 °C, and (c) 1120 °C.
Metals 15 00409 g008
Figure 9. SEM images of the γ′ phase of the samples undergoing deformation at different deformation temperature and heat treatment temperatures: (a) 1100 °C GLB + 1100 °C HT; (b) 1100 °C GLB + 1120 °C HT; (c) 1110 °C GLB + 1100 °C HT; (d) 1110 °C GLB + 1120 °C HT; (e) 1120 °C GLB + 1100 °C HT; (f) 1120 °C GLB + 1120.
Figure 9. SEM images of the γ′ phase of the samples undergoing deformation at different deformation temperature and heat treatment temperatures: (a) 1100 °C GLB + 1100 °C HT; (b) 1100 °C GLB + 1120 °C HT; (c) 1110 °C GLB + 1100 °C HT; (d) 1110 °C GLB + 1120 °C HT; (e) 1120 °C GLB + 1100 °C HT; (f) 1120 °C GLB + 1120.
Metals 15 00409 g009aMetals 15 00409 g009b
Figure 10. A schematic diagram of the lattice arrangement of the γ/γ′ microstructure with a negligible misfit. The black spheres and the blue spheres denote the forming elements of the γ phase and γ′ phase, respectively, while the black lines illustrate the atomic connections of the γ′ phase. And the dashed line represents the diffusion range of atoms at a certain temperature.
Figure 10. A schematic diagram of the lattice arrangement of the γ/γ′ microstructure with a negligible misfit. The black spheres and the blue spheres denote the forming elements of the γ phase and γ′ phase, respectively, while the black lines illustrate the atomic connections of the γ′ phase. And the dashed line represents the diffusion range of atoms at a certain temperature.
Metals 15 00409 g010
Figure 11. A schematic diagram of the variation in the volume fraction of the γ′ phase during thermal deformation and heat treatment processes.
Figure 11. A schematic diagram of the variation in the volume fraction of the γ′ phase during thermal deformation and heat treatment processes.
Metals 15 00409 g011aMetals 15 00409 g011b
Figure 12. A schematic representation illustrating the evolution of the γ′ phase in the alloy following thermal deformation and sub-solvus heat treatment: (a) initial state of the multimodal γ′ phase; (b) after deformation with rapid cooling; (c,d) morphology of the γ′ phase during sub-solvus heat treatment below and above the effective deformation temperature, respectively; (e,f) the corresponding γ′ morphologies of (c,d) associated with rapid cooling rates, respectively.
Figure 12. A schematic representation illustrating the evolution of the γ′ phase in the alloy following thermal deformation and sub-solvus heat treatment: (a) initial state of the multimodal γ′ phase; (b) after deformation with rapid cooling; (c,d) morphology of the γ′ phase during sub-solvus heat treatment below and above the effective deformation temperature, respectively; (e,f) the corresponding γ′ morphologies of (c,d) associated with rapid cooling rates, respectively.
Metals 15 00409 g012
Table 1. The chemical composition of the alloy (wt.%).
Table 1. The chemical composition of the alloy (wt.%).
NiCrCoMoWTiAlZrCB
57161531.2552.50.030.0250.018
Table 2. The volume fraction of the γ′ phase in the samples following thermal deformation and subsequent heat treatments conducted at various temperatures.
Table 2. The volume fraction of the γ′ phase in the samples following thermal deformation and subsequent heat treatments conducted at various temperatures.
DT f p r i γ f s e c + t e r γ f t o t a l γ HT f p r i γ f s e c γ f t e r γ f t o t a l γ
1100 °C15.7%13.5%29.2%1100 °C/4 h19.7%6.2%3.6%29.5%
1120 °C/4 h14.0%1.3%5.7%21.0%
1110 °C11.2%14.2%25.4%1100 °C/4 h16.7%7.0%2.5%26.2%
1120 °C/4 h11.7%0.7%7.4%19.8%
1120 °C4.6%15.6%20.2%1100 °C/4 h15.3%9.6%1.3%26.2%
1120 °C/4 h12.7%3.9%3.2%19.8%
Disclaimer/Publisher’s Note: The statements, opinions and data contained in all publications are solely those of the individual author(s) and contributor(s) and not of MDPI and/or the editor(s). MDPI and/or the editor(s) disclaim responsibility for any injury to people or property resulting from any ideas, methods, instructions or products referred to in the content.

Share and Cite

MDPI and ACS Style

Cheng, J.; Xiong, J.; Long, A.; Xiao, L.; Ma, X.; Feng, G.; Guo, J. Influence of Hot Deformation Temperature on Grain Size and γ′ Phase in U720Li Alloy After Sub-Solvus Heat Treatment. Metals 2025, 15, 409. https://doi.org/10.3390/met15040409

AMA Style

Cheng J, Xiong J, Long A, Xiao L, Ma X, Feng G, Guo J. Influence of Hot Deformation Temperature on Grain Size and γ′ Phase in U720Li Alloy After Sub-Solvus Heat Treatment. Metals. 2025; 15(4):409. https://doi.org/10.3390/met15040409

Chicago/Turabian Style

Cheng, Junyi, Jiangying Xiong, Anping Long, Lei Xiao, Xiangdong Ma, Ganjiang Feng, and Jianzheng Guo. 2025. "Influence of Hot Deformation Temperature on Grain Size and γ′ Phase in U720Li Alloy After Sub-Solvus Heat Treatment" Metals 15, no. 4: 409. https://doi.org/10.3390/met15040409

APA Style

Cheng, J., Xiong, J., Long, A., Xiao, L., Ma, X., Feng, G., & Guo, J. (2025). Influence of Hot Deformation Temperature on Grain Size and γ′ Phase in U720Li Alloy After Sub-Solvus Heat Treatment. Metals, 15(4), 409. https://doi.org/10.3390/met15040409

Note that from the first issue of 2016, this journal uses article numbers instead of page numbers. See further details here.

Article Metrics

Back to TopTop